Backpropagation DNN and Thermokinetic Analysis of the Thermal Devolatilization of Dried Pulverized Musa sapientum (Banana) Peel
Abstract
1. Introduction
2. Experimental Procedure
2.1. Proximate and Ultimate Analysis
2.2. SEM/EDS and FTIR Measurements
2.3. TGA/DTG Measurements
3. Analysis of Experimental Data
3.1. Compositional Analysis
3.2. SEM/EDS and FTIR Data
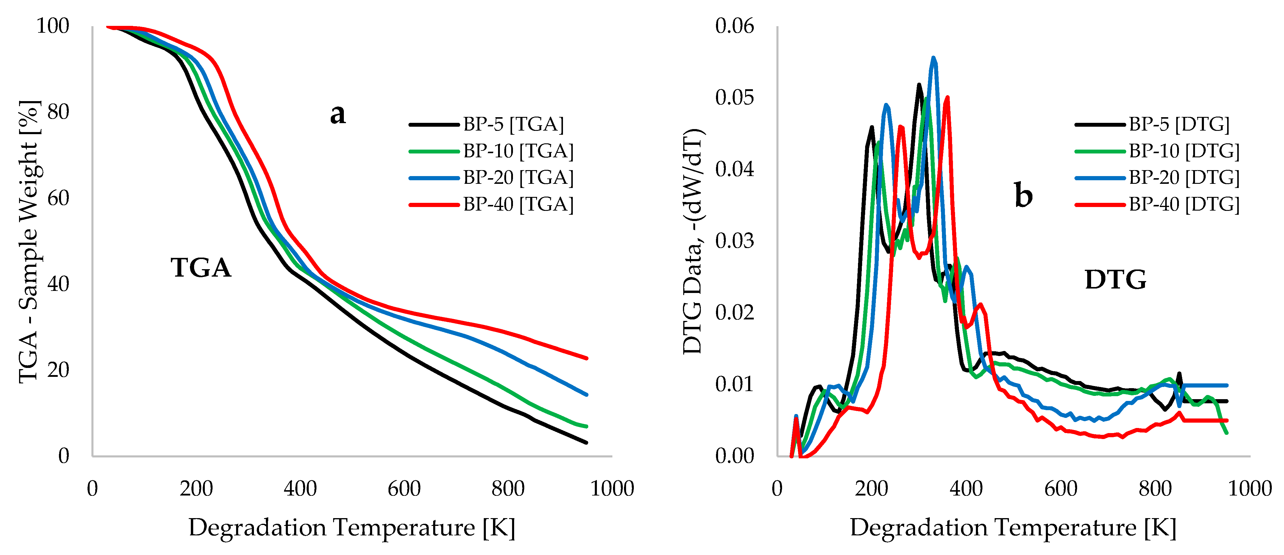
3.3. TGA/DTG Data
4. Backpropagation Deep Learning Approach
5. Thermokinetic Analysis
5.1. Thermokinetic Equations
5.2. Deconvolution of DTG Data
5.3. Criado Master Plots
5.4. Thermokinetic Data
6. Conclusions
Supplementary Materials
Funding
Data Availability Statement
Acknowledgments
Conflicts of Interest
References
- Hsiao, C.-J.; Hu, J.-L. Biomass and Circular Economy: Now and the Future. Biomass 2024, 4, 720–739. [Google Scholar] [CrossRef]
- Wang, Y.; Wu, J.J. Thermochemical Conversion of Biomass: Potential Future Prospects. Renew. Sustain. Energy Rev. 2023, 187, 113754. [Google Scholar] [CrossRef]
- Dhifallah, I.; Saadi, W.; Souissi-Najar, S. Kinetic, Thermodynamic, and Reaction Mechanism Study of Raw Phragmites australis pyrolysis using Thermogravimetric Analysis. Comptes Rendus. Chimie 2025, 28, 275–288. [Google Scholar] [CrossRef]
- Vyazovkin, S. Misinterpretation of Thermodynamic Parameters Evaluated from Activation Energy and Preexponential Factor Determined in Thermal Analysis Experiments. Thermo 2024, 4, 373–381. [Google Scholar] [CrossRef]
- Nath, B.; Chen, G.; Bowtell, L.; Graham, E. Thermal Decomposition of Wheat Straw Pellets in a Nitrogen Environment: Characterization using Thermogravimetric Analyzer. Case Stud. Therm. Eng. 2024, 64, 105457. [Google Scholar] [CrossRef]
- Otaru, A.J.; Albin Zaid, Z.A.A. On the Thermal Degradation of Palm Frond and PLA 3251D Biopolymer: TGA/FTIR Experimentation, Thermo-Kinetics, and Machine Learning CDNN Analysis. Fuel 2025, 391, 134724. [Google Scholar] [CrossRef]
- Vyazovkin, S. Determining Preexponential Factor in Model-Free Kinetic Methods: How and Why. Molecules 2021, 26, 3077. [Google Scholar] [CrossRef]
- Vlaev, L.T.; Georgieva, V.G.; Genieva, S.D. Products and Kinetics of Non-Isothermal Decomposition of Vanadium (IV) Oxide Compounds. J. Therm. Anal. Calorim. 2007, 88, 805–812. [Google Scholar] [CrossRef]
- Braga, R.M.; Melo, D.M.A.; Aquino, F.M.; Freitas, J.C.O.; Melo, M.A.F.; Barros, J.M.F.; Fotes, M.S.B. Characterization and Comparative Study of Pyrolysis Kinetics of the Rice Husk and the Elephant Grass. J. Therm. Anal. Calorim. 2014, 115, 1915–1920. [Google Scholar] [CrossRef]
- Bongomin, O.; Nzila, C.; Mwasiagi, J.I.; Maube, O. Comprehensive Thermal Properties, Kinetic, and Thermodynamic Analyses of Biomass Wastes Pyrolysis via TGA and Coats-Redfern Methodologies. Energy Convers. Manag. X 2024, 24, 100723. [Google Scholar] [CrossRef]
- Huang, X.; Cao, J.-P.; Zhao, X.-Y.; Wang, J.-X.; Fan, X.; Zhao, Y.-P.; Wei, X.-Y. Pyrolysis Kinetics of Soybean Straw using Thermogravimetric Analysis. Fuel 2016, 169, 93–98. [Google Scholar] [CrossRef]
- Chua, H.S.; Shabuddin, M.F.S.; Lee, K.M.; Tat, T.K.; Bashir, M.J.K. Sustainable Bio-Oil from Banana Peel Waste Biomass: Optimization Study and Effect of Thermal Drying. Glob. NEST J. 2024, 26, 1–12. Available online: https://journal.gnest.org/publication/gnest_05691 (accessed on 4 September 2025).
- Kumar, S.A.P.; Nagarajan, R.; Prasad, K.M.; Anand, B.; Murugaveh, S. Thermogravimetric Study and Kinetics of Banana Peel Pyrolysis: A Comparison of “Model-Free” Methods. Biofuels 2019, 13, 129–138. [Google Scholar] [CrossRef]
- Ameha, B.; Nadew, T.T.; Tedla, T.S.; Getye, B.; Mengie, D.A.; Ayalneh, S. The use of Banana Peel as a Low-Cost Adsorption Material for Removing Hexavalent Chromium from Tannery Wastewater: Optimization, Kinetic and Isotherm Study, and Regeneration Aspects. RSC Adv. 2024, 14, 3675. Available online: https://pubs.rsc.org/en/content/articlelanding/2024/ra/d3ra07476e (accessed on 30 September 2025). [CrossRef]
- Mishra, S.; Prabhakar, B.; Kharkar, P.S.; Pethe, A.M. Banana Peel Waste: An Emerging Cellulosic Material to Extract Nanocrystalline Cellulose. ACS Omega 2023, 8, 1140–1145. [Google Scholar] [CrossRef]
- Potnuri RSuriapparao, D.V.; Rao, C.R.; Sridevi, V.; Kumar, A. Effect of Dry Torrefaction Pretreatment of the Microwave-Assisted Catalytic Pyrolysis of Biomass using the Machine Learning Approach. Renew. Energy 2022, 197, 798–809. [Google Scholar] [CrossRef]
- Otaru, A.J. Kinetics Study of the Thermal Decomposition of Date Seed Powder/HDPE Plastic Blends. Bioresour. Technol. Rep. 2025, 29, 102028. [Google Scholar] [CrossRef]
- Kartal, F.; Dalbudak, Y.; Özveren, U. Prediction of Thermal Degradation of Biopolymers in Biomass under Pyrolysis Atmosphere by Means of Machine Learning. Renew. Energy 2023, 197, 774–787. [Google Scholar] [CrossRef]
- Oracle Saudi Arabia. What Is Deep Learning. 2022. Available online: https://www.oracle.com/sa/artificial-intelligence/machine-learning/what-is-deep-learning/#:~:text=(0:23)-,Top%205%20Reasons%20to%20Use%20Deep%20Learning,retraining%20it%20with%20new%20data (accessed on 8 August 2025).
- Chen, C.; Xie, W.; Cai, Z.; Lu, Y. Deep Learning for Cardiotocography Analysis: Challenges and Promising Advances. In Advanced Intelligent Computing Technology and Applications; Lecture Notes in Computer Science (Including Subseries Lecture Notes in Artificial Intelligence and Lecture Notes in Bioinformatics); Springer: Cham, Switzerland, 2023; p. 14087. [Google Scholar] [CrossRef]
- Betancur-Ancona, D.; Peraza-Mercado, G.; Moguel-Ordoñez, Y.; Fuertes-Blanco, S. Physicochemical characterization of lima bean (Phaseolus lunatus) and Jack bean (Canavalia ensiformis) fibrous residues. Food Chem. 2004, 84, 287–295. [Google Scholar] [CrossRef]
- Park, S.; Kim, S.J.; Oh, K.C.; Cho, L.; Jeon, Y.; Lee, C.; Kim, D. Thermogravimetric Analysis-Based Proximate Analysis of Agro-Byproducts and Predictions of Calorific Value. Energy Rep. 2022, 8, 12038–12044. [Google Scholar] [CrossRef]
- EMA 502 CHNS-O Elemental Analyzer. Available online: https://www.velp.com/public/file/EMA502Brochure-260178.pdf?srsltid=AfmBOooZaGZik1O474knEtluquHv7dPfg4brJWVkaWmYGieU85ZvMaym (accessed on 21 May 2025).
- Giurlani, W.; Berretti, E.; Innocenti, M.; Lavacchi, A. Coating Thickness Determination Using X-ray Fluorescence Spectroscopy: Monte Carlo Simulations as an Alternative to the Use of Standards. Coatings 2019, 9, 79. [Google Scholar] [CrossRef]
- Kelly, J.M.; Bohman, B.; Bennett, D.; Taylor, N.L. Rapid Dough Making Quality Analysis of Wheat Flour using Fourier Transform Infrared Spectroscopy and Chemometrics. Food Chem. 2025, 475, 143335. [Google Scholar] [CrossRef]
- InstaNANO. FTIR Functional Group Database Table with Search. Available online: https://instanano.com/all/characterization/ftir/ftir-functional-group-search/ (accessed on 22 May 2025).
- Sharma, R.; Sheth, O.N.; Gujrathi, A.M. Kinetic Modeling and Simulation: Pyrolysis of Jatropha Residue De-Oiled Cake. Renew. Energy 2016, 86, 554–562. [Google Scholar] [CrossRef]
- Otaru, A.J.; Albin Zaid, Z.A.A. Thermal Degradation of Palm Fronds/Polypropylene Bio-Composites: Thermo-Kinetics and Convolutional-Deep Neural Networks Techniques. Polymers 2025, 17, 1244. [Google Scholar] [CrossRef]
- Vyazovkin, S.; Chrissafis, K.; di Lorenzo, M.L.; Koga, N.; Pijolat, M.; Roduit, B.; Sbirrazzuoli, N.; Suñol, J.J. ICTAC Kinetics Committee Recommendations for Collecting Experimental Thermal Analysis Data for Kinetic Computations. Thermochim. Acta 2014, 590, 1–23. [Google Scholar] [CrossRef]
- Piazza, V.; da Silva Junior, R.B.; Frassoldati, A.; Lietti, L.; Chiaberge, S.; Gambaro, C.; Siviero, A.; Faravelli, T.; Beretta, A. Detailed speciation of biomass pyrolysis products with a novel TGA-based methodology: The case-study of cellulose. J. Anal. Appl. Pyrolysis 2024, 178, 106413. [Google Scholar] [CrossRef]
- Sukarni, S. Thermogravimetric analysis of the combustion of marine microalgae Spirulina platensis and its blend with synthetic waste. Heliyon 2020, 6, e04902. [Google Scholar] [CrossRef]
- Kabenge, I.; Omulo, G.; Banadda, N.; Seay, J.; Zziwa, A.; Kiggundu, N. Characterization of Banana Peels Wastes as Potential Slow Pyrolysis Feedstock. J. Sustain. Dev. 2018, 11, 14–24. Available online: https://www.ccsenet.org/journal/index.php/jsd/article/view/71535 (accessed on 26 September 2025). [CrossRef]
- Pambudi, N.A.; Firdaus, R.A.; Ulfa, D.K.; Nanda, I.R.; Surhano Syivarulli, R.; Gandidi, I.M.; Sumbodo, W. Optimization of Hydrothermal Processing for Banana Peel Waste: Enhancing Solid Fuel Characteristics as a Renewable Energy Source. Results Eng. 2025, 26, 104831. [Google Scholar] [CrossRef]
- Khamsaw, P.; Sommano, S.R.; Wongkaew, M.; Willats, W.G.T.; Bakshani, C.R.; Sirilun, S.; Sunanta, P. Banana Peel (Musa ABB cv. Nam Wa Mali-Ong) as a Source of Value-Adding Components and the Functional Properties of its Bioactive Ingredients. Plants 2024, 13, 593. [Google Scholar] [CrossRef] [PubMed]
- Nair, R.R.; Schaate, A.; Klepzig, L.F.; Turcios, A.E.; Lecinski, J.; Shamsuyeva, M.; Endres, H.-J.; Pepenbrock, J.; Behrens, P.; Weichgrebe, D. Physico-Chemical Characterization of Walnut Shell Biochar from Uncontrolled Pyrolysis in a Garden Oven and Surface Modification by Ex-Situ Chemical Magnetization. Clean Technol. Environ. Policy 2023, 25, 2727–2746. [Google Scholar] [CrossRef]
- Kamsonlian, S.; Suresh, S.; Balomajumder, C.; Chand, S. Characterization of Banana and Orange Peels: Biosorption Mechanism. Int. J. Sci. Technol. Manag. 2011, 2, 1–7. Available online: https://api.semanticscholar.org/CorpusID:98408935 (accessed on 28 September 2025).
- Yan, X.; Cao, Z.; Murphy, A.; Ye, Y.; Wang, X.; Qao, Y. FRDA: Fingerprint Region Based Data Augmentation using Explainable AI for FTIR Based Microplastics Classification. Sci. Total Environ. 2023, 896, 165340. [Google Scholar] [CrossRef]
- Memon, J.R.; Memon, S.Q.; Bhanger, M.I.; Memon, G.Z.; El-Turki, A.; Allen, G.C. Characterization of Banana Peel by Scanning Electron Microscopy and FT-IR Spectroscopy and its use for Cadmium Removal. Colloids Surf. B Biointerfaces 2008, 66, 260–265. [Google Scholar] [CrossRef]
- Obele, C.M.; Ofoegbu, S.U.; Awuzie, C.I. Extraction of Pectin from Ripe Plantain Peel, Fabrication and Characterization of Composite (Pectin/PVA/Glycerol) Films Produced from the Extracted Pectin. J. Miner. Mater. Charact. Eng. 2019, 7, 454–467. [Google Scholar] [CrossRef]
- Ndung’u, P.W.; Mwithiga, G.; Onyari, C.N.; Muriithi, G.; Mukono, S.T. Evaluating the Surface Functional Groups on Banana Leaf Petioles and the Resultant Biochar for Potential Absorbance. J. Mater. Environ. Sci. 2020, 11, 255–261. Available online: https://www.jmaterenvironsci.com/Document/vol11/vol11_N2/JMES-2020-11-23-Ndungu.pdf (accessed on 30 September 2025).
- Afolabi, F.O.; Musonge, P.; Bakare, B.F. Evaluation of Lead (II) Removal from Wastewater using Banana Peels: Optimization Study. Pol. J. Environ. Stud. 2021, 30, 1487–1496. [Google Scholar] [CrossRef] [PubMed]
- Anniwaer, A.; Chaihad, N.; Zhang, M.; Wang, C.; Yu, T.; Kasai, Y.; Abudula, A.; Guan, G. Hydrogen-Rich Gas Production from Steam Co-Gasification of Banana Peel with Agricultural Residues and woody biomass. Waste Manag. 2021, 125, 204–214. [Google Scholar] [CrossRef]
- Cao, W.; Li, J.; Luo, L.; Zhang, X. Release of Alkali Metals During Biomass Thermal Conversion. Arch. Ind. Biotechnol. 2016, 1, 1–3. Available online: http://www.alliedacademies.org/archives-of-industrial-biotechnology/ (accessed on 1 October 2025).
- Saddawi, A.; Jones, J.M.; Williams, A. Influence of Alkali Metals on the Kinetics of the Thermal Decomposition of Biomass. Fuel Process. Technol. 2012, 104, 189–197. [Google Scholar] [CrossRef]
- Kambo, H.S.; Dutta, A. Strength, Storage, and Combustion Characteristics of Densified Lignocellulosic Biomass Produced via Torrefaction and Hydrothermal Carbonization. Appl. Energy 2014, 135, 182–191. [Google Scholar] [CrossRef]
- Crombie, K.; Mašek, O.; Sohi, S.P.; Brownsort, P.; Cross, A. The effect of pyrolysis conditions on biochar stability as determined by three methods. GCB Bioenergy 2013, 5, 122–131. [Google Scholar] [CrossRef]
- Albin Zaid, Z.A.A.; Otaru, A.J. Low-Heating-Rate Thermal Degradation of Date Seed Powder and HDPE Plastic: Machine Learning CDNN, MLRM, and Thermokinetic Analysis. Polymers 2025, 17, 740. [Google Scholar] [CrossRef] [PubMed]
- Otaru, A.J.; Alhulaybi, Z.A.; Owoseni, T.A. On the Hydrodynamics of Macroporous Structures: Experimental, CFD and Artificial Neural Network Analysis. Chem. Eng. J. Adv. 2023, 16, 100545. [Google Scholar] [CrossRef]
- Sircar, A.; Yadav, K.; Rayavarapu, K.; Bist, N.; Oza, H. Application of Machine Learning and Artificial Intelligence in Oil and Gas Industry. Pet. Res. 2021, 6, 379–391. [Google Scholar] [CrossRef]
- Liquet, B.; Moka, S.; Nazarathy, Y. The Mathematical Engineering of Deep Learning, Chapter 6. 2021. Available online: https://deeplearningmath.org/drafts/chap6.pdf (accessed on 8 December 2024).
- Mishra, M. The Curse of Local Minima: How to Escape and Find the Global Minimum. 2023. Available online: https://mohitmishra786687.medium.com/the-curse-of-local-minima-how-to-escape-and-find-the-global-minimum-fdabceb2cd6a#:~:text=Use%20a%20different%20optimization%20algorithm%3A%20A%20different%20optimization%20algrithm%2C%20such,stuck%20in%20a%20local%20minimum (accessed on 20 May 2025).
- Kabir, H.; Garg, N. Machine Learning Enabled Orthogonal Camera Goniometry for Accurate and Robust Contact Angle Measurements. Sci. Rep. 2023, 13, 1497. [Google Scholar] [CrossRef]
- Panneerselvam, L. Activation Functions and their Derivatives—A Quick and Complete Guide (Deep Learning). 2023. Available online: https://www.analyticsvidhya.com/blog/2021/04/activation-functions-and-their-derivatives-a-quick-complete-guide/ (accessed on 5 October 2025).
- Yash. The Challenge of Vanishing/Exploding Gradients in Deep Neural Networks. 2024. Available online: https://www.analyticsvidhya.com/blog/2021/06/the-challenge-of-vanishing-exploding-gradients-in-deep-neural-networks/ (accessed on 24 May 2025).
- Starink, M.J. The Determination of Activation Energy from Linear Heating Rate Experiments: A Comparison of the Accuracy of Isoconversion Methods. Thermochim. Acta 2003, 404, 163–176. [Google Scholar] [CrossRef]
- Friedman, H. Kinetics of Thermal Degradation of Char-forming Plastics from Thermogravimetry-Application to a Phenolic Resin. J. Polym. Sci. Part C Polym. Symp. 1964, 6, 183–195. [Google Scholar] [CrossRef]
- Han, Y. Theoretical Study of Thermal Analysis Kinetics, Theses and Dissertations, Mechanical Engineering, University of Kentucky. 2014. Available online: https://uknowledge.uky.edu/cgi/viewcontent.cgi?referer=&httpsredir=1&article=1036&context=me_etds (accessed on 30 May 2025).
- Otaru, A.J. Circular Economy: Kinetic-Triplet, Thermodynamic, and Gradient Descent Optimisation Algorithm of Deep Learning Models for the Thermal Degradation of Walnut Shell. Case Stud. Therm. Eng. 2025, 74, 106942. [Google Scholar] [CrossRef]
- Vyazovkin, S.; Burnham, A.K.; Favergeon, L.; Koga, N.; Moukhina, E.; Pẻrez-Maqueda, L.A.; Sbirrazzuoli, N. ICTAC Kinetic Committee Recommendations for Analysis of Multi-Step Kinetics. Thermochim. Acta 2020, 689, 178597. [Google Scholar] [CrossRef]
- Vyazovkin, S.; Wight, C.A. Model-Free and Model-Fitting Approaches to Kinetic Analysis of Isothermal and Non-Isothermal Data. Thermochim. Acta 1999, 340-341, 53–68. [Google Scholar] [CrossRef]
- Esmizadeh, E.; Tzoganakis, C.; Mekonnen, T.H. Degradation behavior of polypropylene during reprocessing and its biocomposites: Thermal and oxidative degradation kinetics. Polymers 2020, 12, 1627. [Google Scholar] [CrossRef]
- Ozawa, T. A New Method of Analyzing Thermogravimetric Data. Bull. Chem. Soc. Jpn. 1965, 38, 1881–1886. [Google Scholar] [CrossRef]
- Flynn, J.H.; Wall, L.A. A Quick, Direct Method for the Determination of Activation Energy from Thermogravimetric Data. J. Polym. Sci. Part B Polym. Lett. 1966, 4, 323–328. [Google Scholar] [CrossRef]
- Kissinger, H.E. Reaction Kinetics in Differential Thermal Analysis. Anal. Chem. 1957, 29, 1702–1706. [Google Scholar] [CrossRef]
- Kim, H.; Yu, S.; Kim, M.; Ryu, C. Progressive Deconvolution of Biomass Thermogram to Derive Lignocellulosic Composition and Pyrolysis Kinetics for Parallel Reaction Model. Energy 2022, 254, 124446. [Google Scholar] [CrossRef]
- Choudhary, J.; Kumar, A.; Alawa, B.; Chakma, S. Optimization and Prediction of Thermodynamic Parameters in Co-Pyrolysis of Banana Peel and Waste Plastics using AIC Model and ANN Modeling. Energy Nexus 2024, 14, 100302. [Google Scholar] [CrossRef]
- Liu, K.Q.; Zhang, Z.C.; Ostadhassan, M. The Application of Gaussian Distribution Deconvolution Method to Separate the Overlapping Signals in the 2D NMR Map. Pet. Sci. 2023, 20, 1513–1520. [Google Scholar] [CrossRef]
- Vyazovkin, S. Thermal Analysis. Anal. Chem. 2006, 78, 3875–3886. [Google Scholar] [CrossRef]
- Albin Zaid, Z.A.A.; Otaru, A.J. Thermal Decomposition of Date Seed/Polypropylene Homopolymer: Machine Learning CDNN, Kinetics, and Thermodynamics. Polymers 2025, 17, 307. [Google Scholar] [CrossRef]
- Otaru, A.J.; Albin Zaid, Z.A.A.; Alkhaldi, M.M.; Albin Zaid, S.M.A.; AlShuaibi, A. The Bioenergy Potential of Date Palm Branch/Waste Through Reaction Modeling, Thermokinetic Data, Machine Learning KNN Analysis, and Techno-Economic Assessments (TEA). Polymer 2025, 17, 3182. [Google Scholar] [CrossRef]
- Atkins, P.; de Paua, J. Physical Chemistry for the Life Sciences; Oxford Univeristy Press: New York, NY, USA, 2006; pp. 256–259. Available online: http://ndl.ethernet.edu.et/handle/123456789/21186?mode=simple (accessed on 8 August 2025).
- Bedoui, A.; Souissi-Najar, S.; Ouederni, A. Thermal Degradation of Tunisian Olive Stines using Thermogravimetric Analysis (TGA). Int. J. Innov. Appl. Sci. 2016, 18, 938–950. Available online: https://ijias.issr-journals.org/abstract.php?article=IJIAS-16-227-05 (accessed on 29 September 2025).
- Okot, D.K.; Bilsborrow, P.E.; Phan, A.N.; Manning, D.A.C. Kinetics of Maize Cob and Bean Straw Pyrolysis and Combustion. Heliyon 2023, 9, e17236. [Google Scholar] [CrossRef]
- Mumbach, G.D.; Alves, J.L.F.; da Silva, J.C.G.; di Domenico, M.; de Sena, R.F.; Marangoni, C.; Machado, R.A.F.; Bolzan, A. Pyrolysis of Cocoa Shell and its Bioenergy Potential: Evaluating the Kinetic Triplet, Thermodynamic Parameters, and Evolved Gas Analysis Using TGA-FTIR. Biomass Convers. Biorefinery 2022, 12, 723–739. [Google Scholar] [CrossRef]
- Branca, C.; di Blasi, C. A Lumped Kinetic Model for Banana Peel Combustion. Thermochim. Acta 2015, 614, 68–75. [Google Scholar] [CrossRef]
- Kumar Shrivastava, D.; Prasad Chakraborty, J. Estimation of Kinetic and Thermodynamic Parameters During Thermal Decomposition of Raw, Boiled, and Torrefied Banana Peel through Arrhenius and CR methods. Therm. Sci. Eng. Prog. 2024, 53, 102696. [Google Scholar] [CrossRef]
- Demirbaş, A. Calculation of Higher Heating Values of Biomass Fuels. Fuel 1997, 76, 431–434. [Google Scholar] [CrossRef]
- Sihombing Hv Setyawan, E.Y.; Ambarita, H. Comparison of Calorific Value of Corncobs, Areca Nut Fiber and Paper Waste as Alternative Fuel. AIP Conf. Proc. 2020, 2221, 070001. [Google Scholar] [CrossRef]
- Mhilu, C.F. Analysis of Energy Characteristics of Rice and Coffee Husks Blends. ISRN Chem. Eng. 2014, 2014, 196103. [Google Scholar] [CrossRef]
- Hoque, M.M.; Bhattacharya, S.C. Fuel Characteristics of Gasified Coconut Shell in a Fluidized and a Spouted Bed Reactor. Energy 2001, 26, 101–110. [Google Scholar] [CrossRef]
- Güler, B. Biomass Valorization: Comparative Analysis of Tea Waste Pellets and Wood Pellets for Steam Generation and Emission Profiles. Sustain. Energy Technol. Assess. 2024, 72, 104103. [Google Scholar] [CrossRef]
- Zhang, Z.; Li, Z.; Yan, H.; Yan, J.; Zhang, W.; Wang, Z.; Lei, Z.; Ren, S.; Shui, H. Effect of volatile matter and ash composition on the migration of organic sulfur during pyrolysis of high-sulfur coal. J. Anal. Appl. Pyrolysis 2025, 191, 107222. [Google Scholar] [CrossRef]








| (a) | ||||
| Moisture [%] | Fixed Carbon [%] | Volatile Matter [%] | Ash [%] | |
| 6.5 | 18.7 | 67.8 | 7.0 | |
| (b) | ||||
| C | H | N | S | O |
| 39.7 | 4.9 | 3.1 | 0.0 | 52.3 |
| Element | Mass % | Atom % |
|---|---|---|
| C | 39.69 ± 0.42 | 53.09 ± 0.59 |
| O | 37.22 ± 0.48 | 37.65 ± 1.00 |
| Si | 0.04 ± 0.01 | 0.02 ± 0.003 |
| P | 0.07 ± 0.01 | 0.03 ± 0.003 |
| Cl | 3.69 ± 0.15 | 1.81 ± 0.07 |
| K | 15.93 ± 0.37 | 7.12 ± 0.17 |
| Au | 3.35 ± 0.16 | 0.27 ± 0.09 |
| Total | 100 | 100 |
| Wavenumber [cm−1] | Description |
|---|---|
| 3271 | O-H stretching of alcohol present in cellulose/hemicellulose. |
| 2848 and 2917 | C-H stretching of alkanes. |
| 1734 | (C=O) AC ester carbonyl stretching in pectin. |
| 1577.0 | C=C stretching of aromatic ring present in lignin. |
| 1374 | O-H bending of alcohol. |
| 1026 | C-O stretching of vibration. |
| EXPT | DNN | |
|---|---|---|
| Mean Value [wt%] | 50.99 | 51.01 |
| Estimate Uncertainty () [wt%] | 1.37 | 1.36 |
| Mean Bias Error [MBE] | 0.02 | |
| Coefficient of Determination () | 0.9995 | |
| True Error () [%] | 0.20 | |
| Learning Rate () | 5 → 1 | |
| Initial Loss Function () | 35.88 | |
| Final Loss Function ( | 0.07 | |
| Total Training Time () [min] | 82.34 | |
| Training Epochs | 47,688 | |
| R2 | EA | A | ΔS | ΔH | ΔG | k | |
|---|---|---|---|---|---|---|---|
| STK | 0.96 | 82.8 ± 3.3 | 3.0 × 10−1 | −0.34 | 76.9 | 322.1 | 1.4 × 10−24 |
| FR | 0.97 | 97.6 ± 3.9 | 1.0 × 109 | −0.16 | 91.9 | 218.0 | 7.1 × 10−17 |
| STK | FR | |||
|---|---|---|---|---|
| Conversion [%] | EA [kJ.mol−1] | A [s−1] | EA [kJ.mol−1] | A [s−1] |
| 5 | 47.94 | 7.74 × 10−8 | 61.65 | 1.04 × 102 |
| 10 | 55.74 | 4.45 × 10−7 | 71.71 | 2.02 × 103 |
| 20 | 70.30 | 1.58 × 10−5 | 96.97 | 6.83 × 105 |
| 30 | 92.46 | 7.37 × 10−4 | 112.55 | 4.39 × 106 |
| 40 | 105.36 | 4.04 × 10−3 | 152.39 | 6.18 × 109 |
| 50 | 126.73 | 8.14 × 10−2 | 142.34 | 1.06 × 108 |
| 60 | 163.35 | 2.57 | 181.25 | 2.77 × 109 |
| 70 | 45.35 | 6.56 × 10−9 | 32.63 | 2.46 × 10−2 |
| 75 | 37.71 | 1.87 × 10−9 | 27.18 | 1.25 × 10−2 |
Disclaimer/Publisher’s Note: The statements, opinions and data contained in all publications are solely those of the individual author(s) and contributor(s) and not of MDPI and/or the editor(s). MDPI and/or the editor(s) disclaim responsibility for any injury to people or property resulting from any ideas, methods, instructions or products referred to in the content. |
© 2025 by the author. Licensee MDPI, Basel, Switzerland. This article is an open access article distributed under the terms and conditions of the Creative Commons Attribution (CC BY) license.
Share and Cite
Otaru, A.J. Backpropagation DNN and Thermokinetic Analysis of the Thermal Devolatilization of Dried Pulverized Musa sapientum (Banana) Peel. Polymers 2026, 18, 122. https://doi.org/10.3390/polym18010122
Otaru AJ. Backpropagation DNN and Thermokinetic Analysis of the Thermal Devolatilization of Dried Pulverized Musa sapientum (Banana) Peel. Polymers. 2026; 18(1):122. https://doi.org/10.3390/polym18010122
Chicago/Turabian StyleOtaru, Abdulrazak Jinadu. 2026. "Backpropagation DNN and Thermokinetic Analysis of the Thermal Devolatilization of Dried Pulverized Musa sapientum (Banana) Peel" Polymers 18, no. 1: 122. https://doi.org/10.3390/polym18010122
APA StyleOtaru, A. J. (2026). Backpropagation DNN and Thermokinetic Analysis of the Thermal Devolatilization of Dried Pulverized Musa sapientum (Banana) Peel. Polymers, 18(1), 122. https://doi.org/10.3390/polym18010122

