Sign in to use this feature.

Years

Between: -

Subjects

remove_circle_outline
remove_circle_outline
remove_circle_outline
remove_circle_outline
remove_circle_outline
remove_circle_outline
remove_circle_outline
remove_circle_outline
remove_circle_outline

Journals

remove_circle_outline
remove_circle_outline
remove_circle_outline
remove_circle_outline
remove_circle_outline

Article Types

Countries / Regions

remove_circle_outline
remove_circle_outline
remove_circle_outline
remove_circle_outline

Search Results (448)

Search Parameters:
Keywords = waste to bioenergy

Order results
Result details
Results per page
Select all
Export citation of selected articles as:
19 pages, 1143 KB  
Article
Utilisation of Woody Waste from Wine Production for Energy Purposes Depending on the Place of Cultivation
by Magdalena Kapłan, Grzegorz Maj, Kamila E. Klimek, Richard Danko, Mojmir Baroň and Radek Sotolář
Agriculture 2026, 16(2), 212; https://doi.org/10.3390/agriculture16020212 - 14 Jan 2026
Viewed by 173
Abstract
Orchard crops generate substantial quantities of diverse biomass each year, with grapevines being among the most economically significant species worldwide. Considering the scale of this biomass, there is a growing need to explore rational strategies for its utilisation, for example, for energy production [...] Read more.
Orchard crops generate substantial quantities of diverse biomass each year, with grapevines being among the most economically significant species worldwide. Considering the scale of this biomass, there is a growing need to explore rational strategies for its utilisation, for example, for energy production or other value-added applications. Such approaches may contribute to improving resource efficiency and reducing the environmental burden associated with agricultural waste. The aim of this study was to examine the energy potential of woody post-production waste from wine processing, with particular emphasis on grape stems of four cultivars—Chardonnay, Riesling, Merlot, and Zweigelt—grown in two contrasting climatic regions: south-eastern Poland and Moravia (Czech Republic). The results demonstrated that both the grape variety and cultivation site significantly influenced the majority of bunch biometric traits, including bunch and berry weight, berry number, and stem dimensions. A moderately warm climate promoted the development of larger and heavier bunches as well as more robust stems across all examined cultivars. Energy analyses indicated that Zweigelt stems produced under moderately warm conditions and Chardonnay stems from a temperate climate exhibited the most favourable combustion properties. Nonetheless, certain constraints were identified, such as increased ash (12.20%) and moisture content (11.51%) in Chardonnay grown in warmer conditions, and elevated CO and CO2 emissions observed for Zweigelt (1333.26 kg·mg−1). Overall, the findings confirm that grape stems constitute a promising local source of bioenergy, with their energy performance determined predominantly by varietal characteristics and climatic factors. Their utilisation aligns with circular-economy principles and may help reduce the environmental impacts associated with traditional viticultural waste management. Full article
(This article belongs to the Section Agricultural Technology)
Show Figures

Figure 1

28 pages, 2246 KB  
Systematic Review
The Circular Economy as an Environmental Mitigation Strategy: Systematic and Bibliometric Analysis of Global Trends and Cross-Sectoral Approaches
by Aldo Garcilazo-Lopez, Danny Alonso Lizarzaburu-Aguinaga, Emma Verónica Ramos Farroñán, Carlos Del Valle Jurado, Carlos Francisco Cabrera Carranza and Jorge Leonardo Jave Nakayo
Environments 2026, 13(1), 48; https://doi.org/10.3390/environments13010048 - 13 Jan 2026
Viewed by 297
Abstract
The growing global environmental crisis calls for fundamental transformations in production and consumption systems, but the understanding of how circular economy strategies translate into quantifiable environmental benefits remains fragmented across sectors and geographies. The objective of this study is to synthesize current scientific [...] Read more.
The growing global environmental crisis calls for fundamental transformations in production and consumption systems, but the understanding of how circular economy strategies translate into quantifiable environmental benefits remains fragmented across sectors and geographies. The objective of this study is to synthesize current scientific knowledge on the circular economy as an environmental mitigation strategy, identifying conceptual convergences, methodological patterns, geographic distributions, and critical knowledge gaps. A systematic review combined with a bibliometric analysis of 62 peer-reviewed articles published between 2018 and 2024, retrieved from Scopus, Web of Science, ScienceDirect, Springer Link and Wiley Online Library, was conducted following the PRISMA 2020 guidelines. The results reveal a marked methodological convergence around life cycle assessment, with Europe dominating the scientific output (58% of the corpus). Four complementary conceptual frameworks emerged, emphasizing closed-loop material flows, environmental performance, integration of economic sustainability and business model innovation. The thematic analysis identified bioenergy and waste valorization as the most mature implementation pathways, constituting 23% of the research emphasis. However, critical gaps remain: geographic concentration limits the transferability of knowledge to diverse socioeconomic contexts; social, cultural and behavioral dimensions remain underexplored (12% of publications); and environmental justice considerations receive negligible attention. Crucially, the evidence reveals nonlinear relationships between circularity metrics and environmental outcomes, calling into question automatic benefits assumptions. This review contributes to an integrative synthesis that advances theoretical understanding of circularity-environment relationships while providing evidence-based guidance for researchers, practitioners, and policy makers involved in transitions to the circular economy. Full article
Show Figures

Figure 1

17 pages, 1626 KB  
Article
Syngas Production from Liquid and Solid Fractions of Swine Manure in a 0.5 kWth Chemical Looping Gasification Unit
by Yldeney Domingos, Margarita de Las Obras Loscertales, María T. Izquierdo and Alberto Abad
Energies 2026, 19(2), 317; https://doi.org/10.3390/en19020317 - 8 Jan 2026
Viewed by 207
Abstract
Swine manure, a heterogeneous livestock waste composed of solid and liquid excreta, can be sustainably converted through Chemical Looping Gasification (CLG) to produce syngas and bioenergy. Integrated with CO2 capture, the process enables high-purity hydrogen generation and offers a potential route toward [...] Read more.
Swine manure, a heterogeneous livestock waste composed of solid and liquid excreta, can be sustainably converted through Chemical Looping Gasification (CLG) to produce syngas and bioenergy. Integrated with CO2 capture, the process enables high-purity hydrogen generation and offers a potential route toward net-negative carbon emissions. The experimental campaign was conducted at 900 °C in a continuously operated 0.5 kWth CLG unit consisting of two interconnected fluidized bed reactors (fuel and air). Ilmenite was employed as the oxygen carrier to provide the oxygen required for gasification. This study focuses on the gasification of raw swine manure, comprising both solid and liquid fractions. The solid fraction was introduced via a screw feeder, while the liquid fraction was simulated by injecting an ammonia–water solution as gasifying agents (water or ammonia + water). The effect of the liquid fraction on syngas composition, carbon conversion, and nitrogen species (N2, NH3, N2O, NO2, and NO) was evaluated at ammonia concentrations typical of swine manure (800–5600 mg/L). Results showed an average syngas composition for solid and liquid fraction feeding of ~31% CO2, 20% CO, 41% H2, 7% CH4, and 0.5% C2 hydrocarbons, with 91–96% carbon conversion. Benzene and naphthalene dominated the tar compounds. CO2 capture potential reached 60%, with nitrogen mainly converted to N2. Full article
Show Figures

Graphical abstract

30 pages, 1055 KB  
Review
Anaerobic Digestion of Flower Waste: A Review on Biomethane Potential, Process Optimization, and Sustainability Perspectives
by Mariana Rodriguez Popich, Miguel Nogueira and Rita Fragoso
Energies 2026, 19(2), 289; https://doi.org/10.3390/en19020289 - 6 Jan 2026
Viewed by 312
Abstract
The global floriculture industry generates massive organic residues that pose environmental risks but offer untapped bioenergy potential. This review evaluates the feasibility of valorizing flower waste through anaerobic digestion (AD) by synthesizing experimental data on substrate characterization, pretreatment efficacy, and reactor performance. Results [...] Read more.
The global floriculture industry generates massive organic residues that pose environmental risks but offer untapped bioenergy potential. This review evaluates the feasibility of valorizing flower waste through anaerobic digestion (AD) by synthesizing experimental data on substrate characterization, pretreatment efficacy, and reactor performance. Results indicate that biochemical methane potentials (BMP) vary significantly, ranging from 89 to 412 mLCH4·g−1VS, depending on plant species and tissue composition. Major bottlenecks include high lignocellulosic recalcitrance (lignin content up to 0.28 g·g−1TS) and the presence of inhibitory phenolic compounds. Analysis reveals that while alkaline pretreatments effectively disrupt lignocellulosic structures, co-digestion strategies are essential to mitigate inhibition and balance nutrient ratios. However, current research is predominantly limited to laboratory-scale batch assays, leaving a critical knowledge gap regarding long-term process stability and inhibition dynamics in continuous systems. To transform this laboratory concept into a scalable technology, future efforts must focus on pilot-scale continuous reactor trials, standardized testing protocols, and comprehensive techno-economic and life cycle assessments. Full article
(This article belongs to the Special Issue Biomass Resources to Bioenergy: 2nd Edition)
Show Figures

Graphical abstract

34 pages, 1919 KB  
Review
Life Cycle Optimization of Circular Industrial Processes: Advances in By-Product Recovery for Renewable Energy Applications
by Kyriaki Kiskira, Sofia Plakantonaki, Nikitas Gerolimos, Konstantinos Kalkanis, Emmanouela Sfyroera, Fernando Coelho and Georgios Priniotakis
Clean Technol. 2026, 8(1), 5; https://doi.org/10.3390/cleantechnol8010005 (registering DOI) - 5 Jan 2026
Viewed by 466
Abstract
The global shift toward renewable energy and circular economy models requires industrial systems that minimize waste and recover value across entire life cycles. This review synthesizes recent advances in by-product recovery technologies supporting renewable energy and circular industrial processes. Thermal, biological, chemical/electrochemical, and [...] Read more.
The global shift toward renewable energy and circular economy models requires industrial systems that minimize waste and recover value across entire life cycles. This review synthesizes recent advances in by-product recovery technologies supporting renewable energy and circular industrial processes. Thermal, biological, chemical/electrochemical, and biotechnological routes are analyzed across battery and e-waste recycling, bioenergy, wastewater, and agri-food sectors, with emphasis on integration through Life Cycle Assessment (LCA), techno-economic analysis (TEA), and multi-criteria decision analysis (MCDA) coupled to process simulation, digital twins, and artificial intelligence tools. Policy and economic frameworks, including the European Green Deal and the Critical Raw Materials Act, are examined in relation to technology readiness and environmental performance. Hybrid recovery systems, such as pyro-hydro-bio configurations, enable higher resource efficiency and reduced environmental impact compared with stand-alone routes. Across all technologies, major hotspots include electricity demand, reagent use, gas handling, and concentrate management, while process integration, heat recovery, and realistic substitution credits significantly improve life cycle outcomes. Harmonized LCA-TEA-MCDA frameworks and digitalized optimization emerge as essential tools for scaling sustainable, resource-efficient, and low-impact industrial ecosystems consistent with circular economy and renewable energy objectives. Full article
Show Figures

Figure 1

29 pages, 5082 KB  
Article
Technology Readiness of Biomass Waste-to-Energy in Indonesia: A Multistakeholder Assessment of Anaerobic Digestion of Palm Oil Mill Effluent and Municipal Organic Waste
by Nanda Asridinan Noor, Andante Hadi Pandyaswargo, Meita Rumbayan and Hiroshi Onoda
Energies 2026, 19(1), 255; https://doi.org/10.3390/en19010255 - 2 Jan 2026
Viewed by 552
Abstract
Indonesia faces growing pressure to strengthen waste management while expanding renewable energy generation, particularly from high-moisture biomass such as palm oil mill effluent (POME) and the organic fraction of municipal solid waste (OFMSW). Anaerobic digestion technology (ADT) is technically suitable for both feedstocks; [...] Read more.
Indonesia faces growing pressure to strengthen waste management while expanding renewable energy generation, particularly from high-moisture biomass such as palm oil mill effluent (POME) and the organic fraction of municipal solid waste (OFMSW). Anaerobic digestion technology (ADT) is technically suitable for both feedstocks; however, its deployment depends on broader operational, financial, social, and institutional conditions. This study evaluates ADT readiness for biomass waste-to-energy (BWTE) development in Indonesia using a multistakeholder Japanese Technology Readiness Assessment (J-TRA) framework. The results and discussion are supported by a literature review, secondary data analysis, and interviews with government agencies, industry actors, financiers, non-governmental organizations, and researchers. The results reveal a clear divergence in readiness outcomes. POME-based ADT reaches Technology Readiness Levels (TRLs) of 6–8, supported by a stable and homogeneous feedstock supply, established industrial operations, and corporate incentives to mitigate methane emissions. Key remaining constraints relate to high capital costs for smaller mills, low electricity purchase tariffs, and competing export incentives for untreated POME. In contrast, OFMSW-based ADT remains at TRL 2–4, constrained by inconsistent waste segregation, insufficient operation and maintenance capacity, limited municipal budgets, residential safety concerns, and fragmented governance across waste and energy institutions. Across both cases, readiness is shaped by five interacting forces. The first three are technical: feedstock characteristics, operations and maintenance (O&M) capability, and financial certainty. The remaining two are enabling conditions: social acceptance and institutional coordination. This study concludes that Indonesia’s BWTE transition requires integrated technological, behavioral, and policy interventions, supported by further research on hybrid valorization pathways and context-specific life-cycle and cost analyses. Full article
Show Figures

Figure 1

17 pages, 1903 KB  
Review
Coupled Black Soldier Fly Larvae Processing and Anaerobic Digestion Technologies for Enhanced Vacuum Blackwater Treatment and Resource Recovery: A Review
by Zelong Wang, Yunjuan Ruan, Ndungutse Jean Maurice, Halima Niyilolawa Giwa and Abdulmoseen Segun Giwa
Fermentation 2026, 12(1), 23; https://doi.org/10.3390/fermentation12010023 - 1 Jan 2026
Viewed by 397
Abstract
Concentrated wastewater streams, like vacuum blackwater (VBW), pose significant management challenges due to their high organic strength and pathogen loads. This review evaluates an integrated biorefinery model employing sequential black soldier fly larvae (BSFL) bioconversion and thermophilic anaerobic digestion (TAD) as a circular [...] Read more.
Concentrated wastewater streams, like vacuum blackwater (VBW), pose significant management challenges due to their high organic strength and pathogen loads. This review evaluates an integrated biorefinery model employing sequential black soldier fly larvae (BSFL) bioconversion and thermophilic anaerobic digestion (TAD) as a circular solution for effective VBW management. The BSFL pretreatment facilitates bio-stabilization, mitigates ammonia inhibition via nitrogen assimilation, and initiates contaminant degradation. However, this stage alone does not achieve complete hygienization, as it fails to inactivate resilient pathogens, including helminth eggs and spore-forming bacteria, thus precluding the safe direct use of frass as fertilizer. By directing the frass into TAD, the system addresses this limitation while enhancing bioenergy recovery: the frass serves as an optimized, nutrient-balanced substrate that increases biomethane yields, while the sustained thermophilic conditions ensure comprehensive pathogen destruction, resulting in the generation of a sterile digestate. Additionally, the harvested larval biomass offers significant valorization flexibility, making it suitable for use as high-protein animal feed or for conversion into biodiesel through lipid transesterification or co-digestion in TAD to yield high biomethane. Consequently, the BSFL-TAD synergy enables net-positive bioenergy production, achieves significant greenhouse gas mitigation, and co-generates digestate as sanitized organic biofertilizer. This cascading approach transforms hazardous waste into multiple renewable resources, advancing both process sustainability and economic viability within a circular bioeconomy framework. Full article
(This article belongs to the Special Issue Fermentation Processes and Product Development)
Show Figures

Figure 1

23 pages, 2008 KB  
Article
Backpropagation DNN and Thermokinetic Analysis of the Thermal Devolatilization of Dried Pulverized Musa sapientum (Banana) Peel
by Abdulrazak Jinadu Otaru
Polymers 2026, 18(1), 122; https://doi.org/10.3390/polym18010122 - 31 Dec 2025
Viewed by 302
Abstract
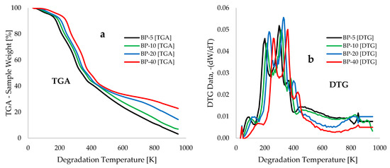
This study examined the thermal degradation of pulverized Musa sapientum (banana) peel waste through thermogravimetric measurements and thermokinetic modelling. For the first time, it also incorporated backpropagation deep learning to model pyrolysis traces, enabling the prediction and optimization of the process. Physicochemical characterization [...] Read more.
This study examined the thermal degradation of pulverized Musa sapientum (banana) peel waste through thermogravimetric measurements and thermokinetic modelling. For the first time, it also incorporated backpropagation deep learning to model pyrolysis traces, enabling the prediction and optimization of the process. Physicochemical characterization confirmed the material’s lignocellulosic composition. TGA was performed between 30 and 950 °C at heating rates of 5, 10, 20, and 40 °C min−1, identifying a primary devolatilization range of 190 to 660 °C. The application of a backpropagation machine learning technique to the processed TGA data enabled the estimation of arbitrary constants that accurately captured the characteristic behaviour of the experimental data (R2~0.99). This modelling and simulation approach achieved a significant reduction in training loss—decreasing from 35.9 to 0.07—over 47,688 epochs and 1.4 computational hours. Sensitivity analysis identified degradation temperature as the primary parameter influencing the thermochemical conversion of BP biomass. Furthermore, analyzing deconvoluted DTG traces via Criado master plots revealed that the 3D diffusion model (Jander [D3]) is the most suitable reaction model for the hemicellulose, cellulose, and lignin components, followed by the R2 and R3 geometrical contraction models. The estimated overall activation energy values obtained through the Starink (STK) and Friedman (FR) model-free isoconversional kinetic methods were 82.8 ± 3.3 kJ.mol−1 and 97.6 ± 3.9 kJ.mol−1, respectively. The thermodynamic parameters estimated for the pyrolysis of BP indicate that the formation of activated complexes is endothermic, endergonic, and characterized by reduced disorder, thereby establishing BP as a potential candidate material for bioenergy generation. Full article
Show Figures

Figure 1

20 pages, 1154 KB  
Review
A Comprehensive Review on Hydrogen Production from Biomass Gasification
by Mattia Bartoli, Candido Fabrizio Pirri and Sergio Bocchini
Molecules 2026, 31(1), 99; https://doi.org/10.3390/molecules31010099 - 25 Dec 2025
Viewed by 596
Abstract
Hydrogen production from biomass gasification has emerged as a strategic pathway for achieving carbon-neutral energy systems, circular resource utilization, and sustainable fuel generation. As global energy systems transition toward renewable sources, biomass-derived hydrogen represents a cornerstone of waste valorization, negative-emission bioenergy, and green [...] Read more.
Hydrogen production from biomass gasification has emerged as a strategic pathway for achieving carbon-neutral energy systems, circular resource utilization, and sustainable fuel generation. As global energy systems transition toward renewable sources, biomass-derived hydrogen represents a cornerstone of waste valorization, negative-emission bioenergy, and green hydrogen economies. Among all technologies, hydrogen production through gasification is one of the most consolidated routes with plenty of operative industrial-scale plants. The field of gasification is quite complex, and this comprehensive review describes the current scientific and technological achievements of biomass gasification for hydrogen production, describing the effect of feedstock, reactivity phenomena, reactor design, and catalyst systems. Furthermore, we report on a quantitative analysis regarding the operative cost of gasification of biomass compared with green hydrogen production and methane reforming. We provide a complete and synthetic picture for one of the most critical fields in the hydrogen economy that can actively promote a transition towards a more sustainable society. Full article
(This article belongs to the Collection Recycling of Biomass Resources: Biofuels and Biochemicals)
Show Figures

Graphical abstract

29 pages, 988 KB  
Review
Bio-Circular Economy and Digitalization: Pathways for Biomass Valorization and Sustainable Biorefineries
by Sergio A. Coronado-Contreras, Zaira G. Ibarra-Manzanares, Alma D. Casas-Rodríguez, Álvaro Javier Pastrana-Pastrana, Leonardo Sepúlveda and Raúl Rodríguez-Herrera
Biomass 2026, 6(1), 1; https://doi.org/10.3390/biomass6010001 - 22 Dec 2025
Viewed by 835
Abstract
This review examines how the integration of circular bioeconomy principles with digital technologies can drive climate change mitigation, improve resource efficiency, and facilitate sustainable biorefinery development. This highlights the urgent need to transition away from fossil fuels and introduces the bio-circular economy as [...] Read more.
This review examines how the integration of circular bioeconomy principles with digital technologies can drive climate change mitigation, improve resource efficiency, and facilitate sustainable biorefinery development. This highlights the urgent need to transition away from fossil fuels and introduces the bio-circular economy as a regenerative model focused on biomass valorization, reuse, recycling, and biodegradability. This study compares linear, circular, and bio-circular approaches and analyzes key policy frameworks in Europe, Latin America, and Asia linked to several UN Sustainable Development Goals. A central focus is the role of digitalization, particularly artificial intelligence (AI), the Internet of Things (IoT), and blockchain. Examples include AI-based biomass yield prediction and biorefinery optimization, IoT-enabled real-time monitoring of material and energy flows, and blockchain technology for supply chain traceability and transparency. Applications in agricultural waste valorization, bioplastics, bioenergy, and nutraceutical extraction are also discussed in this review. Sustainability tools, such as automated life-cycle assessment (LCA) and Industry 4.0 integration, are outlined. Finally, future perspectives emphasize autonomous smart biorefineries, biotechnology–nanotechnology convergence, and international collaboration supported by open data platforms. Full article
Show Figures

Figure 1

12 pages, 1475 KB  
Article
Raman Spectroscopy for Testing Wood Pellets
by Tereza Zemánková, Martin Kizovský, Zdeněk Pilát, Pavlína Modlitbová, Jan Ježek, Martin Šiler and Ota Samek
Methods Protoc. 2026, 9(1), 3; https://doi.org/10.3390/mps9010003 - 21 Dec 2025
Viewed by 331
Abstract
The creation of bioenergy based on the biomass wood pellet industry, which accounts for the majority of the global biomass supply, is one of the most common and important ways to utilize waste wood, wood dust, and other byproducts of wood manufacturing, known [...] Read more.
The creation of bioenergy based on the biomass wood pellet industry, which accounts for the majority of the global biomass supply, is one of the most common and important ways to utilize waste wood, wood dust, and other byproducts of wood manufacturing, known as forestry residues. Pellet production processes might greatly benefit from fast monitoring systems that may allow for at least a semi-quantitative measurement of crucial parameters such as lignin and cellulose. The determination of lignin and cellulose is complicated and time-consuming because it usually requires time-demanding and labor-intensive sample preparation. This, however, might be a crucial problem. In this context, the application of Raman spectroscopic techniques is considered a promising approach, as it enables rapid, reliable, and label-free analysis of wood pellets, providing information about the chemical composition of the biomass, specifically lignin and cellulose. The purpose of this article is to report on the application of Raman spectroscopy exemplified by the detection of the lignin/cellulose ratio. In our methodological approach, we integrated the area under the selected Raman bands to avoid a large scatter of data when only the intensities of the bands were used. Moreover, the acquired Raman spectra displayed very strong signals from both substances, which contributes to the feasibility of the analysis even with a portable instrument. This study is expected to be of assistance in situations when the monitoring of the chemical changes and the quick inspection of pellets are required in near real time, online, and in situ. Full article
(This article belongs to the Section Biochemical and Chemical Analysis & Synthesis)
Show Figures

Figure 1

15 pages, 1877 KB  
Article
Energy Recovery from Biowaste and Biomass via Gasification: A Modelling Approach
by Shabnam Ghanbarzadeh, Yi Yuan and Ehssan H. Koupaie
BioTech 2026, 15(1), 1; https://doi.org/10.3390/biotech15010001 - 19 Dec 2025
Viewed by 295
Abstract
The transition toward a circular bioeconomy requires efficient conversion of biogenic wastes and biomass into renewable fuels. This study explores the gasification potential of wastewater sludge (WWS) and food waste (FW), representing high moisture-content biowastes, compared with softwood (SW), a lignocellulosic biomass reference. [...] Read more.
The transition toward a circular bioeconomy requires efficient conversion of biogenic wastes and biomass into renewable fuels. This study explores the gasification potential of wastewater sludge (WWS) and food waste (FW), representing high moisture-content biowastes, compared with softwood (SW), a lignocellulosic biomass reference. An Aspen Plus equilibrium model incorporating the drying stage was developed to evaluate the performance of air and steam gasification. The effects of temperature (400–1200 °C), equivalence ratio (ER = 0.1–1), and steam-to-biomass ratio (S/B = 0.1–1) on gas composition and energy efficiency (EE) were examined. Increasing temperature enhanced H2 and CO generation but reduced CH4, resulting in a maximum EE at intermediate temperatures, after which it declined due to the lower heating value of the gases. Although EE followed the order SW > FW > WWS, both biowastes maintained robust efficiencies (60–80%) despite high drying energy requirements. Steam gasification increased H2 content up to 53% (WWS), 54% (FW), and 51% (SW) near S/B = 0.5–0.6, while air gasification achieved 23–27% H2 and 70–80% EE at ER ≈ 0.1–0.2. The results confirm that wet bio-wastes such as WWS and FW can achieve performance comparable to lignocellulosic biomass, highlighting their suitability as sustainable feedstocks for waste-to-syngas conversion and supporting bioenergy integration into waste management systems. Full article
(This article belongs to the Section Industry, Agriculture and Food Biotechnology)
Show Figures

Figure 1

17 pages, 1569 KB  
Article
Techno-Economic Assessment of Hydrogen and CO2 Recovery from Broccoli Waste via Dark Fermentation and Biorefinery Modeling
by Carlos Eduardo Molina-Guerrero, Idania Valdez-Vazquez, Arquímedes Cruz López, José de Jesús Ibarra-Sánchez and Luis Carlos Barrientos Álvarez
Processes 2025, 13(12), 4083; https://doi.org/10.3390/pr13124083 - 18 Dec 2025
Viewed by 374
Abstract
Broccoli waste (Brassica oleracea), comprising non-commercialized stems and leaves, represents a valuable substrate for bioenergy and commodity recovery within agro-industrial systems. This study evaluates the potential of dark fermentation (DF) to produce hydrogen (H2) and carbon dioxide (CO2 [...] Read more.
Broccoli waste (Brassica oleracea), comprising non-commercialized stems and leaves, represents a valuable substrate for bioenergy and commodity recovery within agro-industrial systems. This study evaluates the potential of dark fermentation (DF) to produce hydrogen (H2) and carbon dioxide (CO2) from unpretreated broccoli residues. Batch experiments (120 mL) yielded maximum gas production rates of up to 166 mL/L·d, with final compositions of 41.43 mol% and 58.56 mol% of H2 and CO2, respectively. Based on these results, two biorefinery models were simulated using COCO v3.10 and SuperPro Designer® v12.0, incorporating absorption and cryogenic separation technologies in the purification stage. Two scenarios were considered: Option A (169.82 kmol/day; H2: 0.5856 mol fraction, CO2: 0.4143 mol fraction) and Option B (72.84 kmol/day; H2: 0.6808 mol fraction, CO2: 0.3092 mol fraction). In both configurations, the purities of the final streams were the same, being 99.8% and 99.8% for both H2 and CO2, respectively. However, energy consumption was 43.76% higher in the cryogenic H2/CO2 separation system than in the absorption system. Noteworthily, this difference does not depend on the stream’s composition. Furthermore, from a financial standpoint, the cryogenic system is more expensive than the absorption system. These findings confirm the feasibility of designing biorefineries for H2 production with high CO2 recovery from broccoli waste. However, the economic viability of the process depends on the valorization of the secondary effluent from the fermentation reactor, which may require subsequent anaerobic digestion stages to complete the degradation of residual organic matter and enhance overall resource recovery. Full article
(This article belongs to the Special Issue Advances in Biomass Conversion and Biorefinery Applications)
Show Figures

Figure 1

16 pages, 2477 KB  
Article
Harnessing an Invasive Species’ Waste for Syngas Production: Fast Pyrolysis of Rosehip Seeds in a Bubbling Fluidized Bed
by Rodrigo Torres-Sciancalepore, Daniela Zalazar-García, Rosa Rodriguez, Gastón Fouga and Germán Mazza
ChemEngineering 2025, 9(6), 146; https://doi.org/10.3390/chemengineering9060146 - 17 Dec 2025
Viewed by 335
Abstract
This study examines the fast pyrolysis of rosehip seed waste (RSW) in a fluidized bed reactor, evaluating its potential for syngas production and effective waste valorization. The fluidization behavior of sand/RSW mixtures was characterized by determining the minimum fluidization velocity (Umf) [...] Read more.
This study examines the fast pyrolysis of rosehip seed waste (RSW) in a fluidized bed reactor, evaluating its potential for syngas production and effective waste valorization. The fluidization behavior of sand/RSW mixtures was characterized by determining the minimum fluidization velocity (Umf) from pressure drop measurements. Umf increased with RSW content, ranging from 0.227 to 0.257 m/s. Fluid-dynamic tests conducted in an acrylic prototype assessed bed expansion and mixing, showing stable fluidization at 10% RSW concentration without axial slugging. The bed expanded to 68% above the fixed-bed height, while bubble formation promoted uniform mixing and prevented solid segregation. Pyrolysis experiments were performed in a steel reactor using a nitrogen flow three times the Umf, an initial bed height of 2.5 cm, and a 10% RSW mixture. The reactor operated between 400 and 600 °C, and syngas composition was analyzed. At 600 °C, carbon monoxide and hydrogen yields reached 13.868 mmol/gRSW and 7.914 mmol/gRSW, respectively—values notably higher than those obtained under slow pyrolysis conditions. These findings demonstrate that high-efficiency fluidized bed technology provides a sustainable pathway to convert invasive biomass into clean syngas, integrating waste mitigation with renewable energy generation. Full article
Show Figures

Figure 1

23 pages, 783 KB  
Review
Biochar as a Bridge Between Biomass Energy Technologies and Sustainable Agriculture: Opportunities, Challenges, and Future Directions
by Juan F. Saldarriaga and Julián E. López
Sustainability 2025, 17(24), 11285; https://doi.org/10.3390/su172411285 - 16 Dec 2025
Viewed by 537
Abstract
Biochar has gained significant attention as a multifunctional material linking biomass energy technologies with sustainable agriculture, providing combined benefits in soil improvement, waste valorization, and climate mitigation. This review examines biochar within the context of thermochemical conversion processes—pyrolysis, gasification, and torrefaction—and summarizes the [...] Read more.
Biochar has gained significant attention as a multifunctional material linking biomass energy technologies with sustainable agriculture, providing combined benefits in soil improvement, waste valorization, and climate mitigation. This review examines biochar within the context of thermochemical conversion processes—pyrolysis, gasification, and torrefaction—and summarizes the operational parameters that influence both energy yields and biochar quality. It synthesizes agronomic, environmental, and engineering research to explain the mechanisms through which biochar enhances soil structure, nutrient retention, water availability, microbial activity, and carbon stability. The review also assesses its role as a long-term carbon sink and its potential integration into negative-emission systems such as bioenergy with carbon capture and storage (BECCS). However, the way that biomass conversion factors concurrently influence energy performance, biochar physicochemical quality, and its agronomic and climate-mitigation consequences across many environmental contexts is rarely integrated into a unified analytical framework in current evaluations. To close that gap, this review identifies cross-cutting patterns, trade-offs, and uncertainties while methodically integrating the information on the co-behavior of various aspects. Circular economy initiatives, carbon markets, and rural development are mentioned as key potential. On the other hand, economic variability, variable performance across soil types, lack of regulatory harmonization, rivalry for biomass, and logistical limits are big hurdles. Standardized production techniques, long-term field research, life cycle and techno-economic evaluations, and integrated system design are among the top research priorities. Overall, the evidence suggests that biochar is a promising tool for creating resilient and low-carbon agriculture and energy systems, provided that scientific, technological, and governance advancements are coordinated. Full article
Show Figures

Figure 1

Back to TopTop