Sign in to use this feature.

Years

Between: -

Subjects

remove_circle_outline
remove_circle_outline
remove_circle_outline
remove_circle_outline
remove_circle_outline
remove_circle_outline
remove_circle_outline
remove_circle_outline
remove_circle_outline

Journals

Article Types

Countries / Regions

remove_circle_outline
remove_circle_outline
remove_circle_outline
remove_circle_outline

Search Results (235)

Search Parameters:
Keywords = warm compress

Order results
Result details
Results per page
Select all
Export citation of selected articles as:
32 pages, 17998 KB  
Article
Mechanical, Durability, and Environmental Performance of Limestone Powder-Modified Ultra-High-Performance Concrete
by Yashovardhan Sharma, Meghana Yeluri and Srinivas Allena
Constr. Mater. 2025, 5(4), 90; https://doi.org/10.3390/constrmater5040090 - 10 Dec 2025
Viewed by 167
Abstract
Ultra-high-performance concrete (UHPC) delivers outstanding durability and strength but typically relies on high Portland cement content. This study evaluates a 20% cement replacement with limestone powder (LP) in UHPC and benchmarks performance under two curing regimes: moist curing (MC) and warm bath curing [...] Read more.
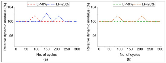
Ultra-high-performance concrete (UHPC) delivers outstanding durability and strength but typically relies on high Portland cement content. This study evaluates a 20% cement replacement with limestone powder (LP) in UHPC and benchmarks performance under two curing regimes: moist curing (MC) and warm bath curing at 90 °C (WB). Metrics include workability, compressive and flexural behavior, shrinkage, freeze–thaw resistance, chloride transport (surface resistivity, RCPT), material cost, and embodied CO2. LP improved fresh behavior: flow increased by 14.3% in plain UHPC and 33% in fiber-reinforced UHPC (FR-UHPC). Compressive strengths remained in the UHPC range at 28–56 days (approximately 142–152 MPa with LP), with modest penalties versus 0%-LP controls (about 2–5% depending on age and curing). Under WB at 56 days, controls reached 154 MPa (plain) and 161 MPa (FR-UHPC), while LP mixes achieved 145.2 MPa (plain) and 152.0 MPa (FR-UHPC). Flexural performance was reduced with LP: for FR-UHPC, 28-day MOR under MC was reduced from 15.5 MPa to 12.7 MPa and under WB from 14.3 MPa to 10.3 MPa; toughness under MC was reduced from 74.4 J to 51.1 J. Durability indicators were maintained or improved despite these moderate strength reductions. After 300 rapid freeze–thaw cycles, all mixtures retained relative dynamic modulus near 100–103%, with negligible MOR losses in LP mixes (plain UHPC: −1.1% with LP versus −4.7% without; FR-UHPC: −3.7% versus −8.1%). Chloride transport resistance improved: at 56 days under MC, surface resistivity increased from 558 to 707 kΩ·cm in plain UHPC and from 252 to 444 kΩ·cm in FR-UHPC; RCPT for LP mixes was 139 C (MC) and 408 C (WB), about 14–23% lower than respective controls. Drying shrinkage was reduced by roughly 23% (plain) and 28% (FR-UHPC). Sustainability and cost outcomes were favorable: embodied CO2 was reduced by 18.8% (plain) and 15.5% (FR-UHPC), and material cost was reduced by about 4.5% and 2.0%, respectively. The main shortcomings are moderate reductions in compressive and flexural strength and toughness, particularly under WB curing, which should guide application-specific limits and design factors. Full article
Show Figures

Figure 1

21 pages, 4500 KB  
Article
Spectroscopic Ellipsometry and Luminescence Properties of Low Temperature Sputter-Deposited Zinc Oxide Thin Films: Cryogenic Self-Stress-Induced Crystallization
by M. A. Ebdah, M. E. Kordesch, W. Yuan, W. M. Jadwisienczak, S. Kaya, M. D. Nazzal, A. Ibdah and K. S. Al-iqdah
Crystals 2025, 15(12), 1031; https://doi.org/10.3390/cryst15121031 - 2 Dec 2025
Viewed by 253
Abstract
Zinc oxide (ZnO) thin films were deposited by radio-frequency reactive magnetron sputtering at a cryogenic substrate temperature of −78 °C to explore a novel low-thermal-budget route for semiconductor growth. Despite the extremely low temperature, X-ray diffraction revealed spontaneous partial crystallization of wurtzite ZnO [...] Read more.
Zinc oxide (ZnO) thin films were deposited by radio-frequency reactive magnetron sputtering at a cryogenic substrate temperature of −78 °C to explore a novel low-thermal-budget route for semiconductor growth. Despite the extremely low temperature, X-ray diffraction revealed spontaneous partial crystallization of wurtzite ZnO upon warming to room temperature, driven by strain relaxation and stress coupling at the ZnO/SiO2 interface. Atomic-force and scanning-electron microscopies confirmed nanoscale hillock and ridge morphologies that correlate with in-plane compressive stress and out-of-plane tensile strain. Spectroscopic ellipsometry, modeled using a general oscillator (GO) mathematical model approach, determined a film thickness of 60.81 nm, surface roughness of 3.75 nm, and a direct optical bandgap of 3.40 eV. Photoluminescence spectra exhibited strong near-band-edge emission modulated with LO-phonon replicas at 300 K, indicating robust exciton–phonon coupling. This study demonstrates that ZnO films grown at cryogenic conditions can undergo substrate-induced self-crystallize upon warming, which eliminates the need for thermal annealing. The introduced cryogenic self-crystallization regime offers a new pathway for depositing crystalline semiconductors on thermally sensitive or flexible substrates where heating is undesirable, enabling future optoelectronic and photonic device fabrication under ultra-low thermal-budget conditions. Full article
(This article belongs to the Section Inorganic Crystalline Materials)
Show Figures

Figure 1

27 pages, 2902 KB  
Article
Life Cycle Assessment of Small Passenger Cars in the Context of Smart Grid Integration and Sustainable Power System Development
by Katarzyna Piotrowska, Izabela Piasecka and Marek Opielak
Sustainability 2025, 17(23), 10788; https://doi.org/10.3390/su172310788 - 2 Dec 2025
Viewed by 453
Abstract
The accelerating integration of electromobility into renewable-based power systems necessitates a comprehensive understanding of vehicle life cycles and their interactions with emerging smart grid infrastructures. This study employs a Life Cycle Assessment (LCA) approach to evaluate the environmental performance of materials and components [...] Read more.
The accelerating integration of electromobility into renewable-based power systems necessitates a comprehensive understanding of vehicle life cycles and their interactions with emerging smart grid infrastructures. This study employs a Life Cycle Assessment (LCA) approach to evaluate the environmental performance of materials and components used in A- and B-segment passenger vehicles, within the framework of sustainable energy system development. Four propulsion technologies—petrol, diesel, compressed natural gas (CNG), and battery electric vehicles (BEVs)—were analyzed across two technological horizons (2020 and 2050), considering both landfilling and recycling end-of-life scenarios. The results demonstrate that while BEVs offer the lowest operational emissions and the greatest potential for supporting grid flexibility and renewable energy integration, they also exhibit the highest environmental burdens during production, primarily due to battery manufacturing. Nevertheless, the adoption of advanced recycling technologies significantly mitigates these impacts by reducing resource depletion, global warming potential, and cumulative energy demand. The findings highlight that circular material management and high-efficiency recycling are critical enablers of sustainable electromobility. By linking vehicle charging, energy storage, and recycling strategies, the integration of transport and energy systems can enhance grid stability, improve resource efficiency, and accelerate progress toward a decarbonized, resilient, and smart energy future. Full article
Show Figures

Figure 1

30 pages, 6675 KB  
Article
Synergistic Role of Recycled Concrete Aggregates and Hybrid Steel Fibers in Roller-Compacted Concrete Pavements: A Multi-Criteria Assessment for Eco-Efficiency Optimization
by Omid Hassanshahi, Shaghayegh Karimzadeh, Mohammad Bakhshi and Nima Azimi
Buildings 2025, 15(23), 4279; https://doi.org/10.3390/buildings15234279 - 26 Nov 2025
Cited by 1 | Viewed by 212
Abstract
This study examines the synergistic influence of recycled concrete aggregates (RCAs), industrial steel fibers (ISFs), recycled steel fibers (RSFs), and hybrid ISF/RSF (HSF) on the structural, durability, and environmental performance of roller-compacted concrete pavement (RCCP). Twenty mixtures were prepared with 0 and 50% [...] Read more.
This study examines the synergistic influence of recycled concrete aggregates (RCAs), industrial steel fibers (ISFs), recycled steel fibers (RSFs), and hybrid ISF/RSF (HSF) on the structural, durability, and environmental performance of roller-compacted concrete pavement (RCCP). Twenty mixtures were prepared with 0 and 50% RCA and fiber dosages of 0–0.9%, including plain, single-fiber, and HSF systems. Compressive, splitting tensile, and flexural strengths, as well as freeze–thaw resistance up to 300 cycles, were experimentally evaluated. Environmental performance was quantified through a cradle-to-gate life cycle assessment (LCA) covering nine impact categories and integrated with a multi-criteria decision analysis (MCDA) using the weighted sum method (WSM) and technique for order of preference by similarity to ideal solution (TOPSIS). Results indicate that 50% RCA replacement reduced compressive strength by ~21% but decreased global warming potential (GWP) by 15%. Hybrid fiber reinforcement significantly improved mechanical and durability properties, achieving up to 51% higher tensile strength and >85% strength retention after 300 freeze–thaw cycles compared with the control mix. The LCA showed notable reductions in GWP, acidification potential, and non-renewable energy demand when ISF and natural aggregates were partially substituted with RSF and RCA. The MCDA identified N50_R50_ISF0.3_RSF0.3 (50% RCA with 0.6% HSF) as the optimal mixture, achieving the highest eco-efficiency index (WSM = 0.80; TOPSIS = 0.73). These findings confirm that integrating RCA with hybrid steel fibers enhances the mechanical and durability performance of RCCP while substantially reducing environmental burdens, providing a viable strategy for low-carbon and circular pavement construction. Full article
Show Figures

Figure 1

18 pages, 1750 KB  
Article
Experimental Investigation of Low Carbon Concrete Using Ground Seashell Powder as Filler and Partial Cement Replacement
by Ali Abbas and Anjana Kudukkan
Constr. Mater. 2025, 5(4), 82; https://doi.org/10.3390/constrmater5040082 - 19 Nov 2025
Viewed by 816
Abstract
The present experimental study was set up to examine the use of waste seashells (ground to powder form) to replace cement partially and as a filler material in concrete. Two distinct particle size ranges of seashell powder were adopted based on their intended [...] Read more.
The present experimental study was set up to examine the use of waste seashells (ground to powder form) to replace cement partially and as a filler material in concrete. Two distinct particle size ranges of seashell powder were adopted based on their intended function: 63–125 micron particles are used as a filler to enhance packing density, and 0–63 micron particles are used as a cement replacement to improve reactivity. Four concrete mixes, including a control mix, were designed, with ground seashell powder used to replace cement, both as a filler replacing 15% of the cement and additionally as finer seashell powder replacing 0, 15, and 30% of cement (labelled S0F15, S15F15, and S30F15, respectively). The seashells’ chemical, physical, and mineralogical properties were characterised using particle size analysis through sieving, X-ray diffraction (XRD), Scanning Electron microscopy (SEM), and pH test methods. Furthermore, the fresh properties of concrete, such as initial and final setting time, were studied. The hardened seashell-based concrete was subjected to direct compressive strength, bulk density, and modulus of elasticity analysis. The results showed that the 28-day compressive strength of concrete with seashells was moderately reduced by nearly 25% compared to the control mix. In the case of modulus of elasticity, the reductions were about 5%, 7% and 13% for mixes S0F15, S15F15 and S30F15, respectively, compared to the control mix CM. Finally, the carbon emission from concrete with 15% and 30% seashell powder content as cement replacement (plus 15% cement replaced with the powder acting as a filler in both cases) resulted in a notably lower carbon emission of 250 and 212 kg CO2 e/m3, respectively, compared to the control mix, with a reduction of approximately 24%. This is a sizable reduction in Global Warming Potential (GWP) value. Therefore, the study concluded that the investigated seashell powder in concrete could benefit an eco-friendly environment and conservation of natural resources. Full article
Show Figures

Figure 1

44 pages, 2549 KB  
Review
Natural Clay in Geopolymer Concrete: A Sustainable Alternative Pozzolanic Material for Future Green Construction—A Comprehensive Review
by Md Toriqule Islam, Bidur Kafle and Riyadh Al-Ameri
Sustainability 2025, 17(22), 10180; https://doi.org/10.3390/su172210180 - 13 Nov 2025
Viewed by 1586
Abstract
The ordinary Portland cement (OPC) manufacturing process is highly resource-intensive and contributes to over 5% of global CO2 emissions, thereby contributing to global warming. In this context, researchers are increasingly adopting geopolymers concrete due to their environmentally friendly production process. For decades, [...] Read more.
The ordinary Portland cement (OPC) manufacturing process is highly resource-intensive and contributes to over 5% of global CO2 emissions, thereby contributing to global warming. In this context, researchers are increasingly adopting geopolymers concrete due to their environmentally friendly production process. For decades, industrial byproducts such as fly ash, ground-granulated blast-furnace slag, and silica fume have been used as the primary binders for geopolymer concrete (GPC). However, due to uneven distribution and the decline of coal-fired power stations to meet carbon-neutrality targets, these binders may not be able to meet future demand. The UK intends to shut down coal power stations by 2025, while the EU projects an 83% drop in coal-generated electricity by 2030, resulting in a significant decrease in fly ash supply. Like fly ash, slag, and silica fume, natural clays are also abundant sources of silica, alumina, and other essential chemicals for geopolymer binders. Hence, natural clays possess good potential to replace these industrial byproducts. Recent research indicates that locally available clay has strong potential as a pozzolanic material when treated appropriately. This review article represents a comprehensive overview of the various treatment methods for different types of clays, their impacts on the fresh and hardened properties of geopolymer concrete by analysing the experimental datasets, including 1:1 clays, such as Kaolin and Halloysite, and 2:1 clays, such as Illite, Bentonite, Palygorskite, and Sepiolite. Furthermore, this review article summarises the most recent geopolymer-based prediction models for strength properties and their accuracy in overcoming the expense and time required for laboratory-based tests. This review article shows that the inclusion of clay reduces concrete workability because it increases water demand. However, workability can be maintained by incorporating a superplasticiser. Calcination and mechanical grinding of clay significantly enhance its pozzolanic reactivity, thereby improving its mechanical performance. Current research indicates that replacing 20% of calcined Kaolin with fly ash increases compressive strength by up to 18%. Additionally, up to 20% replacement of calcined or mechanically activated clay improved the durability and microstructural performance. The prediction-based models, such as Artificial Neural Network (ANN), Multi Expression Programming (MEP), Extreme Gradient Boosting (XGB), and Bagging Regressor (BR), showed good accuracy in predicting the compressive strength, tensile strength and elastic modulus. The incorporation of clay in geopolymer concrete reduces reliance on industrial byproducts and fosters more sustainable production practices, thereby contributing to the development of a more sustainable built environment. Full article
(This article belongs to the Special Issue Advanced Materials and Technologies for Environmental Sustainability)
Show Figures

Figure 1

23 pages, 9151 KB  
Article
Durability Considerations in Replacing Blast Furnace Slag with Low-Grade Calcined Clay and Natural Pozzolan in Quaternary Cements
by Juan Manuel Etcheverry, Laurent Detemmerman, Krist Degezelle, Vadim Grigorjev, Laurena De Brabandere and Nele De Belie
Materials 2025, 18(21), 5048; https://doi.org/10.3390/ma18215048 - 5 Nov 2025
Viewed by 569
Abstract
Belgium and the EU-27 face a shortage of suitable supplementary cementitious materials (SCMs) capable of supporting high levels of Portland cement substitution. To reduce CO2 emissions from the cement industry, blended cements incorporating low-grade calcined clay, limestone, and lava (a natural pozzolan) [...] Read more.
Belgium and the EU-27 face a shortage of suitable supplementary cementitious materials (SCMs) capable of supporting high levels of Portland cement substitution. To reduce CO2 emissions from the cement industry, blended cements incorporating low-grade calcined clay, limestone, and lava (a natural pozzolan) are investigated. Calcined clay is combined with limestone to produce a limestone–calcined clay cement (LC3). The reactivity of these new blends is assessed using isothermal calorimetry and compared to a reference blend with ground-granulated blast-furnace slag (GGBFS). Results show that mixtures with calcined clay develop slightly lower 28-day strength than those with GGBFS, while blends with lava exhibit strength gains only at later ages due to delayed pozzolanic activity. Overall, concrete made with low-grade calcined clay and lava achieves comparable compressive strength to the reference (CEM III/A), but with higher capillary porosity, leading to increased water absorption, drying shrinkage, and reduced freeze–thaw resistance. Despite these durability limitations, the sustainability assessment reveals that the LC3 mix with low-grade clay and lava has a lower global warming potential per unit strength at 28 days than CEM III/A and is competitive with CEM III/B. Full article
(This article belongs to the Special Issue Advances in Waste Materials’ Valorization)
Show Figures

Figure 1

23 pages, 3391 KB  
Article
Mechanical Properties of 3D-Printed Molybdenum Tailings Mortar
by Shan Gao, Tianyu Li, Jian Yuan, Tomoya Nishiwaki and Zhenhua Huang
Appl. Sci. 2025, 15(21), 11483; https://doi.org/10.3390/app152111483 - 27 Oct 2025
Viewed by 383
Abstract
As an innovative approach to advancing sustainable construction, this study explores the integration of molybdenum tailings as fine aggregate in 3D-printed mortar. The rheological and mechanical properties of the developed mixtures are systematically investigated. Environmental and economic assessments demonstrate that molybdenum tailings sand [...] Read more.
As an innovative approach to advancing sustainable construction, this study explores the integration of molybdenum tailings as fine aggregate in 3D-printed mortar. The rheological and mechanical properties of the developed mixtures are systematically investigated. Environmental and economic assessments demonstrate that molybdenum tailings sand exhibits negligible global warming potential (GWP), acidification potential (AP), and cumulative energy demand (CED), completely avoiding the environmental impacts associated with natural sand extraction. Economically, full replacement with molybdenum tailings reduces material costs, as the tailings are typically provided without charge by mining enterprises. Furthermore, the template-free 3D printing technology eliminates formwork-related environmental impacts and simplifies construction processes. Experimental results indicate that mortars with cement-to-sand ratios between 1:1 and 1:2 possess favorable printability, with nozzle movement parameters significantly influencing printed dimensions. While increased molybdenum tailings content reduces mechanical strength, the cement-to-sand ratio exerts a more pronounced effect. The compressive strength of mold-printed and free-printed mortar reaches 55–75% and 35–55% of conventional mortar, respectively. Anisotropy analysis reveals minimal directional dependence in flexural strength, whereas compressive strength shows clear anisotropy, with X-direction strength measuring approximately 70% of that in the Y direction. This research provides valuable insights into the sustainable design and performance optimization of 3D-printed mortar using industrial byproducts. Full article
(This article belongs to the Special Issue Utilization of Industrial Waste in Cemetitious Materials)
Show Figures

Figure 1

20 pages, 8957 KB  
Article
Are Soft Silicone Hydrogel Contact Lenses More Compliant in a Warm, Hydrated Environment?
by Joseph Towler, Wen-Pin Lin, Lo-Yu Wu, Rowan Abass, Richard Wu, Arwa Fathy, Rami Alanazi, Jay Davies and Ahmed Abass
Processes 2025, 13(10), 3290; https://doi.org/10.3390/pr13103290 - 14 Oct 2025
Cited by 1 | Viewed by 1041
Abstract
Soft contact lenses are usually characterised at room temperature, yet they function on the eye at body temperature, where their mechanics and optical performance can change. This study investigated whether soft silicone hydrogel lenses become more compliant in a physiological environment. Two silicone [...] Read more.
Soft contact lenses are usually characterised at room temperature, yet they function on the eye at body temperature, where their mechanics and optical performance can change. This study investigated whether soft silicone hydrogel lenses become more compliant in a physiological environment. Two silicone hydrogel materials (Definitive 74 and Unisil) were tested at 24 °C and 35 °C using uniaxial tensile and compression methods, with Ogden hyperelastic models fitted and finite element analysis performed on a realistic eye model. Both materials became more compliant at 35 °C, with Definitive 74 showing a larger modulus decrease (0.40 to 0.32 MPa) than Unisil (0.73 to 0.70 MPa). Finite element simulations indicated that these temperature-driven changes in compliance significantly affected refractive power, especially when the lens base curve exceeded the corneal radius by more than 5%. These findings demonstrate that soft silicone hydrogel lenses are indeed more compliant in a warm, hydrated environment, highlighting the need for physiologically relevant testing to inform design, fitting strategies, comfort, and vision outcomes. Full article
Show Figures

Figure 1

31 pages, 3370 KB  
Article
Simulation and Optimization of Dry Ice Production Process Using Amine-Based CO2 Capture and External Ammonia Refrigeration
by Jean Claude Assaf, Christina Issa, Tony Flouty, Lea El Marji and Mantoura Nakad
Processes 2025, 13(10), 3209; https://doi.org/10.3390/pr13103209 - 9 Oct 2025
Viewed by 1180
Abstract
Despite growing interest in carbon capture and utilization (CCU), the transformation of captured CO2 into dry ice remains poorly studied, particularly from a systems integration and energy optimization perspective. While previous works have examined individual components such as CO2 absorption, liquefaction, [...] Read more.
Despite growing interest in carbon capture and utilization (CCU), the transformation of captured CO2 into dry ice remains poorly studied, particularly from a systems integration and energy optimization perspective. While previous works have examined individual components such as CO2 absorption, liquefaction, or refrigerant evaluation, no existing study has modeled the full dry ice production chain from capture to solidification within a unified simulation framework. This study presents the first complete simulation and optimization of a dry ice production process, incorporating CO2 absorption, solvent regeneration, dehydration, multistage compression, ammonia-based external liquefaction, and expansion-based solidification using Aspen HYSYS. The process features ammonia as a working refrigerant due to its favorable thermodynamic performance and zero global warming potential. Optimization of heat integration reduced total energy consumption by 66.67%, replacing conventional utilities with water-based heat exchangers. Furthermore, solvent recovery achieved rates of 75.65% for MDEA and 66.4% for piperazine, lowering operational costs and environmental burden. The process produced dry ice with 97.83% purity and 94.85% yield. A comparative analysis of refrigerants confirmed ammonia’s superiority over R-134a and propane. These results provide the first system-level roadmap for producing dry ice from captured CO2 in an energy-efficient, scalable, and environmentally responsible manner. Full article
(This article belongs to the Section Chemical Processes and Systems)
Show Figures

Figure 1

49 pages, 7377 KB  
Article
Life Cycle Assessment of Barite- and Magnetite-Based Self-Compacting Concrete Composites for Radiation Shielding Applications
by Ajitanshu Vedrtnam, Kishor Kalauni, Shashikant Chaturvedi and Martin T. Palou
J. Compos. Sci. 2025, 9(10), 542; https://doi.org/10.3390/jcs9100542 - 3 Oct 2025
Cited by 1 | Viewed by 1036
Abstract
The growing demand for radiation-shielded infrastructure highlights the need for materials that balance shielding performance with environmental and economic sustainability. Heavyweight self-compacting concretes (HWSCC), commonly produced with barite (BaSO4) or magnetite (Fe3O4) aggregates, lack systematic life cycle [...] Read more.
The growing demand for radiation-shielded infrastructure highlights the need for materials that balance shielding performance with environmental and economic sustainability. Heavyweight self-compacting concretes (HWSCC), commonly produced with barite (BaSO4) or magnetite (Fe3O4) aggregates, lack systematic life cycle comparisons. The aim of this study is to systematically compare barite- and magnetite-based HWSCC in terms of life cycle environmental impacts, life cycle cost, functional performance (strength and shielding), and end-of-life circularity, in order to identify the more sustainable and cost-effective material for radiation shielding infrastructure. This study applies cradle-to-grave life cycle assessment (LCA) and life cycle cost analysis (LCC), in accordance with ISO 14040/14044 and ISO 15686-5, to evaluate barite- and magnetite-based HWSCC. Results show that magnetite concrete reduces global warming potential by 19% eutrophication by 24%, and fossil resource depletion by 23%, while lowering life cycle costs by ~23%. Both concretes achieve comparable compressive strength (~48 MPa) and shielding efficiency (µ ≈ 0.28–0.30 cm−1), meeting NCRP 147 and IAEA SRS-47 standards. These findings demonstrate that magnetite-based HWSCC offers a more sustainable, cost-effective, and ethically sourced alternative for radiation shielding in healthcare, nuclear, and industrial applications. In addition, the scientific significance of this work lies in establishing a transferable methodological framework that combines LCA, LCC, and performance-normalized indicators. This enables scientists and practitioners worldwide to benchmark heavyweight concretes consistently and to adapt sustainability-informed material choices to their own regional contexts. Full article
(This article belongs to the Section Composites Applications)
Show Figures

Figure 1

22 pages, 2131 KB  
Review
Research Progress on CO2 Transcritical Cycle Technology for Building Heating and Cooling Applications
by Weixiu Shi, Haiyu Chang, Junwei Zhou, Bai Mu, Shuang Quan and Lisheng Pan
Buildings 2025, 15(16), 2952; https://doi.org/10.3390/buildings15162952 - 20 Aug 2025
Cited by 1 | Viewed by 2490
Abstract
This review focuses on the advancements of CO2 transcritical cycle technology in building indoor environmental regulation, particularly in combined heating and cooling applications. The paper highlights the energy efficiency and environmental benefits of CO2 as a natural refrigerant, which has zero [...] Read more.
This review focuses on the advancements of CO2 transcritical cycle technology in building indoor environmental regulation, particularly in combined heating and cooling applications. The paper highlights the energy efficiency and environmental benefits of CO2 as a natural refrigerant, which has zero ozone depletion potential (ODP) and very low global warming potential (GWP). It provides a comprehensive overview of recent optimization strategies, including distributed compression, the integration of ejectors and expanders, and the design improvements of key components such as gas coolers, compressors, and throttling valves. Through optimization strategies such as dual-system cycles, this technology can achieve a COP improvement of 15.3–46.96% in heating scenarios; meanwhile, with the help of distributed compression technology, its cooling capacity can be enhanced by up to 26.5%. The review also examines various operating conditions such as discharge pressure and subcooling, which significantly affect system performance. The paper concludes by identifying the current challenges in the application of CO2 systems, such as high initial costs and system stability under extreme conditions, and suggests future research directions to overcome these limitations and improve the practical application of CO2 transcritical cycles in the building industry. Overall, it is concluded that the development of expander-compressors holds great potential for achieving better performance and represents a promising direction for future advancements in this field. Full article
(This article belongs to the Special Issue Development of Indoor Environment Comfort)
Show Figures

Figure 1

24 pages, 1108 KB  
Article
Integrating Environmental and Social Life Cycle Assessment for Sustainable University Mobility Strategies
by Claudia Alanis, Liliana Ávila-Córdoba, Ariana Cruz-Olayo, Reyna Natividad and Alejandro Padilla-Rivera
Sustainability 2025, 17(16), 7456; https://doi.org/10.3390/su17167456 - 18 Aug 2025
Cited by 1 | Viewed by 2103
Abstract
Universities play a critical role in shaping sustainable mobility strategies, especially in urban contexts where the institutional transport system can influence environmental and social outcomes. This study integrates Environmental and Social Life Cycle Assessment (E-LCA and S-LCA) to evaluate the current university transport [...] Read more.
Universities play a critical role in shaping sustainable mobility strategies, especially in urban contexts where the institutional transport system can influence environmental and social outcomes. This study integrates Environmental and Social Life Cycle Assessment (E-LCA and S-LCA) to evaluate the current university transport system from internal combustion engines, diesel, and compressed natural gas (CNG), focusing on the operation and maintenance phases. Also, it compares seven scenarios, including electric, renewable sources, and biodiesel technologies. Environmental impacts were assessed using the ReCiPe 2016 midpoint method, which considers the following impact categories: Global Warming Potential (GWP); Ozone Formation, Human Health (OfHh); Ozone Formation, Terrestrial Ecosystem (OfTe); Terrestrial Acidification (TA); and Fine Particulate Matter Formation (FPmf). The sensitivity analysis explores scenarios to assess the effects of technological transitions and alternative energy sources on the environmental performance. Social impacts are assessed through a Social Performance Index (SPI) and Aggregated Social Performance Index (ASPI), which aggregates indicators such as safety, travel cost, punctuality, accessibility, and inclusive design. Accessibility emerged as the lowest indicator (ranging from 0.61 to 0.67), highlighting opportunities for improvement. Our findings support decision-making processes for integrating sustainable transport strategies into a University Mobility Plan, emphasizing the importance of combining technical performance with social inclusivity. Full article
(This article belongs to the Section Sustainable Engineering and Science)
Show Figures

Figure 1

16 pages, 251 KB  
Article
A Short-Term Comparative Evaluation of Multiple Treatment Modalities for Meibomian Gland Dysfunction: A Prospective Clinical Study
by Mübeccel Bulut, Ali Hakim Reyhan and Gökhan Yüzbaşı
Healthcare 2025, 13(16), 1992; https://doi.org/10.3390/healthcare13161992 - 14 Aug 2025
Viewed by 1058
Abstract
Purpose: The aim of this study was to evaluate the different approaches used in the treatment of meibomian gland dysfunction (MGD). Materials and Methods: This open-label, single-center, prospective pilot study with a parallel-group design was conducted in February 2025. Ninety-two patients presenting to [...] Read more.
Purpose: The aim of this study was to evaluate the different approaches used in the treatment of meibomian gland dysfunction (MGD). Materials and Methods: This open-label, single-center, prospective pilot study with a parallel-group design was conducted in February 2025. Ninety-two patients presenting to our clinic with symptoms and signs of MGD were enrolled and diagnosed according to Japanese MGD diagnostic criteria. Patients were assigned to five treatment groups: conservative management alone, conservative management plus intense pulsed light (IPL) therapy, conservative management plus oral azithromycin, conservative management plus oral doxycycline, and conservative management plus topical cyclosporine. Conservative management consisted of preservative-free artificial tears containing polyvinyl alcohol and povidone, warm compresses, and eyelid hygiene. Primary outcome measures included ocular surface parameters such as the Ocular Surface Disease Index (OSDI), tear break-up time (TBUT), Standard Patient Evaluation of Eye Dryness (SPEED) scores, and meibomian gland parameters evaluated using a slit-lamp examination. All parameters were assessed at baseline and during follow-up examinations after treatment initiation to observe changes in symptoms and signs. Results: A statistically significant increase was determined in meibum grade plugging (grades 0–3; higher = greater obstruction) and Marx line scores with IPL therapy (p < 0.05). The group receiving doxycycline treatment exhibited a significant improvement in OSDI and SPEED scores, plugging, TBUT, and meibum grades. The group receiving cyclosporine registered a significant improvement in OSDI and SPEED scores, plugging, TBUT, and meibum grades. A statistically significant increase was observed in the conservative treatment group in terms of lid margin irregularity, Marx line score, and OSDI and SPEED scores. In the group receiving azithromycin treatment, plugging, lid margin irregularity, TBUT, and OSDI and SPEED scores increased significantly. Compared with conservative care, the doxycycline group exhibited lengthened TBUT and lowered meibomian gland plugging and symptoms (p < 0.05), and the oral azithromycin group achieved a similar TBUT gain with slightly greater symptom relief. The topical cyclosporine group principally registered improved lid vascularity and meibum quality (p < 0.05), while the IPL group achieved the greatest overall improvements, reducing plugging and Marx line scores and adding ≈3 s to TBUT (p < 0.05 for all endpoints). Doxycycline exhibited notable short-term improvements, with 35.26% meibum grade improvement and a 40.48% foaming response, while IPL therapy demonstrated substantial OSDI improvements at 54.06%, with traditional parameters indicating limited treatment responsiveness. Conclusions: Various methods can be used in the treatment of MGD. All the conservative treatment methods used in this study were successful. Full article
(This article belongs to the Section Health Assessments)
32 pages, 3675 KB  
Article
Gibbs Quantum Fields Computed by Action Mechanics Recycle Emissions Absorbed by Greenhouse Gases, Optimising the Elevation of the Troposphere and Surface Temperature Using the Virial Theorem
by Ivan R. Kennedy, Migdat Hodzic and Angus N. Crossan
Thermo 2025, 5(3), 25; https://doi.org/10.3390/thermo5030025 - 22 Jul 2025
Viewed by 1066
Abstract
Atmospheric climate science lacks the capacity to integrate thermodynamics with the gravitational potential of air in a classical quantum theory. To what extent can we identify Carnot’s ideal heat engine cycle in reversible isothermal and isentropic phases between dual temperatures partitioning heat flow [...] Read more.
Atmospheric climate science lacks the capacity to integrate thermodynamics with the gravitational potential of air in a classical quantum theory. To what extent can we identify Carnot’s ideal heat engine cycle in reversible isothermal and isentropic phases between dual temperatures partitioning heat flow with coupled work processes in the atmosphere? Using statistical action mechanics to describe Carnot’s cycle, the maximum rate of work possible can be integrated for the working gases as equal to variations in the absolute Gibbs energy, estimated as sustaining field quanta consistent with Carnot’s definition of heat as caloric. His treatise of 1824 even gave equations expressing work potential as a function of differences in temperature and the logarithm of the change in density and volume. Second, Carnot’s mechanical principle of cooling caused by gas dilation or warming by compression can be applied to tropospheric heat–work cycles in anticyclones and cyclones. Third, the virial theorem of Lagrange and Clausius based on least action predicts a more accurate temperature gradient with altitude near 6.5–6.9 °C per km, requiring that the Gibbs rotational quantum energies of gas molecules exchange reversibly with gravitational potential. This predicts a diminished role for the radiative transfer of energy from the atmosphere to the surface, in contrast to the Trenberth global radiative budget of ≈330 watts per square metre as downwelling radiation. The spectral absorptivity of greenhouse gas for surface radiation into the troposphere enables thermal recycling, sustaining air masses in Lagrangian action. This obviates the current paradigm of cooling with altitude by adiabatic expansion. The virial-action theorem must also control non-reversible heat–work Carnot cycles, with turbulent friction raising the surface temperature. Dissipative surface warming raises the surface pressure by heating, sustaining the weight of the atmosphere to varying altitudes according to latitude and seasonal angles of insolation. New predictions for experimental testing are now emerging from this virial-action hypothesis for climate, linking vortical energy potential with convective and turbulent exchanges of work and heat, proposed as the efficient cause setting the thermal temperature of surface materials. Full article
Show Figures

Figure 1

Back to TopTop