Spectroscopic Ellipsometry and Luminescence Properties of Low Temperature Sputter-Deposited Zinc Oxide Thin Films: Cryogenic Self-Stress-Induced Crystallization
Abstract
1. Introduction
2. Materials and Methods
3. Results and Discussion
3.1. Elemental Analysis
3.2. Structural Analysis
3.3. Morphological Analysis
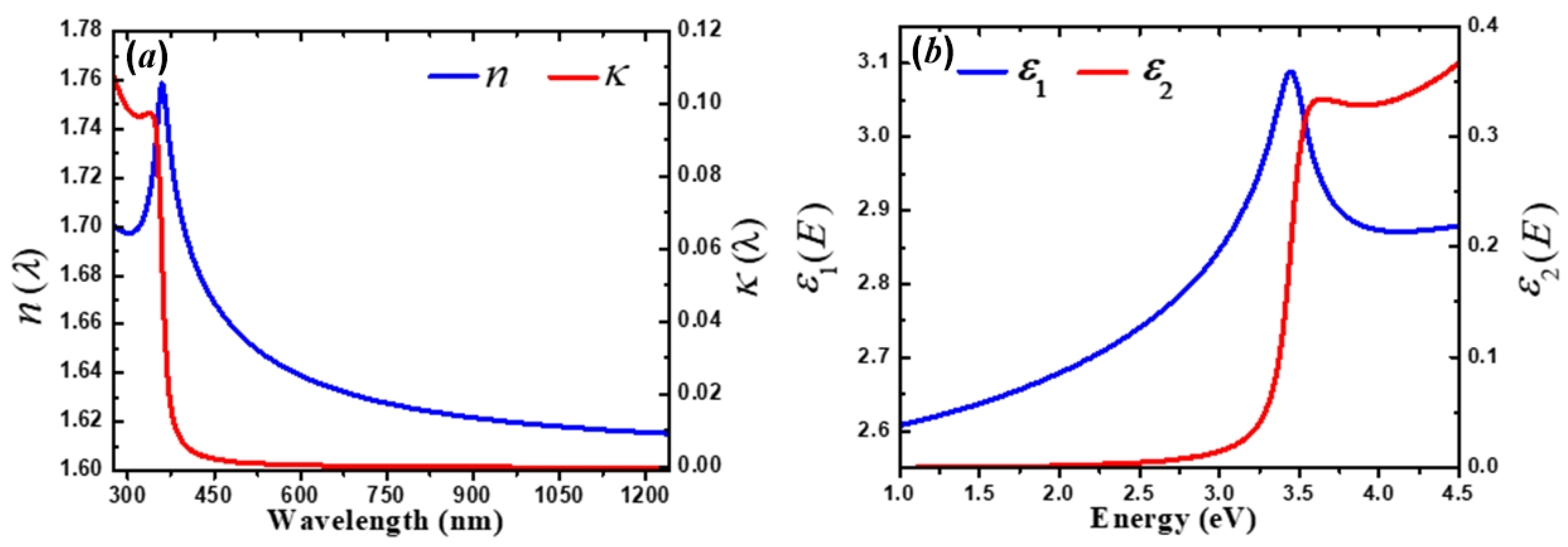
3.4. Spectroscopic Ellipsometry: Optical Modeling and Dielectric Function Analysis
3.5. Photoluminescence Spectra Analysis
4. Conclusions
Author Contributions
Funding
Data Availability Statement
Acknowledgments
Conflicts of Interest
References
- Özgür, Ü.; Alivov, Y.I.; Liu, C.; Teke, A.; Reshchikov, M.A.; Doğan, S.; Avrutin, V.; Cho, S.-J.; Morkoç, H. A comprehensive review of ZnO materials and devices. J. Appl. Phys. 2005, 98, 041301. [Google Scholar] [CrossRef]
- Klingshirn, C. ZnO: From basics towards applications. Phys. Status Solidi B 2007, 244, 3027–3073. [Google Scholar] [CrossRef]
- Janotti, A.; Van de Walle, C.G. Fundamentals of zinc oxide as a semiconductor. Rep. Prog. Phys. 2009, 72, 126501. [Google Scholar] [CrossRef]
- Reynolds, D.C.; Look, D.C.; Jogai, B. Valence-band ordering in ZnO. Phys. Rev. B 1999, 60, 2340–2344. [Google Scholar] [CrossRef]
- Look, D.C. Recent advances in ZnO materials. Mater. Sci. Eng. B 2001, 80, 383–387. [Google Scholar] [CrossRef]
- Jagadish, C.; Pearton, S.J. Zinc Oxide Bulk, Thin Films and Nanostructures; Elsevier: Amsterdam, The Netherlands, 2006. [Google Scholar] [CrossRef]
- Fortunato, E.M.C.; Barquinha, P.M.C.; Pimentel, A.C.M.B.G.; Gonçalves, A.M.F.; Marques, A.J.S.; Pereira, L.M.N.; Martins, R.F.P. Fully transparent ZnO thin-film transistor produced at room temperature. Adv. Mater. 2005, 17, 590–594. [Google Scholar] [CrossRef]
- Nomura, K.; Ohta, H.; Takagi, A.; Kamiya, T.; Hirano, M.; Hosono, H. Room-temperature fabrication of transparent flexible thin-film transistors using amorphous oxide semiconductors. Nature 2004, 432, 488–492. [Google Scholar] [CrossRef]
- Meyer, B.K.; Alves, H.; Hofmann, D.M.; Kriegseis, W.; Forster, D.; Bertram, F.; Christen, J.; Hoffmann, A.; Straßburg, M.; Dworzak, M.; et al. Bound exciton and donor–acceptor pair recombinations in ZnO. Phys. Status Solidi B 2004, 241, 231–260. [Google Scholar] [CrossRef]
- Myong, S.Y.; Lim, K.S. Universal single-phonon variable range hopping conduction for inorganic semiconducting polycrystalline films. Appl. Phys. Lett. 2006, 88, 222110. [Google Scholar] [CrossRef]
- Wagner, M.R.; Callsen, G.; Reparaz, J.S.; Schulze, J.-H.; Kirste, R.; Cobet, M.; Ostapenko, I.A.; Rodt, S.; Nenstiel, C.; Kaiser, M.; et al. Bound excitons in ZnO: Structural defect complexes versus shallow impurity centers. Phys. Rev. B 2011, 84, 035313. [Google Scholar] [CrossRef]
- Mohanta, A.; Thareja, R.K. Photoluminescence study of ZnO nanowires grown by thermal evaporation on pulsed-laser-deposited ZnO buffer layer. J. Appl. Phys. 2008, 104, 044906. [Google Scholar] [CrossRef]
- Thonke, K.; Gruber, T.; Teofilov, N.; Schönfelder, R.; Waag, A.; Sauer, R. Donor–acceptor pair transitions in ZnO substrate material. Phys. B Condens. Matter 2001, 308–310, 945–948. [Google Scholar] [CrossRef]
- Mosquera, A.A.; Horwat, D.; Rashkovskiy, A.; Kovalev, A.; Miska, P.; Wainstein, D.; Albella, J.M.; Endrino, J.L. Exciton and core-level electron confinement effects in transparent ZnO thin films. Sci. Rep. 2013, 3, 1714. [Google Scholar] [CrossRef]
- Giles, N.C.; Xu, C.; Callahan, M.J.; Wang, B.; Neal, J.S.; Boatner, L.A. Effects of phonon coupling and free carriers on band-edge emission at room temperature in n-type ZnO crystals. Appl. Phys. Lett. 2006, 89, 251906. [Google Scholar] [CrossRef]
- Sun, H.D.; Segawa, Y.; Kawasaki, M.; Ohtomo, A.; Tamura, K.; Koinuma, H. Phonon replicas in ZnO/ZnMgO multiquantum wells. J. Appl. Phys. 2002, 91, 6457–6460. [Google Scholar] [CrossRef]
- Reynolds, D.C.; Look, D.C.; Jogai, B.; Hoelscher, J.E.; Sherriff, R.E.; Harris, M.T.; Callahan, M.J. Time-resolved photoluminescence lifetime measurements of the Γ5 and Γ6 free excitons in ZnO. J. Appl. Phys. 2000, 88, 2152–2153. [Google Scholar] [CrossRef]
- Mendelsberg, R.J.; Allen, M.W.; Durbin, S.M.; Reeves, R.J. Photoluminescence and the exciton–phonon coupling in hydrothermally grown ZnO. Phys. Rev. B 2011, 83, 205202. [Google Scholar] [CrossRef]
- Makino, T.; Tamura, K.; Chia, C.H.; Segawa, Y.; Kawasaki, M.; Ohtomo, A.; Koinuma, H. Size dependence of exciton–longitudinal-optical-phonon coupling in ZnO/Mg0.27Zn0.73O quantum wells. Phys. Rev. B 2002, 66, 233305. [Google Scholar] [CrossRef]
- Ursaki, V.V.; Tiginyanu, I.M.; Zalamaï, V.V.; Masalov, V.M.; Samarov, E.N.; Emelchenko, G.A.; Briones, F. Photoluminescence and resonant Raman scattering from ZnO-opal structures. J. Appl. Phys. 2004, 96, 1001–1006. [Google Scholar] [CrossRef]
- Hsu, H.-C.; Hsieh, W.-F. Excitonic Polaron and Phonon Assisted Photoluminescence of ZnO Nanowires. Solid State Commun. 2004, 131, 371–375. [Google Scholar] [CrossRef]
- Cho, Y.-H.; Kim, J.-Y.; Kwack, H.-S.; Kwon, B.-J.; Dang, L.S.; Ko, H.-J.; Yao, T. Depth-Resolved Optical Studies of Excitonic and Phonon-Assisted Transitions in ZnO Epilayers. Appl. Phys. Lett. 2006, 89, 201903. [Google Scholar] [CrossRef]
- Shi, S.L.; Xu, S.J. Determination of Effective Mass of Heavy Hole from Phonon-Assisted Excitonic Luminescence Spectra in ZnO. J. Appl. Phys. 2011, 109, 053510. [Google Scholar] [CrossRef]
- Xu, S.J.; Xiong, S.-J.; Shi, S.-L. Resonant coupling of bound excitons with LO phonons in ZnO: Excitonic polaron states and Fano interference. J. Chem. Phys. 2005, 123, 221105. [Google Scholar] [CrossRef] [PubMed]
- Antonius, G.; Louie, S.G. Theory of Exciton–Phonon Coupling. Phys. Rev. B 2022, 105, 085111. [Google Scholar] [CrossRef]
- Dai, Z.; Lian, C.; Lafuente-Bartolome, J.; Giustino, F. Theory of Excitonic Polarons: From Models to First-Principles Calculations. Phys. Rev. B 2024, 109, 045202. [Google Scholar] [CrossRef]
- Hannewald, K.; Bobbert, P.A. Nonperturbative Theory of Exciton–Phonon Resonances in Semiconductor Absorption. Phys. Rev. B 2005, 72, 113202. [Google Scholar] [CrossRef]
- Vuong, T.Q.P.; Cassabois, G.; Valvin, P.; Liu, S.; Edgar, J.H.; Gil, B. Exciton–Phonon Interaction in the Strong-Coupling Regime in Hexagonal Boron Nitride. Phys. Rev. B 2017, 95, 201202. [Google Scholar] [CrossRef]
- Han, P.; Bester, G. Determination of the Phonon Sidebands in the Photoluminescence Spectrum of Semiconductor Nanoclusters from ab initio Calculations. Phys. Rev. B 2022, 106, 245404. [Google Scholar] [CrossRef]
- Pollmann, J.; Büttner, H. Effective Hamiltonians and Binding Energies of Wannier Excitons in Polar Semiconductors. Phys. Rev. B 1977, 16, 4480–4493. [Google Scholar] [CrossRef]
- Segall, B.; Mahan, G.D. Phonon-Assisted Recombination of Excitons. Phys. Rev. 1968, 171, 935–948. [Google Scholar] [CrossRef]
- Senger, R.T.; Bajaj, K.K. Optical Properties of Confined Polaronic Excitons in Spherical Ionic Quantum Dots. Phys. Rev. B 2003, 68, 045313. [Google Scholar] [CrossRef]
- Yan, B.; Chen, R.; Zhou, W.; Zhang, J.; Sun, H.; Gong, H.; Yu, T. Localized Suppression of Longitudinal-Optical-Phonon–Exciton Coupling in Bent ZnO Nanowires. Nanotechnology 2010, 21, 445706. [Google Scholar] [CrossRef]
- Liao, Z.-M.; Wu, H.-C.; Fu, Q.; Fu, X.; Zhu, X.; Xu, J.; Shvets, I.V.; Zhang, Z.; Guo, W.; Leprince-Wang, Y.; et al. Strain-Induced Exciton Fine-Structure Splitting and Shift in Bent ZnO Microwires. Sci. Rep. 2012, 2, 452. [Google Scholar] [CrossRef]
- Wei, B.; Ji, Y.; Gauvin, R.; Zhang, Z.; Zou, J.; Han, X. Strain Gradient Modulated Exciton Evolution and Emission in ZnO Fibers. Sci. Rep. 2017, 7, 40658. [Google Scholar] [CrossRef] [PubMed]
- Liu, Z.; Fu, X.; Zhang, D.-B. Strain Gradient Induced Spatially Indirect Excitons in Single Crystalline ZnO Nanowires. Nanoscale 2020, 12, 18705–18712. [Google Scholar] [CrossRef] [PubMed]
- Han, X.; Kou, L.; Zhang, Z.; Zhang, Z.; Zhu, X.; Xu, J.; Liao, Z.; Guo, W.; Yu, D. Strain-Gradient Effect on Energy Bands in Bent ZnO Microwires. Adv. Mater. 2012, 24, 4707–4711. [Google Scholar] [CrossRef]
- Fu, X.-W.; Fu, Q.; Kou, L.-Z.; Zhu, X.-L.; Zhu, R.; Xu, J.; Liao, Z.-M.; Zhao, Q.; Guo, W.-L.; Yu, D.-P. Modifying Optical Properties of ZnO Nanowires via Strain-Gradient. Front. Phys. 2013, 8, 509–515. [Google Scholar] [CrossRef]
- Adeagbo, W.A.; Thomas, S.; Nayak, S.K.; Ernst, A.; Hergert, W. First-Principles Study of Uniaxial Strained and Bent ZnO Wires. Phys. Rev. B 2014, 89, 195135. [Google Scholar] [CrossRef]
- Shao, R.-W.; Zheng, K.; Wei, B.; Zhang, Y.-F.; Li, Y.-J.; Han, X.-D.; Zhang, Z.; Zou, J. Bandgap Engineering and Manipulating Electronic and Optical Properties of ZnO Nanowires by Uniaxial Strain. Nanoscale 2014, 6, 4936–4941. [Google Scholar] [CrossRef]
- Volnianska, O.; Ivanov, V.; Wachnicki, Ł.; Guziewicz, E. Effect of Strain and Surface Proximity on the Acceptor Grouping in ZnO. ACS Omega 2023, 8, 43099–43108. [Google Scholar] [CrossRef]
- Galdámez-Martínez, A.; Santana, G.; Güell, F.; Martínez-Alanis, P.R.; Dutt, A. Photoluminescence of ZnO Nanowires: A Review. Nanomaterials 2020, 10, 857. [Google Scholar] [CrossRef]
- Gandhi, A.C.; Liao, C.-H.; Yeh, W.-L.; Huang, Y.-L. Non-Monotonous Size-Dependent Photoluminescence and Excitonic Relaxations in Nanostructured ZnO Thin Films. RSC Adv. 2019, 9, 7545–7555. [Google Scholar] [CrossRef]
- Herrfurth, O.; Richter, S.; Rebarz, M.; Espinoza, S.; Zúñiga-Pérez, J.; Deparis, C.; Leveillee, J.; Schleife, A.; Grundmann, M.; Andreasson, J.; et al. Transient Birefringence and Dichroism in ZnO Studied with fs-Time-Resolved Spectroscopic Ellipsometry. Phys. Rev. Res. 2021, 3, 013246. [Google Scholar] [CrossRef]
- Versteegh, M.A.M.; Kuis, T.; Stoof, H.T.C.; Dijkhuis, J.I. Ultrafast Screening and Carrier Dynamics in ZnO: Theory and Experiment. Phys. Rev. B 2011, 84, 035207. [Google Scholar] [CrossRef]
- Acharya, S.; Chouthe, S.; Graener, H.; Böntgen, T.; Sturm, C.; Schmidt-Grund, R.; Grundmann, M.; Seifert, G. Ultrafast Dynamics of the Dielectric Functions of ZnO and BaTiO3 Thin Films after Intense Femtosecond Laser Excitation. J. Appl. Phys. 2014, 115, 053508. [Google Scholar] [CrossRef]
- Lu, J.; Zhu, Q.; Zhu, Z.; Liu, Y.; Wei, M.; Shi, Z.; Xu, C. Plasmon-Mediated Exciton–Phonon Coupling in a ZnO Microtower Cavity. J. Mater. Chem. C 2016, 4, 7718–7723. [Google Scholar] [CrossRef]
- Materials Project. ZnO (mp-2133), Wurtzite Structure; Materials Project Database; Lawrence Berkeley National Laboratory: Berkeley, CA, USA, 2013; Available online: https://materialsproject.org/materials/mp-2133/ (accessed on 22 October 2025).
- Momma, K.; Izumi, F. VESTA 3 for Three-Dimensional Visualization of Crystal, Volumetric and Morphology Data. J. Appl. Crystallogr. 2011, 44, 1272–1276. [Google Scholar] [CrossRef]
- Tsou, C.; Huang, Y.-S.; Li, H.-C.; Lai, T.-H. Determination of thermal expansion coefficient of thermal oxide (SiO2) film. Sens. Mater. 2005, 17, 441–451. Available online: https://sensors.myu-group.co.jp/sm_pdf/SM622.pdf (accessed on 15 January 2025).
- Ebdah, M.A.; Kordesch, M.E.; Jadwisienczak, W.M.; Ibdah, A. Spectroscopic Ellipsometry and Optimized B-Spline Coefficients of Non-hydrogenated Amorphous Silicon for Amorphous Silicon-Based Semiconductors. J. Electron. Mater. 2025, 54, 5630–5643. [Google Scholar] [CrossRef]
- Ebdah, M.A.; Kordesch, M.E.; Ingram, D.C.; AlBrithen, H.; Ibdah, A.-R.A.; Cooper, K. Optical and Spectroscopic Ellipsometric Study of Indium Boron Nitride Sputtered Thin Films with Low Boron Concentration. MRS Online Proc. Libr. 2011, 1307, 802. [Google Scholar] [CrossRef]
- Hilfiker, J.N.; Singh, N.; Tiwald, T.; Convey, D.; Smith, S.M.; Baker, J.H.; Tompkins, H.G. Survey of Methods to Characterize Thin Absorbing Films with Spectroscopic Ellipsometry. Thin Solid Film. 2008, 516, 7979–7989. [Google Scholar] [CrossRef]
- Herzinger, C.M.; Johs, B.; McGahan, W.A.; Woollam, J.A.; Paulson, W. Ellipsometric determination of optical constants for silicon and SiO2. J. Appl. Phys. 1998, 83, 3323–3336. [Google Scholar] [CrossRef]
- Adachi, S. Model dielectric constants of Si and Ge. Phys. Rev. B 1988, 38, 12345–12352. [Google Scholar] [CrossRef]
- Jellison, G.E.; Modine, F.A. Parameterization of the Optical Functions of Amorphous Materials in the Interband Region. Appl. Phys. Lett. 1996, 69, 371–373. [Google Scholar] [CrossRef]
- Liu, Y.C.; Hsieh, J.H.; Tung, S.K. Extraction of Optical Constants of Zinc Oxide Thin Films by Ellipsometry with Various Models. Thin Solid Film. 2006, 510, 32–38. [Google Scholar] [CrossRef]
- Bouzourâa, M.-B.; Battie, Y.; Dalmasso, S.; Zaïbi, M.-A.; Oueslati, M.; En Naciri, A. Temperature-Dependent Optical Properties of ZnO Thin Film Using Ellipsometry and Photoluminescence. Superlattices Microstruct. 2018, 117, 457–468. [Google Scholar] [CrossRef]
- Mahesh, A.; Kumar, G.P.; Jawahar, I.N.; Biju, V. Temperature Dependent Photoluminescence Spectra of Nanocrystalline Zinc Oxide: Effect of Processing Condition on the Excitonic and Defect Mediated Emissions. Chem. Phys. Impact 2024, 8, 100456. [Google Scholar] [CrossRef]
- Shan, W.; Walukiewicz, W.; Ager, J.W., III; Yu, K.M.; Yuan, H.B.; Xin, H.P.; Cantwell, G.; Song, J.J. Nature of Room-Temperature Photoluminescence in ZnO. Appl. Phys. Lett. 2005, 86, 191911. [Google Scholar] [CrossRef]











| Reflection | 2θ (°) | d0 (Å) | dmeas (Å) | ε⊥ (%) | ε‖ (%) | σ‖ (GPa) |
|---|---|---|---|---|---|---|
| (002) | 33.0 | 2.607 | 2.712 | 4.048 | −3.909 | −8.33 |
| (102) | 47.8 | 1.913 | 1.901 | −0.627 | 0.609 | 1.29 |
| (110) | 56.4 | 1.626 | 1.630 | 0.246 | −0.239 | −0.51 |
| (110)* | 54.6 | 1.626 | 1.679 | 3.260 | −3.164 | −6.71 |
| Category | Parameter | Symbol | Fitted Value | ±Error |
|---|---|---|---|---|
| Metrology | Mean square error | MSE | 6.57 | - |
| ZnO thickness (NM) | dZnO | 60.81 | ±0.66 | |
| Surf. Roughness-SE (nm) | dSR-SE | 3.75 | ±0.51 | |
| Surf. Roughness-AFM (nm) | dSR-AFM | 4.30 | - | |
| SiO2 thickness (nm) | 528 | Fixed | ||
| High-frequency constant | ε∞ | 1.162 | ±0.040 | |
| CPPB oscillator | Amplitude | A | 0.838 | ±0.087 |
| Broadening (eV) | Γ | 0.159 | ±0.006 | |
| Critical-point energy (eV) | ECP | 3.417 | ±0.006 | |
| Phase (rad) | φ | −0.399 | ±0.044 | |
| Dimensionality exponent | μ | 0.180 | ±0.029 | |
| TL oscillator | Amplitude | A | 52.316 | ±1.227 |
| Broadening (eV) | C | 43.910 | ±3.437 | |
| Resonance energy (eV) | E0 | 15.690 | ±2.564 | |
| Optical bandgap (eV) | Eg | 3.417 | ±0.015 |
Disclaimer/Publisher’s Note: The statements, opinions and data contained in all publications are solely those of the individual author(s) and contributor(s) and not of MDPI and/or the editor(s). MDPI and/or the editor(s) disclaim responsibility for any injury to people or property resulting from any ideas, methods, instructions or products referred to in the content. |
© 2025 by the authors. Licensee MDPI, Basel, Switzerland. This article is an open access article distributed under the terms and conditions of the Creative Commons Attribution (CC BY) license (https://creativecommons.org/licenses/by/4.0/).
Share and Cite
Ebdah, M.A.; Kordesch, M.E.; Yuan, W.; Jadwisienczak, W.M.; Kaya, S.; Nazzal, M.D.; Ibdah, A.; Al-iqdah, K.S. Spectroscopic Ellipsometry and Luminescence Properties of Low Temperature Sputter-Deposited Zinc Oxide Thin Films: Cryogenic Self-Stress-Induced Crystallization. Crystals 2025, 15, 1031. https://doi.org/10.3390/cryst15121031
Ebdah MA, Kordesch ME, Yuan W, Jadwisienczak WM, Kaya S, Nazzal MD, Ibdah A, Al-iqdah KS. Spectroscopic Ellipsometry and Luminescence Properties of Low Temperature Sputter-Deposited Zinc Oxide Thin Films: Cryogenic Self-Stress-Induced Crystallization. Crystals. 2025; 15(12):1031. https://doi.org/10.3390/cryst15121031
Chicago/Turabian StyleEbdah, M. A., M. E. Kordesch, W. Yuan, W. M. Jadwisienczak, S. Kaya, M. D. Nazzal, A. Ibdah, and K. S. Al-iqdah. 2025. "Spectroscopic Ellipsometry and Luminescence Properties of Low Temperature Sputter-Deposited Zinc Oxide Thin Films: Cryogenic Self-Stress-Induced Crystallization" Crystals 15, no. 12: 1031. https://doi.org/10.3390/cryst15121031
APA StyleEbdah, M. A., Kordesch, M. E., Yuan, W., Jadwisienczak, W. M., Kaya, S., Nazzal, M. D., Ibdah, A., & Al-iqdah, K. S. (2025). Spectroscopic Ellipsometry and Luminescence Properties of Low Temperature Sputter-Deposited Zinc Oxide Thin Films: Cryogenic Self-Stress-Induced Crystallization. Crystals, 15(12), 1031. https://doi.org/10.3390/cryst15121031

