Next Article in Journal
Workforce Shocks and Financial Markets: Asset Pricing Perspectives
Next Article in Special Issue
A Hierarchical Signal-to-Policy Learning Framework for Risk-Aware Portfolio Optimization
Previous Article in Journal
Influence of ESG on Credit Growth: Moderating Effects of Islamic Bank and Size in MENA
Previous Article in Special Issue
Smart Tangency Portfolio: Deep Reinforcement Learning for Dynamic Rebalancing and Risk–Return Trade-Off
 
 
Font Type:
Arial Georgia Verdana
Font Size:
Aa Aa Aa
Line Spacing:
Column Width:
Background:
Article

Comparative Analysis of Tail Risk in Emerging and Developed Equity Markets: An Extreme Value Theory Perspective

by
Sthembiso Dlamini
and
Sandile Charles Shongwe
*
Department of Mathematical Statistics and Actuarial Science, Faculty of Natural and Agricultural Sciences, University of the Free State, Bloemfontein 9301, South Africa
*
Author to whom correspondence should be addressed.
Int. J. Financial Stud. 2026, 14(1), 11; https://doi.org/10.3390/ijfs14010011
Submission received: 18 November 2025 / Revised: 10 December 2025 / Accepted: 25 December 2025 / Published: 6 January 2026
(This article belongs to the Special Issue Financial Markets: Risk Forecasting, Dynamic Models and Data Analysis)

Abstract

This research explores the application of extreme value theory in modelling and quantifying tail risks across different economic equity markets, with focus on the Nairobi Securities Exchange (NSE20), the South African Equity Market (FTSE/JSE Top40) and the US Equity Index (S&P500). The study aims to recommend the most suitable probability distribution between the Generalised Extreme Value Distribution (GEVD) and the Generalised Pareto Distribution (GPD) and to assess the associated tail risk using the value-at-risk and expected shortfall. To address volatility clustering, four generalised autoregressive conditional heteroscedasticity (GARCH) models (standard GARCH, exponential GARCH, threshold-GARCH and APARCH (asymmetric power ARCH)) are first applied to returns before implementing the peaks-over-threshold and block maxima methods on standardised residuals. For each equity index, the probability models were ranked based on goodness-of-fit and accuracy using a combination of graphical and numerical methods as well as the comparison of empirical and theoretical risk measures. Beyond its technical contributions, this study has broader implications for building sustainable and resilient financial systems. The results indicate that, for the GEVD, the maxima and minima returns of block size 21 yield the best fit for all indices. For GPD, Hill’s plot is the preferred threshold selection method across all indices due to higher exceedances. A final comparison between GEVD and GPD is conducted to estimate tail risk for each index, and it is observed that GPD consistently outperforms GEVD regardless of market classification.

1. Introduction and Literature Review

The continuous development of more effective financial risk management tools and strategies is vital in today’s world of globalisation and interconnected economies. In recent times, the Global Financial Crisis (GFC) of 2007–2008 and the most recent COVID-19 pandemic (2019–2021) are amongst the most notable rare events that had major impacts on stock markets globally. These events created extreme fluctuations in stock market prices, which resulted in dire economic conditions across various economies. The increasing trend in the occurrence of such extreme events (“Black Swans”) in financial sector has brought about a need for more robust statistical models that go beyond the scope of traditional risk models (Singh et al., 2012). These events often appear as random and unexpected to regular people; however, scientists connect them to a well-defined set of rules known as extreme value theory (EVT).
According to Këllezi and Gilli (2000), EVT is a statistical theory that evaluates extreme events, also known as tail events, because their values often lie beyond the range of traditional observations. Coles (2001) states that EVT has emerged as one of the most important statistical disciplines for applied sciences in the last 50 years. This is because of its ability to capture risk that many traditional techniques are not able to adequately capture, and its usefulness in many disciplines, like flood frequency analysis in hydrology, magnitudes of earthquakes in seismic analysis, low frequency and high severity claims in non-life insurance (see Chapter 1 of Beirlant et al., 2004), and more importantly, for this research, returns volatility in finance.
In financial risk modelling, many traditional risk models like Value at Risk (VaR) have been explored in an attempt to quantify market risk; however, most of these models usually underestimate tail risks because they fail to capture extreme events effectively; this limitation leaves investors, policymakers, and financial institutions unprepared for market crashes. According to Danielsson and De Vries (2000), financial returns typically exhibit non-normal characters, such as leptokurtosis, volatility clustering, and leverage effect. The leptokurtic nature of financial returns is generally the primary reason for the shift to heavy-tailed distributions in risk modelling; this is mainly due to their efficiency in capturing large extreme losses. Sweeting (2011) outlines the two commonly used approaches for modelling extreme events, the block maxima (BM) and the peak-over-threshold (PoT) methods. For BM, the dataset is divided into blocks of similar intervals, usually daily or monthly; thereafter, a sample of maxima or minima are extracted from these blocks, and a generalised extreme value distribution (GEVD) is fitted to them. The PoT approach on the other hand, involves the selection of a threshold value for which all the data points (known as exceedances) above this value will be classified as extreme values. For a sufficiently large threshold value, the conditional excess distribution function of these exceedances is summarised by the generalised Pareto distribution (GPD) (Chernobai et al., 2007).
In financial time series, volatility refers to the change in the conditional variance of the returns overtime, and volatility clustering is the idea that large market movements tend to be followed by other large movements; similarly, small market changes also tend to cluster together. Ait-Sahalia et al. (2013) describes the “leverage effect” as the observed tendency of an asset’s volatility to be negatively correlated with the asset’s returns; that is, negative shocks often increase volatility more than positive shocks of the same magnitude. Many different models have been proposed to describe these features in various risk modelling frameworks; this includes models from the Generalised Autoregressive Conditionally Heteroskedastic (GARCH) family which attempts to describe the volatility dynamics of financial data. The intersection between GARCH models and extreme value theory is a very important area in financial risk assessment and management, because it gives a more nuanced understanding of how volatility and extreme events interact. The studies by Echaust and Just (2020) and Makatjane (2019) investigate the effectiveness of these hybrid EVT-GARCH models, focussing primarily on European equities and South African banking stocks, respectively. More specifically, Makatjane (2019) explores these nuances by using a combination of regime-switching GARCH models and EVT models to analyse the risk and volatility of the South African stock market, particularly the FTSE/JSE banking indices. Using ten years of daily data (2008 to 2018) across five major banks (ABSA, Capitec, FNB, Nedbank, and Standard Bank), the study combined volatility modelling with EVT to better capture the clustering of extreme events. The research utilised both the GEVD and GPD models under the BM and PoT approaches, respectively, using maximum likelihood for parameter estimation. Using the Shapiro–Wilk and Anderson Darling tests, the model goodness-of-fit (GoF) was assessed and the results indicated that both models adequately explained the tail risks, although the GPD demonstrated slightly better accuracy due to reduced bias in tail estimation. To quantify the tail-risk associated with these indices, the VaR, expected shortfall (ES), and Glue-VaR risk metrics were computed. Moreover, the results showed that while GEVD and GPD produced comparable results for estimating extreme quantiles, Glue-VaR under EVT provided a more comprehensive and risk-averse assessment, aligning well with Basel II regulatory requirements.
Next, Echaust and Just (2020) examines risk measurement in the financial markets sector, focusing on VaR estimation through a hybrid GARCH-EVT approach with optimal tail selection. The dataset consists of daily returns from ten global stock indices (including S&P500, FTSE100, CAC40, DAX, Nikkei225, and others) covering the period 2000 to 2019. Methodologically, the paper applies a GARCH (1,1) model to filter volatility, and then, the GPD under the PoT approach is employed to model the distribution tails. In their study, Echaust and Just (2020) compared different threshold selection procedures against the conventional fixed 95th quantile threshold. Parameter estimation was performed using the maximum likelihood (ML) estimation method, while the GoF of the GPD to exceedances is validated using graphical diagnostics such as quantile-quantile (QQ)-plots, mean residual life plots, and stability checks for tail index estimates. To assess the predictive performance of the model, backtesting was performed through procedures like Kupiec’s unconditional coverage test, Christoffersen’s conditional coverage test, and dynamic quantile tests to evaluate model adequacy. The VaR forecasts were produced for both long and short positions at 99% and 99.5% confidence levels. Interestingly, despite significant variation in threshold levels across methods, the resulting VaR estimates were similar, suggesting that the conservative fixed threshold performs nearly as well as the optimisation-based procedures. Finally, the study highlights asymmetry in tail risk, with left-tail risks (losses) consistently larger than right-tail risks (gains).
The application of EVT modelling frameworks, especially to financial data, has been explored in many academic studies. Some of these are summarised in Table 1, detailing each publication’s dataset, fitted EVT distributions, GoF and risk measures. Most of the forementioned papers often focus on only fitting the EVT models; however, this study incorporates GARCH models, providing more robust VaR estimates.
The objective of this study is to investigate the application of GARCH-EVT frameworks to different equity markets, with an aim to first filter volatility clustering in the financial returns and then identify suitable distributions for analysing the tail behaviour of our financial returns. To achieve this goal, four different GARCH families (standard GARCH, GJR-GARCH, exponential GARCH, and APARCH (asymmetric power ARCH)) with different error distributions (normal, Student-t, skewed-GED) were fitted to the log returns of three datasets (i.e., the Nairobi Securities Exchange (NSE20), the South African Equity Market (FTSE/JSE Top40), and the US Equity Index (S&P500)) representing both emerging and developed markets. A total of fifteen permutations were considered and the most appropriate GARCH-error distribution combination for each return dataset were selected based on the Bayesian Information Criterion (BIC) and the Akaike Information Criterion (AIC) metrics. Thereafter, the standard residuals from the best fitting GARCH models were then fitted to the EVT models under the BM and the PoT methods.
The rest of the paper is structured as follows: Section 2 provides the methodology and the corresponding characteristics. Next, the detailed empirical analysis of the considered EVT methods using the datasets from the emerging and developed equity markets are provided in Section 3. Concluding remarks and future research ideas are presented in Section 4.

2. Methodology

2.1. Symmetric (Standard) GARCH Model

The Generalised Autoregressive Conditional Heteroskedasticity (GARCH) model, introduced by Bollerslev (1986), extends Engle’s ARCH model (Engle, 1982) to capture volatility clustering in time series data, particularly financial returns. The key idea here is that conditional variance σ t 2 , at time t , depends on past squared returns (short term shocks) and also past variances. For a standard GARCH (p, q) model, the conditional variance equation is given by
σ t 2 = ω + i = 1 q α i ϵ t i   2 + j = 1 p β j σ t j 2
where α i is the ARCH term and β j is the GARCH term, measuring the impact of past shocks and persistence of volatility, respectively. The term ω is a constant, while σ t 2 and σ t j 2 are, respectively, the fitted conditional variance from the model and its previous value. The simplest form of this model is GARCH (1,1), with mean and variance given by
r t = μ + ϵ t = μ + σ t z t ,       z t ~ i i d ( 0 , 1 )
σ t 2 = ω + α 1   ϵ t 1 2 + β 1 σ t 1 2
where μ is the conditional mean or expected return (usually assumed to be constant), ϵ t is the innovation term, and z t is the standardised residual. The conditional variance equation holds if both α 1 ,   β 1 0 and the inequality, α 1 + β 1 < 1 , is a stationarity condition for the return series. While the standard GARCH model is very useful in tackling volatility clustering, it, however, does not account the asymmetric effect, which is prevalent in financial returns.

2.2. Exponential GARCH Model

Introduced by Nelson (1991), the EGARCH model accounts for leverage effects (asymmetry) in financial returns. Instead of modelling σ t 2 , EGARCH models l o g ( σ t 2 ) , ensuring positivity without parameter restrictions. Therefore, for a EGARCH (p, q) model, the conditional variance is given by
l o g ( σ t 2 ) = ω + i = 1 q α i l o g ( σ t i 2 ) + j = 1 p β j | ϵ t j | σ t j + j = 1 p γ j ϵ t j ϵ t j   2
where α i and β j measure volatility persistence and the magnitude effect of shocks, respectively, while γ j captures the leverage effect. In this study only the simplest form of the EGARCH model (which means of order (1,1)) is considered, which is given by
l o g ( σ t 2 ) = ω + α 1 l o g ( σ t 1 2 ) + β 1 | ϵ t 1 | σ t 1 + γ 1 ϵ t 1 ϵ t 1   2 .

2.3. GJR-GARCH Model

Similarly to the EGARCH models above, the GJR-GARCH (also known as the Threshold GARCH) was proposed by Glosten et al. (1993), as another asymmetric volatility model. The GJR-GARCH extends standard GARCH by adding an indicator function to allow negative returns to have a larger effect on volatility. According to Li (2017), the model does this by examining the leverage effect based on the state of past innovation. Specifically, the conditional variance is determined by threshold level at zero, on whether the shock is positive or negative. The conditional variance of the GJR-GARCH (p, q) is given by
σ t 2 = ω + i = 1 q [ α i ϵ t i   2 + γ i I { ϵ t i < 0 } ϵ t i   2 ] + j = 1 p β j σ t j 2
where the indicator function I { ϵ t i < 0 } = { 1 ,   ϵ t i < 0 0 ,   otherwise , γ i captures the extra volatility effect from the negative shocks, and α i ,   β j ,   ω all have the same interpretation as in the standard GARCH model. The simplest form of this model is GJR-GARCH (1,1), which has the conditional variance given by
σ t 2 = ω + α ϵ t 1   2 + γ 1 I { ϵ t 1 < 0 } ϵ t 1   2 + β 1 σ t 1 2 .

2.4. APARCH Model

The APARCH (asymmetric power ARCH) models is another flexible member of the GARCH family. Apart from its ability to capture asymmetric volatility, it also introduces a power parameter instead of imposing a fixed square ( δ = 2 ) specification, which allows the data to determine an appropriate volatility transformation (Ding et al., 1993).
The conditional variance of the APARCH (p, q) is given by
σ t δ = ω + i = 1 q α i ( | ϵ t i | γ i ϵ t i ) δ + j = 1 p β j σ t j δ .
where δ > 0 is the power parameter that transforms the conditional variance into a more general moment, and γ i ( 1 , 1 ) ,   i = 1 , ,   q . Note that when δ = 2   and γ 1 = = γ q = 0 , the APARCH model simplifies to the GARCH model. The simplest form of this model is APARCH (1,1) and is given by
σ t δ = ω + α 1 ( | ϵ t 1 |     γ 1 ϵ t 1 ) δ + β 1 σ t 1 δ .

2.5. EVT Models

2.5.1. Generalised Extreme Value Distribution (GEVD)

Often times when performing data analysis, we normally use distributions that consider the whole range of data available; see, for example, Marambakuyana and Shongwe (2024a, 2024b), where the full dataset is used to fit standard single, composite, and mixture distributions. However, another approach is to look at distributions that consider maximum values for each block of data. This kind of approach is in the area of generalised EVT (Sweeting, 2011). The main idea with this approach is to use the BM method, i.e., the data is decomposed into similar period intervals, and then the maximum values for each period are considered (Bakali et al., 2021).
Drawing from the theoretical foundation of the GEVD and BM approach, as detailed by Coles (2001), consider the distribution function F n , for M n , where M n is the maxima of n independent and identically distributed (iid) observations defined mathematically by
M n = max ( X 1 , X 2 , , X n ) .
If the distribution function for X i is assumed to be known, then the distribution of M n is derived as follows:
F n ( x ) = P r ( M n x ) = P r ( X 1 x , X 2 x , , X n x ) .
Since the observations are assumed to be iid, the distribution function can simplify to
P r ( M n x ) = P r ( X 1 x ) × P r ( X 2 x ) × × P r ( X n x ) = [ F ( x ) ] n = F n ( x ) .
The three-distribution family belonging to the GEVD are the Weibull, Gumbel, and Fréchet distributions (Edem & Ndengo, 2021). Edem and Ndengo (2021) state that the Weibull distribution is appropriate when dealing with minima values, and its CDF is given by
F ξ ( x ) = { exp { [ ( x μ β ) ξ ] } ,     x < μ 1 ,     x μ
where that μ ,   β , and ξ   are the location, scale, and shape parameters, respectively (Coles, 2001). Additionally, they state that the Gumbel distribution appears practical when observing data characterised by maxima values. The CDF of the Gumbel random variable is given by
F ( x ) = exp { exp { ( x μ   β   ) } } ,     < x < ,
where μ and β are the location and scale parameters, respectively (Coles, 2001). Finally, Edem and Ndengo (2021) state that the Fréchet distribution appears practical when observing data characterised by maxima values, and its CDF is given by
F ξ ( x ) = { 0 ,     x μ exp { ( x μ   β   ) α } ,     x > μ
where μ ,   β , and ξ are the location, scale, and shape parameters, respectively (Coles, 2001).

2.5.2. Generalised Pareto Distribution (GPD)

Pickands (1975) introduced the GPD as the distribution of the sample data exceeding a certain high threshold. The standard practice is to fit the tail region of the dataset to the GPD separately using a framework known as the peaks-over-threshold (PoT) (Park & Kim, 2016). Let X be a random variable representing operational losses with the CDF G and k as a certain high threshold value, then:
G k ( x ) = Pr ( X k x | X > k ) = F ( k + x ) F ( k ) 1 F ( k ) .
Equation (16) is called the conditional excess distribution function for all losses above the threshold level k . For a sufficiently large threshold level k , the conditional excess distribution function G k of extreme observations is summarised by the GPD (Chernobai et al., 2007). The CDF of the GPD is given by
G ( x ) = { 1 ( 1 + ξ x μ β ) 1 ξ                           if   ξ 0 , 1 e x μ   β                                                         if   ξ = 0 ,
where x μ , if ξ 0 and μ x < μ β ξ , if ξ < 0 .
Sweeting (2011) states that the CDF of the GPD can be differentiated to obtain the PDF, which gives a clearer idea of the shapes of the distribution. The PDF is:
g ( x ) = { 1 β ( 1 + ξ x μ β ) ( 1 ξ + 1 )                       if   ξ 0 , 1 β e x μ β                                                                     if   ξ = 0 ,
where x refers to the extreme observations above the threshold and < μ < ,   β > 0. Note that μ ,   β , and ξ are location, scale, and shape parameters, respectively. Note that in Sweeting (2011), Equation (18) is only defined for a special case where μ = 0 and β = 1 . The key practice to consider here is the method for selecting the threshold. If the threshold is too high, there will be insufficient data to use, and the parameters estimated from the data sample will be inaccurate. However, a threshold being too low is likely to violate the asymptotic basis of the model which leads to bias (Benito et al., 2023).

2.6. Methods and Materials

A holistic approach of financial risk assessment when using parametric methods generally involves, firstly, identifying an optimal combination of parameter estimation methods and a probability distribution, and secondly, performing model diagnostics using GoF tests. Next, quantify the maximum expected losses or gains over a certain period, at a given confidence level. Finally, measure the performance and predictive accuracy of the identified optimal models. The following subsections will explore the theoretical foundations of some of the methods that will be utilised in this study.

2.6.1. Parameter Estimation

In this research, the ML estimation method will be used for all the models considered. This is due to its flexibility and consistency across different parametric models with multiple parameters (Coles, 2001). Suppose that random variables X 1 , ,   X n have a joint density function given by
f ( x 1 ,   x 2 ,     , x n | θ ) ,
where the observed values X i = x i , where i = 1 , , n , and θ is a vector of unknown parameters. If X i are assumed to be iid, then their joint density is the product of their marginal densities and the likelihood of θ as a function of x 1 ,   x 2 , , x n   is defined as
L ( θ ) = f ( x 1 ,   x 2 ,     , x n | θ ) = i = 1 n f ( x i | θ ) .
For ease of computation, it is often more convenient to take logarithms and work with the log-likelihood function, which is defined as
l ( θ ) = i = 1 n f ( x i | θ ) .
The maximum likelihood estimate of θ is that value of θ for which l ( θ ) is maximised; this maximisation is achieved by equating derivative of l ( θ ) (with respect to θ ) to zero (Rice & Rice, 2007).

2.6.2. Performance Indicators

To suggest the most suitable probability model for the gains and losses of each of our three equities, the performance of all the models is assessed. The performance comparison is carried out using some common GoF tests and information criteria. Suppose that F n ( X i ) represents the empirical CDF and F ^ ( X i ) is the expected CDF of the distribution with particular parameter estimates. Similarly, assume X i represents the observed value while X i ^ is estimated value using particular parameter estimates. Then, the statistics of the GOF tests used in this study are the Cramér–von Mises (CVM), Kolmogorov–Smirnov (KS) test, and Anderson-Darling (AD) tests, which are, respectively, given by
C V M = 1 12 n + i n ( 2 i 1 2 n F ^ ( X i ) ) 2 ,
K S   =   m a x { | F n ( X i ) F ^ ( X i ) | } ,   a n d
A D   =   n i = 1 n   ( 2 i 1 n { l o g ( 1 F ^ ( X n i + 1 ) ) + l o g ( F ^ ( X i ) ) }   ) .
Next, the information criteria considered in this research are the AIC and BIC (see Klugman et al., 2019), defined as
A I C = 2 N L L + 2 p ,
B I C = 2 N L L + p   l o g ( n ) ,
respectively, where NLL is the negative log-likelihood, p is the number of free parameters or degrees of freedom, and n is the sample size. For both criteria, a lower value suggests that the theoretical model is simpler (has fewer parameters) or best fits the data.

2.6.3. Review of Risk Measures

The importance of quantifying financial market risk has inspired a lot of groundbreaking work in the past 30 years, and one of those pioneering ideas has been that of Value at Risk (VaR). While VaR was developed internally at J.P. Morgan & Co. (1996), the firm’s 1994 publication of its Risk Metrics Technical Document made the methodology public and led to its widespread adoption. In this research, VaR and tail VaR (TVaR)/ES will be used together with EVT models to quantify the tail risk in our indices. Best (2000) defines VaR as a statistical measure that estimates the maximum loss that may be experienced on a portfolio, with a given level of confidence, p . This is basically the maximum amount of money that may be lost on a portfolio over a given period of time, with a given level of confidence. Mathematically, VaR is expressed as
V a R p ( X ) = inf X 0 [ x | F x ( x ) p ] ,   0 < p < 1 ,
where X is a random variable denoting portfolio returns and p is a percentile of the distribution of X . The empirical estimate for VaR of X   is given by
V a R p ( X ) = F ^ 1 ( p ) ,
where the empirical CDF is denoted by F (   . )   (Klugman et al., 2019). While VaR is widely used in financial applications due to its intuitive appeal and easy implementation, it is, however, important to note that VaR simply provides a lower bound for large losses and does not provide any information of the tail beyond the cutoff point (Chernobai et al., 2007). To quantify portfolio risk beyond this cutoff point, we use the TVaR or ES. Sweeting (2011) defines the TVaR as the expected loss, given that a loss beyond some critical value has occurred, that is, the expected loss if the loss exceeds VaR. Mathematically, TVaR is expressed as
T V a R p ( X ) = 1 1 p p 1 V a R u ( X ) d u .
If X is continuous at V a R p ( X ) , then F X [ V a R p ( X ) ] = p and this results in
T V a R p ( X ) = E [ X | X > V a R p ( X ) ] = E [ X | X > π p ] = π p x f ( x ) d x 1 F X ( π p ) .
Ultimately, it can be shown that
T V a R p ( X ) = E [ X | X > V a R p ( X ) ] = π p + e ( π p ) ,
where e ( π p ) denotes the mean excess loss function evaluated at the 100 p th percentile. This means that the TVaR can be interpreted as the sum of the corresponding VaR and the average excess of all losses above the VaR (Soltane et al., 2012). The empirical estimate for the TVaR is given by
T V a R p ( X ) = 1 1 p p 1 F ^ 1 ( s ) d s ,
where the empirical CDF is denoted by F (   .   ) (Klugman et al., 2019).

2.7. R Packages

The data will be analysed in the R programming environment using the following packages: TSA, evd, ismev, ReIns, evir, fExtremes and extRemes; under R package, version 2.3-6.1 (Stephenson, 2022). Some of the functions that we will use include the following functions (to name a few):
  • The fpot function, which assesses the maximum likelihood for the PoT, allowing any of the parameters to be held fixed if desired (Pickands, 1975);
  • The fgev function, which assesses the maximum likelihood fit for the GEVD and includes the linear modelling of the location parameter, allowing the parameters to be held fixed, if desired (Smith, 1985).
The full R code used to produce the results in this paper is included as the Supplementary Materials.

3. Analysis and Results

3.1. Data Description and Preliminary Analysis

Our study was motivated by the study conducted by Wentzel and Maré (2007), which investigates the effectiveness of EVT models versus traditional models in estimating the likelihood of extreme market movements, particularly in the South African equity market. In this study, three indices from different markets are considered, including the one explored by Wentzel and Maré (2007), but with a different objective in mind. The three datasets considered for this study are NSE20, FTSE/JSE Top40, and S&P500, extracted from Wall Street Journal Markets. All the datasets are publicly available. For this study, the observations from January 2005 to January 2025 are considered. These indices were chosen primarily for the following reasons:
  • They occupy different positions along the “emerging to developed” market spectrum.
  • All of them represent a large market capitalization and serve as benchmarks for market performance and risk analysis in their respective category of economies.
  • They provide a diversified geographical representation.
According to the Nairobi Securities Exchange 2024 integrated report and financial statements, the NSE20 share index is a market capitalization-weighted index that tracks the performance of the top 20 companies listed on the Nairobi Securities Exchange (NSE) in Kenya. These companies are selected based on a weighted market performance over a 12-month period, incorporating factors such as market capitalization, shares traded, number of deals, and turnover. The index includes firms from diverse sectors such as banking (KCB Group, Equity Bank), telecommunications (Safaricom), consumer goods, and energy (Kenya Power), among others. Moreover, the NSE20 index is often used to measure the performance of Kenya’s blue-chip stocks and serves as a benchmark for portfolio construction and investment evaluation in East African financial markets (Okumu et al., 2021).
The FTSE Russell (2025) factsheet report describes the FTSE/JSE Top40 index as a market-capitalization-weighted index, comprising the 40 largest companies on the Johannesburg Stock Exchange (JSE), based on investable market capitalization. It includes prominent firms in mining (e.g., Anglo American, Anglo Ashanti Gold), banking (e.g., FNB, Standard Bank and Absa Group), and industrial sectors (e.g., Naspers, Sasol). This index is widely used by institutional investors in South Africa and is tracked through exchange-traded funds such as the Satrix Top40 ETF, enhancing its accessibility and influence on local and global investment strategies. The studies by Makatjane (2019) and Makatjane and Moroke (2021) highlight the effectiveness of the FTSE/JSE Top40 index as a benchmark for assessing South Africa’s equity movements and also for offering valuable insights to both investors and policymakers.
The S&P Dow Jones Indices (2025) methodology report describes the S&P500 index as a free-float market-capitalization-weighted index that tracks the performance of approximately 500 large-cap companies listed on the New York Stock Exchange (NYSE) and NASDAQ in the United States. It covers roughly 80% of the total U.S. equity market capitalization, making it one of the most comprehensive and widely followed benchmarks in global finance. The S&P500 plays a critical role in global asset allocation, portfolio management, and financial derivatives markets. It also reflects macroeconomic trends in the U.S. and is a key indicator of investor sentiment.
Figure 1 shows a time series plot of the closing daily value for the NSE20 (top), FTSE/JSE Top40 (middle), and S&P500 (bottom) indices, for the period 2005–2025. The primary motive for focusing on this period is that it includes two major extreme events of the past two decades, namely the GFC of 2007/2008 and COVID-19 pandemic of 2019/2020, which saw a sharp decline in share prices across the globe.

3.2. Exploratory Data Analysis

The use of financial log returns rather than closing prices is a generally accepted practice in statistical analysis, primarily because returns exhibit stylized facts such as fat tails, volatility clustering, and leverage effects, which are fundamental to models like GARCH and EVT. Define r t as returns, calculated using the formula:
r t = log ( p t ) log ( p t 1 ) ,
where p t and p t 1   are the daily price of financial assets under observation at time t and t 1 , respectively. For a more intuitive interpretation of the results, the returns are converted to percentages and used this way throughout the rest of the study.
Table 2 provides the descriptive statistical summary of the returns for all three indices under investigation, and an interesting observation is that all our indices are leptokurtic (kurtosis above 3). This observation strongly suggests that our data is heavy-tailed and has a higher peak than normal, which is very common in financial returns data.
Figure 2 shows the returns, which is the transformed time series of the closing prices, by taking the first difference of the log of the index prices, where ( p t ) and p t 1   are index prices at time t and t 1 , respectively.

3.3. Testing for Stylised Facts

According to Makatjane (2019) and Makatjane and Moroke (2022), assessing the empirical regularities “stylised facts” of financial market data before quantifying the associated market risk is a vital step in financial modelling. This is because these stylised facts serve as benchmarks for developing theoretical models and assist in validating the suitability of the chosen risk models (Heine et al., 2005). In this subsection, tests for stationarity, normality, and autocorrelation are conducted on the returns.
Stationarity tests for the returns
In time series analysis, a process is said to be stationary if its statistical properties such as mean and variance do not change over time. This is an important assumption to meet when dealing with financial data in order to avoid spurious modelling. In this study, the Augmented Dickey–Fuller (ADF) and Phillips–Perron tests are performed on the returns using the following null hypothesis, H 0 : The time series of the returns is not stationary.
In our results, we observed that the p -values for the returns of the financial assets under consideration are all less than 0.05 , under both the ADF and Phillips–Perron tests. This implies that under 95 % confidence interval, we have enough evidence to reject the null hypothesis. Therefore, the time series of all the returns are stationary.
Normality tests for the returns
The results of the descriptive statistics in Table 2 indicate that the log returns of all three indices under investigation seem to deviate from the normal distribution because the values of the skewness and kurtosis are not close to zero and three, respectively. In this subsection, further demonstration of this fact is made using the Jarque–Bera and Shapiro–Wilk tests under the null hypothesis, H 0 . The time series of the returns is normally distributed.
The results from both the Jarque–Bera and Shapiro–Wilk tests show that the p -values are less than 0.05 for the returns of all the indices under consideration. This implies that under 95% confidence interval, we have enough evidence to reject the null hypothesis. Therefore, the time series of all the returns are not normally distributed.
Further statistical summary
While we have successfully showed that all datasets under investigation satisfy both the normality and stationarity assumptions, this does not mean that they are iid. It only implies that the data is identically distributed, and it says nothing about the independence. Using the autocorrelation functions (ACF), partial autocorrelation functions (PACF), and the McLeod–Li and Ljung–Box tests, we then look further at both the returns and squared returns to assess the serial correlation and ARCH effects, respectively. Figure 3 shows the ACFs and PACFs of the returns and we can see that all three indices display a very weak linear dependence in the returns, where NSE20 shows the strongest mean dependence (AR(1)-like), with FTSE/JSE Top40 being closest to white noise and S&P500 also showing weak short-term negative dependence. To extend the analysis, we examine the autocorrelation of squared returns to detect ARCH effects. As illustrated in Figure 4, the squared returns exhibit significant positive autocorrelations at lower lags across all indices, indicating evidence of volatility clustering.
Further analysis of the dependence structure of our datasets was conducted in order to verify the observation made in Figure 3 and Figure 4. This is performed using the McLeod–Li and Ljung–Box tests under the null hypothesis, H 0 : The returns or squared returns are not autocorrelated.
The results in Table 3, show the p-values of all the returns seem to be less than 0.05, additionally, the p-values of the squared returns were also all less than 0.05. This implies that under 95 % confidence interval, we have enough evidence to reject the null hypothesis. For the returns, this suggests that the NSE20, FTSE/JSE Top40, and S&P500 show mean dependence, which aligns with the weak form efficient market hypothesis. Moreover, for the squared returns, this confirms the presence of volatility clustering in all our datasets.

3.4. GARCH-Type Model Fitting

One of the key objectives of this study is to apply GARCH-type models to the return series of our datasets in order to capture and filter out volatility clustering. To achieve this, four different GARCH families (standard GARCH, GJR-GARCH, exponential GARCH, and APARCH (asymmetric power ARCH)), with different error distributions (normal, Student-t, Skewed-GED), were explored. The subsections below present the parameter estimates obtained from these models, along with the diagnostics tests conducted on the standard residuals.

3.4.1. Parameter Estimates

The methodology used involved searching for the most appropriate GARCH model-Error distribution combination for each return series. In total, fifteen permutations were considered for each return series. These models were then ranked, and the best combinations were then selected based on the BIC and AIC. Table 4 shows the outputs of the best fitting combinations for each return series. The results indicate that the best fit for NSE20 returns is the standard GARCH (1,1) with Student-t errors (standard GARCH_std). This suggests volatility clustering is symmetric, and the fat tails of the student-t distribution capture the heavy-tailed NSE20 returns better than the normal. For both the FTSE/JSE Top40 and the S&P500 returns series, the APARCH (1,1), with skewed generalised error distribution and student-t errors, respectively, were the most suitable model combination; this means that the volatility dynamics of both these indices’ returns are asymmetric, and their return distributions are fat-tailed.

3.4.2. Residual Diagnostics

To further assess the GoF for all our GARCH models, graphical diagnostics were computed; Figure 5 shows that the residual QQ plots for all datasets and the examination of these graphs complemented the findings observe in Table 4. Additionally, autocorrelation tests were conducted on the residuals, and we can see from Table 5 that all indices are greater than 0.05. This implies that the presence of volatility clustering was effectively filtered and all our datasets are now iid.

3.5. Generalise Extreme Value Distribution (GEVD)

An illustration of how the block maxima and minima were obtained is provided in Appendix A.1. This research utilised the maximum likelihood method to obtain the parameter estimates. Table 6, Table 7 and Table 8 show the GEVD parameter estimates for the maxima and minima of NSE20, FTSE/JSE Top40, and S&P500, respectively. The methodology adopted in this section involves fitting the GEVD models to samples of maxima and minima extracted using three different block sizes approximating a trading month (21), a quarter (63), and a year (252), across the returns from all three datasets. The results show that most of the parameters were statistically significant at the 5% level (with those that are shaded in yellow being the only insignificant ones). However, the shape parameters of both maxima and minima across all block sizes were positive (except the minima block size of 252 for NSE20, FTSE/JSE Top40 and S&P500 and the maxima block sizes of 21 and 252 for FTSE/JSE Top40). To evaluate the performance of the models under each block size, firstly, the KS and AD test were conducted for both maxima and minima for all block sizes. The results from the GoF tests produced p-values greater than 0.05, for both the maxima and minima of all indices. This indicates that a Fréchet-type GEVD is an appropriate model. In addition, an average based on the AIC and BIC tests was then used for model comparison ranking them 1st (best) to 3rd (worst); these values are in square brackets in Table 6, Table 7 and Table 8. The results of these average ranks suggest the monthly block size (21) is the most appropriate block for better model fits in all three financial assets under investigation. The tail behaviour of the best models was revisited and both the maxima and minima of NSE20 and S&P500 showed positive parameters, indicating that a heavy-tailed distribution like Fréchet would be appropriate to model their tail. For FTSE/JSE Top40, both the maxima and minima shape parameters were negative, and this suggests that a lighter tailed distribution like Weibull might be appropriate to model their tail.
The model diagnostics for the GEVD is discussed in Appendix A.

3.6. Generalised Pareto Distribution (GPD)

An illustration of how the thresholds were estimated using PoT is provided in Appendix A.2. Table 9, Table 10 and Table 11 show the GPD parameter estimates for the gains and losses of NSE20, FTSE/JSE Top40, and S&P500, respectively. Adopting the PoT methodology, the GPD models were fitted to the gains and losses exceedances for all three sets. These exceedances were selected using the optimal threshold values from the Hill plot. The results show that all the parameters were statistically significant at the 5% level. Moreover, the shape parameters of both gains and losses of NSE20 and S&P500 were positive, which suggests that heavy-tailed distributions are appropriate for these datasets. On the other hand, the shape parameters of both the gains and losses of FTSE/JSE Top40 were negative, which suggests that a distribution with a finite/bounded tail might be appropriate. To evaluate the performance of the models, firstly, the KS and AD tests were conducted for gains and losses of all datasets. The results from the GoF tests produced p-values greater 0.05, for both the gains and losses of all indices. This confirms that the heavy-tailed GPD model is appropriate for explaining the tail behaviour of our data. In addition, the AIC and BIC tests were also conducted for comparing the adequacy of the GPD model on gains verses losses for our financial assets.
The model diagnostics for the GPD is discussed in Appendix A.

3.7. Financial Risk Measures

The performance of the extreme value distributions (GEVD and GPD) explored in this study was evaluated for risk measures on all three datasets under investigation (NSE20, FTSE/JSE Top40, and S&P5000); Table 12 and Table 13 compare each distribution’s VaR and TVaR for the tails against the empirical values for the GEVD and GPD models, respectively. The fit of the theoretical models is therefore assessed by comparing the empirical risk estimates to the theoretical risk estimates. Moreover, the empirical distribution is used as a benchmark “model,” and deviations of the theoretical VaR and TVaR estimates from empirical values are shown in Table 12 and Table 13. The percentage deviation for both VaR and TVaR are computed using Equations (34) and (35), respectively:
% d e v i a t i o n   V a R = ( V a R T h e o r e t i c a l V a R E m p i r i c a l ) V a R E m p i r i c a l
% d e v i a t i o n   T V a R = ( T V a R T h e o r e t i c a l T V a R E m p i r i c a l ) T V a R E m p i r i c a l .
Before we begin our analysis of the risk metrics in Table 12 and Table 13, it is important to note that all the values in these tables are already interpreted as percentages. In Section 2, we defined VaR as the maximum amount of money that may be lost on a portfolio over a given period of time, with a given level of confidence and TVaR expected loss if the loss exceeds VaR (Sweeting, 2011). Conversely, the same interpretations can be extended to gains, where VaR is the maximum amount of money that may be gained on a portfolio and TVaR is the potential expected gains beyond VaR. In this research, we investigated the behaviour of both the right and left tails of our financial assets, assessing the associated tails risk at 95%, 99%, and 99.5% confidence levels. Firstly, for the GEVD, we refer to the right tail (gains) and left tail (losses) as maxima and minima, respectively. Secondly, interpreting the VaR and TVaR simultaneously for NSE20 maxima at a 95% level is as follows: VaR is 3.7542 while TVaR is 5.5013, and this implies that 95% of the time, the NSE20 index is not expected to make monthly gains above 3.7542%; however, if this monthly gain is exceeded, then the expected monthly gain is 5.5013%. Similarly, for the NSE20 minima, the VaR (3.595) and TVaR (4.362) values at 95% imply that the maximum potential monthly loss is 3.595%, with an expected shortfall of 4.362% thereafter. Moreover, the deviations of VaR and TVaR from the empirical values were 4.61% and −15.96% for NSE maxima and 5.12% and −7.51% for NSE20 minima, respectively. This suggests that at a 95% level, the GEVD tends to slightly overestimate the potential gains/losses of NSE20; however, beyond the estimated VaR, the model then begins to slightly underestimate expected potential shortfalls for both gains and losses of NSE20.
Finally, for the GPD, the right and the left tails are, respectively, referred to as gains and losses; moreover, the GPD results in Table 13 can be interpreted in the same way as in the GEVD model. In Table 12 and Table 13, the VaR and TVaR percentage deviations from their empirical counterparts were also analysed for gains and losses of both the GEVD and GPD amongst the three confidence levels (95%, 99%, and 99.5%), the GPD showed the smallest percentage deviations from the empirical values for both VaR and TVaR.

4. Discussion

A broader view of financial markets across different regions has become increasingly important for assessing global risk exposure. To that end, this study extends previous work by incorporating a comparative perspective that includes not only the South African FTSE/JSE Top40 Index but also the Nairobi Securities Exchange 20 Share Index (NSE20) and the United States’ Standards and Poor’s (S&P500) Index, representing emerging and developed markets, respectively. This broader scope allows for a more comprehensive analysis of tail risk behaviour across distinct economic environments. To address this research gap, this study explored the GARCH-EVT hybrid models (also known as Conditional EVT models) to assess and compare the financial risk associated with these three equity markets.
The analysis is separated into three main parts. In the first part, the objective was to choose the best model among the selected GARCH-family models that best fit our data; in the second part, the objective was to apply the EVT methodologies on residuals of the selected GARCH models in part 1, using both extreme models GEVD and GPD. In parts 1 and 2, a combination of the degree of asymmetry, kurtosis, and the GoF measures were collectively used to justify the final choice distribution for the gains and losses of all three datasets separately. Lastly, in the third part, an in-depth comparative assessment was conducted on the effectiveness of EVT in modelling market risk in the emerging markets versus the developed markets. Based on these frameworks, the results were then carefully reviewed, and the following conclusions were drawn thereof.
Part 1
  • Autocorrelation tests were conducted on all the returns prior to fitting the models, and the results from these tests confirmed the presence of both the ARCH effect and volatility clustering on the returns, providing evidence for the importance of applying ARCH and GARCH-family models to financial data.
  • Among the GARCH models and corresponding error distribution, the best fit for NSE20 returns was the standard GARCH (1,1) with Student-t errors. This suggests volatility clustering is symmetric, and the fat tails of the student-t distribution capture heavy-tailed NSE 20 returns better than the normal. For both the FTSE/JSE Top40 and S&P500 returns series, the APARCH (1,1), was the most suitable GARCH model, with the skewed GED errors and Student-t errors, respectively. This implies that the volatility dynamics of both these indices’ returns are asymmetric, and their return distributions are fat-tailed and skewed.
  • A diagnostic assessment of the residuals of all three best fitting models was conducted, and no evidence of volatility clustering was found in all the indices, indicating the success of the chosen GARCH models in filtering out volatility clustering.
Part 2
The standard residuals from the selected best fitting GARCH models were extracted and the EVT models were then fitted to these standard residuals.
  • Firstly, for the GEVD model, the return series represented gains while losses were represented by the negative of the same return series and were analysed separately. In line with block maxima methodology, three block sizes (21, 63 and 252) were chosen, corresponding to monthly, quarterly and yearly trading days, respectively. The GEVD model was then fitted to the different block sizes of maxima and minima for all datasets. Additionally, the performance of these models was ranked using AIC and BIC values and all the models with monthly block sizes were the best performing on both the maxima and minima of all three indices.
  • Lastly, for the GPD model, the extracted standardised residuals for each dataset were separated into gains (positive) and losses (negative) and analysed separately. Following the PoT method, two threshold selection methods (MRL plots and Hill plots) were considered; however, the Hill plots offered slightly better threshold values with sufficiently high number of exceedances. As a result, the threshold values from the Hill plots were ultimately used to fit the GPD model to the gains and losses of all datasets. Moreover, an assessment of the fit was conducted using both diagnostic plots and GoF statistics (KS and AD), and the GPD models fit the data well.
Part 3
 i.
NSE20 (Emerging Market)
The NSE20 index exhibited heavy tails together with moderate tail risk characteristics relative to the other indices; however, important differences emerged between GEVD and GPD behaviour.
  • GEVD maxima/minima:
    The GEVD produced reasonably accurate risk estimates at the 95% confidence level but began to show increasing deviations from empirical VaR and TVaR at 99% and 99.5%. For NSE20 maxima, GEVD tend to overestimate VaR while underestimating TVaR; this implies that for large gains, the model becomes conservative at the threshold VaR, but optimistic beyond it. For minima, similar behaviour occurred, with notable underestimation of extreme shortfall risk at high confidence levels.
  • GPD gains/losses:
    The GPD produced very small VaR and TVaR deviations (often below 1–3%), demonstrating high stability in modelling both positive and negative extremes of NSE20 residuals. This consistency reinforces the suitability of the PoT framework for emerging-market data where sample sizes are smaller and tail events occur irregularly.
  • Implication for emerging-market practitioners:
    For NSE20, EVT models, and particularly the GPD, allow portfolio managers and regulators to quantify extreme downside exposure more accurately than traditional models. Reliable tail estimates assist in stress testing and determining appropriate capital reserves in a market where volatility and liquidity constraints make extreme movements more costly for investors.
 ii.
FTSE/JSE Top40 (Emerging Market)
The FTSE/JSE Top40 index demonstrated a more stable tail behaviour relative to the NSE20, with both EVT models showing more controlled deviations and suggesting a comparatively more predictable extreme value structure within the South African market.
  • GEVD maxima/minima:
    The GEVD model performed reasonably well for both tails across most confidence levels, suggesting lighter tails and also producing low deviations for both maxima and minima. Although performance declined slightly at higher quantiles (99.5%), these deviations remained modest relative to the NSE20 and S&P500.
  • GPD gains/losses:
    As with the NSE20, the GPD delivered consistently accurate VaR and TVaR estimates for the FTSE/JSE Top40 index, with deviations typically below 2%. This reinforces the robustness of the PoT approach even in markets with asymmetric volatility dynamics and skewed return distributions. Moreover, an assessment of the tails revealed that a distribution with finite tails might be appropriate.
  • Implication for emerging-market practitioners:
    The FTSE/JSE Top40 results show that GPD-based EVT risk metrics can be used confidently for portfolio optimisation, tail risk budgeting, and regulatory capital calculation in advanced emerging markets. Policymakers may use these stable tail estimates to benchmark systemic risk resilience, support stress-test frameworks, and enhance early-warning indicators for market disruptions.
 iii.
S&P500 (Developed Market)
The S&P500 index displayed the most pronounced contrast between the two EVT models, highlighting why tail-risk modelling in developed markets requires careful selection of the appropriate EVT method. Additionally, an assessment of the tails showed that heavy-tailed distributions might be appropriate for modelling the tail behaviour of S&P500.
  • GEVD maxima/minima:
    The GEVD showed substantial instability, especially in the left tail (losses) at the 99% and 99.5% confidence levels. Deviations in VaR and TVaR were extremely large, with TVaR deviations exceeding 30–90% for minima. This reflects the difficulty of fitting a block-maxima model to a market characterised by structural breaks, crisis periods, and extremely fat-tailed downside events.
  • GPD gains/losses:
    In contrast, the GPD once again produced stable and accurate tail estimates, with VaR/TVaR deviations mostly within 1–6%. Even for the heavy-tailed S&P500 losses, the GPD captured the tail dynamics far more reliably than the GEVD.
  • Implication for developed-market practitioners:
    For a highly liquid and globally integrated market like the S&P500, EVT models, particularly the GPD, provide critical tools for systemic-risk monitoring, allocating liquidity reserves and evaluating extreme market contagion risk. Portfolio managers benefit from more precise expected-shortfall measures, particularly under stress-regime conditions where traditional Gaussian assumptions severely understate risk.
 iv.
Cross-market interpretation and practical implications
Across the NSE20, FTSE/JSE Top40, and S&P500, a clear pattern emerges:
  • GPD consistently outperforms GEVD in modelling both gains and losses, regardless of market classification.
  • GEVD accuracy deteriorates rapidly at ultra-high confidence levels (99–99.5%), especially in developed markets where tail risks are stronger and more nonlinear.
  • Emerging markets (NSE20 and JSE) show less extreme divergence between empirical and theoretical results compared to the S&P500 left tail but still benefit heavily from GPD’s superior precision.
  • For practical decision-making:
    Portfolio managers gain more reliable tail-risk metrics for asset allocation, hedging and position sizing.
    Regulators can incorporate EVT-based VaR/TVaR into capital adequacy guidelines, replacing or supplementing Gaussian-based models that underestimate systemic risk.
    Policymakers in emerging markets can identify vulnerabilities to extreme movements, design targeted interventions, and build resilient financial-stability frameworks informed by accurate tail-risk measures.

5. Concluding Remarks

This research contributes to the field of extreme value analysis and financial market risk modelling by demonstrating the effectiveness of the hybrid GARCH-EVT approach, especially when conducting comparative analysis across different markets. The FTSE/JSE Top40 index demonstrated a more stable tail behaviour than the NSE20 index, which exhibited moderate behaviour. However, the S&P500 index displayed the most pronounced contrast between the GPD and GEVD models, highlighting why tail-risk modelling in developed markets requires careful selection of the appropriate EVT method. The results indicate that for GEVD, the maxima and minima return of block size 21 yield the best fit for all indices. For GPD, Hill’s plot gave higher exceedances and was ultimately used for threshold selection across all indices. Overall, GPD consistently outperforms GEVD in modelling both gains and losses, regardless of market classification.
Future research should consider more GARCH models for improved volatility filtering (especially for the S&P500 returns) and also consider other tail distributions (Student-t, Reverse Gumbel, and Log-normal) for an improved modelling of the tails. Next, the current study can be extended to more complex hybrid models, say, similar to that of Makatjane and Moroke (2021); i.e., a logistic model tree incorporating a seasonal autoregressive integrated moving average with a Markov-switching process that uses a GARCH-EVT model. The scope of this research is mainly to model the behaviour of historical extreme events and not to perform predictive modelling. Thus, this can be analysed differently by assessing the predictive power of EVT models vs. traditional Gaussian models, and thereafter, applying backtesting on risk measures to measure their accuracy.

Supplementary Materials

The following supporting information can be downloaded at: https://www.mdpi.com/article/10.3390/ijfs14010011/s1, R code used to reproduce the results in this paper is included as a supplementary file.

Author Contributions

Conceptualization, S.D. and S.C.S.; Methodology, S.D. and S.C.S.; Software, S.D.; Validation, S.D. and S.C.S.; Formal analysis, S.D.; Investigation, S.D.; Resources, S.C.S.; Data curation, S.D.; Writing—original draft, S.D.; Writing—review and editing, S.C.S.; Visualisation, S.D.; Supervision, S.C.S.; Project administration, S.C.S. All authors have read and agreed to the published version of the manuscript.

Funding

This research received no external funding.

Institutional Review Board Statement

Not applicable.

Informed Consent Statement

Not applicable.

Data Availability Statement

The original data presented in the study are openly available in [Investing.com] at [www.investing.com] or can be directed to the corresponding author.

Conflicts of Interest

The authors declare no conflicts of interest.

Appendix A

Appendix A.1. Block Maxima Approach

A fundamental aspect of fitting a GEVD under the block maxima approach involves the selection of an appropriate block size, n . While there is currently no consensus on the optimal way to determine block size, it is, however, standard practice to explore various block sizes and compare the outputs from each block size for enhanced quality of the results. This study examines the behaviour of both the right and the left tails of the return distribution, and an important consideration when applying the block maxima to financial data is that we use the returns (standard residuals), r t , to model the right tail, while the left tail is modelled using the negated returns (standard residuals), r t ^ = r t .
Figure A1, Figure A2 and Figure A3 show the monthly block maxima and minima data points for all three indices (NSE, FTSE/JSE Top40, and S&P500). The monthly block sizes struck a good balance of sufficient data points for significant model fits and an adequate extreme values sample across all three indices.
Figure A1. Monthly block maxima and minima of daily returns for NSE20.
Figure A1. Monthly block maxima and minima of daily returns for NSE20.
Ijfs 14 00011 g0a1
Figure A2. Monthly block maxima and minima of daily returns for FTSE/JSE Top40.
Figure A2. Monthly block maxima and minima of daily returns for FTSE/JSE Top40.
Ijfs 14 00011 g0a2
Figure A3. Monthly block maxima and minima of daily returns for S&P500.
Figure A3. Monthly block maxima and minima of daily returns for S&P500.
Ijfs 14 00011 g0a3

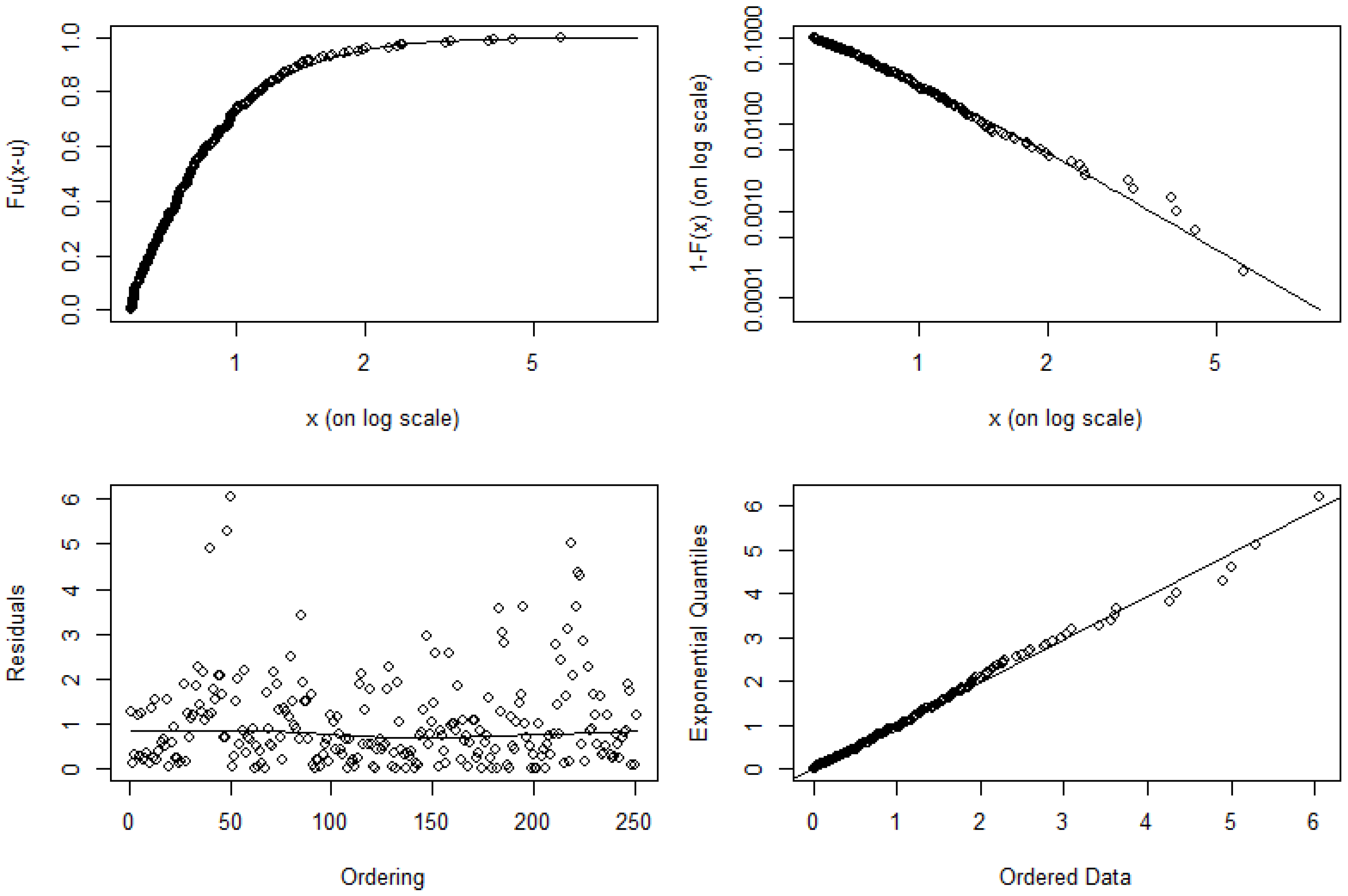
Appendix A.2. Peak-over-Threshold (PoT)

The work of Pickands (1975) discussed in Section 2 highlights the important connection between exceedances and the GPD model. This connection, established through the selection of an appropriate threshold, forms the foundation of the PoT approach. Its importance in extreme value modelling has motivated extensive research into effective methods for threshold determination. In this study, two approaches to threshold selection are applied: Mean Residual Life (MRL) plots and the Hill plots. The methodology explored in this section proceeds as follows: the returns (standardised residuals) are divided into two groups, negative returns (losses) and positive returns (gains). Each group is then analysed separately using the two threshold selection methods; after the appropriate thresholds are identified, the GPD model is then fitted to the gains and losses of all three datasets.
Figure A4 and Figure A5 illustrate the graphical threshold selection methods utilised in this study, namely MRL plots and the Hill plots, respectively. These methods were applied on the gains and losses of all our datasets, and careful examination of the results revealed that both these methods gave similar threshold values. In line with the finding of Mosala et al. (2024), the Hill plot methods appeared to have a small advantage over the MRL plot methods, giving sufficient large data points for all three indices.
Figure A4. MRL plots to estimate the threshold value for the gains (left) and losses (right) of the NSE20, FTSE/JSE Top40, and S&P500.
Figure A4. MRL plots to estimate the threshold value for the gains (left) and losses (right) of the NSE20, FTSE/JSE Top40, and S&P500.
Ijfs 14 00011 g0a4
Figure A5. Hill plots to estimate the threshold value for the gains (left) and losses (right) of the NSE20, FTSE/JSE Top40, and S&P500.
Figure A5. Hill plots to estimate the threshold value for the gains (left) and losses (right) of the NSE20, FTSE/JSE Top40, and S&P500.
Ijfs 14 00011 g0a5

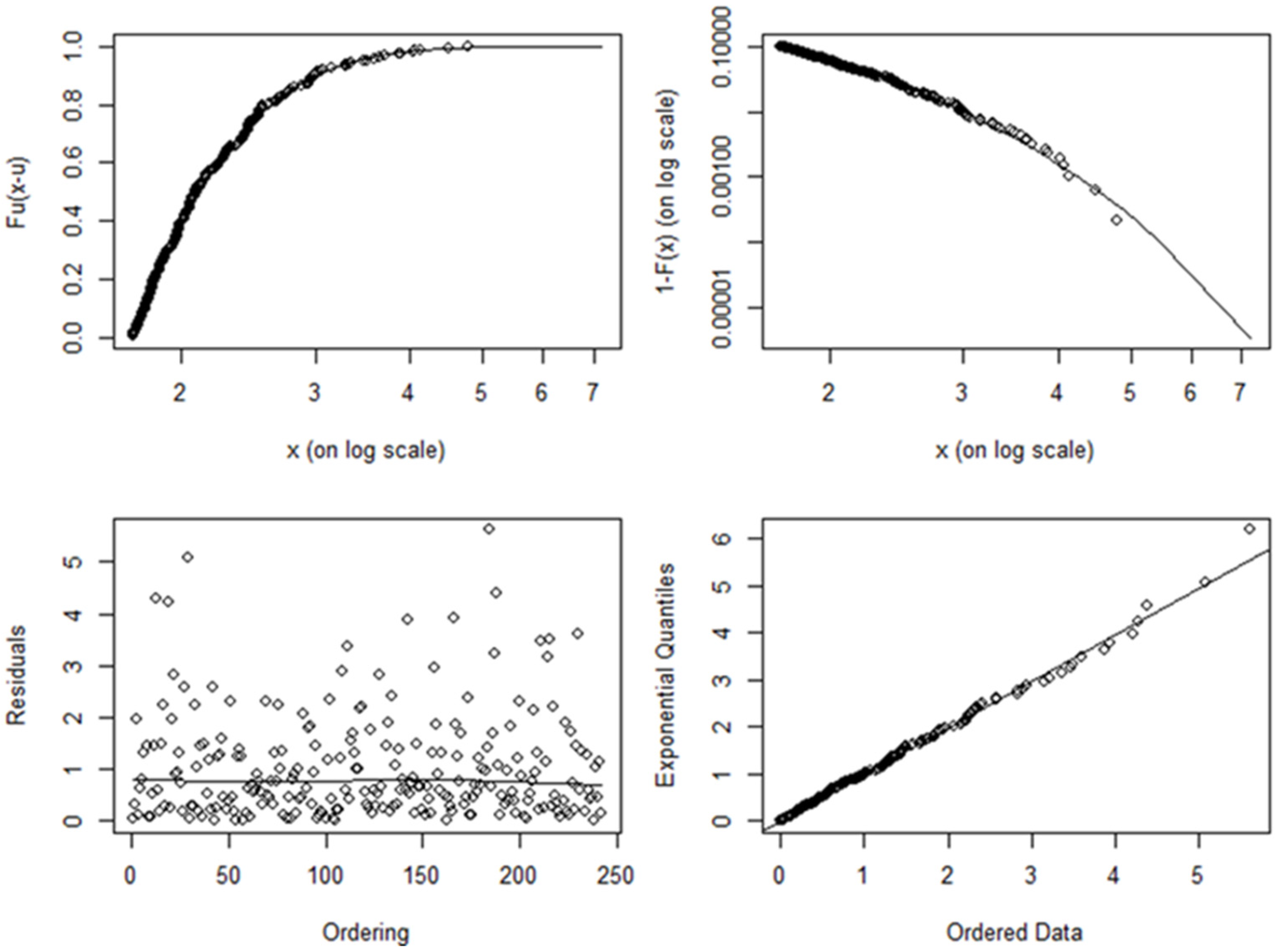
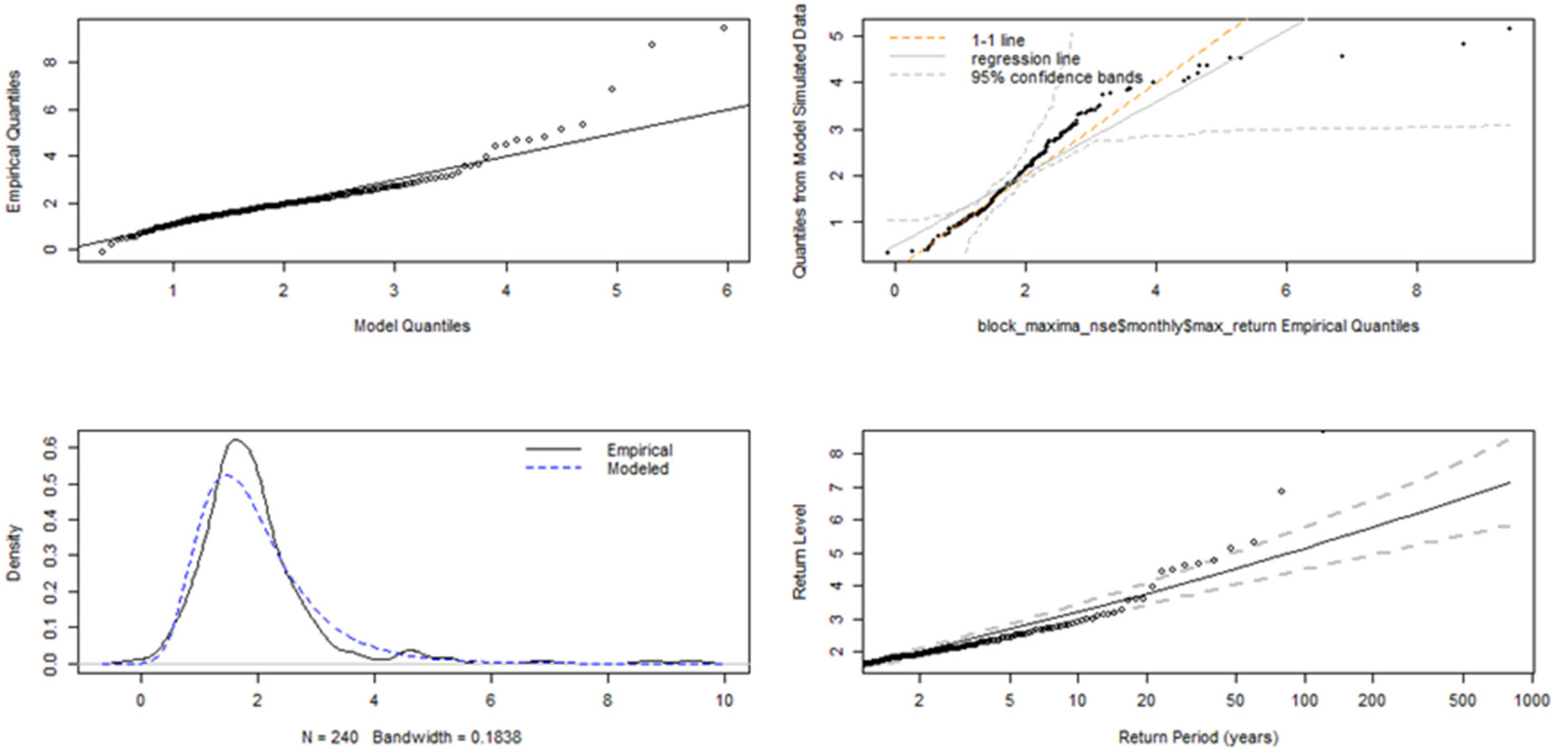
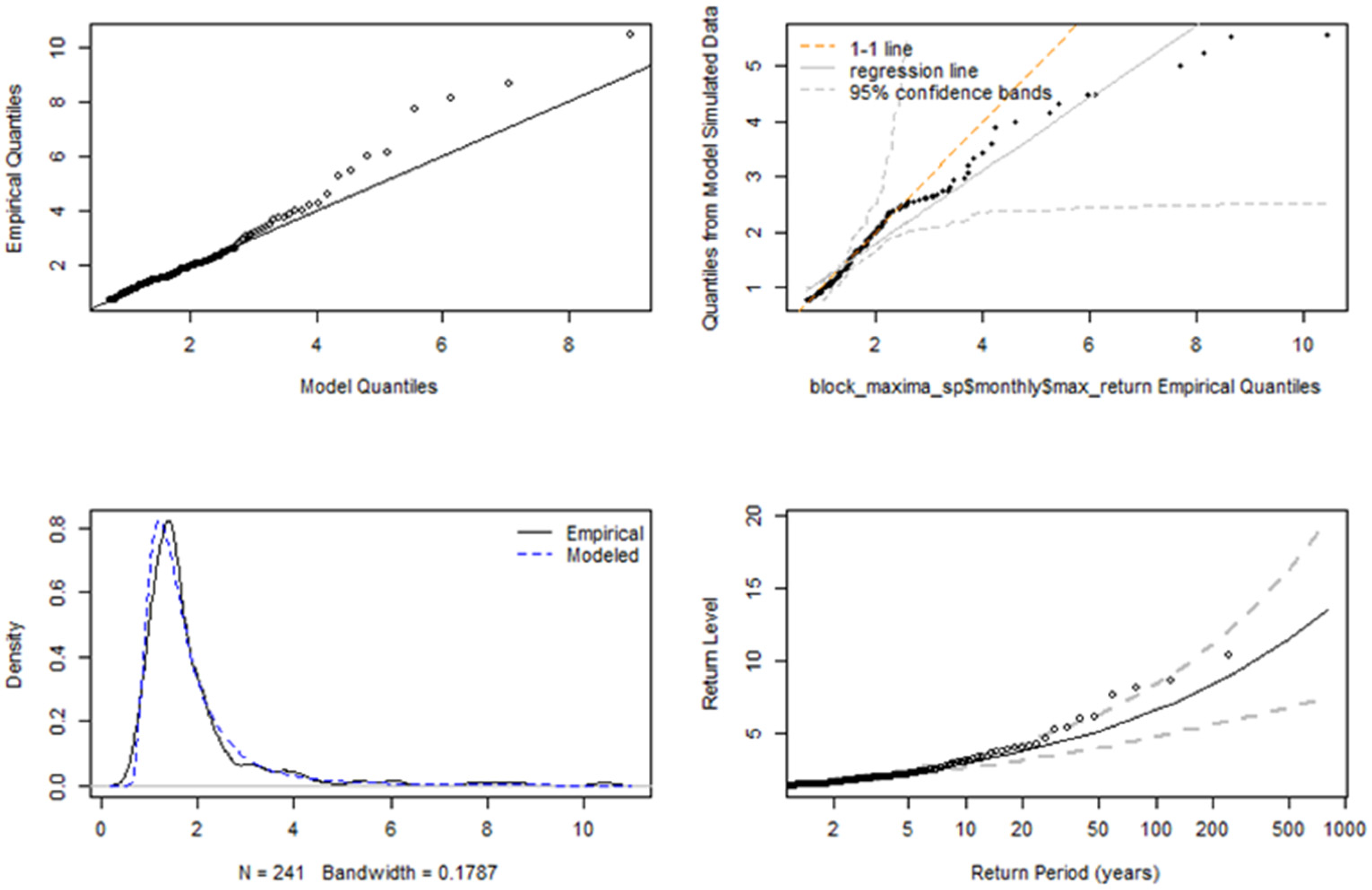
Appendix A.3. Model Diagnostics

In this section, the assessment of GoF, and maxima and minima diagnostics plots (i.e., the density plot, Q-Q plot, return level, and density plot) are computed for all block sizes. An examination of all the diagnostic plots is conducted; however, Figure A6, Figure A7, Figure A8, Figure A9, Figure A10 and Figure A11 only show the monthly maxima and minima. These diagnostic plots can be interpreted as follows. For example, for the NSE20 returns, the Q-Q plots for both monthly maxima and minima show points that have a linear trend and are very close to the 45 degree line. A comparison of the empirical versus model density plots shows the maxima model density to have a slightly lower peak than the empirical density; however, for the minima, the empirical and model densities are consistent. The return level plots show the return period against the return level together with an estimated 95% confidence interval.
Overall, the Fréchet-type GEVD seems to fit the NSE20 return maxima and minima quite well for all block sizes, although this precision decreases as the block size increases. Additionally, these results complemented the numerical analysis conducted in the main text which recommend the Fréchet-type GEVD and monthly block size as the most suited combination for modelling the tails of the returns of our datasets. The residual diagnostic plots for FTSE/JSE Top40 and S&P500 (Figure A8, Figure A9, Figure A10 and Figure A11) can be interpreted in a similar manner.
Figure A6. Model diagnostic for NSE20 monthly block maxima.
Figure A6. Model diagnostic for NSE20 monthly block maxima.
Ijfs 14 00011 g0a6
Figure A7. Model diagnostic for NSE20 monthly block minima.
Figure A7. Model diagnostic for NSE20 monthly block minima.
Ijfs 14 00011 g0a7
Figure A8. Model diagnostic for FTSE/JSE Top40 monthly block maxima.
Figure A8. Model diagnostic for FTSE/JSE Top40 monthly block maxima.
Ijfs 14 00011 g0a8
Figure A9. Model diagnostic for FTSE/JSE Top40 monthly block minima.
Figure A9. Model diagnostic for FTSE/JSE Top40 monthly block minima.
Ijfs 14 00011 g0a9
Figure A10. Model diagnostic for S&P500 monthly block maxima.
Figure A10. Model diagnostic for S&P500 monthly block maxima.
Ijfs 14 00011 g0a10
Figure A11. Model diagnostic for S&P500 monthly block minima.
Figure A11. Model diagnostic for S&P500 monthly block minima.
Ijfs 14 00011 g0a11
Similarly to the GEVD case, a comprehensive assessment of model adequacy was conducted under the GPD; diagnostics plots (excess distribution, tail of underlying distribution, scatterplot of residuals, and QQ plot of residuals) were computed for the gains and losses of all three datasets. The latter mentioned diagnostic plots are illustrated in Figure A12, Figure A13, Figure A14, Figure A15, Figure A16 and Figure A17. From the diagnostic plots, it is observed that the GPD model is appropriate in explaining the tail behaviour of our financial indices. Moreover, these observations were found to be consistent with the numerical GoF results.
Figure A12. Diagnostic plots for NSE20 gains.
Figure A12. Diagnostic plots for NSE20 gains.
Ijfs 14 00011 g0a12
Figure A13. Diagnostic plots for NSE20 losses.
Figure A13. Diagnostic plots for NSE20 losses.
Ijfs 14 00011 g0a13
Figure A14. Diagnostic plots for FTSE/JSE Top40 gains.
Figure A14. Diagnostic plots for FTSE/JSE Top40 gains.
Ijfs 14 00011 g0a14
Figure A15. Diagnostic plots for FTSE/JSE Top40 losses.
Figure A15. Diagnostic plots for FTSE/JSE Top40 losses.
Ijfs 14 00011 g0a15
Figure A16. Diagnostic plots for S&P500 gains.
Figure A16. Diagnostic plots for S&P500 gains.
Ijfs 14 00011 g0a16
Figure A17. Diagnostic plots for S&P500 losses.
Figure A17. Diagnostic plots for S&P500 losses.
Ijfs 14 00011 g0a17

References

  1. Ait-Sahalia, Y., Fan, J., & Li, Y. (2013). The leverage effect puzzle: Disentangling sources of bias at high frequency. Journal of Financial Economics, 109(1), 224–249. [Google Scholar] [CrossRef]
  2. Avdulaj, K. (2011). The extreme value theory as a tool to measure market risk. Charles University in Prague, Institute of Economic Studies (IES), Prague (No. 26/2011). Available online: https://hdl.handle.net/10419/83384 (accessed on 15 January 2025).
  3. Bakali, H., Serhir, N., & Aouiche, I. (2021). Comparison between maximum annual and peak over threshold methods for the determination of extreme waves in Moroccan Atlantic Coast. IOP Conference Series: Earth and Environmental Science, 849(1), 012002. [Google Scholar] [CrossRef]
  4. Beirlant, J., Goegebeur, Y., Segers, J., & Teugels, J. L. (2004). Statistics of extremes: Theory and applications. John Wiley & Sons. [Google Scholar] [CrossRef]
  5. Benito, S., López-Martín, C., & Navarro, M. Á. (2023). Assessing the importance of the choice threshold in quantifying market risk under the POT approach (EVT). Risk Management, 25(1), 6. [Google Scholar] [CrossRef]
  6. Best, P. (2000). Implementing value at risk. John Wiley & Sons. ISBN 978-0-470-86596-5. [Google Scholar]
  7. Bollerslev, T. (1986). Generalized autoregressive conditional heteroskedasticity. Journal of Econometrics, 31(3), 307–327. [Google Scholar] [CrossRef]
  8. Cervantes, M. Á. N., Benito, S., & López-Martín, C. (2024). Assessing the performance of the block maxima method in estimating market risk. PsyArXiv. [Google Scholar] [CrossRef]
  9. Chauhan, G. S. (2011). Modelling of extreme market risk using extreme value theory (EVT): An empirical exposition for Indian and global stock indices. Indore Management Journal, 3(1), 23–33. [Google Scholar]
  10. Chege, C. K., Mungat’u, J. K., & Ngesa, O. (2016). Estimating the extreme financial risk of the Kenyan Shilling versus US Dollar exchange rates. Science Journal of Applied Mathematics and Statistics, 4(6), 249–255. [Google Scholar] [CrossRef][Green Version]
  11. Chernobai, A. S., Rachev, S. T., & Fabozzi, F. J. (2007). Operational risk: A guide to Basel II capital requirements, models, and analysis. John Wiley & Sons. [Google Scholar] [CrossRef]
  12. Chikobvu, D., & Jakata, O. (2020). Analyzing extreme risk in the South African Financial Index (J580) using the generalized extreme value distribution. Statistics, Optimization & Information Computing, 8(4), 915–933. [Google Scholar] [CrossRef]
  13. Chikobvu, D., & Jakata, O. (2023). Quantifying diversification effects of a portfolio using the generalised extreme value distribution-Archimedean Gumbel Copula model. Applied Mathematics & Information Sciences, 17(6), 967–981. [Google Scholar] [CrossRef]
  14. Chikobvu, D., & Ndlovu, T. (2023). The generalised extreme value distribution approach to comparing the riskiness of BitCoin/US Dollar and South African Rand/US Dollar returns. Journal of Risk and Financial Management, 16(4), 253. [Google Scholar] [CrossRef]
  15. Chinhamu, K., Huang, C. K., & Chikobvu, D. (2017). Evaluating risk in precious metal prices with generalized lambda, generalised Pareto and generalized extreme value distributions. South African Statistical Journal, 51(1), 159–182. [Google Scholar] [CrossRef]
  16. Coles, S. (2001). An introduction to statistical modeling of extreme values. Springer. ISBN 1-85233-459-2. [Google Scholar]
  17. Danielsson, J., & De Vries, C. G. (2000). Value-at-risk and extreme returns. Annales d’Economie et de Statistique, 239–270. [Google Scholar] [CrossRef]
  18. De Dieu, N. J., Mwita, N. P., & Mung’atu, N. J. (2014). Estimation of extreme value at risk in Rwanda exchange rate. European Journal Statistics and Probability, 2(3), 14–22. [Google Scholar] [CrossRef]
  19. Ding, Z., Granger, C. W., & Engle, R. F. (1993). A long memory property of stock market returns and a new model. Journal of Empirical Finance, 1(1), 83–106. [Google Scholar] [CrossRef]
  20. Echaust, K., & Just, M. (2020). Value at risk prediction in the tail of conditional distribution: The hybrid GARCH-EVT approach with optimal tail selection. Mathematics, 8(1), 114. [Google Scholar] [CrossRef]
  21. Edem, K. D., & Ndengo, M. (2021). Modelling bank of Kigali stock risks in Rwanda stock exchange using extreme value distribution. Journal of Financial Risk Management, 10, 225–240. [Google Scholar] [CrossRef]
  22. Engle, R. F. (1982). Autoregressive conditional heteroscedasticity with estimates of the variance of United Kingdom inflation. Econometrica, 50(4), 987–1007. [Google Scholar] [CrossRef]
  23. FTSE Russell. (2025). FTSE/JSE Africa index series—Factsheet. Available online: https://www.ftserussell.com (accessed on 10 September 2025).
  24. Glosten, L. R., Jagannathan, R., & Runkle, D. E. (1993). On the relation between the expected value and the volatility of the nominal excess return on stocks. Journal of Finance, 48(5), 1779–1801. [Google Scholar] [CrossRef]
  25. Heine, B. O., Meyer, M., & Strangfeld, O. (2005). Stylised facts and the contribution of simulation to the economic analysis of budgeting. Journal of Artificial Societies and Social Simulation, 8(4). [Google Scholar]
  26. Hussain, S. I., Masseran, N., Ruza, N., & Safari, M. A. M. (2021). Predicting extreme returns of Bitcoin: Extreme value theory approach. Journal of Physics: Conference Series, 1988, 012091. [Google Scholar] [CrossRef]
  27. Jakata, O., & Chikobvu, D. (2019). Modelling extreme risk of the South African financial index (J580) using the generalised Pareto distribution. Journal of Economic and Financial Sciences, 12(1), 1–7. [Google Scholar] [CrossRef][Green Version]
  28. Jakata, O., & Chikobvu, D. (2022). Extreme value modelling of the monthly South African industrial index (J520) returns. Statistics, Optimization & Information Computing, 10(2), 383–400. [Google Scholar] [CrossRef]
  29. J.P. Morgan & Co. (1996). Risk Metrics—Technical document (4th ed.). J.P. Morgan & Co. Incorporated. [Google Scholar]
  30. Këllezi, E., & Gilli, M. (2000). Extreme value theory for tail-related risk measures. Available online: https://core.ac.uk/reader/7183010 (accessed on 21 February 2024).
  31. Kiragu, K., & Mung’atu, J. K. (2016). Extreme values modelling of Nairobi securities exchange index. American Journal of Theoretical and Applied Statistics, 5(4), 229–234. [Google Scholar] [CrossRef]
  32. Klugman, S. A., Panjer, H. H., & Willmot, G. E. (2019). Loss models: From data to decisions (5th ed.). Wiley. ISBN 978-1-119-52378-9. [Google Scholar]
  33. Li, L. (2017). A comparative study of GARCH and EVT model in modeling value-at-risk. Journal of Applied Business and Economics, 19(7), 27–48. [Google Scholar]
  34. Makatjane, K. (2019). Extreme value theory as a financial risk measure of the South African stock market [Doctoral dissertation, North-West University]. [Google Scholar]
  35. Makatjane, K., & Moroke, N. (2021). Predicting extreme daily regime shifts in financial time series exchange/Johannesburg stock exchange—All share index. International Journal of Financial Studies, 9(2), 18. [Google Scholar] [CrossRef]
  36. Makatjane, K., & Moroke, N. (2022). Examining stylized facts and trends of FTSE/JSE TOP40: A parametric and nonparametric approach. Data Science in Finance and Economics, 2(3), 294–320. [Google Scholar] [CrossRef]
  37. Marambakuyana, W. A., & Shongwe, S. C. (2024a). Composite and mixture distributions for heavy-tailed data—An application to insurance claims. Mathematics, 12(2), 335. [Google Scholar] [CrossRef]
  38. Marambakuyana, W. A., & Shongwe, S. C. (2024b). Quantifying risk of insurance claims data using various loss distributions. Journal of Statistics Applications & Probability, 13(3), 1031–1044. [Google Scholar] [CrossRef]
  39. Mosala, R., Rachuene, K. A., & Shongwe, S. C. (2024). Most suitable threshold method for extremes in financial data with different volatility levels. In ITM web of conferences (Vol. 67, p. 01033). EDP Sciences. [Google Scholar] [CrossRef]
  40. Mushori, P., & Chikobvu, D. (2024). Modelling extreme tail risk of Bitcoin returns using the generalised Pareto distribution. In I. I. Miciula (Ed.), Cryptocurrencies—Financial technologies of the future (Working Title). IntechOpen. [Google Scholar] [CrossRef]
  41. Nelson, D. B. (1991). Conditional heteroskedasticity in asset returns: A new approach. Econometrica, 59(2), 347–370. [Google Scholar] [CrossRef]
  42. Nortey, E. N. N., Asare, K., & Mettle, F. O. (2015). Extreme value modelling of Ghana stock exchange index. Springer Plus, 4(1), 696. [Google Scholar] [CrossRef]
  43. Okumu, A. B., Olweny, T., & Muturi, W. (2021). Theoretical review of effect of firm specific factors on performance of initial public offering stocks at the Nairobi securities exchange in Kenya. Available online: http://41.89.101.166:8080/handle/123456789/11084 (accessed on 10 September 2025).
  44. Omari, C. O., Mwita, P. N., & Waititu, A. G. (2017). Using conditional extreme value theory to estimate value-at-risk for daily currency exchange rates. Journal of Mathematical Finance, 7(4), 846–870. [Google Scholar] [CrossRef][Green Version]
  45. Park, M. H., & Kim, J. H. (2016). Estimating extreme tail risk measures with generalized Pareto distribution. Computational Statistics & Data Analysis, 98, 91–104. [Google Scholar] [CrossRef]
  46. Pickands, J., III. (1975). Statistical inference using extreme order statistics. The Annals of Statistics, 3(1), 119–131. [Google Scholar] [CrossRef]
  47. Quintino, F. S., Oliveira, M., Rathie, P. N., Ozelim, L. C. S. M., & da Fonseca, T. A. (2023). Asset selection based on estimating stress–strength probabilities: The case of returns following three-parameter generalized extreme value distributions. AIMS Mathematics, 9(1), 2345–2368. [Google Scholar] [CrossRef]
  48. Rice, J. A., & Rice, J. A. (2007). Mathematical statistics and data analysis (Vol. 371). Thomson/Brooks/Cole. [Google Scholar]
  49. Singh, A. K., Allen, D. E., & Robert, P. J. (2012). Extreme market risk and extreme value theory. Mathematics and Computers in Simulation, 94, 310–328. [Google Scholar] [CrossRef]
  50. Smith, R. L. (1985). Maximum likelihood estimation in a class of non-regular cases. Biometrika, 72(1), 67–90. [Google Scholar] [CrossRef]
  51. Soltane, H. B., Karaa, A., & Bellalah, M. (2012). Conditional VaR using GARCH-EVT approach: Forecasting volatility in Tunisian financial market. Journal of Computations & Modelling, 2(2), 95–115. [Google Scholar]
  52. S&P Dow Jones Indices. (2025). S&P 500® factsheet. Available online: https://www.spglobal.com/spdji (accessed on 10 September 2025).
  53. Stephenson, A. (2022). Package ‘evd’: Functions for extreme value distributions (R package version 2.3-6.1). Available online: https://cran.r-project.org/web/packages/evd/evd.pdf (accessed on 20 March 2024).
  54. Sweeting, P. (2011). Financial enterprise risk management. Cambridge University Press. ISBN 9780521111645. [Google Scholar]
  55. Wentzel, D. C., & Maré, E. (2007). Extreme value theory—An application to the South African equity market. Investment Analysts Journal, 36(66), 73–77. [Google Scholar] [CrossRef]
Figure 1. Time series plots for NSE20 (top), FTSE/JSE Top40 (middle), and S&P500 (bottom).
Figure 1. Time series plots for NSE20 (top), FTSE/JSE Top40 (middle), and S&P500 (bottom).
Ijfs 14 00011 g001
Figure 2. Returns time series plots for all three indices.
Figure 2. Returns time series plots for all three indices.
Ijfs 14 00011 g002
Figure 3. ACFs (top) and PACFs (bottom) of the returns.
Figure 3. ACFs (top) and PACFs (bottom) of the returns.
Ijfs 14 00011 g003
Figure 4. ACFs (top) and PACFs (bottom) of the squared returns.
Figure 4. ACFs (top) and PACFs (bottom) of the squared returns.
Ijfs 14 00011 g004
Figure 5. Residual QQ plots.
Figure 5. Residual QQ plots.
Ijfs 14 00011 g005
Table 1. A summary of publications on EVT probability distributions and their properties where methodology is illustrated with financial data.
Table 1. A summary of publications on EVT probability distributions and their properties where methodology is illustrated with financial data.
PublicationGARCHPDFParameter
Estimation
Goodness-of-FitRisk MeasureApplication Data
GEVDGPDOther
Cervantes et al. (2024) MLKS, AD, CVM, QQ plot, Empirical vs. Fitted CDFVaR, ESGlobal equities-S&P500 (USA), CAC40 (France), DAX30 (Germany), FTSE100 (UK), and other indices.
Mushori and Chikobvu (2024) MLAD, KSVaR, ESBitcoin returns
Mosala et al. (2024) MLMSE, QQ plot Discovery Limited, SAGB, TCRS
Chikobvu and Jakata (2023) MLQQ plotVaR, ESSA Financial Index (J580), SA Industrial Index (J520)
Chikobvu and Ndlovu (2023) MLQQ plot, PP plot, density plot, return levelVaRBitcoin/US Dollar (BTC/USD) and South African Rand/US Dollar (ZAR/USD) exchange rates
Quintino et al. (2023) MLKS Brazilian stock market-BBAS3 (Banco do Brasil), ITUB4 (Itaú Unibanco), VALE3 (Vale S.A.), and VIIA3 (Via S.A.) indices
Jakata and Chikobvu (2022) MLQQ plot, PP plot, scatter plot, residuals, return levelVaR, ESJ520
Edem and Ndengo (2021) LS, MLQQ plotVaR, ESBank of Kigali stock returns
Hussain et al. (2021) MLQQ plot-Bitcoin returns
Chikobvu and Jakata (2020) MLQQ plot, return level, density plotVaR, ESJ580
Echaust and Just (2020) MLQQ plot, mean excess plots.VaRS&P500, FTSE100, CAC40, DAX, Nikkei225, and other indices
Jakata and Chikobvu (2019) MLADVaR, ESJ580
Makatjane (2019) MLS-W, ADVaR, ES, Glue-VaRFTSE/JSE banking indices (ABSA, Capitec FNB, Nedbank, Std Bank)
Chinhamu et al. (2017) MLQQ plot, histogramsVaR, ESPrecious metals (platinum, gold, and silver) returns
Omari et al. (2017) ML-VaRFour currency exchange rates against the Kenyan Shilling
Chege et al. (2016) MLQQ plotVaR, ESKenyan Shilling/US Dollar exchange rate dataset
Kiragu and Mung’atu (2016) MLBIC, AIC, QQ plot, density plotVaR, ESNSE all share index
Nortey et al. (2015) MLQQ plot, PP plot, density plotVaR, ESGhana Stock Exchange all-shares index
De Dieu et al. (2014) ML-VaRRwanda exchange rate vs. Kenyan shilling, US Dollar, EUR, GBP
Soltane et al. (2012) MLQQ plots, LRVaR, ESTunis Stock Exchange index (Tunindex)
Singh et al. (2012) MLQQ plot, scatter plot, density plotVaR, ESS&P500, ASX-All Ordinaries (Australian) indices
Avdulaj (2011) MLEmpirical vs. Fitted CDFVaRCentral European indices: DAX, PX50 (Czech Republic), SSMI (Switzerland), ATX (Austria)
Chauhan (2011) ML, MoMBinomial testVaR, ESSENSEX, CNX NIFTY, S&P500, and FTSE100
Wentzel and Maré (2007) ML- SA FTSE/JSE Top40 index
Acronyms of Table 1: KS—Kolmogorov–Smirnov, AD—Anderson Darling, CvM—Cramer von Mises, ML—Maximum likelihood, MoM—Method of moments, LS—Least squares, VaR—Value at Risk, ES—Expected shortfall, LR—likelihood ratio, S-W—Shapiro–Wilk, AIC—Akaike Information Criterion, NSE—Nairobi Securities Exchange, SAGB—South African Government Bonds, TCRS—Transaction Capital Risk Services, S&P—Standard and Poor’s, FTSE—Financial Times Stock Exchange, UK—United Kingdom, GBP—British Pound, EUR—Euro, BIC—Bayesian Information Criterion, and CDF—Cumulative distribution Function.
Table 2. Descriptive statistics of the NSE20, FTSE/JSE Top40 and S&P500 returns.
Table 2. Descriptive statistics of the NSE20, FTSE/JSE Top40 and S&P500 returns.
DescriptiveNSE20FTSE/JSE Top40S&P500
ReturnsGainsLossesReturnsGainsLossesReturnsGainsLosses
Minimum−5.23400.00040−10.45040.00130−38.43190.00170
Maximum6.94766.94765.23399.05679.057010.450455.107355.107338.4319
Mean−0.00650.54320.54580.03800.91560.93780.03222.36072.8124
Median−0.00540.38120.38190.07440.69790.66430.13021.09961.0249
Kurtosis853.136223.62212.8642508.684512.185612.76592074.525053.457912.9614
Skewness27.37383.72272.9036−19.23172.63112.627920.15135.83633.1522
Std deviation0.80040.59810.57531.29370.86710.94334.86823.80974.4956
Variance0.64060.35780.33101.67360.75190.889823.699614.514120.2107
Table 3. Autocorrelation test output.
Table 3. Autocorrelation test output.
ReturnsSquared Returns
McLeod-Li: p-ValueLjung–Box: p-Value
NSE200.010.01
FTSE/JSE Top400.010.01
S&P5000.010.01
Table 4. Parameter estimates for best-fitting GARCH models.
Table 4. Parameter estimates for best-fitting GARCH models.
NSE 20—Standard GARCH_stdFTSE/JSE Top 40—APARCH_sgedS&P 500—APARCH_std
ParametersEstimateStd. Errort-Value P r ( > | t | ) EstimateStd. Errort-Value P r ( > | t | ) EstimateStd. Errort-Value P r ( > | t | )
μ −0.00250.00880.28170.77820.01570.01431.10180.27050.14650.006721.81370.0000
ω 0.09880.01496.636100.02380.001220.21390.00000.51070.05509.29200.0000
α 1 0.30940.03269.478000.06310.004514.14920.00000.81460.076810.60140.0000
β 1 0.53640.045911.679500.92830.0054170.87320.00000.40650.018122.43680.0000
γ 1 NANANANA0.97400.0057171.81160.00000.03160.04050.77930.4358
SkewNANANANA1.09080.086112.67010.00000.46330.05149.00690.0000
Shape5.66320.433613.061800.87050.016951.58070.00002.10000.0033645.45200.0000
Table 5. Residual autocorrelation tests.
Table 5. Residual autocorrelation tests.
Squared Residuals
Ljung–Box: p-Value
NSE200.436
FTSE/JSE Top400.1032
S&P5000.55
Table 6. Parameter estimates for monthly, quarterly, and yearly block maxima and minima for NSE20.
Table 6. Parameter estimates for monthly, quarterly, and yearly block maxima and minima for NSE20.
Block Sizeξ-Shapeβ-Scaleµ-LocationKS
p-Value
AD
p-Value
BICAICAv. Rank
GEVD maxima210.0540
(0.0302)
0.7005
(0.0344)
1.4977
(0.0489)
0.12360.0780−610.103
[1]
−599.661
[1]
[1]
630.3414
(0.0860)
0.5823
(0.0621)
2.0995
(0.0718)
0.97750.9786−213.782
[2]
−206.598
[2]
[2]
2520.5156
(0.2407)
0.8810
(0.2180)
2.9629
(0.2245)
0.7680.9407−82.229
[3]
−79.095
[3]
[3]
GEVD minima210.0396
(0.0372)
0.6548 (0.0333)1.5311 (0.0464)0.8270.768−578.098
[1]
−567.656
[1]
[1]
630.1502
(0.0822)
0.6704
(0.0641)
2.1151
(0.0834)
0.84960.9872−218.006
[2]
−218.006
[2]
[2]
252−0.0506
(0.1680)
1.1553 (0.2849)3.1600
(0.2849)
0.98310.9933−80.424
[3]
−77.290
[3]
[3]
Table 7. Parameter estimates for monthly, quarterly, and yearly block maxima and minima for FTSE/JSE Top40.
Table 7. Parameter estimates for monthly, quarterly, and yearly block maxima and minima for FTSE/JSE Top40.
Block Sizeξ-Shapeβ-Scaleµ-LocationKS
p-Value
AD
p-Value
BICAICAv. Rank
GEVD maxima21−0.06136 (0.0432)0.4354
(0.0224)
1.5602
(0.0313)
0.93860.9851−369.5427
[1]
−359.0883
[1]
[1]
630.0721
(0.0849)
0.3860
(0.0360)
1.97111
(0.0484)
0.73110.9386−121.552
[2]
−114.369
[2]
[2]
252−0.1747
(0.1495)
0.5624
(0.0958)
2.5384
(0.1368)
0.93240.9334−47.082
[3]
−43.948
[3]
[3]
GEVD minima21−0.0556 (0.0417)0.5826 (0.0295)1.7286
(0.0416)
0.87720.8897−506.039
[1]
−495.584
[1]
[1]
630.0148 (0.0875)0.5230 (0.0484)2.3232
(0.0660)
0.98140.9870−165.504
[2]
−158.320
[2]
[2]
252−0.2575
(0.1597)
0.7054 (0.1221)3.0499
(0.1720)
0.6707680.9597−54.762
[3]
−51.628
[3]
[3]
Table 8. Parameter estimates for monthly, quarterly, and yearly block maxima and minima for S&P500.
Table 8. Parameter estimates for monthly, quarterly, and yearly block maxima and minima for S&P500.
Block Sizeξ-Shapeβ-Scaleµ-LocationKS
p-Value
AD
p-Value
BICAICAv. Rank
GEVD maxima210.3655
(0.0508)
0.2418
(0.0153)
0.6304
(0.0173)
0.57740.7774−196.116
[1]
−185.662
[1]
[1]
630.3592
(0.0906)
0.3195
(0.0347)
0.8599
(0.0397)
0.99550.9988−117.937
[2]
−110.753
[2]
[2]
2520.5121
(0.2370)
0.3925
(0.0959)
1.2888
(0.0997)
0.99170.9974−48.372
[3]
−45.239
[3]
[3]
GEVD minima210.5041
(0.0812)
0.7417
(0.0555)
1.2243
(0.0581)
0.45520.3531−767.633
[1]
−757.179
[1]
[1]
630.4210
(0.1339)
1.1009
(0.1348)
1.7986
(0.1481)
0.81020.8997−322.549
[2]
−315.366
[2]
[2]
252−0.0228
(0.2461)
2.1279
(0.4319)
3.4131
(0.5640)
0.95830.9887−106.947
[3]
−103.814
[3]
[3]
Table 9. GPD parameter estimates for the NSE20.
Table 9. GPD parameter estimates for the NSE20.
k-ThresholdExceedancesξ-Shapeβ-ScaleKSADAICBIC
Gains1.55232410.2579
(0.0742)
0.4771
(0.0462)
0.61270.8612253.702260.672
Losses1.57962420.1215
(0.0689)
0.5750
(0.0540)
0.96420.2478278.929285.907
Table 10. GPD parameter estimates for the FTSE/JSE Top40.
Table 10. GPD parameter estimates for the FTSE/JSE Top40.
k-ThresholdExceedancesξ-Shapeβ-ScaleKSADAICBIC
Gains1.5146261−0.0377
(0.0572)
0.4660
(0.0393)
0.69730.9769107.714114.843
Losses1.7230248−0.0117
(0.0696)
0.5631
(0.0534)
0.97740.5600204.417211.395
Table 11. GPD parameter estimates for the S&P500.
Table 11. GPD parameter estimates for the S&P500.
k-ThresholdExceedancesξ-Shapeβ-ScaleKSADAICBIC
Gains0.56612510.3317
(0.0826)
0.2701
(0.0275)
0.89000.1456615.3664622.4100
Losses0.88332550.2890
(0.0953)
0.9526
(0.1073)
0.49210.7294636.5947643.6773
Table 12. Risk measures (Var and TVaR): Empirical and theoretical for the GEVD model.
Table 12. Risk measures (Var and TVaR): Empirical and theoretical for the GEVD model.
DatasetTailConfidenceEmpirical
VaR
Theoretical
VaR
VaR
Deviation
Empirical
TVaR
Theoretical
TVaR
TVaR
Deviation
NSE20MAXIMA953.58893.75424.61%5.50134.6234−15.96%
NSE20MAXIMA996.24735.1552−17.48%8.33366.1042−26.75%
NSE20MAXIMA99.58.35445.7916−30.68%9.07366.777−25.31%
NSE20MINIMA953.42003.59505.12%4.71594.362−7.51%
NSE20MINIMA995.49554.8352−12.02%6.38065.6533−11.40%
NSE20MINIMA99.56.11255.3894−11.83%6.71986.2303−7.28%
JSE Top40MAXIMA952.71562.81333.60%3.223.2134−0.21%
JSE Top40MAXIMA993.30353.46794.98%3.79693.85431.51%
JSE Top40MAXIMA99.53.75893.7404−0.49%4.03664.12112.09%
JSE Top40MINIMA953.33493.37071.07%3.94243.8767−1.67%
JSE Top40MINIMA994.18344.20060.41%4.52054.67813.48%
JSE Top40MINIMA99.54.48394.54031.26%4.68085.00616.95%
S&P500MAXIMA951.92931.9282−0.06%3.0843.0571−0.87%
S&P500MAXIMA993.98963.5241−11.67%4.77335.572416.74%
S&P500MAXIMA99.54.37354.55354.12%5.13857.194840.02%
S&P500MINIMA955.67026.329211.62%7.218813.01480.28%
S&P500MINIMA998.300214.709077.21%9.276429.9115222.45%
S&P500MINIMA99.59.208220.9909127.96%9.678742.5789339.92%
Table 13. Risk measures (VaR and TVaR): Empirical and theoretical for the GPD model.
Table 13. Risk measures (VaR and TVaR): Empirical and theoretical for the GPD model.
DatasetTailConfidenceEmpirical
VaR
Theoretical
VaR
VaR
Deviation
Empirical
TVaR
Theoretical
TVaR
TVaR
Deviation
NSE20GAINS951.92431.9151−0.48%2.67752.68410.25%
NSE20GAINS992.89563.05365.46%4.29284.2182−1.74%
NSE20GAINS99.53.59913.70953.07%5.35875.1021−4.79%
NSE20LOSSES952.00281.9957−0.35%2.70582.70770.07%
NSE20LOSSES993.10423.10760.11%3.94843.97340.63%
NSE20LOSSES99.53.40873.65777.30%4.61584.5995−0.35%
JSE Top40GAINS951.83461.8306−0.22%2.25692.26240.25%
JSE Top40GAINS992.51992.5280.32%2.95042.9474−0.10%
JSE Top40GAINS99.52.74542.82212.79%3.25563.2363−0.59%
JSE Top40LOSSES952.08582.11021.17%2.6712.6691−0.07%
JSE Top40LOSSES993.00293.00950.22%3.55583.57020.40%
JSE Top40LOSSES99.53.49173.3976−2.69%3.95823.95910.02%
S&P500GAINS950.78210.7773−0.61%1.2791.28620.56%
S&P500GAINS991.41231.50076.25%2.33872.36861.28%
S&P500GAINS99.51.89011.95273.31%3.0843.0449−1.27%
S&P500LOSSES951.61051.61570.33%3.21493.25341.20%
S&P500LOSSES994.3224.0016−7.41%5.98076.609310.51%
S&P500LOSSES99.55.59675.4245−3.08%7.21888.610619.28%
Disclaimer/Publisher’s Note: The statements, opinions and data contained in all publications are solely those of the individual author(s) and contributor(s) and not of MDPI and/or the editor(s). MDPI and/or the editor(s) disclaim responsibility for any injury to people or property resulting from any ideas, methods, instructions or products referred to in the content.

Share and Cite

MDPI and ACS Style

Dlamini, S.; Shongwe, S.C. Comparative Analysis of Tail Risk in Emerging and Developed Equity Markets: An Extreme Value Theory Perspective. Int. J. Financial Stud. 2026, 14, 11. https://doi.org/10.3390/ijfs14010011

AMA Style

Dlamini S, Shongwe SC. Comparative Analysis of Tail Risk in Emerging and Developed Equity Markets: An Extreme Value Theory Perspective. International Journal of Financial Studies. 2026; 14(1):11. https://doi.org/10.3390/ijfs14010011

Chicago/Turabian Style

Dlamini, Sthembiso, and Sandile Charles Shongwe. 2026. "Comparative Analysis of Tail Risk in Emerging and Developed Equity Markets: An Extreme Value Theory Perspective" International Journal of Financial Studies 14, no. 1: 11. https://doi.org/10.3390/ijfs14010011

APA Style

Dlamini, S., & Shongwe, S. C. (2026). Comparative Analysis of Tail Risk in Emerging and Developed Equity Markets: An Extreme Value Theory Perspective. International Journal of Financial Studies, 14(1), 11. https://doi.org/10.3390/ijfs14010011

Note that from the first issue of 2016, this journal uses article numbers instead of page numbers. See further details here.

Article Metrics

Back to TopTop