Next Article in Journal
Seismic Safety Verification of a 100-Year-Old Masonry Arch Gravity Concrete Dam Using 3D Dynamic Analysis
Next Article in Special Issue
A Two-Stage Feature Reduction (FIRRE) Framework for Improving Artificial Neural Network Predictions in Civil Engineering Applications
Previous Article in Journal
Exploring the Root Causes of Wide Thermal Cracks in the Southwestern United States
Previous Article in Special Issue
State-Dependent Asphalt Pavement Deterioration Modeling via Noise-Filtered Reaction Signatures: A Data-Driven Framework Using Korea Highway Pavement Management System (K-HPMS) Data
 
 
Font Type:
Arial Georgia Verdana
Font Size:
Aa Aa Aa
Line Spacing:
Column Width:
Background:
Article

Analysis of Variance in Runway Friction Measurements and Surface Life-Cycle: A Case Study of Four Australian Airports

School of Science, Technology and Engineering, University of Sunshine Coast, Sippy Downs, QLD 4556, Australia
*
Author to whom correspondence should be addressed.
Infrastructures 2026, 11(1), 20; https://doi.org/10.3390/infrastructures11010020
Submission received: 1 December 2025 / Revised: 26 December 2025 / Accepted: 6 January 2026 / Published: 9 January 2026

Abstract

Runway friction is a critical factor in aircraft safety, affecting braking performance during landing and take-off. This study evaluates friction measurement variability and runway life-cycle dynamics at four typical Australian airports, using GripTester data from calibration strips and operational runways. The results show that friction measurements are influenced by seasonal effects, random errors, and testing equipment tire wear, with greater variability at lower speed (65 km/h) than at higher speed (95 km/h). Analysis of runway friction decay indicates that friction reduction rates are higher in touchdown zones and decelerating rate gradually decrease as friction declines, while regular rubber removal significantly restores friction, sometimes exceeding post-construction levels. Current internationally recommended friction testing intervals may not adequately ensure safety, with a sufficient probability of friction dropping below maintenance planning levels between tests. Based on observed reduction rates, updated intervals of approximately 3000 to 4000 landings are proposed to achieve 90% confidence in maintaining safe friction levels. The findings provide practical guidance for friction management and maintenance scheduling as part of an optimized airport pavement management system.

1. Introduction

Runway friction plays a crucial role in ensuring the safety of aircraft operations, particularly during landing and take-off when effective braking is essential. Insufficient friction can significantly compromise stopping performance, increasing the likelihood of an overrun or veer-off incident. Analyses of accident investigations have shown that roughly 20% of all runway excursions are linked to poor braking performance, highlighting the importance of maintaining adequate surface conditions [1]. Contributing factors may include water, ice, snow, rubber deposits, or other contaminants that reduce the interaction between the aircraft tires and the runway surface [2]. To avoid potential problems caused by insufficient runway friction, two possible approaches can be taken. The first involves supplying pilots with dependable, near real-time information on runway friction so they can anticipate the braking performance. The second focuses on ensuring that runways consistently provide adequate skid resistance under all reasonably expected operational and environmental conditions. While the recently introduced Runway Condition Report (RCR) system does incorporate elements of real-time reporting, by assigning a Runway Condition Code (RWYCC) derived from weather observations [3], operator assessments, and friction testing, the first strategy is challenging to implement and may introduce additional hazards. Consequently, International Civil Aviation Organization (ICAO) standards and procedures generally focus on the second approach [4].
According to ICAO [4], the monitoring of runway skid resistance should rely on a combination of macrotexture measurements and continuous friction measuring equipment (CFME). Macrotexture measurements are valuable for assessing the ability of the pavement surface to drain water and mitigate the risk of dynamic aquaplaning, and they are therefore useful for tracking long-term surface condition. However, macrotexture alone does not capture the operational friction experienced by aircraft tires during landing and take-off. For this reason, ICAO identifies CFME as the main tool of runway conditions assessment [3].
To avoid safety risks, ICAO recommends maintaining a high level of runway friction under all conditions [4]. This approach relies on timely maintenance planning and reliable friction measurements. However, the quantitative effect of aircraft traffic on friction remains unclear, as does the influence of measurement errors on runway friction assessment. This study aims to clarify the rate of friction decay using statistical data from several Australian airports and to evaluate measurement errors and friction variations caused by weather conditions and different testing equipment. Data from calibration strips are used to assess the reproducibility and seasonal variability of friction measurements, while runway friction data are analyzed to examine the dynamics of friction changes at Australian airports. The obtained results are compared with findings from previous studies, and practical recommendations are proposed based on the study outcomes.

2. Background

2.1. Continuous Friction Measuring Equipment

CFME, also referred to as continuous friction measuring devices (CFMD), are designed to record the friction coefficient along the pavement surface as the test vehicle moves. The equipment typically takes the form of either towed trailers or specially adapted cars. While such systems have been in use for roadway and highway friction testing since the 1950s, their application to runway skid resistance began in the 1960s [5]. Early examples, such as the Penn State Road Friction Tester, were widely adopted in the United States [6,7].
By the early 1990s, renewed interest from the National Aeronautics and Space Administration (NASA) and the Federal Aviation Administration (FAA) led to a comparative evaluation of different CFME within the FAA/NASA Runway Friction Program [8]. This campaign tested six ground vehicles and two aircraft under a range of surface conditions—including dry, wet, icy, and snow-covered runways. Results showed that the friction levels measured by ground devices corresponded with aircraft braking friction, although the relationship was not precise enough to allow direct use of CFME data for predicting aircraft braking performance.

2.2. Factors Affecting CFME Results

Despite the correlation between aircraft braking and CFME results, some authors report that the repeatability of CFME can be low. In a study performed in 2005, a comparison of the same CFME models showed 10–20% variability between different testing machines of the same type, meaning that the variation could exceed the difference between the acceptable and minimum friction levels [9]. In another study, the variation in GripTester results within the allowed limits of tire wear was evaluated, resulting in a difference of 0.05 µ, which is 50% of the difference between maintenance planning and minimum friction levels [10]. Furthermore, as part of a research project sponsored by the European Union Airport Safety Agency (EASA) in 2008, it was found that braking slip, tire pressure, tire design, tire tread materials, the method of friction coefficient derivation, and the use of a self-wetting system all significantly affected the friction readings from different devices [11]. In another study [12], it was determined that Saab friction measurement devices operating in self-wet mode produced a repeatability uncertainty of 0.07, a reproducibility standard deviation of 0.10 µ, a repeatability coefficient of variation of 6.6%, and a reproducibility coefficient of variation of 11.4%. A further study conducted to establish repeatability for several friction measurement devices reported that, for all wetted pavement surfaces measured, a standard deviation of 0.027 µ was achieved, which is similar to results obtained for the GripTester [13].
On the other hand, in the study [14], the cross-correlation value for GripTester measurements at the same testing fields was 0.75, indicating strong correlation with medium variability between measurements, with higher repeatability observed at lower speeds due to the influence of surface roughness. In another study [15], it was concluded that the repeatability of the GripTester was sufficient, with a standard deviation of up to 0.013 µ between different runs. These results show significantly higher reproducibility, compared to previous studies. It should be noted that both of these studies were conducted on highways, where the pavement surface is generally more uniform.
On a bigger scale, repeatability of CFME results can be affected by weather conditions. Low temperatures below 10 °C can drastically reduce friction measurement results due to presence of snow and ice as a result of precipitations or hoar frost [16]. Friction can significantly change throughout the year at higher temperatures, as it is shown in long-term analysis of CFME results performed in Australia, where summer results are generally 7% lower than the winter results [9]. Researchers from New Zealand performed a similar analysis of data collected on highways to develop a correction equation for the weather conditions [17]. The result was a model for estimating the yearly seasonal fluctuations in skid resistance, specific to the climate in New Zealand, with almost 0.2 µ difference between winter and summer results, which is twice the difference between maintenance planning and minimum friction levels, with lower variation in results in case of spray seal. In another study, the seasonal variation in the side-force coefficient was analyzed on French motorways, showing around 30% of the difference due to temperature and humidity during the friction measurement [18]. Studies with British pendulum tester show similar results [19]. In another study [20], the correction equation implementation for seasonal variation was attempted with low correlation, probably due to influence of the pavement type and temperature variations. Controlled studies in which water temperature was varied during testing have shown a similarly strong influence of both surface and water temperature on friction measurement results. However, correction equations derived from these data have not been widely adopted [21]. All of the above-mentioned studies demonstrate a strong influence of weather on friction testing results, with the effect sometimes exceeding the difference between the minimum and maintenance friction levels.
An increase in temperature generally lowers water viscosity and surface tension, which can increase adhesive interactions between the surface and water film, leading to lower measured friction values. Similarly, variations in humidity and the presence of thin water films influence the contact angle and spreading pressure, thereby modifying the strength of intermolecular forces acting at the interface. High humidity can promote condensation and thin liquid layers that reduce effective surface contact, while rapid drying at low humidity increases variability between repeated measurements. These factors highlight that adhesion-driven friction is not constant but highly sensitive to environmental changes, providing a mechanistic explanation for seasonal and weather-dependent variability reported in continuous friction measurement results [22,23].
Nevertheless, friction measurement results must be sufficiently stable to enable reliable interpretation of friction change dynamics. Accurate measurements and a comprehensive understanding of friction degradation allow airports to implement Airport Pavement Management Systems (APMS), which are structured decision-support tools designed to optimize the maintenance and rehabilitation of airfield pavements [24]. An effective APMS integrates pavement condition data—including friction, structural capacity, and surface distresses—into predictive models that help airport authorities prioritize interventions, allocate budgets efficiently, and extend pavement service life [25]. By incorporating friction monitoring into APMS, operators can track the rate of skid resistance loss, identify critical thresholds for maintenance, and schedule preventive treatments before operational safety is compromised. In this way, APMS not only reduces maintenance costs but also supports regulatory compliance and enhances operational safety [26]. Delay Time Modeling (DTM) further complements APMS by establishing optimal intervals for friction testing and timely de-rubberization. However, the effectiveness of both APMS and DTM depends on the availability of measurements with low variance and a clear understanding of measurement errors [27].

2.3. Trend Monitoring

ICAO recommendations also include trend monitoring concept, which presents friction dynamic trend in the following form (Figure 1). The objective is to ensure that the surface friction characteristics for the entire runway remain at or above the minimum friction level. Friction degradation is typically caused by rubber deposits, surface polishing and poor drainage [28,29].
The degradation of friction characteristics has been extensively studied for both highways and runways, although most research has focused on road surfaces, where rubber deposits are generally not present [30]. Studies show that after pavement construction, friction typically increases due to the removal of the binder film [31,32]. Once maximum friction is reached, however, texture gradually deteriorates as a result of polishing and, in the case of runways, rubber accumulation [33].
Runway friction is strongly dependent on pavement texture, and deterioration of either macrotexture or microtexture leads directly to a reduction in skid resistance. Microtexture dominates at low speeds, while macrotexture controls water drainage and becomes critical at high speeds, particularly on wet runways [34]. Because of this, most friction improvement strategies target texture enhancement, for example, by grooving or using high-macrotexture surfaces [35,36,37]. The dependence of friction on texture was established in the Penn State model [38] which led to the development of the International Friction Index [39,40], with subsequent studies consistently demonstrating that reductions in surface texture are accompanied by measurable declines in friction [41,42,43,44,45].

2.4. Regulation and Performance

To ensure efficient and effective runway maintenance, it is important to establish an optimal frequency of friction surveys, quantify friction and texture deterioration, and relate these changes to aircraft traffic. As noted earlier, Annex 14 [4] specifies that the frequency of runway friction surveys should be sufficient to identify trends in surface friction characteristics. Regarding recommended intervals, Doc 9137 Part 2 [46] outlines survey frequencies, as shown in Table 1, and most ICAO member states adopt these same intervals [47,48,49].
Besides ICAO recommendations, there have been studies to evaluate the optimal intervals of friction surveys based on friction deterioration. In the study [50], the clustering method and regression analysis is used for the friction decay curves evaluation, showing that such analysis in case of the singular runway can provide sufficient information for the APMS implementation. This study, however, did not include aircraft traffic. In another study [51], researchers conducted friction data from the runway to compare decay curves of clean and de-rubberized pavement showing that the decay speed after de-rubberization is higher. A similar study was performed by researchers from Italia using the same method for the characterization of the decay curves from one runway showing high effectiveness of the approach [52]. Study [53] compared aircraft traffic and friction decay on the runway of the Brazilian airports, showing that there is more friction variation closer to the touchdown points with inverse correlation with the number of landings.

3. Research Methods

For this study, friction testing data from four Australian airports was analyzed, covering several years of operation (Table 2). Airports A, B, and C each have two runways (main and secondary), while Airport D has one runway. All runways are constructed with dense-graded asphalt pavement and grooving. Airports A and B provided friction testing results from their calibration strips, while Airports A, C, and D provided runway friction testing results along with maintenance histories. The dataset represents runways with annual aircraft movements ranging from 10,000 to 200,000. Airports represented in this study are located mostly in the southern part of Australia.
Results from the runway were used to analyze the friction decay rate and the dynamics of friction changes across different parts of the runway. In addition, some airports provided testing results from calibration strips, which were used during testing to control equipment calibration and account for weather-related influences on the results. These data were used in this study to analyze result variability.
Information on aircraft movements was obtained from open sources [54,55]. Runway-end-specific traffic data was estimated based on the average frequency of use for each runway. The number of landings considered in this study refers to all aircraft over 7 tons, including both jet and turboprop aircraft.
In all cases, friction testing was performed using the GripTester, one of the most widely used continuous skid-resistance measuring devices, which has also been applied in other studies [56,57]. The GripTester measures continuous friction by towing a freely rotating test wheel at a fixed slip ratio, typically around 15%, while a controlled water film is applied ahead of the wheel. The longitudinal force generated at the tire–pavement interface is recorded and converted into a friction coefficient along the runway. It is currently the most commonly used device at Australian airports, allowing the results of this study to be directly applicable to friction management practices. Grip Numbers (GN) were reported as 10 m averages.
All data analysis was carried out in Microsoft Excel. The datasets were manually reviewed to remove outliers, such as extreme values recorded at the start or end of test runs. Descriptive and inferential statistical methods were used to evaluate the variability, repeatability, and reliability of runway friction measurements. Variance analysis was applied to distinguish between random measurement error, seasonal effects, and systematic calibration errors. For each calibration strip, friction values were divided into thirds, and the variance within each third was compared to the total variance of the mean friction to estimate the relative contribution of random error. Pearson correlation coefficients were calculated to assess the relationships between friction reduction and the number of aircraft landings for different runway sections and testing speeds. To determine the statistical significance of differences in friction reduction rates between friction level ranges, Student’s t-tests were applied. Regression analysis was employed to evaluate the dependence of friction on surface temperature and to approximate friction reduction rates per 1000 landings.

4. Results and Discussion

4.1. Calibration Strip Testing Results

Results obtained from the calibration strips were analyzed to assess variability, as the pavement on the calibration strips remains unworn and uncontaminated. Calibration strip friction testing results were collected at two airports, referred to here as Airport A and Airport B. Airport A provided results from 2007 to 2011, and Airport B from 2013 to 2023. All tests were performed by third-party contractors, different for each airport. Calibration strip results provide valuable information on repeatability and variability, since the strip is typically unaffected by aircraft traffic and wear. Figure 2 presents the friction testing results for the calibration strip at Airport A. There is a noticeable trend showing an increase in friction on a calibration strip that can be attributed to testing equipment tire wear, which was previously shown in another study [10] by Equation (1). The coefficient of determination, however, is relatively low (R2 = 0.43–0.59) due to high variation in results.
F = G N S D C D M D S D  
where F is the friction value, GN is the GripTester number, SD is the standard tire diameter (260 mm), CD is the chain cog effective diameter (130 mm), and MD is the measured tire diameter.
On the other hand, tire wear of the testing equipment can significantly influence friction testing results through changes in adhesion, which may become particularly pronounced in materials with a large surface area [58,59]. Previous studies have also shown that an increase in surface area due to wear can substantially affect friction testing outcomes [23]. Standards, however, do not mention testing tire roughness change during the test and its effect on the results [47]. It is also important to note that measured friction can change due to binder film wear [60], but this effect might affect friction only at the beginning of the lifecycle, and the whole trend cannot be explained by this effect. At the same time, there is a significant difference between winter and summer testing results, as shown in Figure 3 and Figure 4. The difference in average friction can reach up to 25% between winter (June) and summer (February) results within the same year, which is consistent with findings reported in other studies [17,18].
Measurement statistics from Airport B were collected between 2013 and 2023, providing a larger dataset compared to Airport A. Similarly to Airport A, the calibration strip testing results at Airport B show a maximum variation of about 25% across different years (Figure 5). However, the average friction remains relatively stable, with no discernible long-term trend.
In contrast to Airport A, the variation at Airport B is not associated with seasonal changes (Figure 6 and Figure 7). Instead, it is primarily attributable to random deviations, which outweigh seasonal effects. These deviations may result from measurement error, calibration error, and tire wear; however, unlike at Airport A, the tire wear effect is not gradual. This difference likely reflects the use of a frequently operated GripTester and the longer observation period at Airport B.
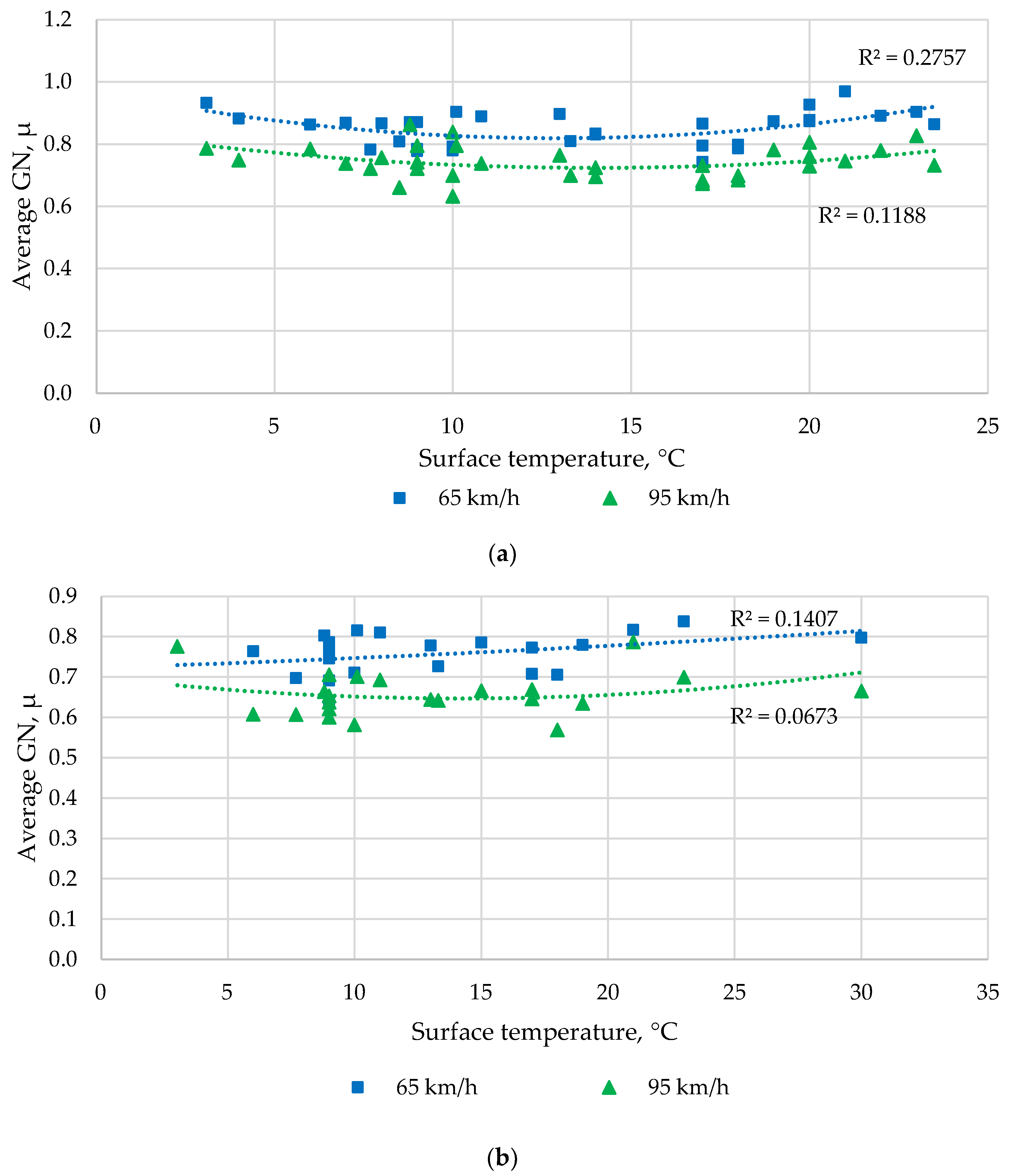
During the calibration strip measurements at Airport B, surface temperature was also recorded. However, no significant correlation was found between temperature and friction test results (Figure 8). On both the main and secondary runways, minimum friction occurred at around 15 °C; however, there is no sufficient correlation between surface temperature and friction testing results. The highest coefficient of determination was obtained for the 65 km/h results on the main runway (R2 = 0.28), which is insufficient to draw a conclusion about the influence of surface temperature on friction.
To approximate the influence of errors associated with seasonal changes and random variability, the standard variance law can be applied [61]. For the Airport B dataset, the variance of average friction measurements can be compared with the variance of friction results for each third of the calibration strip, using values adjusted to compensate for seasonal effects and the constant error from equipment calibration. In this framework, the variance within each third (with adjusted values) represents random error, whereas the variance of the overall average friction results for the calibration strip reflects both random variability and the additional contributions of seasonal effects and constant calibration error. This method was employed to minimize the influence of seasonal variation when comparing results from the runway thirds. At the same time, it allows for direct comparison of the same thirds across different years. This does not provide the exact magnitude of the random error; however, it offers a practical estimate without requiring a detailed analysis of friction results, which is complicated by the fact that chainages for friction testing might differ slightly from year to year. By comparing these variances, the relative influence of seasonal changes and calibration error on the results can be approximated (Table 3 and Table 4).
The results indicate that approximately 26–83% of the total variance is attributable to random error rather than seasonal changes, with higher random variance observed for the secondary runway. This difference may reflect the higher measurement quality achieved on the main runway. The contribution of random error to the overall variance is greater at 95 km/h, owing to the lower total variance at this speed. Conversely, at 65 km/h, seasonal changes and constant calibration error have a stronger influence on measurement results, likely due to the adhesive component of friction at lower speeds, which is more sensitive to variations in weather conditions and tire wear.
For Airport B, both the random error and its contribution are significantly lower, likely due to generally lower friction values. At the same time, the overall error is higher, probably reflecting the effect of tire wear. Seasonal effects and calibration error increase the variance at 65 km/h. This difference is grater compared to the variance from the airport B, likely because tire wear disproportionately affects adhesive friction, which is more pronounced at lower speeds.
Overall, friction testing results differ between the two airports, with seasonal effects having a greater influence at Airport A and random error being more pronounced at Airport B. It is also important to note the impact of tire wear on the results from Airport A. In general, random deviations can reach 0.05 µ for both 65 and 95 km/h. When including both random deviations and seasonal effects, the total deviation can reach 0.09 if tire wear is not controlled or accounted for. These findings are consistent with results reported in previous studies [10,15].

4.2. Runway Friction Testing Results

The CFME friction results from Airport C are shown in Figure 9 and Figure 10, for the main and secondary runways, respectively. The results were measured 3 m from the centerline, starting from the time of construction, for the main and secondary runways of Airport C. Friction testing results for the runways of Airports A and D were not included in this analysis, as only limited measurement points were available between maintenance activities, and the friction dynamics were not clearly observable. The friction dynamics on the secondary runway were more evident, as rubber removal was performed less frequently and in a more consistent manner.
Traffic on the main runway of Airport C is approximately 2.5 times higher than on the secondary runway. Maintenance activities are also indicated in the graph. For both the main and secondary runways, there is a noticeable improvement in friction immediately after construction, which can be attributed to a combination of binder scouring and testing tire wear. It can also be observed that the second third of the runway shows greater friction improvement after construction, likely because touchdown zones experience immediate rubber build-up following binder scouring.
Friction on each runway shows a significant improvement following maintenance works. Notably, friction after rubber removal can even exceed the levels observed immediately after construction. The underlying cause of this effect remains unclear—it may be related to binder scouring or to improvements in microtexture resulting from rubber removal. However, this observation contradicts both previous findings and the recommended friction monitoring concept (Figure 1). Nevertheless, it highlights the importance and effectiveness of rubber removal.
Airport C uses an ultra-high-pressure water rubber removal system. It operates by blasting water through a rotary device at pressures of up to 40,000 psi [62]. This method effectively removes rubber from the pavement and improves surface texture compared to other techniques. One of its main advantages is that it preserves the drainage characteristics of the pavement. Although some reports suggest a reduction in microtexture due to water blasting, other studies have found no evidence of this effect, concluding that it depends on the aggregate type and may be related to the normal polishing of aged pavement [63].
It is evident from the graphs (Figure 9 and Figure 10) that the friction reduction rate for runway thirds is higher when friction is lower. To evaluate the friction reduction rate for 100 m averages at the touchdown points, the friction reduction per 1000 landings on each runway end was compared to the friction values from Airports A, C, and D (Figure 11). Due to the high variance in the friction testing results, as noted previously, the correlation between friction levels and friction reduction is extremely low. Nevertheless, a clear pattern emerges: there is no abrupt friction reduction when friction is low, particularly for the 95 km/h results.
A t-test comparing the reduction rate between the 0–0.45 µ and 0.45–1 µ friction level ranges yielded a statistically significant difference (p < 0.001) for the 95 km/h results. For the 65 km/h results, a similar test between the 0–0.6 µ and 0.6–1 µ ranges showed a less significant difference (p = 0.037), reflecting the higher variability of the 65 km/h measurements. These findings indicate that the friction reduction rate for 100 m averages at touchdown zones decreases as friction decreases, while the higher reduction rate observed for runway thirds can be explained by the progressive extension of rubber-contaminated zones. This conclusion underscores the importance of timely rubber removal to optimize runway maintenance costs.
Friction reductions at the touchdown points (100 m averages) was calculated for each runway end and compared to the corresponding number of landings (Figure 12). Data on aircraft movements and the ratio of landings on each runway end were obtained from open sources [54,55]. Relative friction reduction was used to account for the unevenness of the friction reduction rate. Figure 13 shows the relative change in friction versus the number of aircraft landings across all airports, with friction measured 3 m from the centerline. Due to the high variability of the measurements, the overall correlation is low. However, the correlation is stronger for the results obtained at 95 km/h. Although this relationship does not allow for precise modeling of friction dynamics, it indicates that aircraft traffic influences the rate of friction reduction.
Table 5 presents the number of landings and relative friction reduction for the main and secondary runways of Airport A. A significant negative correlation is observed between relative friction change and the number of landings, which is stronger for the 95 km/h results.
In the case of Airport C (Table 6), this correlation is not evident. The lack of correlation may be related to the high variability in runway usage throughout the year, which makes accurate estimation of aircraft landings difficult. Results from Airport D (Table 7) show a significant negative correlation. However, the number of measurements is insufficient to draw definitive conclusions.
In general, there is a noticeable correlation between the number of landings and friction change at the touchdown zones, with Pearson coefficients of −0.44 and −0.47 for friction at 65 km/h and 95 km/h, respectively. One reason for the relatively low correlation is the high variability in the measurements, as observed during the analysis of calibration strip results. Friction measurements for the middle thirds of the runways (Table 8 and Table 9) show lower correlation, particularly for 95 km/h. This low correlation can be explained by the high variability in aircraft traffic over the middle sections, as aircraft may pass the same section twice depending on the location of exit taxiways.
ICAO recommendations do not specify the number of landings before each friction test, but rather define time-based intervals (Table 1). According to these intervals, friction testing should be conducted after 2940–8212 landings, or approximately 5320 landings on average across all intervals. The ICAO-recommended testing intervals were compared to friction reduction rates observed at the studied airports. As a reference, friction reduction from the design objective level to the maintenance planning level was used, since data on friction reduction below the maintenance level were insufficient in the dataset. Data from the secondary runway of Airport A were also excluded due to low traffic and the high likelihood of overestimating reduction rates. Based on the existing reduction rates, the probability of friction reduction from the design objective level to the maintenance planning level between friction tests was estimated (Table 10).
According to existing reduction rates from 4 Australian airports, friction testing intervals recommended by ICAO can allow 0.28 probability of friction reduction from design objective level to maintenance level in between tests. This value is likely overestimated due to high variance of the friction testing results; however, high variance also requires more frequent friction testing. According to the obtained data, to achieve 90% confidence, friction testing should be conducted after approximately 3200 landings for 65 km/h friction and 4000 landings for 95 km/h. These values provide updated recommended testing frequencies that ensure, with 90% confidence, that friction does not fall below the maintenance planning level between tests (Table 11). It is important to note, however, that these reduction rates are based on Australian airports with specific climatic conditions. Hence, the obtained values may not be applicable to other regions.
At the same time, when planning friction testing, it is important to account for seasonal variability in the results. As shown in previous section, there is no reliable method to correct friction measurements based on season or temperature. However, a general awareness that friction tends to be higher during cold and dry periods can help avoid misinterpretation of the results.

4.3. Practical Recommendations Based on the Data Analysis

To ensure timely maintenance and high safety of aircraft operations, it is important to account for both testing variability and friction reduction rates during friction management planning. Analysis of friction testing results from runways and calibration strips at four Australian airports provides the following recommendations for maintenance planning and friction measurement interpretation.

4.3.1. Seasonal and Weather Variability

Friction results can vary due to seasonal and weather conditions. The analysis indicates that these changes cannot be reliably corrected. However, awareness of higher friction levels during cold and dry periods can help avoid misinterpretation of results.

4.3.2. Magnitude of Variability

Seasonal variance and variability due to testing equipment calibration are generally greater than random measurement error. Random deviations range from 0.02 to 0.06, while total deviation, including seasonal changes and equipment calibration, can reach 0.09, which is nearly as high as the difference between the maintenance planning level and the minimum friction level for the GripTester.

4.3.3. Speed Dependence of Measurements

Friction results at 65 km/h are more sensitive to errors, particularly due to seasonal effects. These results exhibit higher variance and slightly weaker correlation with the number of landings. Consequently, 95 km/h results should be prioritized in maintenance decision-making, with 65 km/h results used to confirm these decisions.

4.3.4. Friction Dynamics Post-Construction

After runway construction, friction on dense-graded asphalt shows a noticeable initial improvement, primarily due to the binder scouring effect. Following this, friction gradually decreases, with the reduction rate slowing as 100 m average friction values decline. Touchdown zones of the runway are more susceptible to friction deterioration, whereas deterioration rates are lower in the middle sections of the runway. In contrast, friction reduction for runway thirds remains relatively constant and higher, reflecting the progressive extension of rubber build-up zones. Timely rubber removal in this context can optimize maintenance costs and, in many cases, restore friction levels to values higher than those immediately after construction.

4.3.5. Recommended Testing Intervals

Current friction testing intervals do not provide sufficient confidence, as there is a significant probability of friction reduction from the design objective level to the maintenance planning level between tests. Based on the analysis, it is recommended to reduce testing intervals to approximately 3200 landings to achieve 90% confidence in timely maintenance. Additionally, friction dynamics should be monitored continuously to prevent unexpected reductions. These values, however, are based on testing results from Australian airports and may therefore be limited by specific climatic conditions.

5. Conclusions

This study investigated the variance in runway friction measurement results and the associated pavement life-cycle using data from four Australian airports. The analysis demonstrates that friction measurements are influenced by multiple factors, including tire wear of the testing equipment, seasonal and weather variability, and equipment calibration, with total deviations reaching values comparable to the difference between maintenance planning and minimum friction levels. The results also underscore the significant influence of seasonal and weather-related factors on measured friction. While general trends indicate higher friction during cold and dry periods, no reliable method currently exists to correct friction measurements for seasonal variability. This highlights a clear demand for future studies aimed at developing robust weather correction models that account for temperature, humidity, surface water films, and other environmental factors. Such research could improve the reliability of friction monitoring, enhance predictive maintenance models, and further support the implementation of airport pavement management systems. Friction dynamics are speed-dependent, with 65 km/h measurements showing higher variability and stronger sensitivity to seasonal effects, while 95 km/h results are more stable and better suited for guiding maintenance decisions. Post-construction friction improvements, largely attributed to binder scouring, are followed by gradual reductions, with rubber accumulation causing higher friction loss in runway thirds. Timely rubber removal is therefore critical for optimizing maintenance costs and restoring or exceeding initial friction levels. The study also highlights that ICAO-recommended friction testing intervals may be insufficient to ensure that friction remains above maintenance levels, particularly under variable operational and environmental conditions. Based on observed friction decay rates and measurement variance from Australian airports, testing intervals of approximately 3200 landings are recommended to achieve 90% confidence that friction will not fall from design objective level below the maintenance planning level within this interval. Overall, effective friction management requires accounting for measurement variability, seasonal effects, and traffic-related friction decay. Integrating these factors into an airport pavement management system and maintenance planning can enhance runway safety, optimize maintenance costs, and extend runway surface service life.

Author Contributions

Conceptualization, G.W.; methodology, G.B.; software, G.B.; validation, G.B. and G.W.; formal analysis, G.B.; data curation, G.B.; writing—original draft preparation, G.B.; writing—review and editing, G.W.; visualization, G.W.; supervision, G.W.; project administration, G.W.; funding acquisition, G.W. All authors have read and agreed to the published version of the manuscript.

Funding

This research was funded by the University of the Sunshine Coast, Airport Pavement Research Program, funded by the Australian Airports Association and the Department of Defence, under grant no AAA001/2021.

Data Availability Statement

The products presented in this article are available on request from the corresponding authors.

Acknowledgments

The authors thank the participating airports for providing friction testing data and other relevant information.

Conflicts of Interest

The authors declare no conflicts of interest.

Abbreviations

The following abbreviations are used in this manuscript:
ICAOInternational Civil Aviation Organization
RCRRunway condition report
RWYCCRunway condition code
CFMEContinuous friction measuring equipment
CFMDContinuous friction measuring device
NASANational Aeronautics and Space Administration (USA)
FAAFederal Aviation Administration (USA)
APMSAirport pavement management system
DTMDelay time modeling
GNGrip Number

References

  1. Baimukhametov, G.; White, G. Review and Improvement of Runway Friction and Aircraft Skid Resistance Regulation, Assessment and Management. Appl. Sci. 2025, 15, 548. [Google Scholar] [CrossRef]
  2. Càmara, P.F. Runway Excursion Risk Assessment Diagram. In Proceedings of the International Air Safety Seminar, Singapore, 1–3 November 2011; pp. 131–169. [Google Scholar]
  3. ICAO. Assessment, Measurement and Reporting of Runway Surface Conditions (CIR 355); International Civil Aviation Organization (ICAO): Montreal, QC, Canada, 2019; pp. 1–110. [Google Scholar]
  4. ICAO. Annex 14-Aerodromes-Volume I-Aerodromes Design and Operations; International Civil Aviation Organization (ICAO): Montreal, QC, Canada, 2022; pp. 1–352. [Google Scholar]
  5. Leland, T.J.W.; Yager, T.J.; Joyner, U.T. Effects of Pavement Texture on Wet-Runway Braking Performance; National Aeronautics and Space Administration: Washington, DC, USA, 1968.
  6. Kummer, H.W.; Meyer, W.E. The Penn State Road Friction Tester as Adapted to Routine Measurement of Pavement Skid Resistance. Highw. Res. Rec. 1963, 28, 1–31. [Google Scholar]
  7. Domandt, H.; Meyer, W.E. Measuring Tire Friction Under Slip With The Penn State Road Friction Tester. Highw. Res. Rec. 1968, 214, 34–41. [Google Scholar]
  8. Yager, T.J.; Vogler, V.A.; Baldasare, P. Evaluation of Two Transport Aircraft and Several Ground Test Vehicle Friction Measurements Obtained for Various Runway Surface Types and Conditions: A Summary of Test Results from Joint FAA/NASA Runway Friction Program; National Aeronautics and Space Administration: Washington, DC, USA, 1990.
  9. Dardano, J.; Wickham, G. Australia’s National Friction Testing Programme; Sydney Airport: Sydney, Australia, 2005. [Google Scholar]
  10. Cenek, P.D.; Carpenter, P.; Jamieson, N.J.; Stewart, P.F. Lessons Learnt from Conducting Friction Surveys of Runways and Roads; Opus Laboratories: Christchurch, New Zealand, 2003. [Google Scholar]
  11. Comfort, G.; Rado, Z.; Townshend, T.; Mazur, A. Runway Friction Characteristics Measurement and Aircraft Braking, Final Report. Volume 3-Functional Friction; European Aviation Safety Agency: Cologne, Germany, 2010. [Google Scholar]
  12. Rado, Z.; Radone, E.F. Repeatability and Reproducibility of SAAB Friction Measurement Devices in Self-Wet Mode; Transportation Development Centre, Transport Canada: Montreal, QC, Canada, 2003.
  13. Andresen, A.; Wambold, J.; Henry, J.J. Repeatability of Friction Measurement Devices in Self-Wetting Mode; Transportation Development Centre, Transport Canada: Montreal, QC, Canada, 2001.
  14. Najafi, S.; Flintsch, G.W.; de Leon Izeppi, E.D.; McGhee, K.; Katicha, S. Evaluation of Repeatability and Reproducibility of Continuous Friction Measuring Equipment (CFME) Using Cross-Correlation. Int. J. Pavement Eng. 2017, 18, 521–529. [Google Scholar] [CrossRef]
  15. Li, Q.J.; Wang, K.; Yu, W.; Liu, W. Continuous Friction Measurement Equipment (CFME) for Highway Safety Management in Oklahoma; Oklahoma Department of Transportation: Oklahoma City, OK, USA, 2020. [Google Scholar]
  16. Rasol, M.; Schmidt, F.; Ientile, S. Weather Condition Effect on the Road Surface Friction: A Preliminary Assessment Based on Sensor Data. In Life-Cycle of Structures and Infrastructure Systems; CRC Press: London, UK, 2023; pp. 2187–2194. [Google Scholar]
  17. Cenek, P.D.; Alabaster, D.J.; Davies, R.B. Seasonal and Weather Normalisation of Skid Resistance Measurements; Transfund New Zealand: Wellington, New Zealand, 1999. [Google Scholar]
  18. van Bijsterveld, W.; del Val, M.A. Towards Quantification of Seasonal Variations in Skid Resistance Measurements. Road Mater. Pavement Des. 2016, 17, 477–486. [Google Scholar] [CrossRef]
  19. Ahammed, M.A.; Tighe, S.L. Early-Life, Long-Term, and Seasonal Variations in Skid Resistance in Flexible and Rigid Pavements. Transp. Res. Rec. J. Transp. Res. Board 2009, 2094, 112–120. [Google Scholar] [CrossRef]
  20. Plati, C.; Pomoni, M.; Georgouli, K. Quantification of Skid Resistance Seasonal Variation in Asphalt Pavements. J. Traffic Transp. Eng. 2020, 7, 237–248. [Google Scholar] [CrossRef]
  21. Fuentes, L.G. Investigation of the Factors Influencing Skid Resistance and the International Friction Index; University of South Florida: Tampa, FL, USA, 2009. [Google Scholar]
  22. Bazrafshan, M.; de Rooij, M.B.; Schipper, D.J. Adhesive Force Model at a Rough Interface in the Presence of Thin Water Films: The Role of Relative Humidity. Int. J. Mech. Sci. 2018, 140, 471–485. [Google Scholar] [CrossRef]
  23. Chen, L.; Qian, L. Role of Interfacial Water in Adhesion, Friction, and Wear—A Critical Review. Friction 2021, 9, 1–28. [Google Scholar] [CrossRef]
  24. Miah, M.T.; Oh, E.; Chai, G.; Bell, P. An Overview of the Airport Pavement Management Systems (APMS). Int. J. Pavement Res. Technol. 2020, 13, 581–590. [Google Scholar] [CrossRef]
  25. Roh, S.; Lee, J.; Urbino, I.J.; Lin, W.; Cho, Y. Airport Pavement Maintenance Decision-Making System with Condition Cases Optimization. Appl. Sci. 2023, 13, 13167. [Google Scholar] [CrossRef]
  26. Di Mascio, P.; Moretti, L. Implementation of a Pavement Management System for Maintenance and Rehabilitation of Airport Surfaces. Case Stud. Constr. Mater. 2019, 11, e00251. [Google Scholar] [CrossRef]
  27. de Souza, N.M.; de Almeida Filho, A.T. A Systematic Airport Runway Maintenance and Inspection Policy Based on a Delay Time Modeling Approach. Autom. Constr. 2020, 110, 103039. [Google Scholar] [CrossRef]
  28. ICAO. Procedures for Air Navigation Services-Aerodromes (Doc 9981); International Civil Aviation Organization (ICAO): Montreal, QC, Canada, 2020. [Google Scholar]
  29. ICAO. Aerodrome Design Manual-Part 3-Pavements (Doc 9157-Part 3); International Civil Aviation Organization (ICAO): Montreal, QC, Canada, 2022; pp. 1–146. [Google Scholar]
  30. Ma, Z.; Wang, H.; Zhang, Y.; Jelagin, D.; Hui, B. Study of the Surface Texture Evolution and Friction Degradation in Asphalt Pavements during Wear Process. Wear 2025, 564–565, 205714. [Google Scholar] [CrossRef]
  31. Kane, M.; Edmondson, V. Modelling the Bitumen Scour Effect: Enhancement of a Dynamic Friction Model to Predict the Skid Resistance of Rubber upon Asphalt Pavement Surfaces Subjected to Wear by Traffic Polishing. Wear 2018, 400–401, 100–110. [Google Scholar] [CrossRef]
  32. Xie, L.; Chu, X.; Wang, W.; Chen, C. A Stereoscopic Imaging Arithmetic for 3D Measurement of Road Surface Micro-Texture. In Proceedings of the International Conference on Transportation Engineering 2009, Chengdu, China, 25–27 July 2009; American Society of Civil Engineers: Reston, VA, USA, 2009; pp. 4228–4233. [Google Scholar]
  33. Aquino, T.S.d.A.; de Oliveira, F.H.L.; Mattos, C.L.C. Deep Learning-Based Classification of Runway Pavement Friction from Satellite Imagery. Cad. Pedagógico 2025, 22, e16839. [Google Scholar] [CrossRef]
  34. Kumar, A.; Gupta, A. Review of Factors Controlling Skid Resistance at Tire-Pavement Interface. Adv. Civ. Eng. 2021, 2021, 2733054. [Google Scholar] [CrossRef]
  35. White, G. A Standardised Sprayed Sealing Specification for Australian Airports. In Proceedings of the 12th Conference on Asphalt Pavements for Southern Africa, Sun City, South Africa, 13 October 2019; pp. 806–821. [Google Scholar]
  36. White, G.; Almutairi, H. Laboratory and Field Performance Comparison of Dense Graded and Stone Mastic Asphalt as a Runway Surface. Int. J. Pavement Eng. 2022, 23, 937–949. [Google Scholar] [CrossRef]
  37. White, G.; Dutney, H. Stone Mastic Asphalt as an Ungrooved Runway Surface: Case Study on Emerald Airport. In Eleventh International Conference on the Bearing Capacity of Roads, Railways and Airfields; CRC Press: London, UK, 2021; Volume 1, pp. 367–386. [Google Scholar]
  38. Leu, M.C.; Henry, J.J. Prediction of Skid Resistance as a Function of Speed From Pavement Texture Measurements. Transp. Res. Rec. 1978, 666, 7–13. [Google Scholar]
  39. Wambold, J.C.; Antie, C.E.; Henry, J.J.; Rado, Z.; Descornet, G.; Sandberg, U.; Gothie, M.; Huschek, S. International PIARC Experiment to Compare and Harmonize Texture and Skid Resistance Measurements; Permanent International Association of Road Congresses: Paris, France, 1995. [Google Scholar]
  40. ASTM E1960; Standard Practice for Calculating International Friction Index of a Pavement Surface. ASTM International: West Conshohocken, PA, USA, 1998.
  41. Fuentes, L.G.; Gunaratne, M. Revised Methodology for Computing International Friction Index. Transp. Res. Rec. J. Transp. Res. Board 2011, 2227, 129–137. [Google Scholar] [CrossRef]
  42. Cerezo, V.; Rado, Z.; Kane, M. Encouraging Results of International Friction Measurement Harmonization through Quality Assurance and Calibration. In Proceedings of the 98th Annual Meeting Transportation Research Board, Washington, DC, USA, 7–11 January 2019; pp. 1–21. [Google Scholar]
  43. Pranjić, I.; Deluka-Tibljaš, A.; Cuculić, M.; Šurdonja, S. Influence of Pavement Surface Macrotexture on Pavement Skid Resistance. Transp. Res. Procedia 2020, 45, 747–754. [Google Scholar] [CrossRef]
  44. Chou, C.; Chu, Y.-C. Application of Friction–Speed Model to Evaluate Runway Surface Microtexture and Macrotexture: A Case Study. Int. J. Pavement Eng. 2023, 24, 2044034. [Google Scholar] [CrossRef]
  45. Baimukhametov, G.; White, G. Development, Verification and Assessment of a Laser Profilometer and Analysis Algorithm for Microtexture Assessment of Runway Surfaces. Sensors 2024, 24, 7661. [Google Scholar] [CrossRef]
  46. ICAO. Doc 9137 AN/898: Airport Services Manual. Part 2. Pavement Surface Conditions; International Civil Aviation Organization (ICAO): Montreal, QC, Canada, 2002. [Google Scholar]
  47. FAA. AC 150/5320-12D, Measurement, Construction, and Maintenance of Skid-Resistant Airport Pavement Surfaces; Federal Aviation Administration (FAA): Washington, DC, USA, 2016. [Google Scholar]
  48. CASA. AC 139.C-06 v1.0, Skid Resistance of Aerodrome Pavements; Civil Aviation Safety Authority (CASA): Canberra, Australia, 2021. [Google Scholar]
  49. CAA. Aerodrome Maintenance—Runway Surface Friction Characteristics and Friction Testing. Advisory Circular AC139-13 2015; Civil Aviation Authority (CAA): Wellington, New Zealand, 2015; pp. 1–18. [Google Scholar]
  50. De Luca, M.; Abbondati, F.; Pirozzi, M.; Žilionienė, D. Preliminary Study on Runway Pavement Friction Decay Using Data Mining. Transp. Res. Procedia 2016, 14, 3751–3760. [Google Scholar] [CrossRef][Green Version]
  51. De Luca, M.; Abbondati, F.; Yager, T.J.; Dell’Acqua, G. Field Measurements on Runway Friction Decay Related to Rubber Deposits. Transport 2016, 31, 177–182. [Google Scholar] [CrossRef]
  52. Biancardo, S.A.; Abbondati, F.; Russo, F.; Veropalumbo, R.; Dell’Acqua, G. A Broad-Based Decision-Making Procedure for Runway Friction Decay Analysis in Maintenance Operations. Sustainability 2020, 12, 3516. [Google Scholar] [CrossRef]
  53. Aquino, T.S.d.A.; Chaves, J.W.R.; Oliveira, F.H.L. de Assessing the Impact of Aircraft Landings on Runway Friction Variation in Brasilian Airports. In Anais do XXI Simpósio de Transporte Aéreo-SITRAER 2024; Even3 Publicações: Recife, Brasil, 2024. [Google Scholar]
  54. Airservices Australia Movements at Australian Airports. Available online: https://www.airservicesaustralia.com/aviation-reporting/movements-at-australian-airports/ (accessed on 3 October 2025).
  55. Australian Government Airport Traffic Data. Available online: https://data.gov.au/data/dataset/airport-traffic-data (accessed on 3 October 2025).
  56. Li, Q.J.; Zhan, Y.; Yang, G.; Wang, K.C.P. Pavement Skid Resistance as a Function of Pavement Surface and Aggregate Texture Properties. Int. J. Pavement Eng. 2020, 21, 1159–1169. [Google Scholar] [CrossRef]
  57. Yang, G.; Li, Q.J.; Zhan, Y.; Fei, Y.; Zhang, A. Convolutional Neural Network–Based Friction Model Using Pavement Texture Data. J. Comput. Civ. Eng. 2018, 32, 6. [Google Scholar] [CrossRef]
  58. Yin, C.; Meyer, A. Influence of Adhesion on the Tire-Road Friction Process Regarding Asphalt Type and Sliding Speed. In Proceedings of the Road Pavement and Material Characterization, Modeling, and Maintenance, Reston, VA, USA, 16 May 2011; American Society of Civil Engineers: Reston, VA, USA, 2011; pp. 122–129. [Google Scholar]
  59. Li, Y.; Li, S.; Bai, P.; Jia, W.; Xu, Q.; Meng, Y.; Ma, L.; Tian, Y. Surface Wettability Effect on Aqueous Lubrication: Van Der Waals and Hydration Force Competition Induced Adhesive Friction. J. Colloid Interface Sci. 2021, 599, 667–675. [Google Scholar] [CrossRef]
  60. Abouelsaad, A.; White, G. Review of Asphalt Mixture Ravelling Mechanisms, Causes and Testing. Int. J. Pavement Res. Technol. 2022, 15, 1448–1462. [Google Scholar] [CrossRef]
  61. Schulz, T.; Saastamoinen, M.; Vanhatalo, J. Model-based Variance Partitioning for Statistical Ecology. Ecol. Monogr. 2025, 95, 1646. [Google Scholar] [CrossRef]
  62. Pullen, A.B.; Ashtiani, R.; Cotter, B.; Saeed, A.; Edwards, L. Airport Rubber Removal: A Comparison of Ultra-High Pressure Water Runway Rubber Removal Systems. In Proceedings of the Airfield and Highway Pavement 2013, Los Angeles, CA, USA, 19–22 May 2013; American Society of Civil Engineers: Reston, VA, USA, 2013; pp. 677–690. [Google Scholar]
  63. Gransberg, D.A. Impact of Airport Rubber Removal Techniques on Runways; Transportation Research Board: Washington, DC, USA, 2008; ISBN 978-0-309-41908-6. [Google Scholar]
Figure 1. Runway friction trend monitoring concept [29] (reproduced with permission of ICAO).
Figure 1. Runway friction trend monitoring concept [29] (reproduced with permission of ICAO).
Infrastructures 11 00020 g001
Figure 2. GripTester during runway friction measurements.
Figure 2. GripTester during runway friction measurements.
Infrastructures 11 00020 g002
Figure 3. Results of friction tests on two calibration strips at Airport A between 2008 and 2011 for (a) main runway and (b) secondary runway.
Figure 3. Results of friction tests on two calibration strips at Airport A between 2008 and 2011 for (a) main runway and (b) secondary runway.
Infrastructures 11 00020 g003
Figure 4. Seasonal variation in friction measurements on the calibration strip of the main runway at Airport A at (a) 65 km/h and (b) 95 km/h.
Figure 4. Seasonal variation in friction measurements on the calibration strip of the main runway at Airport A at (a) 65 km/h and (b) 95 km/h.
Infrastructures 11 00020 g004
Figure 5. Seasonal variation in friction measurements on the calibration strip of the secondary runway at Airport A at (a) 65 km/h and (b) 95 km/h.
Figure 5. Seasonal variation in friction measurements on the calibration strip of the secondary runway at Airport A at (a) 65 km/h and (b) 95 km/h.
Infrastructures 11 00020 g005
Figure 6. Results of friction tests on two calibration strips at Airport B between 2008 and 2011 at (a) main runway and (b) secondary runway.
Figure 6. Results of friction tests on two calibration strips at Airport B between 2008 and 2011 at (a) main runway and (b) secondary runway.
Infrastructures 11 00020 g006aInfrastructures 11 00020 g006b
Figure 7. Seasonal variation in friction measurements on the calibration strip of the main runway at Airport B at (a) 65 km/h and (b) 95 km/h.
Figure 7. Seasonal variation in friction measurements on the calibration strip of the main runway at Airport B at (a) 65 km/h and (b) 95 km/h.
Infrastructures 11 00020 g007
Figure 8. Seasonal variation in friction measurements on the calibration strip of the secondary runway at Airport B at (a) 65 km/h and (b) 95 km/h.
Figure 8. Seasonal variation in friction measurements on the calibration strip of the secondary runway at Airport B at (a) 65 km/h and (b) 95 km/h.
Infrastructures 11 00020 g008
Figure 9. Average friction on the calibration strip of Airport B and surface temperature for (a) main runway and (b) secondary runway.
Figure 9. Average friction on the calibration strip of Airport B and surface temperature for (a) main runway and (b) secondary runway.
Infrastructures 11 00020 g009
Figure 10. Friction measurements for each third of the main runway at Airport C, 2020–2024 at (a) 65 km/h; (b) 95 km/h.
Figure 10. Friction measurements for each third of the main runway at Airport C, 2020–2024 at (a) 65 km/h; (b) 95 km/h.
Infrastructures 11 00020 g010aInfrastructures 11 00020 g010b
Figure 11. Friction measurements for each third of the secondary runway at Airport C, 2020–2024 at (a) 65 km/h; (b) 95 km/h.
Figure 11. Friction measurements for each third of the secondary runway at Airport C, 2020–2024 at (a) 65 km/h; (b) 95 km/h.
Infrastructures 11 00020 g011
Figure 12. Friction reduction per 1000 aircraft movements and corresponding friction levels at (a) 65 km/h; (b) 95 km/h.
Figure 12. Friction reduction per 1000 aircraft movements and corresponding friction levels at (a) 65 km/h; (b) 95 km/h.
Infrastructures 11 00020 g012
Figure 13. Relative change in friction versus aircraft landings across all airports (friction measured 3 m from the centerline): (a) 65 km/h; (b) 95 km/h.
Figure 13. Relative change in friction versus aircraft landings across all airports (friction measured 3 m from the centerline): (a) 65 km/h; (b) 95 km/h.
Infrastructures 11 00020 g013
Table 1. Friction survey frequency based on the level of turbojet airplane operations for each runway end [46].
Table 1. Friction survey frequency based on the level of turbojet airplane operations for each runway end [46].
Number of Daily Minimum Turbojet Aircraft Landings per Runway EndMinimum Friction Survey Frequency
Less than 151 year
16 to 306 months
31 to 903 months
91 to 1501 month
151 to 2102 weeks
Greater than 2101 week
Table 2. General information on the analyzed airports.
Table 2. General information on the analyzed airports.
AirportRunway Length, kmApproximate Annual Passenger Traffic, Million PeopleApproximate Annual Aircraft Operations, Thousand Movements
A1.5 and 39100
B2 and 3.536217
C2 and 3.517160
D2.5251
Table 3. Random and total variance of friction testing results for the calibration strips at Airport A.
Table 3. Random and total variance of friction testing results for the calibration strips at Airport A.
Speed, km/hCalibration StripNumber of RunsRandom Variance for Each Third of the StripTotal Variance of Average FrictionApproximated Contribution of Random Error to Total Variance
Variance, µ2Standard Deviation, µVariance, µ2Standard Deviation, µ
65Main runway330.000760.0280.002940.0540.257
Secondary runway220.002910.0540.003850.0620.756
95Main runway330.001370.0370.002740.0520.500
Secondary runway220.002430.0490.002920.0540.831
Table 4. Random and total variance of friction testing results for the calibration strips at Airport B.
Table 4. Random and total variance of friction testing results for the calibration strips at Airport B.
Speed, km/hCalibration StripNumber of RunsRandom Variance for Each Third of the StripTotal Variance of Average FrictionApproximated Contribution of Random Error to Total Variance
Variance, µ2Standard Deviation, µVariance, µ2Standard Deviation, µ
65Main runway110.000350.0190.007100.0840.050
Secondary runway110.000470.0220.008300.0910.057
95Main runway110.000250.0160.005180.0720.048
Secondary runway110.000320.0180.005920.0770.055
Table 5. Relative change in friction for 100 m averages at the touchdown zone and number of aircraft landings for Airport A.
Table 5. Relative change in friction for 100 m averages at the touchdown zone and number of aircraft landings for Airport A.
RunwayLandingsRelative Change in Friction, 3 m, 65 km/hRelative Change in Friction, 6 m, 65 km/hRelative Change in Friction, 3 m, 95 km/hRelative Change in Friction, 6 m, 95 km/h
Airport A main runway6315−0.285−0.159−0.291−0.067
6315−0.273−0.212−0.164−0.023
19,645−0.335−0.273−0.437−0.053
19,645−0.399−0.071−0.369−0.027
4989−0.024−0.2330.0430.007
4989−0.166−0.175−0.088−0.002
16,624−0.251−0.003−0.1130.023
16,624−0.0830.055−0.081−0.001
1338−0.097−0.107−0.150−0.089
1338−0.077−0.0240.003−0.029
3896−0.073−0.255−0.170−0.038
3896−0.048−0.151−0.117−0.123
35130.2090.0570.0240.025
35130.1440.007−0.0230.015
10,2270.0830.0730.083−0.048
10,227−0.089−0.079−0.133−0.012
5620−0.196−0.039−0.043−0.037
5620−0.038−0.025−0.129−0.009
13,396−0.122−0.124−0.1610.028
13,396−0.0210.153−0.0520.044
42150.0290.014−0.135−0.010
4215−0.2240.015−0.146−0.036
10,047−0.081−0.190−0.181−0.060
10,047−0.185−0.111−0.233−0.077
Airport A secondary runway49−0.0010.0340.0040.118
49−0.068−0.0030.0170.034
490.0770.1100.0650.099
490.0620.0070.0080.075
540.0960.0040.0550.048
54−0.068−0.139−0.0950.012
540.0800.0800.1520.152
54−0.0190.061−0.0240.131
Pearson coefficient−0.581−0.193−0.627−0.359
Table 6. Relative change in friction for 100 m averages at the touchdown zone and number of aircraft landings for Airport C.
Table 6. Relative change in friction for 100 m averages at the touchdown zone and number of aircraft landings for Airport C.
RunwayLandingsRelative Change in Friction, 3 m, 65 km/hRelative Change in Friction, 6 m, 65 km/hRelative Change in Friction, 3 m, 95 km/hRelative Change in Friction, 6 m, 95 km/h
Airport C main runway1735−0.160−0.095−0.137−0.105
1735−0.1640.038−0.198−0.058
3827−0.0800.057−0.078−0.024
3827−0.077−0.292−0.142−0.161
19,874−0.178−0.171−0.151−0.062
19,874−0.053−0.118−0.142−0.081
10,092−0.128−0.200−0.186−0.132
10,092−0.198−0.153−0.090−0.114
4299−0.074−0.016−0.199−0.196
4299−0.131−0.039−0.085−0.186
7768−0.133−0.099−0.131−0.232
7768−0.134−0.032−0.244−0.214
Airport C secondary runway19520.0270.088−0.065−0.058
1952−0.008−0.030−0.1250.016
76970.0350.078−0.104−0.024
76970.0100.044−0.0950.069
582−0.085−0.040−0.1510.017
582−0.100−0.054−0.062−0.058
3766−0.080−0.039−0.042−0.067
3766−0.111−0.057−0.060−0.109
1836−0.147−0.128−0.209−0.043
1836−0.188−0.069−0.235−0.180
8682−0.126−0.126−0.132−0.110
8682−0.190−0.068−0.153−0.072
1615−0.165−0.191−0.180−0.171
1615−0.142−0.141−0.1210.088
8114−0.156−0.211−0.173−0.201
8114−0.149−0.125−0.251−0.044
Pearson coefficient−0.083−0.273−0.096−0.112
Table 7. Relative change in friction for 100 m averages at the touchdown zone and number of aircraft landings for Airport D.
Table 7. Relative change in friction for 100 m averages at the touchdown zone and number of aircraft landings for Airport D.
RunwayLandingsRelative Change in Friction, 3 m, 65 km/hRelative Change in Friction, 6 m, 65 km/hRelative Change in Friction, 3 m, 95 km/hRelative Change in Friction, 6 m, 95 km/h
Airport D main runway2457−0.070−0.045−0.049−0.125
2457−0.076−0.081−0.0370.029
10530.0940.006−0.0270.015
1053−0.055−0.0950.150−0.117
Pearson coefficient−0.660−0.243−0.6400.018
Table 8. Relative change in friction for the second third of the runway and number of aircraft landings for Airport A.
Table 8. Relative change in friction for the second third of the runway and number of aircraft landings for Airport A.
RunwayTotal LandingsRelative Change in Friction, 3 m, 65 km/hRelative Change in Friction, 6 m, 65 km/hRelative Change in Friction, 3 m, 95 km/hRelative Change in Friction, 6 m, 95 km/h
Airport A main runway25,960−0.125−0.015−0.102−0.105
21,614−0.106−0.196−0.006−0.124
52340.104−0.1130.079−0.051
13,7400.0140.066−0.0350.071
19,016−0.1450.012−0.028−0.104
14,2620.101−0.058−0.034−0.031
25,960−0.091−0.051−0.191−0.009
21,614−0.032−0.2210.184−0.202
5234−0.081−0.080−0.104−0.052
13,7400.0230.089−0.0210.044
19,016−0.058−0.041−0.005−0.026
14,262−0.057−0.009−0.114−0.082
Airport A secondary runway1080.0310.018−0.013−0.032
1080.0580.0730.0030.068
Pearson coefficient−0.644−0.339−0.184−0.462
Table 9. Relative change in friction for the second third of the runway and number of aircraft landings for Airport C.
Table 9. Relative change in friction for the second third of the runway and number of aircraft landings for Airport C.
RunwayTotal LandingsRelative Change in Friction, 3 m, 65 km/hRelative Change in Friction, 6 m, 65 km/hRelative Change in Friction, 3 m, 95 km/hRelative Change in Friction, 6 m, 95 km/h
Airport C main runway29,966−0.125−0.151−0.162−0.154
12,067−0.194−0.123−0.258−0.194
5562−0.161−0.117−0.180−0.224
29,966−0.123−0.189−0.116−0.231
12,067−0.133−0.012−0.306−0.097
21,5800.1170.0480.0450.080
5562−0.156−0.023−0.130−0.032
29,966−0.108−0.075−0.061−0.064
12,067−0.187−0.117−0.207−0.128
5562−0.301−0.427−0.249−0.077
29,966−0.125−0.183−0.069−0.163
12,067−0.183−0.046−0.215−0.075
Airport C secondary runway9649−0.0410.047−0.025−0.040
4348−0.054−0.033−0.132−0.034
10,518−0.177−0.166−0.070−0.057
9729−0.063−0.040−0.175−0.159
9649−0.022−0.036−0.041−0.094
4348−0.1020.069−0.193−0.051
10,518−0.141−0.160−0.148−0.101
9729−0.131−0.025−0.286−0.198
9649−0.069−0.028−0.027−0.020
4348−0.041−0.035−0.078−0.076
10,518−0.152−0.033−0.148−0.047
9729−0.106−0.120−0.196−0.142
9649−0.010−0.053−0.045−0.023
4348−0.120−0.097−0.176−0.011
10,518−0.106−0.073−0.174−0.101
9729−0.242−0.164−0.236−0.135
Pearson coefficient−0.010−0.2480.204−0.405
Table 10. Estimated probability of a friction drop between testing intervals.
Table 10. Estimated probability of a friction drop between testing intervals.
ParameterSpeedReduction from Objective Design Level to Maintenance Planning Level
Reduction (%)65 km/h28.38
95 km/h43.75
Estimated probability of a friction drop between testing intervals65 km/h0.067–0.276
95 km/h0.015–0.174
Table 11. Recommended testing intervals based on the friction testing data.
Table 11. Recommended testing intervals based on the friction testing data.
Number of Daily Minimum Turbojet Aircraft Landings per Runway EndMinimum Friction Survey Frequency According to ICAOMinimum Friction Survey Frequency to Provide 90% Confidence of Friction Staying Above Maintenance Planning Level
Less than 15365 days210 days
16 to 30183 days105 days
31 to 9092 days35 days
91 to 15031 days21 days
151 to 21015 days15 days
Greater than 2107 days7 days
Disclaimer/Publisher’s Note: The statements, opinions and data contained in all publications are solely those of the individual author(s) and contributor(s) and not of MDPI and/or the editor(s). MDPI and/or the editor(s) disclaim responsibility for any injury to people or property resulting from any ideas, methods, instructions or products referred to in the content.

Share and Cite

MDPI and ACS Style

Baimukhametov, G.; White, G. Analysis of Variance in Runway Friction Measurements and Surface Life-Cycle: A Case Study of Four Australian Airports. Infrastructures 2026, 11, 20. https://doi.org/10.3390/infrastructures11010020

AMA Style

Baimukhametov G, White G. Analysis of Variance in Runway Friction Measurements and Surface Life-Cycle: A Case Study of Four Australian Airports. Infrastructures. 2026; 11(1):20. https://doi.org/10.3390/infrastructures11010020

Chicago/Turabian Style

Baimukhametov, Gadel, and Greg White. 2026. "Analysis of Variance in Runway Friction Measurements and Surface Life-Cycle: A Case Study of Four Australian Airports" Infrastructures 11, no. 1: 20. https://doi.org/10.3390/infrastructures11010020

APA Style

Baimukhametov, G., & White, G. (2026). Analysis of Variance in Runway Friction Measurements and Surface Life-Cycle: A Case Study of Four Australian Airports. Infrastructures, 11(1), 20. https://doi.org/10.3390/infrastructures11010020

Article Metrics

Back to TopTop