error_outline You can access the new MDPI.com website here. Explore and share your feedback with us.
 
 
Sign in to use this feature.

Years

Between: -

Subjects

remove_circle_outline
remove_circle_outline
remove_circle_outline
remove_circle_outline
remove_circle_outline
remove_circle_outline
remove_circle_outline
remove_circle_outline
remove_circle_outline

Journals

remove_circle_outline
remove_circle_outline
remove_circle_outline
remove_circle_outline
remove_circle_outline
remove_circle_outline
remove_circle_outline
remove_circle_outline
remove_circle_outline
remove_circle_outline
remove_circle_outline
remove_circle_outline
remove_circle_outline
remove_circle_outline
remove_circle_outline
remove_circle_outline
remove_circle_outline
remove_circle_outline
remove_circle_outline
remove_circle_outline
remove_circle_outline
remove_circle_outline
remove_circle_outline
remove_circle_outline
remove_circle_outline
remove_circle_outline
remove_circle_outline
remove_circle_outline

Article Types

Countries / Regions

remove_circle_outline
remove_circle_outline
remove_circle_outline
remove_circle_outline
remove_circle_outline
remove_circle_outline

Search Results (4,170)

Search Parameters:
Keywords = value exchange

Order results
Result details
Results per page
Select all
Export citation of selected articles as:
20 pages, 666 KB  
Article
The Effects of Fintech Adoption on CEO Compensation: Evidence from JSE-Listed Banks
by Rudo Rachel Marozva and Frans Maloa
J. Risk Financial Manag. 2026, 19(1), 56; https://doi.org/10.3390/jrfm19010056 - 8 Jan 2026
Abstract
Over the last decade, there has been a significant increase in banks’ investment in technology, alongside a substantial rise in CEO compensation. Research on executive compensation has primarily focused on traditional performance metrics, such as return on assets and return on equity, as [...] Read more.
Over the last decade, there has been a significant increase in banks’ investment in technology, alongside a substantial rise in CEO compensation. Research on executive compensation has primarily focused on traditional performance metrics, such as return on assets and return on equity, as well as governance factors. Investigating the nexus between fintech adoption and CEO compensation introduces a new perspective on the determinants of CEO pay and how technological transformation influences executive remuneration structures. This study investigated the relationship between Chief Executive remuneration and fintech adoption among banks listed on the Johannesburg Stock Exchange. There is a lack of literature on the impact of technology adoption on CEO compensation in developing and emerging economies. The quantitative longitudinal study, conducted over 15 years from 2010 to 2024, collected secondary data from the annual reports of six banks and the IRESS database. A panel data fixed effects regression analysis was employed to analyze the data. CEO compensation included both salary and total compensation. Fintech variables used for the study included automated teller machines, mobile banking, and internet banking. The findings revealed a positive relationship between CEO salary and the rollout of ATMs and mobile banking, while an inverse relationship was noted between salary and internet banking. Similarly, total compensation showed an inverse relationship with the adoption of ATMs and internet banking, whereas mobile banking had a positive effect on total compensation. Understanding how technology impacts CEO compensation can help remuneration committees ensure that CEO pay is linked to the value that infrastructure investments bring to an organization, rather than simply the number of innovations introduced. This understanding will also help solve the principal-agent problem, as it will ensure technology innovations that enhance firm performance are rewarded. In the context of emerging markets, the study’s findings suggest that organizations should recognize and formalize pay linked to digital transformation, rather than focusing solely on short-term financial metrics. This also suggests the need to develop guidelines for executive remuneration disclosure related to the technology sector. The close connection between fintech adoption and technological and regulatory risks highlights the need to balance incentive structures that reward innovation with risk-adjusted performance measures. Full article
(This article belongs to the Special Issue Emerging Trends and Innovations in Corporate Finance and Governance)
Show Figures

Figure 1

14 pages, 1044 KB  
Article
Towards Accurate Reference Values for Heart Rate and Speed Zones by Aerobic Fitness and Sex in Long-Distance Runners
by Jonathan Esteve-Lanao, Sergio Sellés-Pérez, Héctor Arévalo-Chico and Roberto Cejuela
Sports 2026, 14(1), 29; https://doi.org/10.3390/sports14010029 - 7 Jan 2026
Abstract
Background: This study aimed to provide reference values for estimating training intensities in long-distance runners based on progressive incremental tests, considering differences related to sex and performance level. Methods: A total of 1411 endurance-trained runners (819 men and 592 women) completed a standardized [...] Read more.
Background: This study aimed to provide reference values for estimating training intensities in long-distance runners based on progressive incremental tests, considering differences related to sex and performance level. Methods: A total of 1411 endurance-trained runners (819 men and 592 women) completed a standardized treadmill protocol with gas exchange analysis to determine ventilatory thresholds and peak oxygen consumption (VO2peak). Heart rate (HR) and running speed at each threshold were expressed relative to their peak values. Results: HR at second ventilatory threshold (VT2) occurred at 93.5 ± 2.5% of HR peak, and HR at first ventilatory threshold at 85.1 ± 4.6%. The relative running speeds at VT2 and VT1 corresponded to 87.6 ± 3.9% and 73.9 ± 5.5% of the speed at VO2peak, respectively. In men, beginners exhibited higher relative HR and VO2 values at the ventilatory thresholds than elite runners. In contrast, women displayed higher and more stable relative values across performance levels. Conclusions: These findings establish precise, evidence-based reference ranges derived from a large cohort of runners and highlight the need to consider sex and performance level when estimating exercise intensities. Individualized physiological assessment remains essential for accurate training prescription and performance optimization. Full article
Show Figures

Figure 1

26 pages, 3250 KB  
Article
Optical Mirage–Based Metaheuristic Optimization for Robust PEM Fuel Cell Parameter Estimation
by Hashim Alnami, Badr M. Al Faiya, Sultan Hassan Hakmi and Ghareeb Moustafa
Mathematics 2026, 14(2), 211; https://doi.org/10.3390/math14020211 - 6 Jan 2026
Abstract
The parameter extraction of proton exchange membrane fuel cells (PEMFCs) has been an active area of study over the past few years, relying on metaheuristic optimizers and experimental datasets to achieve accurate current/voltage (I/V) curves. This work develops a mirage search optimizer (MSO) [...] Read more.
The parameter extraction of proton exchange membrane fuel cells (PEMFCs) has been an active area of study over the past few years, relying on metaheuristic optimizers and experimental datasets to achieve accurate current/voltage (I/V) curves. This work develops a mirage search optimizer (MSO) to precisely estimate the PEMFC model parameters. The MSO employs two search techniques based on the physical phenomena of light bending caused by atmospheric refractive index gradients: a superior mirage for global exploration and an inferior mirage for local exploitation. The MSO employs optical physics to direct search behavior, in contrast to conventional optimization approaches, allowing for a dynamic balance between exploration and exploitation. Convergence efficiency is increased by its iteration-dependent control and fitness-based influence. Using two common PEMFC modules, a comparison study with previously published methodologies and new, recently developed optimizers—the Educational Competition Optimizer (ECO), basketball team optimization (BTO), the fungal growth optimizer (FGO), and the naked mole rat optimizer (NMRO)—was conducted to evaluate the proposed MSO for parameter identification. Furthermore, the two models were tested under various temperatures and pressures. For the three examples studied, the MSO achieved the best sum of squared errors (SSE) values with an intriguing overall standard deviation (STD). It is undeniable that the STD and cropped SSE values, among other difficult techniques, are quite competitive and display the fastest convergence. According to the MSO, the BCS 500W, Ballard Mark V, and Modular SR-12 each have MSO values of 0.011697781, 0.852056, and 1.42098181379214 × 10−4, respectively. Additionally, the comparison results demonstrate that the proposed MSO can be successfully used to quickly and accurately define the PEMFC model. Full article
Show Figures

Figure 1

17 pages, 2876 KB  
Article
Cultural Heritage Narrative Innovation and Adaptation Mechanisms: A Case Study of the Intercultural Communication of Chinese Han Dynasty Heritage in Germany
by Su Yan, Chenxi Yang, Bingjie Mai and Jing Cao
Heritage 2026, 9(1), 14; https://doi.org/10.3390/heritage9010014 - 6 Jan 2026
Abstract
The deepening of the “Belt and Road” Initiative urgently requires breaking through the dilemmas of symbolization, unidirectionality, and contextual de-embedding in the export of traditional cultural heritage. This paper takes the 2023 China-Germany “Tracing the Belt and Road” cultural heritage exchange project as [...] Read more.
The deepening of the “Belt and Road” Initiative urgently requires breaking through the dilemmas of symbolization, unidirectionality, and contextual de-embedding in the export of traditional cultural heritage. This paper takes the 2023 China-Germany “Tracing the Belt and Road” cultural heritage exchange project as the research object, employing a single-case exploratory research method to construct a theoretical model of “narrative carrier innovation—cultural heritage dimension adaptation” aimed at enhancing the effectiveness of cultural heritage dissemination. The study finds that international communication projects for cultural heritage can systematically deconstruct the cultural core (“Dao”) and innovatively adapt modernized, localized dissemination forms familiar to the audiences in the host regions (“Qi”), thereby achieving a paradigm shift from passive introduction to active resonance. The paper specifically elucidates how four types of innovative carriers-digital narrative, public participatory, competitive co-creative, and academic artistic-adapt to the dimensions of historical cognition, aesthetic experience, creative interaction, and value identification in Han Dynasty cultural heritage. This adaptation ultimately forms effective cross-cultural dissemination pathways. This research provides an operable theoretical framework and practical paradigm for “Belt and Road” humanistic exchanges, offering insights for the international dissemination of cultural heritage. Full article
Show Figures

Figure 1

24 pages, 4180 KB  
Article
CSSA: An Enhanced Sparrow Search Algorithm with Hybrid Strategies for Engineering Optimization
by Yancang Li and Jiawei Li
Algorithms 2026, 19(1), 51; https://doi.org/10.3390/a19010051 - 6 Jan 2026
Viewed by 26
Abstract
To address the limitations of the standard Sparrow Search Algorithm (SSA) in complex optimization problems—such as insufficient convergence accuracy and susceptibility to local optima—this paper proposes a Composite Strategy Sparrow Search Algorithm (CSSA) for multidimensional optimization. The algorithm first employs chaotic mapping during [...] Read more.
To address the limitations of the standard Sparrow Search Algorithm (SSA) in complex optimization problems—such as insufficient convergence accuracy and susceptibility to local optima—this paper proposes a Composite Strategy Sparrow Search Algorithm (CSSA) for multidimensional optimization. The algorithm first employs chaotic mapping during initialization to enhance population diversity; second, it integrates coordinate axis pattern search to strengthen local exploitation capabilities; third, it applies intelligent crossover operations to promote effective information exchange among individuals; and finally, it introduces an adaptive vigilance mechanism to dynamically balance exploration and exploitation throughout the optimization process. Compared with seven state-of-the-art algorithms, CSSA demonstrates superior performance in both 30-dimensional low-dimensional and 100-dimensional high-dimensional test scenarios. It achieves optimal solutions in three real-world engineering applications: thermal management of electric vehicle battery packs, photovoltaic power system configuration, and data center cooling systems. Wilcoxon rank-sum tests further confirm the statistical significance of these improvements. Experimental results show that CSSA significantly outperforms mainstream optimization methods in terms of convergence accuracy and speed, demonstrating substantial theoretical value and practical engineering significance. Full article
Show Figures

Figure 1

34 pages, 5123 KB  
Article
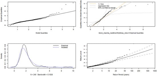
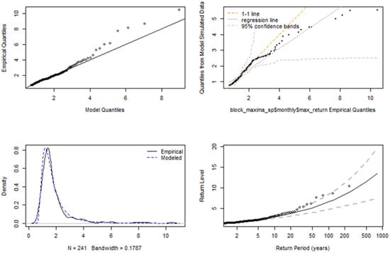
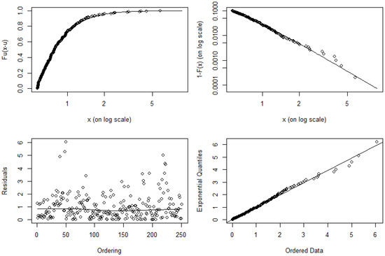
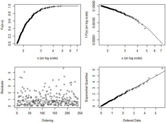
Comparative Analysis of Tail Risk in Emerging and Developed Equity Markets: An Extreme Value Theory Perspective
by Sthembiso Dlamini and Sandile Charles Shongwe
Int. J. Financial Stud. 2026, 14(1), 11; https://doi.org/10.3390/ijfs14010011 - 6 Jan 2026
Viewed by 68
Abstract
This research explores the application of extreme value theory in modelling and quantifying tail risks across different economic equity markets, with focus on the Nairobi Securities Exchange (NSE20), the South African Equity Market (FTSE/JSE Top40) and the US Equity Index (S&P500). The study [...] Read more.
This research explores the application of extreme value theory in modelling and quantifying tail risks across different economic equity markets, with focus on the Nairobi Securities Exchange (NSE20), the South African Equity Market (FTSE/JSE Top40) and the US Equity Index (S&P500). The study aims to recommend the most suitable probability distribution between the Generalised Extreme Value Distribution (GEVD) and the Generalised Pareto Distribution (GPD) and to assess the associated tail risk using the value-at-risk and expected shortfall. To address volatility clustering, four generalised autoregressive conditional heteroscedasticity (GARCH) models (standard GARCH, exponential GARCH, threshold-GARCH and APARCH (asymmetric power ARCH)) are first applied to returns before implementing the peaks-over-threshold and block maxima methods on standardised residuals. For each equity index, the probability models were ranked based on goodness-of-fit and accuracy using a combination of graphical and numerical methods as well as the comparison of empirical and theoretical risk measures. Beyond its technical contributions, this study has broader implications for building sustainable and resilient financial systems. The results indicate that, for the GEVD, the maxima and minima returns of block size 21 yield the best fit for all indices. For GPD, Hill’s plot is the preferred threshold selection method across all indices due to higher exceedances. A final comparison between GEVD and GPD is conducted to estimate tail risk for each index, and it is observed that GPD consistently outperforms GEVD regardless of market classification. Full article
(This article belongs to the Special Issue Financial Markets: Risk Forecasting, Dynamic Models and Data Analysis)
Show Figures

Figure 1

17 pages, 2048 KB  
Article
Isolation and Characterization of a Biocontrol Serine Protease from Pseudomonas aeruginosa FZM498 Involved in Antagonistic Activity Against Blastocystis sp. Parasite
by Fatimah Z. Almilad, Essam Kotb, Hanadi B. Baghdadi, Nehal Hosin, Hawra A. Alsaif and Ayman A. El-Badry
Biomolecules 2026, 16(1), 82; https://doi.org/10.3390/biom16010082 - 4 Jan 2026
Viewed by 120
Abstract
The intestine is considered a habitat for both bacteria and parasites. In this study, many fecal bacterial isolates and the protozoan Blastocystis sp. were recovered from stool samples of individuals with gastrointestinal conditions. Isolated bacteria were tested for extracellular protease production, and the [...] Read more.
The intestine is considered a habitat for both bacteria and parasites. In this study, many fecal bacterial isolates and the protozoan Blastocystis sp. were recovered from stool samples of individuals with gastrointestinal conditions. Isolated bacteria were tested for extracellular protease production, and the most potent producer was identified by 16SrDNA gene sequencing as P. aeruginosa FZM498. The enzyme was extracted and purified to electrophoretic homogeneity by the DEAE-Sepharose ion-exchanger and SDS-PAGE revealed a major band at 42.15 KDa. It exhibited maximal activity at 35 °C with thermostability at 60 °C (T1/2 = 200.04 min). It was most active at pH 8.0 and stable at 5.0–9.5. Enzymatic activity was greatly stimulated in the presence of Fe2+ ions, but was repressed by Zn2+ and Hg2+ ions. Inhibition by PMSF, TLCK, aprotinin, benzamidine, and SBTI protease reagents suggests a serine protease family. The Vmax and Km dynamic constants against azocasein were 36.232 U/mL and 0.0072 mM, respectively. It exhibited the lowest Km value against the synthetic substrate D-Val-Leu-Lys-pNA among all substrates, indicating a plasmin-like activity. Interestingly, when tested against Blastocystis sp., cysts appeared progressively shrunken, ruptured, and mycelial-like, indicating complete structural collapse with leakage of intracellular contents. The importance of this research is that it is the first study to test the anti-Blastocystis activity of an extracted bacterial serine protease from the gut. This could be a promising, eco-friendly, natural alternative as an anti-Blastocystis agent. The objective of this study was to isolate, purify, and biochemically characterize an extracellular serine protease produced by gut-associated bacteria, as well as to assess its in vitro anti-Blastocystis efficacy as a potential natural and ecologically friendly antiparasitic therapy. Full article
(This article belongs to the Section Biomacromolecules: Proteins, Nucleic Acids and Carbohydrates)
Show Figures

Figure 1

17 pages, 6443 KB  
Article
Lattice Boltzmann Simulation of Mass Transfer Characteristics in Catalyst Layer of High-Temperature Proton Exchange Membrane Fuel Cells
by Shengzheng Ji, Guogang Yang and Hao Wang
Membranes 2026, 16(1), 30; https://doi.org/10.3390/membranes16010030 - 4 Jan 2026
Viewed by 162
Abstract
As a critical component of high-temperature proton exchange membrane fuel cells (HT-PEMFCs), the catalytic layer (CL) significantly influences the overall performance of these systems. In this study, a pore-scale lattice Boltzmann (LB) model was established to simulate the multi-component mass transport in the [...] Read more.
As a critical component of high-temperature proton exchange membrane fuel cells (HT-PEMFCs), the catalytic layer (CL) significantly influences the overall performance of these systems. In this study, a pore-scale lattice Boltzmann (LB) model was established to simulate the multi-component mass transport in the HT-PEMFC catalyst layer. Based on the reconstruction of CL, the transport behavior of phosphoric acid was simulated. The effects of different carbon carrier diameters, porosity values, and Pt/C mass ratios on the transport of phosphoric acid in CL were studied. The distribution of phosphoric acid and air concentration, as well as the electrochemical surface area, was qualitatively and quantitatively analyzed. Finally, the optimal design parameters of CL structure were determined. The results show that, with increases in carbon carrier diameter, porosity, and Pt/C mass ratio, the distribution of phosphoric acid concentration shows an upward trend, and the distribution of air concentration shows a downward trend. The optimal ranges of carbon carrier diameter, porosity, and Pt/C mass ratio are 50–80 nm, 60–70%, and 40–50%, respectively. This study provides a new idea for further understanding the mass transport mechanism in the HT-PEMFC catalyst layer and provides effective suggestions for the optimization design of the HT-PEMFC catalyst layer structure. Full article
Show Figures

Figure 1

19 pages, 567 KB  
Article
The Impact of Philanthropic Donations on Corporate Future Stock Returns Under the Sustainable Development Philosophy—From the Perspective of ESG Rating Constraints
by Yunqiao Chen, Yawen Wang and Cunjing Liu
Int. J. Financial Stud. 2026, 14(1), 5; https://doi.org/10.3390/ijfs14010005 - 1 Jan 2026
Viewed by 146
Abstract
Fulfilling social responsibilities within the ESG framework has gradually become a core competitive advantage for sustainable corporate development that also serves to enhance future returns. Charitable donations constitute a crucial method through which corporations fulfill social responsibilities and represent a primary indicator in [...] Read more.
Fulfilling social responsibilities within the ESG framework has gradually become a core competitive advantage for sustainable corporate development that also serves to enhance future returns. Charitable donations constitute a crucial method through which corporations fulfill social responsibilities and represent a primary indicator in ESG ratings, ratings that in turn have an impact on future stock market returns. This study, based on data from listed companies on the Shanghai and Shenzhen stock exchanges from 2018 to 2022, employed a fixed effects model to analyze the influence of charitable donations on future returns under ESG rating constraints. The research reveals that ESG rating constraints can reduce speculative charitable donations and help to optimize the peak value of a company’s future returns. After a series of robustness tests, including using the one-period lagged explanatory variable, changing the measurement method of the explained variable, replacing the ESG with the assignment method for value determination, and considering the impact of outliers, the conclusion still holds. Heterogeneity analysis indicates that in state-owned enterprises, companies in a recessionary phase, and industries with lower levels of competition, a decelerating effect of ESG ratings on the impact of charitable donations on future returns dominates. Conversely, for mature companies, ESG ratings accelerate the positive effect of charitable donations on future returns. This paper contributes to the ESG economic consequences literature by offering empirical evidence on corporate social responsibility implementation under sustainability strategies. Full article
Show Figures

Figure 1

22 pages, 3587 KB  
Article
Physiological and Morphological Response Mechanisms of Theobroma cacao L. Rootstocks Under Flooding and Evaluation of Their Adaptability
by Maria Luiza Pereira Barbosa Pinto, Vinicius de Souza Oliveira, Jeane Crasque, Basílio Cerri Neto, Thayanne Rangel Ferreira, Carlos Alberto Spaggiari Souza, Antelmo Ralph Falqueto, Thiago Corrêa de Souza, José Altino Machado Filho, Lúcio de Oliveira Arantes, Carla da Silva Dias, Enilton Nascimento de Santana, Karin Tesch Kuhlcamp and Sara Dousseau-Arantes
Plants 2026, 15(1), 122; https://doi.org/10.3390/plants15010122 - 1 Jan 2026
Viewed by 241
Abstract
The response of cocoa (Theobroma cacao L.) to low oxygen availability in the soil and the possibility of recovery after stress relief are associated with the plasticity capacity of each genotype; however, studies evaluating the influence of rootstock on stress response are [...] Read more.
The response of cocoa (Theobroma cacao L.) to low oxygen availability in the soil and the possibility of recovery after stress relief are associated with the plasticity capacity of each genotype; however, studies evaluating the influence of rootstock on stress response are scarce. Thus, in the northern region of the state of Espírito Santo, municipality of São Mateus, the physiological, biochemical, and anatomical responses and recovery capacity of cocoa PS-1319 grafted onto the rootstocks TSH-1188, Cepec-2002, Pará, Esfip-02, and SJ-02 were evaluated under flooded conditions. The plants were subjected to flooding for 60 days, and their recovery capacity was assessed after this period. The gas exchange, relative chlorophyll content, stem and leaf anatomy, photosynthetic pigments, and carbohydrates were evaluated. All genotypes showed reductions in net photosynthetic assimilation, stomatal conductance, and transpiration rate in the flooded environment compared to the non-flooded environment. All pigments were degraded, with average values of Chl a, Chl b, total Chl, and total carotenoids of 9.33, 10.418, 19.75, and 590.75 μg.mL−1 in the non-flooded environment and 6.43, 7.69, 14.12, and 500.33 μg.mL−1 in the flooded environment. The rootstocks Cepec-2002 and Esfip-02 showed the highest carotenoid accumulation, with 585.78 and 650.47 μg.mL−1, respectively, when compared to SJ-02 (474.03 μg.mL−1), Pará (491.58 μg.mL−1), and TSH-1188 (525.86 491.58 μg.mL−1). The Pará rootstock did not show differences in stomatal density between environments, with values of 32.25 in flooding, 34.83 in non-flooding, and 31.61 in recovery. During flooding, lenticels formed in all rootstocks. After recovery, all rootstocks normalized their gas exchange, carbohydrate levels, and anatomy, showing that the root system was able to re-establish its functions, making these rootstocks suitable for areas at risk of flooding. Full article
(This article belongs to the Section Plant Response to Abiotic Stress and Climate Change)
Show Figures

Figure 1

16 pages, 2620 KB  
Article
Estimation of Effective Cation Exchange Capacity and Exchangeable Iron in Paddy Fields After Soil Flooding
by Ledemar Carlos Vahl, Roberto Carlos Doring Wolter, Antônio Costa de Oliveira, Filipe Selau Carlos, Robson Bosa dos Reis and Rogério Oliveira de Sousa
Soil Syst. 2026, 10(1), 7; https://doi.org/10.3390/soilsystems10010007 - 31 Dec 2025
Viewed by 133
Abstract
In flooded soils, the concentrations of exchangeable Mn2+ and, especially, Fe2+ can be high and must be considered when determining the cation exchange capacity (CEC) of the soil under flooded conditions. However, these reduced forms of Mn and Fe are oxidized [...] Read more.
In flooded soils, the concentrations of exchangeable Mn2+ and, especially, Fe2+ can be high and must be considered when determining the cation exchange capacity (CEC) of the soil under flooded conditions. However, these reduced forms of Mn and Fe are oxidized and precipitated during the extraction process used in traditional CEC methods. This procedure underestimates the exchangeable portion of these cations and, consequently, the CEC value of the flooded soil. We introduce a pH-gradient-based model to predict ECEC and exchangeable Fe2+ in flooded soils, circumventing oxidation artifacts inherent in conventional methods. The objective of this study is to propose an alternative to estimate the exchangeable Fe2+ and the effective CEC (ECEC) of flooded soils. To achieve this goal, 21 surface samples (0–20 cm) of soil from rice fields were collected and distributed in the cultivation regions of southern Brazil. The soils were flooded for 50 days. The soil solution was collected on the first day and after 50 days of flooding and pH, Na, K, Ca, Mg, Fe and Mn were determined. In these samples, exchangeable cations (K, Na, Ca, Mg, Mn, Al and H + Al) were determined to calculate ECEC and CEC at pH 7 of unflooded soil and after 50 days of flooding. There was a wide range of variation in the exchangeable cation contents among the soil samples. The K contents ranged from 0.12 to 0.54 cmolc kg−1, the Na contents from 0.00 to 1.18 cmolc kg−1, the Ca contents from 0.48 to 37.31 cmolc kg−1, the Mg contents from 0.10 to 15.53 cmolc kg−1, the Mn contents from 0.01 to 0.36 cmolc kg−1, the Al contents from 0.10 to 1.74 cmolc kg−1 and the H + Al contents from 2.01 to 8.42 cmolc kg−1. The results were used to develop models to predict ECEC and exchangeable Fe content after 50 days of flooding. Estimating the ECEC after flooding using the pH gradient before and after flooding yielded values closer to CEC pH 7.0, correcting for the possible underestimation of the ECEC during flooding. The amount of exchangeable Fe estimated was higher than the exchangeable Fe determined, correcting the possible underestimation of these quantities determined during flooding. It is concluded that the estimations of ECEC after flooding through the equation ECECafter=ECEC+pHsol.after pHsol.before × (CECpH7 ECEC)(7 pHsol.before), where pHsol.before is pre-flooding soil pH, pHsol.after is after flooding pH, ECECafter is effective CEC after flooding and the exchangeable Fe2+ after flooding through the equation Feexc.after.estimated=ECECafter Ca+Mg+K+Na+Mn where Feexc.after.estimated is estimated exchangeable Fe2+ after flooding corrected the problem of underestimating the values of these variables by analytical methods, demonstrating its viability for use in flood-prone soils. Full article
Show Figures

Figure 1

23 pages, 7753 KB  
Article
Urban Area Sustainability Analysis by Means of Integrated Microclimatic Measurement Techniques Combined with Thermal Comfort Modelling—A Pilot Project Application
by Giacomo Pierucci, Michele Baia and Carla Balocco
Energies 2026, 19(1), 217; https://doi.org/10.3390/en19010217 - 31 Dec 2025
Viewed by 170
Abstract
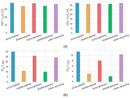
Although the literature is rich in studies of indoor thermal comfort, there is a lack of research on outdoor thermal comfort, despite its importance in response to global warming and the rise of urban heat islands. Physics models addressing spatial (urban energy form, [...] Read more.
Although the literature is rich in studies of indoor thermal comfort, there is a lack of research on outdoor thermal comfort, despite its importance in response to global warming and the rise of urban heat islands. Physics models addressing spatial (urban energy form, green areas) and temporal (climate variability) factors are urgently needed. This study proposes a useful method for outdoor comfort evaluation at a district scale, based on the energy form of built-up areas and hyperlocal climatic conditions. It enables the determination of distributed Physiological Environmental Temperature values at a district scale, assessing the greenery effect and mutual radiative exchanges. Applied to a case study in Florence, Italy, it integrates multiple measurement techniques. The main results highlight the model’s ability to evaluate outdoor thermal perception through the new identified indicator of Virtual Physiological Environmental Temperature (PET*) spread, ranging from 23.5 to 101.0 °C, specifically referring to the worst climatic conditions inside an urban canyon in relation to different real scenarios. The results confirm the method’s effectiveness as a tool for thermodynamics and planning for the well-being of an urban built-up environment. It offers useful support for sustainability and human-centric design, oriented to UHI mitigation and climate change adaptation strategies. Full article
(This article belongs to the Section G: Energy and Buildings)
Show Figures

Figure 1

23 pages, 1506 KB  
Article
Exergoeconomic Assessment of a Cogeneration Unit Using Biogas
by Ana Lívia Formiga Leite de Lima, Carlos Antônio Cabral dos Santos, Alvaro Antonio Villa Ochoa, Daniel Rodríguez López, Paula Suemy Arruda Michima, José Ângelo Peixoto da Costa and Gustavo de Novaes Pires Leite
Processes 2026, 14(1), 134; https://doi.org/10.3390/pr14010134 - 30 Dec 2025
Viewed by 197
Abstract
Biogas, a promising fuel for present and future generations, is produced from the anaerobic digestion of organic waste generated by the condominium itself. Therefore, this work aims to evaluate the exergoeconomic performance of a biogas cogeneration unit designed to meet the electrical and [...] Read more.
Biogas, a promising fuel for present and future generations, is produced from the anaerobic digestion of organic waste generated by the condominium itself. Therefore, this work aims to evaluate the exergoeconomic performance of a biogas cogeneration unit designed to meet the electrical and thermal energy demands of a residential condominium in the city of Teresina, Piauí, Northeast Brazil. The cogeneration unit consists of an internal combustion engine (ICE) coupled to an electric generator (genset) to produce electricity, and a heat exchanger that recovers part of the exhaust-gas heat to heat water. The analysis was conducted based on the concepts of Thermodynamics and Exergoeconomics, using the SPECO (Specific Exergy Costing) methodology to define the exergetic costs of the system. The novelty of the work lies in applying the SPECO exergoeconomic analysis to a small-scale biogas cogeneration unit fueled by residential organic waste. The achieved electricity production was 167.40 kW, and the heat transfer rate at the exchange rate was 51.55 kW. The results revealed that the exergy destroyed in the internal combustion chamber (ICE) was 223.65 kW, whereas that in the heat exchanger was significantly higher at 45.67 kW. The exergy efficiency of the ICE reached 39.19%, and the heat exchanger efficiency was around 9%. In financial terms, the cost of exergy destroyed in the ICEC was USD/h 135, but in the heat exchanger, it was dramatically higher at USD/h 158.40. The cost of producing hot water (product) was considered extremely high (USD/GJ 38.98). The relative difference parameter in the heat exchanger also has a value much higher than expected (10.240). This is because the product’s cost (USD/GJ 38.98) is well above the cost of fuel (USD/GJ 3.468). This study concludes that the cogeneration unit is more justifiable by the savings generated through thermal energy production than by electricity production alone, since the cogeneration system significantly enhances performance, raising both the energetic and exergetic efficiencies to 55% and 48%, respectively, thereby confirming the added value of the simultaneous utilization of heat and power. Full article
Show Figures

Figure 1

16 pages, 7514 KB  
Article
Simulating Magnetic Ordering and Exchange Interactions in Ni2Co(BO3)2
by Svetlana Sofronova, Artem Chernyshev, Anna Selyanina, Aleksandr Krylov and Timofey Tislenko
Physics 2026, 8(1), 3; https://doi.org/10.3390/physics8010003 - 30 Dec 2025
Viewed by 185
Abstract
First-principles calculations of the structural and magnetic properties of kotoite Ni2Co(BO3)2 are carried out. The minimization of the lattice parameters shows the values to be in good agreement with the experimental data (the difference is less than 1%). [...] Read more.
First-principles calculations of the structural and magnetic properties of kotoite Ni2Co(BO3)2 are carried out. The minimization of the lattice parameters shows the values to be in good agreement with the experimental data (the difference is less than 1%). The atomic coordinates are calculated. Cobaltions are found tending to occupy position 2a and nickel ions tending to occupy position 4f. The same magnetic cell as in Ni3(BO3)2, but quadrupled in size (2a × b × 2c), found having the minimum exchange energy for Ni2Co(BO3)2. In Ni2Co(BO3)2, the magnetic moments are obtained oriented along the baxis, similar to that in Co3(BO3)2. Full article
(This article belongs to the Section Condensed Matter Physics)
Show Figures

Graphical abstract

20 pages, 2273 KB  
Article
The Optimal Robust Investment Problem in the Foreign Stock Market of an Ambiguity-Averse Insurer
by Linlin Tian, Yixuan Tian and Xiaoyi Zhang
Axioms 2026, 15(1), 30; https://doi.org/10.3390/axioms15010030 - 29 Dec 2025
Viewed by 109
Abstract
To address the need for robust investment strategies in an increasingly uncertain global market, this study focuses on an ambiguity-averse insurer facing exchange rate uncertainty while investing in a foreign stock market. The insurer’s surplus is modeled via a classical compound Poisson process, [...] Read more.
To address the need for robust investment strategies in an increasingly uncertain global market, this study focuses on an ambiguity-averse insurer facing exchange rate uncertainty while investing in a foreign stock market. The insurer’s surplus is modeled via a classical compound Poisson process, and exchange rate dynamics are captured using an Ornstein–Uhlenbeck process for the drift component. Within the framework of maximizing expected exponential utility of terminal wealth, we derive and solve the Hamilton–Jacobi–Bellman equation to characterize the optimal investment strategy and the associated value function. Finally, a numerical example illustrates how varying model parameters influences the insurer’s optimal investment behavior. Full article
(This article belongs to the Special Issue Advances in Financial Mathematics and Stochastic Processes)
Show Figures

Figure 1

Back to TopTop