Sign in to use this feature.

Years

Between: -

Subjects

remove_circle_outline
remove_circle_outline
remove_circle_outline
remove_circle_outline
remove_circle_outline
remove_circle_outline
remove_circle_outline
remove_circle_outline
remove_circle_outline

Journals

Article Types

Countries / Regions

remove_circle_outline
remove_circle_outline
remove_circle_outline

Search Results (163)

Search Parameters:
Keywords = waste PG

Order results
Result details
Results per page
Select all
Export citation of selected articles as:
19 pages, 3631 KB  
Article
Study on the Simultaneous Immobilization of Soluble Phosphorus and Fluorine in Phosphogypsum Using Activated Red Mud: Mechanism and Process Optimization
by Yi Wang, Yanhong Wang, Guohua Gu and Xuewen Wang
Toxics 2026, 14(2), 149; https://doi.org/10.3390/toxics14020149 - 2 Feb 2026
Abstract
Phosphogypsum (PG) is a byproduct of wet-process phosphoric acid production and contains soluble phosphorus (P), fluorine (F), and other harmful impurities in addition to calcium sulfate. Its acidic leachate enriched with P and F poses long-term risks to soil and surrounding water bodies. [...] Read more.
Phosphogypsum (PG) is a byproduct of wet-process phosphoric acid production and contains soluble phosphorus (P), fluorine (F), and other harmful impurities in addition to calcium sulfate. Its acidic leachate enriched with P and F poses long-term risks to soil and surrounding water bodies. Owing to the incorporation of soluble P and F within calcium sulfate crystal interlayers, these contaminants are gradually released during storage, making it difficult to achieve an economically efficient and environmentally benign treatment of PG at an industrial scale. In this study, a low-cost and sustainable process for the effective and long-term immobilization of soluble P and F in PG was developed using sulfuric acid-activated red mud (RM), an industrial waste rich in Fe and Al. After pulping PG with water, activated RM was added, followed by pH adjustment with Ca(OH)2, leading to the in situ formation of amorphous calcium aluminate and calcium ferrite polymers with strong adsorption affinity toward soluble P and F. The immobilization mechanism and phase evolution were systematically investigated using inductively coupled plasma optical emission spectroscopy (ICP-OES, PS-6PLASMA SPECTROVAC, BAIRD, USA), on a Rigaku Miniflex diffractometer (Rigaku Corporation, Tokyo, Japan), scanning electron microscopy coupled with energy-dispersive spectroscopy (SEM-EDS), and zeta potential analysis. The leachate of PG treated with activated RM and Ca(OH)2 contained P < 0.5 mg/L and F < 10 mg/L at pH 8.5–9.0, meeting environmental requirements (pH = 6–9, P ≤ 0.5 mg/L, F ≤ 10 mg/L). Moreover, the immobilized P and F exhibited enhanced stability during long-term stacking, indicating the formation of durable immobilization products. This study demonstrates an effective “treating waste with waste” strategy for the large-scale, environmentally safe utilization of phosphogypsum. Full article
Show Figures

Figure 1

18 pages, 5799 KB  
Article
Phosphogypsum Additive as Shrinkage-Reducing Agent in Ordinary Portland Cement-Based Mortar
by Valdas Rudelis, Danutė Vaičiukynienė, Algirdas Augonis, Modestas Kligys and Giedrius Girskas
Crystals 2026, 16(2), 104; https://doi.org/10.3390/cryst16020104 - 30 Jan 2026
Viewed by 173
Abstract
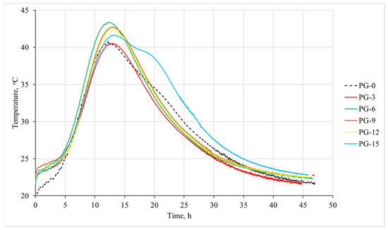
Phosphogypsum, a by-product of phosphate fertilizer production, has shown promising potential as a shrinkage-reducing additive in ordinary Portland cement-based mortar. The incorporation of low PG dosages (≤6%) enhances early hydration, slightly increases the hydration peak temperature, and promotes the formation of additional ettringite [...] Read more.
Phosphogypsum, a by-product of phosphate fertilizer production, has shown promising potential as a shrinkage-reducing additive in ordinary Portland cement-based mortar. The incorporation of low PG dosages (≤6%) enhances early hydration, slightly increases the hydration peak temperature, and promotes the formation of additional ettringite and bound-water-rich hydrates, contributing to improved early performance. PG also substantially reduces drying shrinkage—from 0.0397 mm/m (reference) to −0.1600 mm/m at 15% PG—through ettringite-induced expansion and pore refinement, demonstrating its effectiveness as a shrinkage-reducing agent. Thermal analysis (XRD/TG–DTA) confirms that PG modifies hydration chemistry by increasing low-temperature dehydration while reducing portlandite and carbonate phase formation due to clinker dilution. As a result, Ca(OH)2 content decreases from 11.89 wt% for the reference mix to 8.55 wt% at 15% PG. However, higher PG levels (>9%) negatively affect strength: at 15% PG, flexural and compressive strength decrease by 38% and 47%, respectively, due to clinker dilution, excess ettringite, and unreacted gypsum. All compositions maintained durability levels corresponding to roughly 300–450 freeze–thaw cycles. Overall, PG effectively reduces shrinkage and alters hydration behavior while offering environmental benefits through industrial waste valorization. Nevertheless, high replacement levels compromise mechanical performance, underscoring the importance of optimizing PG dosage to balance shrinkage control, strength, and sustainability. Full article
(This article belongs to the Section Inorganic Crystalline Materials)
Show Figures

Figure 1

25 pages, 7370 KB  
Article
Strength Enhancement of 3D-Printed Phosphogypsum Concrete Based on Synergistic Activation of Multi-Solid Wastes
by Junjie Li, Yangbo Li, Xianqiang Ge, Ke Li, Yahui Yang and Shuo Wang
Materials 2026, 19(3), 482; https://doi.org/10.3390/ma19030482 - 25 Jan 2026
Viewed by 161
Abstract
Phosphogypsum (PG) is the main by-product of wet-process phosphoric acid production. Its annual global production reaches about 200 million tons, yet its utilization rate remains low. Consequently, long-term stockpiling of large PG volumes poses immense pressure to the ecological environment. To mitigate negative [...] Read more.
Phosphogypsum (PG) is the main by-product of wet-process phosphoric acid production. Its annual global production reaches about 200 million tons, yet its utilization rate remains low. Consequently, long-term stockpiling of large PG volumes poses immense pressure to the ecological environment. To mitigate negative environmental impacts, the utilization of PG is imperative. Despite progress in PG utilization and 3D-printing technology, there is still a significant lack of understanding about the synergistic activation mechanisms in multi-solid-waste systems. In particular, the composition design, microstructure evolution, and structure–property relationships of 3D-printed PG-based composites are not well-studied, which limits their high-value engineering applications. Three-dimensional-printed phosphogypsum concrete (3DPPGC) is proposed here, promoting PG resource utilization by leveraging the expanding applications of 3D-printed concrete (3DPC). However, the strength of 3DPPGC needs to be enhanced to meet engineering requirements. This study designed the mix proportion of 3DPPGC and fabricated the corresponding test specimens. The optimal Cement Replacement Ratio (CRR) was determined through experimental testing, and the mechanism behind the strength enhancement of the 3DPPGC was elucidated. The results indicated that the 3DPPGC’s mechanical properties peaked at the 70% CRR. Compared with cast specimens, 3DPPGC exhibited a 1.52% increase in 28-day flexural strength in the y-direction, reaching 4.69 MPa. The early-age compressive strength, flexural strength, and later-age compressive strength of 3DPPGC were significantly enhanced when PG, blast-furnace slag (BS), fly ash (FA), and silica fume (SF) were used to partially replace cement. This study provides a theoretical and experimental basis for the large-scale, high-value application of PG in intelligent construction. Full article
Show Figures

Figure 1

20 pages, 5123 KB  
Article
Dual-Functional Utilization of Phosphogypsum as Cementitious Binder and Aggregate in Concrete: Interfacial Compatibility and Feasibility Analysis
by Pan Chen, Zhexin Wang, Feng Zhu, Shujie Wan, Mengyang Huang, Pengfei Liu, Dongxu Zhang, Cai Wu and Yani Lu
Materials 2026, 19(2), 398; https://doi.org/10.3390/ma19020398 - 19 Jan 2026
Viewed by 210
Abstract
Addressing the environmental challenges posed by phosphogypsum (PG) stockpiling, this study investigates the synergistic mechanisms of a dual-functional application strategy where PG serves as both cementitious binder and aggregate. Unlike previous research limited to single-mode utilization, this study focuses on the interfacial compatibility [...] Read more.
Addressing the environmental challenges posed by phosphogypsum (PG) stockpiling, this study investigates the synergistic mechanisms of a dual-functional application strategy where PG serves as both cementitious binder and aggregate. Unlike previous research limited to single-mode utilization, this study focuses on the interfacial compatibility between PG-based binders and PG aggregates (PGA). Through a comparative experimental program, the mechanical performance and microstructure of different binder–aggregate combinations were evaluated. The proposed dual-functional formulation achieved a high PG incorporation rate of 38% by mass. While the compressive strength of 39.3 MPa was lower than that of the reference ordinary concrete, it comfortably surpasses the C30 strength requirement for structural applications, validating its engineering feasibility. Comparative analysis revealed that although natural stone aggregates possess higher intrinsic strength, the PG-binder/PGA system exhibits superior interfacial bonding compared to the PG-binder/stone system. Microstructural observations indicated that this synergistic interaction facilitates the formation of interwoven ettringite and C-S-H gel networks, contributing to a structurally integrated interfacial transition zone (ITZ). These findings suggest that the dual-functional strategy offers a viable pathway for developing low-carbon building materials by balancing high-volume waste utilization with mechanical compliance. Full article
(This article belongs to the Special Issue Sustainability and Performance of Cement-Based Materials)
Show Figures

Figure 1

19 pages, 1528 KB  
Article
Comparative Expression of Diacylglycerol Acyltransferases for Enhanced Accumulation of Punicic Acid-Enriched Triacylglycerols in Yarrowia lipolytica
by Veronika Hambalko, Simona Vevericová, Jaroslav Hambalko, Vladimír Štefuca, Peter Gajdoš and Milan Čertík
Molecules 2026, 31(2), 281; https://doi.org/10.3390/molecules31020281 - 13 Jan 2026
Viewed by 232
Abstract
Punicic acid is an uncommon ω-5 conjugated fatty acid with significant biological activity, mainly found in pomegranate seed oil. Due to limited natural availability, heterologous production of punicic acid in oleaginous yeasts offers a sustainable alternative. In this study, Yarrowia lipolytica was engineered [...] Read more.
Punicic acid is an uncommon ω-5 conjugated fatty acid with significant biological activity, mainly found in pomegranate seed oil. Due to limited natural availability, heterologous production of punicic acid in oleaginous yeasts offers a sustainable alternative. In this study, Yarrowia lipolytica was engineered for punicic acid biosynthesis by expressing the PgFADX gene from Punica granatum and subsequently modified to evaluate the influence of distinct diacylglycerol acyltransferases on punicic acid accumulation. The effects of seven acyltransferases, originating from P. granatum or Y. lipolytica, were compared under various cultivation conditions. The PgDGAT1 enzyme demonstrated the most favorable balance between total lipid content and punicic acid accumulation. Medium containing crude glycerol as a low-cost carbon source was initially tested in flask experiments with punicic acid accumulation in yeast cells of 129 mg/L. Further optimization of crude glycerol medium and subsequent scale-up experiments confirmed the potential of crude glycerol as an effective substrate, yielding up to 147.8 mg/L of punicic acid. Overall, this work identifies key enzymatic determinants for efficient punicic acid biosynthesis and supports Y. lipolytica as a robust host for the sustainable production of conjugated fatty acids from waste substrates. Full article
Show Figures

Graphical abstract

20 pages, 2327 KB  
Article
Research on a Polyolefin Composite Modifier for High-Temperature and Heavy-Duty Pavement and Performance of Its Modified Asphalt
by Runduo Ding, Xianhe Wang, Wei Wang, Haoran Wang, Huaxin Chen and Yanjun Zhang
Polymers 2026, 18(1), 26; https://doi.org/10.3390/polym18010026 - 22 Dec 2025
Viewed by 334
Abstract
To address the challenges of rutting and performance balance in asphalt pavements under high-temperature and heavy-load conditions, a novel polyolefin composite modifier (PCM-H) was developed from waste tire rubber powder, recycled ethylene vinyl acetate (EVA), acrylonitrile butadiene styrene (ABS), petroleum resin, and polymer [...] Read more.
To address the challenges of rutting and performance balance in asphalt pavements under high-temperature and heavy-load conditions, a novel polyolefin composite modifier (PCM-H) was developed from waste tire rubber powder, recycled ethylene vinyl acetate (EVA), acrylonitrile butadiene styrene (ABS), petroleum resin, and polymer additives. The chemical characteristics, thermal stability, and compatibility mechanisms of PCM-H were compared with those of two commercial modifiers (PCM-1 and PCM-2) using Fourier transform infrared spectroscopy (FTIR), thermogravimetric analysis (TGA), and differential scanning calorimetry (DSC). PCM-H exhibited superior compatibility and thermal stability. In contrast, PCM-2 tends to crystallize and precipitate within the 180–200 °C range, which is detrimental to the stability of the composite system. At an optimal dosage of 10 wt% in styrene–butadiene–styrene (SBS) modified asphalt, PCM-H formed a uniform dispersion and, through crosslinking reactions, established a three-dimensional network structure. Subsequently, the performance of composite modified asphalts, prepared with each of the three modifiers at their respective optimal dosages, was evaluated comparatively. Performance evaluations demonstrated that all polyolefin-modified asphalts significantly outperformed the conventional SBS modified asphalt. The PCM-H modified asphalt (PCM-H MA) exhibited the most superior performance, achieving a performance grade (PG) exceeding 94 °C, along with exceptional high-temperature elasticity and creep resistance, superior low-temperature cracking resistance, and enhanced fatigue healing capability. The results indicated that the crosslinked network structure effectively enhances asphalt cohesion, thereby providing a synergistic improvement in both high- and low-temperature performance. This study provides an effective solution and theoretical basis for developing high-performance pavement materials resistant to high temperatures and heavy loads conditions. Full article
(This article belongs to the Special Issue Polymer Materials for Pavement Applications)
Show Figures

Figure 1

16 pages, 6714 KB  
Article
Effect of Fluoride Content in Synthetic Phosphogypsum on the Hydration Behavior and Mechanical Properties of Cemented Paste Backfill
by Bin Liu, Qinli Zhang, Daolin Wang, Yan Feng, Yikun Yang and Qiusong Chen
Appl. Sci. 2025, 15(24), 12939; https://doi.org/10.3390/app152412939 - 8 Dec 2025
Viewed by 506
Abstract
Phosphogypsum-based cemented paste backfill (PCPB) represents an effective solution for managing substantial accumulations of PG. However, its practical application is limited by excessive fluoride content and insufficient strength. To systematically investigate the influence of initial fluoride content on the hydration behavior, microstructures, and [...] Read more.
Phosphogypsum-based cemented paste backfill (PCPB) represents an effective solution for managing substantial accumulations of PG. However, its practical application is limited by excessive fluoride content and insufficient strength. To systematically investigate the influence of initial fluoride content on the hydration behavior, microstructures, and strength development of PCPB specimens, synthetic phosphogypsum was prepared using CaSO4·2H2O and NaF to eliminate impurity interference in this study. A series of specimens was designed with varying initial fluoride content (5–70 mg/L), sand-to-cement ratios (1:6, 1:8, 1:10), and concentrations (63 wt%, 65 wt%). Setting time, unconfined compressive strength, isothermal calorimetry, X-ray diffraction, and scanning electron microscopy were employed to elucidate the effects and underlying mechanisms of fluoride on PCPB performance. The results indicate that higher initial fluoride content markedly delayed setting and reduced early strength. Calorimetric analysis confirmed that fluoride postponed the exothermic peak and extended the induction period, primarily due to the formation of the CaF2 layer on clinker particle surfaces, which hindered nucleation and hydration. The microscopic results further revealed that high fluoride content suppressed the formation of ettringite and C-S-H gels, resulting in more porous and loosely bonded microstructures. Leaching tests indicated that fluoride immobilization in PCPB specimens occurred mainly through CaF2 precipitation, physical encapsulation, and ion exchange. These findings provide theoretical support for the fluoride thresholds in PG below which the adverse effects on cement hydration and strength development can be minimized, contributing to the sustainable goals of waste reduction, harmless disposal, and resource recovery in the phosphate industry. Full article
Show Figures

Figure 1

22 pages, 8462 KB  
Article
Valorization of Spent Bio-Adsorbents into High-Performance Eco-Friendly Anodes for Direct Urea Fuel Cells
by Samar M. Mahgoub, Ahmed A. Allam, Hala Mohamed, Hassan A. Rudayni, Rehab Mahmoud, Kholoud Khaled Mohammed and Amal Zaher
Catalysts 2025, 15(12), 1113; https://doi.org/10.3390/catal15121113 - 29 Nov 2025
Viewed by 694
Abstract
The commercialization of direct urea fuel cells (DUFCs) is hampered by the scarcity of low-cost, high-performance electrocatalysts for the urea oxidation reaction (UOR), while water treatment processes generate spent adsorbents as a secondary waste. This study presents a circular economy solution by transforming [...] Read more.
The commercialization of direct urea fuel cells (DUFCs) is hampered by the scarcity of low-cost, high-performance electrocatalysts for the urea oxidation reaction (UOR), while water treatment processes generate spent adsorbents as a secondary waste. This study presents a circular economy solution by transforming a waste product—spent progesterone-loaded Reishi mushroom biosorbents—into high-performance anodes for DUFCs. We demonstrate that the thermal conversion of Ganoderma lucidum into biochar (Biochar/RM), followed by its “activation” through progesterone (PG) adsorption, creates a superior electrocatalytic composite (Biochar/RM/PG). Electrochemical evaluation revealed that this spent adsorbent delivers an exceptional UOR activity, achieving a peak current density of 225.52 mA cm−2, which is 79% higher than its pristine counterpart. This enhancement is driven by a unique synergy: the biochar provides a conductive, porous framework, while the thermally transformed PG acts as an in situ dopant, creating nitrogen-rich active sites and optimizing the surface architecture for urea electro-oxidation. The catalyst further demonstrated remarkable operational stability over 3600 s. This work establishes a pioneering “waste-to-wealth” strategy, simultaneously addressing the challenges of pharmaceutical wastewater management and the need for sustainable energy materials. Full article
(This article belongs to the Section Electrocatalysis)
Show Figures

Figure 1

35 pages, 3301 KB  
Review
Rare Earth Elements in Phosphate Ores and Industrial By-Products: Geochemical Behavior, Environmental Risks, and Recovery Potential
by Nourhen Omri, Radhia Souissi, Fouad Souissi, Christine Gleyzes, Noureddine Zaaboub, Houyem Abderrazak, Olivier F. X. Donard and Larbi Rddad
Minerals 2025, 15(12), 1232; https://doi.org/10.3390/min15121232 - 22 Nov 2025
Viewed by 1774
Abstract
Phosphate rock is a vital natural resource classified by the European Commission as a critical raw material (CRM), extensively mined for its agricultural, industrial, and technological applications. While primarily used in fertilizer production, phosphate deposits also contain significant concentrations of trace metals, notably [...] Read more.
Phosphate rock is a vital natural resource classified by the European Commission as a critical raw material (CRM), extensively mined for its agricultural, industrial, and technological applications. While primarily used in fertilizer production, phosphate deposits also contain significant concentrations of trace metals, notably rare earth elements (REE), which are essential for renewable energy, electronics, and defense technologies. In response to growing demand, the recovery of REE from phosphate ores and processing by-products, particularly phosphogypsum (PG), has gained international attention. This review provides a comprehensive analysis of the global phosphate industry, examining production trends, market dynamics, and the environmental implications of phosphate processing. Special focus is placed on the geochemical behavior and mineralogical associations of REE within phosphate ores and industrial residues, namely PG and purification sludge. Although often treated as waste, these by-products represent underexplored secondary resources for REE recovery. Technological advancements in hydrometallurgical, solvometallurgical, and bioleaching methods have demonstrated promising recovery efficiencies, with some pilot-scale studies exceeding 70%–80%. However, large-scale implementation remains limited due to economic, technical, and regulatory constraints. The circular economy framework offers a pathway to enhance resource efficiency and reduce environmental impact. By integrating innovative extraction technologies, strengthening regulatory oversight, and adopting sustainable waste management practices, phosphate-rich countries can transform environmental liabilities into strategic assets. This review concludes by identifying key knowledge gaps and suggesting future research directions to optimize REE recovery from phosphate deposits and associated by-products, contributing to global supply security, economic diversification, and environmental sustainability. Full article
(This article belongs to the Section Mineral Processing and Extractive Metallurgy)
Show Figures

Graphical abstract

12 pages, 1358 KB  
Article
Comparative Evaluation of the Antioxidant and Immunomodulatory Activities of Carrot (Daucus carota L.) Aerial Parts and Roots Using Different Extraction Methods
by Sung-Sook Choi, Jae-Eun Lee, Hyo-Jun Lee and Kyung-Ae Lee
Foods 2025, 14(23), 3993; https://doi.org/10.3390/foods14233993 - 21 Nov 2025
Viewed by 559
Abstract
Carrot (Daucus carota L.) is a widely consumed root vegetable, yet its aerial parts, including leaves and stems, are typically discarded as agricultural by-products, despite their potential biological value. This study comparatively evaluated the antioxidant and immunomodulatory properties of carrot aerial and [...] Read more.
Carrot (Daucus carota L.) is a widely consumed root vegetable, yet its aerial parts, including leaves and stems, are typically discarded as agricultural by-products, despite their potential biological value. This study comparatively evaluated the antioxidant and immunomodulatory properties of carrot aerial and root parts extracted using hot water or 50% ethanol. Four extracts were prepared: aerial part hot-water (AP-W), aerial part ethanol (AP-E), underground part hot-water (UP-W), and underground part ethanol (UP-E). The total phenolic content (TPC, expressed as gallic acid equivalents; GAE) and total flavonoid content (TFC, expressed as quercetin equivalents; QE) were quantified using the Folin–Ciocalteu and aluminum nitrate colorimetric methods, respectively. Antioxidant capacities were determined by ABTS and DPPH radical scavenging assays, cytotoxicity was assessed in RAW 264.7 macrophages via the MTT assay, nitric oxide (NO) levels were measured using the Griess reaction, and cytokine (IL-6, TNF-α) concentrations were analyzed by ELISA. Among the extracts, AP-E exhibited the highest TPC (28.3 ± 0.3 µg GAE/mg extract) and TFC (18.2 ± 2.3 µg QE/mg extract), corresponding to the strongest ABTS (92.3 ± 2.5%) and DPPH (72.4 ± 7.3%) radical scavenging activities. None of the extracts demonstrated cytotoxicity below 400 µg/mL. Under basal conditions, AP-W and UP-W significantly enhanced NO production (9.5 ± 1.3 µM and 7.7 ± 1.2 µM, respectively), while co-treatment with LPS markedly reduced NO levels in AS-E (2.3 ± 0.2 µM). Consistently, AP-W and UP-W elevated cytokine secretion (IL-6: 3462.1 ± 349.7 pg/mL and 1749.4 ± 55.4 pg/mL; TNF-α: 15,245.2 ± 771.0 pg/mL and 14,719.1 ± 329.8 pg/mL), whereas AP-E (400 µg/mL) significantly suppressed IL-6 (3938.6 ± 268.7 pg/mL) and TNF-α (11,869.0 ± 721.1 pg/mL) under LPS-stimulated conditions. Collectively, these results indicate that hot-water extracts of carrot parts exert immunostimulatory activity, whereas ethanol extracts possess potent anti-inflammatory potential. The aerial parts of carrots, often regarded as waste biomass, exhibit comparable or superior bioactivities to the roots, underscoring their potential utility as promising functional food ingredients. Full article
Show Figures

Graphical abstract

15 pages, 4510 KB  
Article
Experimental Optimization Study on Pumping Pipeline Transportation Performance of Pure Gangue Slurry Filling Material
by Yingbo Wang, Xiaoming Tang, Feng Ju, Meng Xiao, Tengfei Wang, Dong Wang, Lidong Yin, Lu Si and Mengxin Xu
Materials 2025, 18(20), 4788; https://doi.org/10.3390/ma18204788 - 20 Oct 2025
Viewed by 517
Abstract
Gangue slurry pumping backfill offers a cost-effective and environmentally sound solution for coal mine solid waste disposal. Addressing the poor pumpability of pure gangue slurry, this study applied the Talbot gradation theory to a non-cemented gangue system by designing various particle size gradations [...] Read more.
Gangue slurry pumping backfill offers a cost-effective and environmentally sound solution for coal mine solid waste disposal. Addressing the poor pumpability of pure gangue slurry, this study applied the Talbot gradation theory to a non-cemented gangue system by designing various particle size gradations and water-solid ratios (W/S). Through tests on rheological properties, slump, spread, and bleeding rate, the optimal proportion for pumpability of pure gangue slurry (PGS) within the scope of this study was determined. Tests were conducted on rheology, slump, spread flow, and bleeding rate to determine the optimal mix proportion for pumpability. The results show that: The slurry in this study demonstrates a strong correlation with the characteristics of a Bingham fluid. Its yield stress increases significantly as the W/S decreases. At a gradation index (n) of 0.4, particle packing is densest, resulting in the lowest yield stress. Slump and spread flow decrease with a lower W/S. They initially increase and then decrease as the gradation index increases, with optimal fluidity observed at n = 0.4. Bleeding rate increases with a higher gradation index but decreases with a lower W/S. Comprehensive optimization determined the optimal mix proportion as gradation index n = 0.4 and W/S of 0.18. At this ratio: Yield stress = 144.25 Pa, Slump = 255 mm, Spread flow = 60.1 cm, Bleeding rate = 2.21%. This meets the pumping requirements (Slump > 180 mm, Bleeding rate < 3%). The research results provide important experimental value for the practical pipeline transportation of PGS and the reduction in pumping friction resistance. Full article
(This article belongs to the Section Manufacturing Processes and Systems)
Show Figures

Figure 1

8 pages, 476 KB  
Case Report
Hypophosphatemia in the Diagnosis and Management of Primary Hyperparathyroidism
by Rosario Paloma Cano-Mármol, Inmaculada Ros-Madrid, María Carmen Andreo-López and Manuel Muñoz-Torres
J. Clin. Med. 2025, 14(19), 7024; https://doi.org/10.3390/jcm14197024 - 3 Oct 2025
Viewed by 2010
Abstract
Background: Hypophosphatemia is a frequently underestimated metabolic disorder, yet it can be one of the first biochemical findings in primary hyperparathyroidism (PHPT). Current diagnostic and surgical criteria for PHPT do not include serum phosphate, despite its potential value as an early marker. [...] Read more.
Background: Hypophosphatemia is a frequently underestimated metabolic disorder, yet it can be one of the first biochemical findings in primary hyperparathyroidism (PHPT). Current diagnostic and surgical criteria for PHPT do not include serum phosphate, despite its potential value as an early marker. Methods: We report the case of a 79-year-old woman with type 2 diabetes mellitus, hypertension and osteoarthritis, followed since 2015 for persistent hypophosphatemia (0.8 mg/dL) and stress fractures. Results: Initial calcium and vitamin D levels were normal, but PTH was elevated. Bone scintigraphy revealed multiple stress fractures, while ultrasound and sestamibi scan were inconclusive. Despite cholecalciferol and calcitriol supplementation, hypophosphatemia persisted. From 2023, progressive hypercalcemia developed (10.9 mg/dL), with sustained hypophosphatemia (1.7 mg/dL), persistently high PTH (121 pg/mL) and markedly elevated FGF-23 (1694 kRU/L). Renal phosphate wasting was demonstrated, with reduced tubular reabsorption. An 18F-fluorocholine PET-CT performed in 2024 identified two right parathyroid adenomas, establishing the diagnosis of PHPT. The patient was referred for parathyroidectomy. Conclusions: Hypophosphatemia may serve as a complementary biomarker in the diagnostic and therapeutic approach to PHPT, but only after other potential causes of low phosphate levels have been excluded, as illustrated in this case. Its consideration could facilitate the early identification of PHPT and improve clinical decision-making, particularly in patients who do not meet classical surgical indications. Full article
(This article belongs to the Section Endocrinology & Metabolism)
Show Figures

Figure 1

17 pages, 8823 KB  
Article
Static Loading Tests and Finite Element Analysis of Phosphogypsum Steel Truss Concrete Slabs
by Ao Zhang, Lirong Sha and Juan Fang
Infrastructures 2025, 10(9), 250; https://doi.org/10.3390/infrastructures10090250 - 19 Sep 2025
Viewed by 579
Abstract
This study investigates the utilization of phosphogypsum (PG), an industrial byproduct, as a sustainable additive in reinforced truss concrete slabs to promote eco-friendly construction practices. Through static loading tests (monotonic/cyclic) under mixed boundary conditions (simply supported fixed), four slabs—including 2% PG-modified and ordinary [...] Read more.
This study investigates the utilization of phosphogypsum (PG), an industrial byproduct, as a sustainable additive in reinforced truss concrete slabs to promote eco-friendly construction practices. Through static loading tests (monotonic/cyclic) under mixed boundary conditions (simply supported fixed), four slabs—including 2% PG-modified and ordinary concrete—were evaluated for mechanical performance, stress strain response, deflection, and crack propagation. The results demonstrated that PG enhanced slabs achieved comparable strength to conventional counterparts while exhibiting superior structural integrity at failure, highlighting PG’s potential to reduce environmental waste without compromising performance. Finite element analysis (ABAQUS2023) closely aligned with experimental data (<5% error), validating the model’s reliability in predicting failure modes. The study underscores PG’s viability as a circular economy solution for green building materials, offering dual benefits of waste valorization and resource efficiency. These findings advance sustainable construction by providing actionable insights for integrating industrial byproducts into high-performance structural systems, aligning with global decarbonization goals. Full article
Show Figures

Figure 1

22 pages, 1107 KB  
Article
Simulation of Transpiration and Drainage in Soil-Based Tomato Production with Potential Hydroponic Application
by Ronnie J. Dunn and Hannah Kinmonth-Schultz
Agronomy 2025, 15(9), 2134; https://doi.org/10.3390/agronomy15092134 - 5 Sep 2025
Viewed by 1244
Abstract
Hydroponic systems can drain nutrient-rich waste into the environment. Increasing irrigation efficiency would decrease effluent and improve cost efficiency for growers. However, current methods accessible to small- and mid-sized growers to determine moisture content in growth media are often imprecise. Simplified transpiration models [...] Read more.
Hydroponic systems can drain nutrient-rich waste into the environment. Increasing irrigation efficiency would decrease effluent and improve cost efficiency for growers. However, current methods accessible to small- and mid-sized growers to determine moisture content in growth media are often imprecise. Simplified transpiration models could inform irrigation needs. This study aimed to improve transpiration estimates using vapor pressure deficit (VPD) and solar radiation. We compared our model to an existing transpiration model. Three years of transpiration and environmental data from tomato production were used to calibrate (year 2) and validate (years 1 and 3) the model. Randomly chosen subsets from all years of data were also used. The new model (TVPD) predicted the observed values more closely than the previous model (PG) in year 1 (TVPD: RMSE = 0.1570 mm, r2 = 0.95; PG: RMSE = 0.5594 to 0.6875 mm, r2 = 0.27 to 0.78) but not in year 3 (TVPD: RMSE = 0.5430 mm, r2 = 0.44; PG: RMSE = 0.1873 to 0.2065 mm, r2 = 0.95). TVPD calibrated using random subsets of the combined data improved consistency and predictive capacity (RMSE = 0.2387 to 0.2419 mm, r2 = 0.87 to 0.91). TVPD is a simpler alternative to complex models and to those focusing on solar radiation alone. TVPD is less reliable under low solar radiation (year 3); however, reliability could be improved by calibration across a broader environmental range. TVPD also allows for exploration of the relative influences of low VPD and high solar radiation on evapotranspiration found in greenhouse settings. Full article
(This article belongs to the Section Water Use and Irrigation)
Show Figures

Figure 1

20 pages, 2387 KB  
Article
A Rubberized-Aerogel Composite Binder Modifier for Durable and Sustainable Asphalt Pavements
by Carlos J. Obando, Jolina J. Karam, Jose R. Medina and Kamil E. Kaloush
Buildings 2025, 15(17), 2998; https://doi.org/10.3390/buildings15172998 - 23 Aug 2025
Viewed by 801
Abstract
The United States produces approximately 500 million tons of asphalt mixtures annually, while generating vast amounts of waste materials that could be repurposed for sustainable infrastructure. Each year, 1.4 billion gallons of lubricating oils are available for reuse and recycling. Additionally, 280 million [...] Read more.
The United States produces approximately 500 million tons of asphalt mixtures annually, while generating vast amounts of waste materials that could be repurposed for sustainable infrastructure. Each year, 1.4 billion gallons of lubricating oils are available for reuse and recycling. Additionally, 280 million tires are discarded, contributing to significant environmental challenges. Given the critical role of the roadway network in economic growth, mobility, and infrastructure sustainability, there is a pressing need for innovative material solutions that integrate recycled materials without compromising performance. This study introduces a Rubberized-Aerogel Composite (RaC), a novel asphalt binder modifier combining crumb rubber, recycled oil, and a silica-based aerogel to enhance the sustainability and durability of asphalt pavements. The research methodology involved blending the RaC with the PG70-10 asphalt binder at a 5:1 ratio and conducting comprehensive laboratory tests on binders and mixtures, including rheology, thermal conductivity (TC), specific heat capacity (Cp), the Hamburg Wheel-Tracking Test (HWTT), and indirect tensile strength (IDT). Pavement performance was simulated using AASHTOWare Pavement ME under hot and cold climates with thin and thick pavement structures. Results showed that RaC-modified binders reduced thermal conductivity by up to 30% and increased specific heat capacity by 15%, improving thermal stability. RaC mixtures exhibited a 50% reduction in rut depth in the HWTT and lower thermal expansion/contraction coefficients. Pavement ME simulations predicted up to 40% less permanent deformation and 60% reduced thermal cracking for RaC mixtures compared to the controls. RaC enhances pavement lifespan, reduces maintenance costs, and promotes environmental sustainability by repurposing waste materials, offering a scalable solution for resilient infrastructure. Full article
(This article belongs to the Section Building Materials, and Repair & Renovation)
Show Figures

Figure 1

Back to TopTop