Sign in to use this feature.

Years

Between: -

Subjects

remove_circle_outline
remove_circle_outline
remove_circle_outline
remove_circle_outline
remove_circle_outline
remove_circle_outline
remove_circle_outline
remove_circle_outline
remove_circle_outline

Journals

remove_circle_outline
remove_circle_outline
remove_circle_outline
remove_circle_outline
remove_circle_outline
remove_circle_outline
remove_circle_outline
remove_circle_outline
remove_circle_outline
remove_circle_outline
remove_circle_outline
remove_circle_outline
remove_circle_outline
remove_circle_outline
remove_circle_outline
remove_circle_outline
remove_circle_outline
remove_circle_outline
remove_circle_outline
remove_circle_outline
remove_circle_outline
remove_circle_outline
remove_circle_outline
remove_circle_outline
remove_circle_outline
remove_circle_outline

Article Types

Countries / Regions

remove_circle_outline
remove_circle_outline
remove_circle_outline
remove_circle_outline
remove_circle_outline
remove_circle_outline
remove_circle_outline
remove_circle_outline

Search Results (5,026)

Search Parameters:
Keywords = wear testing

Order results
Result details
Results per page
Select all
Export citation of selected articles as:
11 pages, 4219 KB  
Communication
Oxygen Addition Influence on NiCrFe Mixed Layer
by Bianca-Georgiana Solomonea, Alexandru Anghel, Cristian P. Lungu, Cornel Staicu, Bogdan Butoi, Corneliu Porosnicu, Paul Dincă, Oana Pompilian, Arcadie Sobetkii, Anca Constantina Parau, Mihaela Dinu, Lidia Ruxandra Constantin, Alina Vladescu (Dragomir) and Catalin Vitelaru
Coatings 2026, 16(1), 96; https://doi.org/10.3390/coatings16010096 - 12 Jan 2026
Abstract
Carbon–metal composite NiCrFeC coatings, prepared with and without controlled oxygen addition, were investigated to evaluate the influence of oxygen on the structure, mechanical response, and tribological performance. X-ray diffraction revealed that oxygen-containing films (NiCrFeC + O2) exhibit a mixed metallic–oxide microstructure [...] Read more.
Carbon–metal composite NiCrFeC coatings, prepared with and without controlled oxygen addition, were investigated to evaluate the influence of oxygen on the structure, mechanical response, and tribological performance. X-ray diffraction revealed that oxygen-containing films (NiCrFeC + O2) exhibit a mixed metallic–oxide microstructure with CrNi, CrO, and NiO phases, whereas oxygen-free coatings show only CrNi crystalline peaks. The incorporation of oxygen led to a substantial increase in nano-hardness, from 0.84 GPa for NiCrFeC to 1.59 GPa for NiCrFeC + O2. Scratch testing up to 100 N indicated improved adhesion and higher critical loads for the oxygen-rich coatings. Tribological measurements performed under dry sliding conditions using a sapphire ball showed a significant reduction in friction: NiCrFeC + O2 stabilized at ~0.20, while NiCrFeC exhibited values between 0.25 and 0.35 at 0.5 N and 0.4–0.5 at 1 N, accompanied by non-uniform sliding due to coating failure. Wear-track analysis confirmed shallower penetration depths and narrower wear scars for NiCrFeC + O2, despite similar initial roughness (~35 nm). These findings demonstrate that oxygen incorporation enhances hardness, adhesion, and wear resistance while substantially lowering friction, making NiCrFeC + O2 coatings promising for low-friction dry-sliding applications. Full article
(This article belongs to the Special Issue Advanced Corrosion- and Wear-Resistant Coatings)
Show Figures

Figure 1

16 pages, 6941 KB  
Article
Microstructural, Corrosion and Mechanical Properties of Ni–Al–Cr/SiC Coatings on Inconel 600 Deposited by Arc Welding
by Tayfun Çetin
Crystals 2026, 16(1), 49; https://doi.org/10.3390/cryst16010049 - 11 Jan 2026
Abstract
In this study, the microstructural, mechanical, wear, and corrosion behavior of Ni-Al-Cr and Ni–Al–Cr/SiC composite coatings with different composition ratios, produced by electric arc melting on Inconel 600 substrates, was systematically investigated. Microhardness measurements revealed a significant and consistent increase in the hardness [...] Read more.
In this study, the microstructural, mechanical, wear, and corrosion behavior of Ni-Al-Cr and Ni–Al–Cr/SiC composite coatings with different composition ratios, produced by electric arc melting on Inconel 600 substrates, was systematically investigated. Microhardness measurements revealed a significant and consistent increase in the hardness values of the coatings depending on the increase in SiC reinforcement ratio (1%, 3%, and 5%). Wear tests showed that the coated samples exhibited significantly higher wear resistance compared to the pure Inconel 600 substrate. A significant improvement in wear resistance was achieved with the addition of SiC at 1% and 3% weight percentages; the width and depth of wear tracks were significantly reduced with SiC reinforcement. In contrast, increasing the SiC ratio to 5% weight percentage led to a decrease in wear resistance. This was attributed to particle aggregation at high SiC content, weakening of bonds at the matrix-reinforcement interface, and the behavior of SiC particles separated from the matrix as third-body abrasives. Electrochemical corrosion tests have shown that SiC-reinforced coatings form a more stable and permanent passive film, and corrosion resistance increases as the SiC content increases (1%, 3%, and 5%). The results indicate that the SiC reinforcement ratio affects the mechanical and electrochemical properties of Ni-Al-Cr/SiC composite coatings produced by electric arc melting. Full article
(This article belongs to the Special Issue Microstructure Analysis, Phase Composition and Properties of Metal)
Show Figures

Figure 1

16 pages, 15928 KB  
Article
High-Temperature Tribological and Oxidation Performance of a Cr-Al-C Composite Coating on H13 Steel by Laser Cladding
by Shengshu Zuo, Shibo Li, Yixiong Zhang, Xuejin Zhang, Guoping Bei, Faqiang Chen and Dong Liu
Coatings 2026, 16(1), 88; https://doi.org/10.3390/coatings16010088 - 10 Jan 2026
Viewed by 36
Abstract
Laser cladding is an effective surface engineering technique to enhance the high-temperature performance of metallic materials. In this work, a Cr-Al-C composite coating was in situ fabricated on H13 steel by laser cladding to alleviate the performance degradation of H13 steel under severe [...] Read more.
Laser cladding is an effective surface engineering technique to enhance the high-temperature performance of metallic materials. In this work, a Cr-Al-C composite coating was in situ fabricated on H13 steel by laser cladding to alleviate the performance degradation of H13 steel under severe thermomechanical conditions, particularly in high-temperature piercing applications. The phase composition, microstructure, microhardness, high-temperature oxidation behavior, and tribological performance of the coating were systematically investigated. The coating is mainly composed of a B2-ordered Fe-Cr-Al phase reinforced by uniformly dispersed M3C2/M7C3-type carbides, which provides a synergistic combination of oxidation protection and mechanical strengthening, offering a microstructural design that differs from conventional Cr-Al or Cr3C2-based laser-clad coatings. Cyclic oxidation tests conducted at 800–1000 °C revealed that the oxidation behavior of the coating followed parabolic kinetics, with oxidation rate constants significantly lower than those of the H13 substrate, attributed to the formation of a dense and adherent Al2O3/Cr2O3 composite protective scale acting as an effective diffusion barrier. Benefiting from the stable oxide layer and the thermally stable carbide-reinforced microstructure, the wear rate of Cr-Al-C coating is significantly reduced compared to H13 steel. At room temperature, the wear rate of the coating is 6.563 × 10−6 mm3/(N·m), about two orders of magnitude lower than 8.175 × 10−4 mm3/(N·m) for the substrate. When the temperature was increased to 1000 °C, the wear rate of the coating remained as low as 5.202 × 10−6 mm3/(N·m), corresponding to only 1.9% of that of the substrate. This work demonstrates that the Cr-Al-C laser-cladded coating can effectively improve the high-temperature oxidation resistance and wear resistance of steel materials under extreme service conditions. Full article
Show Figures

Figure 1

25 pages, 3834 KB  
Article
Analysis of Variance in Runway Friction Measurements and Surface Life-Cycle: A Case Study of Four Australian Airports
by Gadel Baimukhametov and Greg White
Infrastructures 2026, 11(1), 20; https://doi.org/10.3390/infrastructures11010020 - 9 Jan 2026
Viewed by 56
Abstract
Runway friction is a critical factor in aircraft safety, affecting braking performance during landing and take-off. This study evaluates friction measurement variability and runway life-cycle dynamics at four typical Australian airports, using GripTester data from calibration strips and operational runways. The results show [...] Read more.
Runway friction is a critical factor in aircraft safety, affecting braking performance during landing and take-off. This study evaluates friction measurement variability and runway life-cycle dynamics at four typical Australian airports, using GripTester data from calibration strips and operational runways. The results show that friction measurements are influenced by seasonal effects, random errors, and testing equipment tire wear, with greater variability at lower speed (65 km/h) than at higher speed (95 km/h). Analysis of runway friction decay indicates that friction reduction rates are higher in touchdown zones and decelerating rate gradually decrease as friction declines, while regular rubber removal significantly restores friction, sometimes exceeding post-construction levels. Current internationally recommended friction testing intervals may not adequately ensure safety, with a sufficient probability of friction dropping below maintenance planning levels between tests. Based on observed reduction rates, updated intervals of approximately 3000 to 4000 landings are proposed to achieve 90% confidence in maintaining safe friction levels. The findings provide practical guidance for friction management and maintenance scheduling as part of an optimized airport pavement management system. Full article
Show Figures

Figure 1

18 pages, 5526 KB  
Article
Dry-Sliding Behavior and Surface Evolution of SLS-Manufactured Glass Bead-Filled Polyamide 12 Bearings
by Ivan Simonović, Dragan Milković, Žarko Mišković and Aleksandar Marinković
Lubricants 2026, 14(1), 31; https://doi.org/10.3390/lubricants14010031 - 9 Jan 2026
Viewed by 123
Abstract
This study investigates the tribological behavior of selective laser-sintered (SLS) sliding bearings under dry-sliding operating conditions. These polyamide-12 bearings reinforced with glass beads (PA 3200 GF) were tested against a stainless-steel sleeve in three different pressure–velocity (PV) regimes that represent real operating conditions. [...] Read more.
This study investigates the tribological behavior of selective laser-sintered (SLS) sliding bearings under dry-sliding operating conditions. These polyamide-12 bearings reinforced with glass beads (PA 3200 GF) were tested against a stainless-steel sleeve in three different pressure–velocity (PV) regimes that represent real operating conditions. The coefficient of friction (COF) and contact temperatures were monitored throughout the experiment, while the specific wear rate was quantified based on mass loss measurements. The evolution of surface topography was analyzed using roughness parameters of the Abbott-Firestone family. Scanning electron microscopy (SEM) analysis was performed to identify the dominant wear mechanism. The results show a pronounced running-in phase, after which a stable thermomechanical equilibrium occurs in all regimes. Heavy-loaded regimes increase temperature but accelerate surface adaptation and lower stable coefficients of friction. Lower load regimes have the lowest thermal load but higher friction due to lower real contact. The medium PV regime has a low COF and moderate temperature rise, while peak and core roughness metrics increase more significantly. These results provide an experimentally based insight into the influence of the load regime on the tribological behavior and topography of the SLS-made polymer sliding bearings, thus contributing to a deeper understanding of their operation in real dry-sliding conditions. Full article
(This article belongs to the Special Issue Machine Design and Tribology)
Show Figures

Figure 1

24 pages, 12322 KB  
Article
Research on the Properties of Clad Layers Applied to Biomass Shredding Tools
by Ján Viňáš, Milan Fiľo, Janette Brezinová, Miroslav Džupon, Viktor Puchý, Jakub Brezina, Samuel Mikita, Gyula Bagyinszki and Péter Pinke
Metals 2026, 16(1), 74; https://doi.org/10.3390/met16010074 - 8 Jan 2026
Viewed by 82
Abstract
This paper investigates the applicability of plasma transferred arc (PTA) cladding for extending the service life of biomass shredder tools. The study evaluates the possibility of replacing Hardox 500 steel with a lower-cost structural steel S355J2 whose functional surfaces are modified by PTA [...] Read more.
This paper investigates the applicability of plasma transferred arc (PTA) cladding for extending the service life of biomass shredder tools. The study evaluates the possibility of replacing Hardox 500 steel with a lower-cost structural steel S355J2 whose functional surfaces are modified by PTA cladding. Three commercially available powder fillers were examined: CoCrWNi (PL1), FeCoCrSi (PL2), and NiCrMoFeCuBSi (PL3). The quality and performance of the cladded layers were assessed through hardness measurements, microstructural analysis using SEM and EDX, and tribological testing focused on abrasive and adhesive wear at room temperature. The results showed that the PL1 cladding achieved the highest surface hardness, reaching up to 602 HV0.1, due to the presence of hard carbide phases. In contrast, the PL2 cladding exhibited the best resistance to abrasive wear, demonstrating the lowest mass loss for both as-deposited and machined surfaces. The PL3 cladding showed intermediate performance in terms of wear resistance. Overall, the findings indicate that PTA cladding using an FeCoCrSi-based filler on an S355J2 substrate represents a promising and cost-effective alternative to Hardox 500 for biomass shredder applications. Full article
Show Figures

Graphical abstract

14 pages, 1293 KB  
Article
Eco-Friendly Antifouling Coatings Based on Macroalgal Extracts from Ulva ohnoi and Asparagopsis taxiformis
by Lorenzo Maria Ruggeri, Carlo Maffei, Domenico Prisa, Francesco Crea and Damiano Spagnuolo
Clean Technol. 2026, 8(1), 8; https://doi.org/10.3390/cleantechnol8010008 - 8 Jan 2026
Viewed by 99
Abstract
The increasing environmental impact of synthetic antifouling paints has stimulated the search for natural, eco-friendly alternatives. In this study, alcoholic and aqueous extracts of the macroalgae Ulva ohnoi and Asparagopsis taxiformis were evaluated for their antifouling potential on aluminum substrates representative of boat [...] Read more.
The increasing environmental impact of synthetic antifouling paints has stimulated the search for natural, eco-friendly alternatives. In this study, alcoholic and aqueous extracts of the macroalgae Ulva ohnoi and Asparagopsis taxiformis were evaluated for their antifouling potential on aluminum substrates representative of boat hulls. Extracts were applied to aluminum plates coated with gelcoat under three different surface conditions (non-worn, worn, highly worn). The treated panels were submerged at 5 m and biofilm and fouling development was monitored every 96 h using digital imaging and quantitative segmentation. All treated surfaces exhibited significantly lower fouling colonization than the untreated control (p < 0.001). Among treatments, the aqueous extract of A. taxiformis produced the lowest degree of colonization across all surface conditions, while U. ohnoi extracts showed moderate antifouling activity. Increased surface wear enhanced overall colonization but did not suppress extract efficacy. These results demonstrate that both algal species possess active compounds capable of inhibiting early biofilm formation on marine substrates. Although less potent than conventional biocidal coatings, their biodegradability and absence of ecotoxicity represent a substantial environmental advantage. Future studies should focus on the chemical characterization of active metabolites, the formulation of hybrid bio-based coatings, and long-term field testing under dynamic marine conditions. Full article
Show Figures

Figure 1

13 pages, 4235 KB  
Article
Improvement of the Hardness of Bilayer Coatings Produced by Gas-Thermal Spraying
by Vitaliy Kulikov, Svetlana Kvon and Aisha Sapiyanova
J. Compos. Sci. 2026, 10(1), 30; https://doi.org/10.3390/jcs10010030 - 7 Jan 2026
Viewed by 126
Abstract
In this work, samples of 30KhGS steel coated by thermal spray were investigated. The coating procedure consisted of two stages. At the first stage, a powder mixture of Cu + Al (mass ratio 4:1) was deposited. At the second stage, under the same [...] Read more.
In this work, samples of 30KhGS steel coated by thermal spray were investigated. The coating procedure consisted of two stages. At the first stage, a powder mixture of Cu + Al (mass ratio 4:1) was deposited. At the second stage, under the same process parameters, TiC powder was applied. After each spraying stage, the structure, elemental composition and stress state of the coatings were examined. Following the second deposition, hardness and wear resistance of the sample were measured. The results showed that the hardness and wear resistance of the test specimen increased on average by 40% compared to the corresponding properties of 30KhGS steel subjected to quenching and tempering. The residual stress level in the first (lower) coating was higher than in the upper layer; this difference is related to the distinct mechanisms of layer formation. The lower layer forms through melting and subsequent solidification, whereas the top layer forms by liquid-phase sintering. The obtained results demonstrate the effectiveness of the two-layer coating for increasing the hardness and wear resistance of 30KhGS steel, which broadens the possibilities for surface restoration and repair of parts. Full article
(This article belongs to the Section Metal Composites)
Show Figures

Figure 1

14 pages, 2272 KB  
Article
Polyethylene Stresses in Lumbar Total Joint Replacement Under Elevated Loading: Insights from an Anatomic Finite Element Model
by Steven A. Rundell, Hannah Spece, Ronald V. Yarbrough and Steven M. Kurtz
Bioengineering 2026, 13(1), 66; https://doi.org/10.3390/bioengineering13010066 - 7 Jan 2026
Viewed by 208
Abstract
The goal of this study was to assess elevated spinal loading conditions and their effect on the polyethylene stresses of a lumbar total joint replacement (L-TJR). A previously validated lumbar spine finite element model was virtually implanted with an L-TJR at L4–L5 and [...] Read more.
The goal of this study was to assess elevated spinal loading conditions and their effect on the polyethylene stresses of a lumbar total joint replacement (L-TJR). A previously validated lumbar spine finite element model was virtually implanted with an L-TJR at L4–L5 and exposed to three elevated loading conditions: (1) 95th-percentile male body weight while bending forward, (2) combined ±7.5 Nm axial torsion and lateral bending, and (3) ASTM F2423 aggressive loading (1850 N plus 10–12 Nm bending). Combined torsion and lateral bending were considered because these loads and moments may be coupled in demanding real-world scenarios. Across all conditions, contact at the bearing remained confined to the intended spherical surfaces, consistent with Mode I in vitro wear tests, with no evidence of impingement. Contact stresses and von Mises stresses were considered acceptable based on the simulated results of Mode IV impingement tests. Only in one scenario—95th-percentile male body weight with multiaxial torsion—did von Mises stress in the polyethylene slightly exceed the stresses associated with impingement (<5%). These findings are useful in establishing the upper biomechanical loading limits for the L-TJR design beyond the 50th-percentile loading levels employed by standard in vitro tests. Future validation efforts such as a comparison with retrieval analyses or clinical data will further strengthen the model’s applicability to current and future questions of interest and contexts of use. Additional work may expand the modeling framework to incorporate patient-specific anatomy, variable implant positioning conditions, and a broader range of physiological load scenarios. Full article
(This article belongs to the Special Issue Bioengineering Technologies for Spine Research)
Show Figures

Graphical abstract

20 pages, 16874 KB  
Article
A Pilot Study for “In Vitro” Testing the Surface Conditioning Effects on CAD/CAM Hybrid Nanoceramic Adhesion
by Georgi Veselinov Iliev, Lucian Toma Ciocan, Vlad Gabriel Vasilescu, Gaudențiu Vărzaru, Florin Miculescu, Ana Maria Cristina Țâncu, Marina Imre and Silviu Mirel Pițuru
Dent. J. 2026, 14(1), 36; https://doi.org/10.3390/dj14010036 - 6 Jan 2026
Viewed by 87
Abstract
Background/Objectives: The clinical application of CAD/CAM restorative materials continues to evolve due to increasing demand for aesthetic, durable, and minimally invasive indirect restorations. Hybrid nanoceramics, such as Grandio disc (VOCO GmbH, Cuxhaven, Germany), are increasingly used in indirect restorative dentistry due to [...] Read more.
Background/Objectives: The clinical application of CAD/CAM restorative materials continues to evolve due to increasing demand for aesthetic, durable, and minimally invasive indirect restorations. Hybrid nanoceramics, such as Grandio disc (VOCO GmbH, Cuxhaven, Germany), are increasingly used in indirect restorative dentistry due to their favourable combination of mechanical strength, polishability, wear resistance, and bonding potential. One challenge associated with adhesive protocols for CAD/CAM materials lies in achieving durable bonds with resin cements. Extensive post-polymerization during fabrication reduces the number of unreacted monomers available for chemical interaction, thereby limiting the effectiveness of traditional adhesive strategies and necessitating specific surface conditioning approaches. This study aimed to evaluate, in a preliminary, non-inferential manner, the influence of several combined conditioning protocols on surface micromorphology, elemental composition, and descriptive SBS trends of a CAD/CAM hybrid nanoceramic. This work was designed as a preliminary pilot feasibility study. Due to the limited number of specimens (two discs per protocol, each providing two independent enamel bonding measurements), all bond strength outcomes were interpreted descriptively, without inferential statistical testing. This in vitro study investigated the effects of various surface conditioning protocols on the adhesive performance of CAD/CAM hybrid nanoceramics (Grandio disc, VOCO GmbH, Cuxhaven, Germany) to dental enamel. Hydrofluoric acid (HF) etching was performed to improve adhesion to indirect resin-based materials using two commercially available gels: 9.5% Porcelain Etchant (Bisco, Inc., Schaumburg, IL, USA) and 4.5% IPS Ceramic Etching Gel (Ivoclar Vivadent, Schaan, Liechtenstein), in combination with airborne-particle abrasion (APA), silanization, and universal adhesive application. HF may selectively dissolve the inorganic phase, while APA increases surface texture and micromechanical retention. However, existing literature reports inconsistent results regarding the optimal conditioning method for hybrid composites and nanoceramics, and the relationship between micromorphology, elemental surface changes, and adhesion remains insufficiently clarified. Methods: A total of ten composite specimens were subjected to five conditioning protocols combining airborne-particle abrasion with varying hydrofluoric acid (HF) concentrations and etching times. Bonding was performed using a dual-cure resin cement (BiFix QM) and evaluated by shear bond strength (SBS) testing. Surface morphology was examined through environmental scanning electron microscopy (ESEM), and elemental composition was analyzed via energy-dispersive X-ray spectroscopy (EDS). Results: indicated that dual treatment with HF and sandblasting showed descriptively higher SBS, with values ranging from 5.01 to 6.14 MPa, compared to 1.85 MPa in the sandblasting-only group. ESEM revealed that higher HF concentrations (10%) created more porous and irregular surfaces, while EDS indicated an increased fluorine presence trend and silicon reduction, indicating deeper chemical activation. However, extending HF exposure beyond 20 s did not further improve bonding, suggesting the importance of protocol optimization. Conclusions: The preliminary observations suggest a synergistic effect of mechanical and chemical conditioning on hybrid ceramic adhesion, but values should be interpreted qualitatively due to the pilot nature of the study. Manufacturer-recommended air abrasion alone may provide limited adhesion under high-stress conditions, although this requires confirmation in studies with larger sample sizes and ageing simulations. Future studies should address long-term durability and extend the comparison to other hybrid CAD/CAM materials and to other etching protocols. Full article
(This article belongs to the Special Issue Dental Materials Design and Application)
Show Figures

Graphical abstract

18 pages, 2593 KB  
Article
Data-Driven Estimation of Cerchar Abrasivity Index Using Rock Geomechanical and Mineralogical Characteristics
by Soon-Wook Choi and Tae Young Ko
Appl. Sci. 2026, 16(1), 552; https://doi.org/10.3390/app16010552 - 5 Jan 2026
Viewed by 138
Abstract
The Cerchar Abrasivity Index (CAI) is essential for predicting tool wear in mechanized tunneling and mining, but direct measurement requires time-consuming laboratory procedures. We developed a data-driven framework to estimate CAI from standard geomechanical and mineralogical properties using 193 rock samples covering igneous, [...] Read more.
The Cerchar Abrasivity Index (CAI) is essential for predicting tool wear in mechanized tunneling and mining, but direct measurement requires time-consuming laboratory procedures. We developed a data-driven framework to estimate CAI from standard geomechanical and mineralogical properties using 193 rock samples covering igneous, metamorphic, and sedimentary lithologies. After evaluating 278 feature combinations with multicollinearity constraints (VIF < 10.0), we identified an optimal four-variable subset: brittleness index B1, density, Equivalent Quartz Content (EQC), and Uniaxial Compressive Strength (UCS), with rock type indicators. CatBoost achieved the best performance (Test R2 = 0.907, RMSE = 0.420), and SHAP analysis confirmed that density and EQC are primary drivers of abrasivity. Additionally, symbolic regression derived an explicit formula using only three variables (density, EQC, B1) without rock type classification (Test R2 = 0.720). The proposed framework offers a practical approach for assessing rock abrasivity at early project stages. Full article
(This article belongs to the Section Civil Engineering)
Show Figures

Figure 1

27 pages, 8982 KB  
Article
Tribological Performance of Micro and Nano-Titanium Carbide-Reinforced Copper Composites Manufactured by Powder Metallurgy: Experimental Studies and Modelling
by Anwar Ulla Khan, Sajjad Arif, Muhammed Muaz, Mohammad Shan, Ateyah Alzahrani and Ahmad Alghamdi
Metals 2026, 16(1), 66; https://doi.org/10.3390/met16010066 - 5 Jan 2026
Viewed by 225
Abstract
This study reports the fabrication of copper-based metal matrix composites reinforced with a combination of micro- and nano-sized titanium carbide (TiC) particles using the powder metallurgy route. The micro-TiC content was maintained at 5 wt.%, while the nano-TiC addition was systematically varied between [...] Read more.
This study reports the fabrication of copper-based metal matrix composites reinforced with a combination of micro- and nano-sized titanium carbide (TiC) particles using the powder metallurgy route. The micro-TiC content was maintained at 5 wt.%, while the nano-TiC addition was systematically varied between 1 and 3 wt.% in increments of 1 wt.%. The consolidation of the blends was achieved by uniaxial compaction at 500 MPa, followed by sintering in a nitrogen atmosphere at 750–900 °C for 2 h. Tribological assessment under dry sliding conditions was performed using a pin-on-disk apparatus. Structural and microstructural examinations using X-ray diffraction (XRD), scanning electron microscopy (SEM), and energy-dispersive spectroscopy (EDS) confirmed a uniform incorporation of the reinforcements within the Cu matrix. The incorporation of nano-TiC up to 2 wt.% significantly enhanced density, hardness, and wear resistance, after which a marginal decline was observed. SEM analysis of worn surfaces revealed that adhesive wear, abrasion, and delamination were the primary wear mechanisms. To better understand the relationship between processing conditions and material responses, response surface methodology (RSM) was employed. The developed models for density, hardness, and wear loss showed good agreement with the experimental results, with confirmatory tests yielding errors of 1.59%, 2.06%, and 2%, respectively, thereby validating the approach’s reliability. Full article
(This article belongs to the Special Issue Powder Metallurgy of Metals and Composites)
Show Figures

Figure 1

25 pages, 10778 KB  
Article
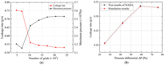
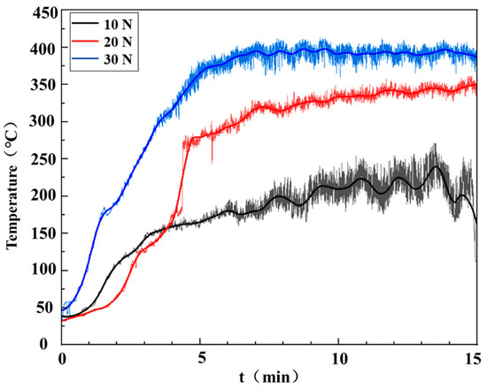
Research on Friction and Structural Optimization Design of Segmented Annular Seal
by Zhenpeng He, Hongyu Wang, Shijun Zhao, Jiaxin Si, Ning Li, Baichun Li and Wendong Luo
Lubricants 2026, 14(1), 23; https://doi.org/10.3390/lubricants14010023 - 5 Jan 2026
Viewed by 179
Abstract
As a critical sealing component in aero-engines, the segmented annular seal is prone to friction and wear during the running-in stage, which seriously impairs its sealing performance and service life. To address this issue, this study takes the three-petal segmented annular seal made [...] Read more.
As a critical sealing component in aero-engines, the segmented annular seal is prone to friction and wear during the running-in stage, which seriously impairs its sealing performance and service life. To address this issue, this study takes the three-petal segmented annular seal made of T482 graphite as the research object, adopting a combined method of high-speed ring-block friction and wear tests and thermal–fluid–solid coupling simulation to investigate its friction and wear mechanisms and optimize its structural design. The results show that the segmented annular seal undergoes more severe friction and wear in the low-speed running-in stage; the wear rate increases with the rise in loading force and decreases with the increase in rotational speed, and the variation trend of surface roughness is consistent with that of the friction coefficient. Frictional heat and wear-induced scratches intensify the deformation and leakage of the seal, thereby leading to the risk of seal failure. Optimizing the depth of radial dynamic pressure grooves can significantly improve the opening performance of the seal, while optimizing the width of axial grooves mainly affects the seal leakage. This research provides a theoretical basis for improving the service life and sealing performance of segmented annular seals in aero-engines. Full article
(This article belongs to the Special Issue Mechanical Tribology and Surface Technology, 2nd Edition)
Show Figures

Figure 1

18 pages, 2918 KB  
Article
Study on Tire–Road Wear Interface Behavior of Porous Elastic Road Surface Based on Image Processing
by Hongjin Liu, Ke Zhong, Jing Gu, Ting Gan and Yuchun Li
Appl. Sci. 2026, 16(1), 534; https://doi.org/10.3390/app16010534 - 5 Jan 2026
Viewed by 99
Abstract
The use of waste rubbers and polyurethane has a significant impact on the abrasion resistance of the porous elastic road surface (PERS) mixture. The purpose of this work is to study the anti-abrasion performance of the PERS mixture under different contents of waste [...] Read more.
The use of waste rubbers and polyurethane has a significant impact on the abrasion resistance of the porous elastic road surface (PERS) mixture. The purpose of this work is to study the anti-abrasion performance of the PERS mixture under different contents of waste rubbers. First, features of the surface of the PERS mixture were collected by image processing technology. Then, the abrasion performance of the mixture was studied by image processing and wear tests. The correlation between the surface texture parameters and the anti-abrasion performance of the mixture was analyzed by the gray entropy correlation method. It is found that the change of convex particle area in the equivalent diameter range of 2–5 mm had the greatest correlation with the abrasion resistance of the PERS mixture. The effect of the waste rubber content of the mixture on the anti-abrasion performance was investigated, and a waste rubber content of 10% showed the best anti-abrasion performance. It is expected that this work can provide a new method for analyzing the anti-abrasion performance of functional pavement. Full article
(This article belongs to the Special Issue Advanced Materials and Technologies in Pavement Engineering)
Show Figures

Figure 1

14 pages, 1828 KB  
Article
Associations Between Limited Dorsiflexion Under Load and Compensatory Hip/Pelvic Gait Patterns in Healthy Adults
by Kaden M. Kunz, David G. Kirk, John Wadner and Nickolai J. P. Martonick
Biomechanics 2026, 6(1), 6; https://doi.org/10.3390/biomechanics6010006 - 5 Jan 2026
Viewed by 195
Abstract
Background/Objectives: Limited ankle dorsiflexion has been associated with compensatory movement patterns throughout the lower extremity kinematic chain. This study investigated relationships between weight-bearing dorsiflexion capacity and lower limb kinematics and plantar pressure patterns during gait. Methods: Twenty-seven healthy adults (age: 22.8 [...] Read more.
Background/Objectives: Limited ankle dorsiflexion has been associated with compensatory movement patterns throughout the lower extremity kinematic chain. This study investigated relationships between weight-bearing dorsiflexion capacity and lower limb kinematics and plantar pressure patterns during gait. Methods: Twenty-seven healthy adults (age: 22.8 ± 3.4 years) performed a weight-bearing lunge test (WBLT) and walked at a standardized pace across a pressure-sensing walkway while wearing inertial measurement units. Statistical Parametric Mapping assessed correlations between WBLT dorsiflexion and kinematic variables throughout the stance phase. Partial correlations controlled for walking velocity and were used to examine relationships with discrete plantar pressure measurements. Results: Reduced dorsiflexion capacity during the WBLT showed bilateral moderate associations with less ankle dorsiflexion (LEFT: peak r = 0.53; RIGHT: peak r = 0.60) and knee flexion (LEFT: peak r = 0.56; RIGHT: peak r = 0.58) during terminal stance and push-off. Proximal compensations demonstrated limb-specific patterns. Hip abduction was strongly negatively correlated in the left leg only (peak r = −0.65), while pelvic tilt showed bilateral relationships with opposing temporal patterns (LEFT: peak r = −0.58 early stance; RIGHT: peak r = 0.62 terminal stance). Plantar pressure analysis revealed that reduced dorsiflexion was associated with decreased heel relative impulse bilaterally (r = 0.53–0.56) and altered temporal patterns of midfoot loading on the left leg (r = 0.56). Conclusions: Limited dorsiflexion under load is associated with compensatory movement patterns extending from the ankle to the pelvis bilaterally. The evaluation of loaded ankle mobility should be considered an essential component of lower extremity movement assessment. Full article
(This article belongs to the Section Gait and Posture Biomechanics)
Show Figures

Figure 1

Back to TopTop