Sign in to use this feature.

Years

Between: -

Subjects

remove_circle_outline
remove_circle_outline
remove_circle_outline
remove_circle_outline
remove_circle_outline
remove_circle_outline
remove_circle_outline
remove_circle_outline
remove_circle_outline

Journals

remove_circle_outline
remove_circle_outline
remove_circle_outline
remove_circle_outline
remove_circle_outline
remove_circle_outline
remove_circle_outline
remove_circle_outline
remove_circle_outline
remove_circle_outline
remove_circle_outline
remove_circle_outline
remove_circle_outline
remove_circle_outline
remove_circle_outline
remove_circle_outline
remove_circle_outline
remove_circle_outline
remove_circle_outline
remove_circle_outline
remove_circle_outline
remove_circle_outline
remove_circle_outline
remove_circle_outline
remove_circle_outline
remove_circle_outline
remove_circle_outline
remove_circle_outline
remove_circle_outline

Article Types

Countries / Regions

remove_circle_outline
remove_circle_outline
remove_circle_outline
remove_circle_outline
remove_circle_outline
remove_circle_outline
remove_circle_outline
remove_circle_outline

Search Results (2,608)

Search Parameters:
Keywords = turning behavior

Order results
Result details
Results per page
Select all
Export citation of selected articles as:
34 pages, 6240 KB  
Article
Mechanistic Prediction of Machining-Induced Deformation in Metallic Alloys Using Property-Based Regression and Principal Component Analysis
by Mohammad S. Alsoufi and Saleh A. Bawazeer
Machines 2026, 14(1), 37; https://doi.org/10.3390/machines14010037 (registering DOI) - 28 Dec 2025
Abstract
Accurately predicting machining-induced deformation is crucial for high-precision CNC turning, particularly when working with dissimilar metallic alloys. This study presents a novel, data-driven framework that integrates empirical deformation analysis, multivariate regression, and principal component analysis (PCA) to predict axial deformation as a function [...] Read more.
Accurately predicting machining-induced deformation is crucial for high-precision CNC turning, particularly when working with dissimilar metallic alloys. This study presents a novel, data-driven framework that integrates empirical deformation analysis, multivariate regression, and principal component analysis (PCA) to predict axial deformation as a function of intrinsic material properties, including Brinell hardness, thermal conductivity, and Young’s modulus. The approach begins with second-order polynomial modeling of experimentally observed force–deformation behavior, from which three physically interpretable coefficients, nonlinear (a), load-sensitive (b), and intercept (c), are extracted. Each coefficient is then modeled using log-linear power-law regression, revealing strong statistical relationships with material properties. Specifically, the nonlinear coefficient correlates predominantly with thermal conductivity, while both the linear and offset terms are governed mainly by hardness, with average R2 values exceeding 0.999 across all materials. To improve physical insight and reduce dimensionality, three non-dimensional ratios (H/E, k/E, H/k) are also introduced, enhancing correlation and interpretability. PCA further confirms that over 93% of the total variance in deformation behavior can be captured using just two principal components, with clear separation of materials based on thermomechanical signature and deformation coefficients. This is the first comprehensive study to unify empirical modeling, property-driven regression, and PCA for deformation prediction in CNC-machined alloys. The resulting framework offers a scalable, interpretable, and physically grounded alternative to black-box models, providing rapid screening of new materials, reduced experimental demand, and support for smart manufacturing applications, such as digital twins and material-informed process optimization. Full article
(This article belongs to the Section Advanced Manufacturing)
Show Figures

Figure 1

11 pages, 633 KB  
Article
Dietary Escitalopram Reduces Movement Variability and Enhances Behavioral Predictability in Drosophila melanogaster
by Vadims Kolbjonoks, Sergejs Popovs, Ronalds Krams, Giedrius Trakimas, Māris Munkevics, Tatjana Krama, Markus J. Rantala, Jorge Contreras-Garduño, André Rodrigues de Souza, Colton B. Adams, Priit Jõers and Indrikis Krams
Biology 2026, 15(1), 51; https://doi.org/10.3390/biology15010051 (registering DOI) - 28 Dec 2025
Abstract
Behavioral individuality, often termed animal personality, reflects consistent patterns of behavioral variability across individuals. In fruit flies (Drosophila melanogaster), pharmacological and dietary manipulations affecting neuromodulatory systems have been shown to alter behavior, but their effects on behavioral predictability remain incompletely understood. [...] Read more.
Behavioral individuality, often termed animal personality, reflects consistent patterns of behavioral variability across individuals. In fruit flies (Drosophila melanogaster), pharmacological and dietary manipulations affecting neuromodulatory systems have been shown to alter behavior, but their effects on behavioral predictability remain incompletely understood. Here, we investigated whether developmental dietary exposure to tryptophan (a serotonin precursor) or escitalopram (a selective serotonin reuptake inhibitor, SSRI) is associated with changes in lateralized turning behavior. Flies were reared from larval stages on supplemented media and tested in a Y-maze assay to assess movement predictability. Flies exposed to escitalopram displayed significantly reduced behavioral variability compared to controls, indicated by a lower median absolute deviation (MAD) of turning behavior, whereas tryptophan supplementation did not significantly affect variability. Because both compounds were tested at a single dietary dose and serotonergic activity was not directly measured, these findings should be interpreted as dose-specific behavioral effects rather than evidence of altered serotonergic tone or mechanism. Our results demonstrate that chronic developmental exposure to escitalopram is associated with increased behavioral predictability in fruit flies, highlighting the utility of high-throughput behavioral assays for detecting subtle pharmacologically induced changes in individual variability. Future studies incorporating dose–response designs and physiological validation will be required to establish underlying mechanisms. Full article
Show Figures

Figure 1

14 pages, 656 KB  
Article
The Influence of Prey Distribution on the Search Strategies for Foraging Desert Grassland Whiptails, Aspidoscelis uniparens
by Douglas A. Eifler, Margaret C. Stanley, Darren F. Ward, Makenna M. Orton and Maria A. Eifler
Diversity 2026, 18(1), 15; https://doi.org/10.3390/d18010015 - 25 Dec 2025
Viewed by 154
Abstract
The optimal search strategy for foraging animals can vary based on environmental parameters, which can include information about the spatial distribution of prey. We tested the hypothesis that natural populations of foraging desert grassland whiptails (Aspidoscelis uniparens) structure their search strategies [...] Read more.
The optimal search strategy for foraging animals can vary based on environmental parameters, which can include information about the spatial distribution of prey. We tested the hypothesis that natural populations of foraging desert grassland whiptails (Aspidoscelis uniparens) structure their search strategies according to resource distribution. We experimentally provisioned prey in uniform, aggregated, and random distributions to characterize search effort (moves per minute and percent time moving) and search path (turn angles, movement duration, path straightness, step length, and two-step sequences). The search effort did not vary with treatment but animals adjusted their search path based on the presence and distribution of supplemental prey. With uniformly distributed prey, foragers took longer step lengths and more frequently engaged in two-step sequences that included long step lengths. When prey were randomly distributed, foragers made more moves of long duration and fewer straight moves, often pairing short step lengths with large turns. With an aggregated prey distribution, foragers had more moves of very short duration. Examining detailed search path characteristics can identify responses to environmental changes. Under experimental conditions, the search strategies of A. uniparens indicated behavioral responses to food distribution that could improve search efficiency. Full article
(This article belongs to the Special Issue Biogeography, Ecology and Conservation of Reptiles)
Show Figures

Figure 1

22 pages, 1708 KB  
Article
Adaptive Hierarchical Hidden Markov Models for Structural Market Change
by Achilleas Tampouris and Chaido Dritsaki
J. Risk Financial Manag. 2026, 19(1), 15; https://doi.org/10.3390/jrfm19010015 - 24 Dec 2025
Viewed by 124
Abstract
Financial markets evolve through recurring phases of stability, turbulence, and structural transformation. Standard Hidden Markov Models (HMMs) assume fixed transition probabilities, which limits their ability to capture such higher-order changes in market behavior. This study introduces an Adaptive Hierarchical Hidden Markov Model (AH-HMM), [...] Read more.
Financial markets evolve through recurring phases of stability, turbulence, and structural transformation. Standard Hidden Markov Models (HMMs) assume fixed transition probabilities, which limits their ability to capture such higher-order changes in market behavior. This study introduces an Adaptive Hierarchical Hidden Markov Model (AH-HMM), where regime transitions depend on an unobserved meta-regime that reflects the broader macro-financial environment. Each meta-regime defines its own transition matrix across market states such as bull, bear, and turbulent phases. In this way, the model adapts dynamically to structural changes arising from crises, policy shifts, or variations in investor sentiment. Using weekly data for major equity indices, aggregated from daily prices, together with macro-uncertainty indicators, we show that the AH-HMM identifies key turning points including the Global Financial Crisis, the COVID-19 shock, and the post-2022 tightening cycle. In our empirical application, where we approximate the latent structural layer by low- and high-uncertainty environments defined from the VIX, the adaptive model attains a higher in-sample likelihood and delivers competitive out-of-sample forecasts and Value-at-Risk coverage relative to conventional HMMs and time-varying transition alternatives. Overall, the results highlight a mechanism of structural learning within market regimes and offer tools for risk management and policy analysis under uncertainty. Full article
(This article belongs to the Section Financial Markets)
Show Figures

Figure 1

22 pages, 1086 KB  
Article
Joint Planning of Battery Swapping Stations and Distribution Networks to Enhance Photovoltaic Utilization
by Jiao Shu, Yuting Li, Chun Zheng, Luping Luo, Junjie Huang, Chi Zhang and Tao Yu
Energies 2026, 19(1), 73; https://doi.org/10.3390/en19010073 - 23 Dec 2025
Viewed by 73
Abstract
High photovoltaic (PV) penetration in distribution networks (DNs) often causes network congestion, which in turn leads to renewable curtailment. Existing studies on battery swapping stations (BSSs) mainly focus on energy management of established stations, rather than system-level planning and coordination. To address these [...] Read more.
High photovoltaic (PV) penetration in distribution networks (DNs) often causes network congestion, which in turn leads to renewable curtailment. Existing studies on battery swapping stations (BSSs) mainly focus on energy management of established stations, rather than system-level planning and coordination. To address these challenges, this study proposes a coordinated planning method for electric vehicle (EV) BSSs to improve PV utilization. The method integrates BSS siting, capacity sizing, and price-subsidy strategies into a unified mixed-integer linear programming (MILP) model. The model is developed to integrate road networks (RNs) and DNs, capturing the interaction between EV battery swapping behavior and DN operation. By guiding swapping behavior through price-subsidy strategies to align with local PV output, the method enables more flexible energy utilization and mitigates network congestion. Case studies are conducted on a combined IEEE 33-bus DN system and Sioux Falls RN. Results show that the proposed method can effectively improve local PV utilization and reduce curtailment without violating DN operational constraints. Overall, the proposed method provides an efficient and practical decision-support tool for the integrated planning of BSSs and renewable-rich DNs. Full article
Show Figures

Figure 1

30 pages, 8328 KB  
Article
Path Planning for Delivery Robots Based on an Improved Ant Colony Optimization Algorithm Combined with Dynamic Window Approach
by Limin Huang, Tao Hu, Jiabao Wei, Yifeng Guo, Xubin Tong, Jiaxin Ding, Hao Yang and Bin Zhong
Sensors 2026, 26(1), 72; https://doi.org/10.3390/s26010072 - 22 Dec 2025
Viewed by 259
Abstract
In meal delivery robot path planning, enabling the robot to find an optimal path that avoids obstacles within its workspace is a crucial step. Usually, the traditional ant colony optimization (ACO) suffers from slow convergence and blind search behavior in path planning, lacking [...] Read more.
In meal delivery robot path planning, enabling the robot to find an optimal path that avoids obstacles within its workspace is a crucial step. Usually, the traditional ant colony optimization (ACO) suffers from slow convergence and blind search behavior in path planning, lacking dynamic obstacle avoidance functionality. Meanwhile, the dynamic window approach (DWA) tends to become entrapped in local optima during local path planning. It is therefore proposed that a hybrid path planning algorithm be developed, based on an improved IACO and DWA algorithm. To address issues such as aimless search, slow convergence speed, and low path smoothness in ACO, the concept of gravity from gravity search algorithms is introduced to direct the search. The acceleration of convergence is achieved through the implementation of path sorting and the administration of additional pheromone to superior paths in pheromone updates. The transition paths are optimized to address the issue of excessive path transitions in ACO, resulting in smoother paths. The key nodes of the obtained globally optimal path are used as local target points, serving as multiple target points for DWA operation to enable dynamic obstacle avoidance. Simulation results indicate that compared to the ACO, the IACO reduces path length by up to 30.03% and decreases path turns by up to 71.43% in four different static maps. In other static comparison experiments, the IACO demonstrated superior performance compared to the other tested algorithms. In dynamic experiments, the proposed fusion algorithm can plan smooth paths that successfully avoid both static and dynamic obstacles. Full article
(This article belongs to the Section Sensors and Robotics)
Show Figures

Figure 1

19 pages, 564 KB  
Article
Engagement, Citizenship Behavior, Burnout, and Intention to Quit: Mechanisms Fostering Sustainable Well-Being and Driving Retention Among Thai Frontline Bank Employees
by Kamonwon Ramdeja and Parisa Rungruang
Sustainability 2026, 18(1), 107; https://doi.org/10.3390/su18010107 - 22 Dec 2025
Viewed by 107
Abstract
The objective of this study is to investigate how two forms of engagement—job engagement and organization engagement—shape organizational citizenship behaviors directed at individuals (OCBI) and the organization (OCBO), and how these behaviors, in turn, influence employee burnout and intention to quit. This study [...] Read more.
The objective of this study is to investigate how two forms of engagement—job engagement and organization engagement—shape organizational citizenship behaviors directed at individuals (OCBI) and the organization (OCBO), and how these behaviors, in turn, influence employee burnout and intention to quit. This study also seeks to examine the impact of burnout on intention to quit. A paper-based survey was conducted among frontline bank employees from 21 financial institutions in Thailand. Data from 562 respondents, selected through convenience sampling, were analyzed using covariance-based structural equation modeling. Findings revealed that job engagement fosters OCBI, whereas organization engagement enhances OCBO. Job engagement also reduces burnout, while the adverse effect of organization engagement on burnout was small and insignificant. OCBI positively affects burnout and positively mediates the job engagement–burnout relationship. In contrast, OCBO negatively affects burnout and negatively mediates the organization engagement–burnout relationship. Finally, burnout increases employees’ intention to quit. These findings provide theoretical insights into the mechanisms linking engagement, citizenship behaviors, burnout, and intention to quit. Importantly, this study offers practical recommendations for promoting well-being and sustainable employee retention in the high-demand banking industry. Full article
(This article belongs to the Special Issue Sustainable Practices and Their Impacts on Organizational Behavior)
Show Figures

Figure 1

23 pages, 1592 KB  
Article
Smart Learning with Generative AI Tools in Higher Education: An Integrated SOR–SDT Model of Student Creative Confidence and Engagement
by Yang Huang, Tao Yu, Yihui Chen, Yihuan Tian and Jinho Yim
Appl. Sci. 2026, 16(1), 63; https://doi.org/10.3390/app16010063 - 20 Dec 2025
Viewed by 148
Abstract
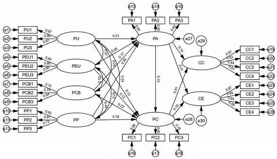
We investigate how generative AI tools function in smart learning by estimating a structural path model that combines the Stimulus–Organism–Response (SOR) framework with Self-Determination Theory (SDT). Using survey data from N = 540 university students and covariance-based SEM, we examine whether perceptions of [...] Read more.
We investigate how generative AI tools function in smart learning by estimating a structural path model that combines the Stimulus–Organism–Response (SOR) framework with Self-Determination Theory (SDT). Using survey data from N = 540 university students and covariance-based SEM, we examine whether perceptions of these tools—usefulness (PU), ease of use (PEU), creative benefit (PCB), and personalization (PP)—align with SDT’s motivational states of perceived autonomy (PA) and perceived competence (PC) and, in turn, relate to creative confidence (CC) and creative engagement (CE). All four perceptions show positive links to PA and PC, with PP exhibiting the largest association with PA. PA precedes PC, indicating a sequential motivational route. At the behavioral level, PC relates more strongly to CC, whereas PA shows a comparatively larger association with CE. In aggregate, the results support integrating SOR with SDT to explain students’ psychological responses to generative AI tools and inform course designs that cultivate autonomy and competence to sustain creative confidence and engagement in smart-learning contexts. Full article
(This article belongs to the Special Issue Applications of Smart Learning in Education)
Show Figures

Figure 1

20 pages, 412 KB  
Article
Ethical Consumer Attitudes and Trust in Artificial Intelligence in the Digital Marketplace: An Empirical Analysis of Behavioral and Value-Driven Determinants
by Markou Vasiliki, Panagiotis Serdaris, Ioannis Antoniadis and Konstantinos Spinthiropoulos
Digital 2026, 6(1), 1; https://doi.org/10.3390/digital6010001 - 19 Dec 2025
Viewed by 375
Abstract
The rapid diffusion of artificial intelligence (AI) in marketing has reshaped how consumers interact with digital content and evaluate ethical aspects of firms. The present study examines how familiarity with and trust in AI shape consumers’ acceptance of AI-based advertising and, in turn, [...] Read more.
The rapid diffusion of artificial intelligence (AI) in marketing has reshaped how consumers interact with digital content and evaluate ethical aspects of firms. The present study examines how familiarity with and trust in AI shape consumers’ acceptance of AI-based advertising and, in turn, their ethical purchasing behavior. Data were collected from 505 Greek consumers through an online survey and analyzed using hierarchical and logistic regression models. Reliability and validity tests confirmed the robustness of the measurement instruments. The results show that familiarity with AI technologies significantly enhances trust and ethical confidence toward AI systems. In turn, trust in AI strongly predicts the consumers’ acceptance of AI-driven advertising, while acceptance positively affects ethical consumption intentions. The findings also confirm a mediating relationship, indicating that acceptance of AI-based advertising transmits the effect of AI rust to ethical consumption. By integrating ethical and technological dimensions within a single behavioral model, the study provides a more comprehensive view of how consumers form attitudes toward AI-enabled marketing. Overall, the findings highlight that transparent and responsible AI practices can strengthen brand credibility, foster ethical engagement, and support more sustainable consumer choices. Full article
Show Figures

Figure 1

26 pages, 893 KB  
Review
Oxidative Stress–Microbiota–Epigenetics Crosstalk: A Missing Link Between Cognition and Social Behavior in Metabolic and Neuropsychiatric Disorders
by Farzad Ashrafi, Soroor Advani, Adrián A. Pinto-Tomás and Dilip V. Jeste
Cells 2026, 15(1), 3; https://doi.org/10.3390/cells15010003 - 19 Dec 2025
Viewed by 371
Abstract
Oxidative stress (OS) reflects a pathologic imbalance between excessive production of reactive oxygen species (ROS) and insufficient antioxidant defenses. Growing evidence indicates that a healthy gut microbiota (GM) is essential for regulating redox homeostasis, whereas gut dysbiosis contributes to elevated ROS levels and [...] Read more.
Oxidative stress (OS) reflects a pathologic imbalance between excessive production of reactive oxygen species (ROS) and insufficient antioxidant defenses. Growing evidence indicates that a healthy gut microbiota (GM) is essential for regulating redox homeostasis, whereas gut dysbiosis contributes to elevated ROS levels and oxidative damage in DNA, lipids, and proteins. This redox disequilibrium initiates a cascade of cellular disturbances—including synaptic dysfunction, altered receptor activity, excitotoxicity, mitochondrial disruption, and chronic neuroinflammation—that can, in turn, impair cognitive and social functioning in metabolic and neuropsychiatric disorders via epigenetic mechanisms. In this review, we synthesize current knowledge on (1) how OS contributes to cognitive and social deficits through epigenetic dysregulation; (2) the role of disrupted one-carbon metabolism in epigenetically mediated neurological dysfunction; and (3) mechanistic links between leaky gut, OS, altered GM composition, and GM-derived epigenetic metabolites. We also highlight emerging microbiota-based therapeutic strategies capable of mitigating epigenetic abnormalities and improving cognitive and social outcomes. Understanding the OS–microbiota–epigenetic interplay may uncover new targetable pathways for therapies aimed at restoring brain and behavioral health. Full article
Show Figures

Figure 1

19 pages, 9103 KB  
Article
Sustainable Investigation on Metal Coin Clipped Blank, Using 3D Modeling and FEM Analysis
by Cornel Cătălin Gavrilă and Mihai Tiberiu Lateş
Appl. Sci. 2025, 15(24), 13268; https://doi.org/10.3390/app152413268 - 18 Dec 2025
Viewed by 145
Abstract
The modern coinage industry ensures dimensional and weight precision, as well as improved surface quality, for its products. The speed of coin mass production requires increased performance for used machines and tools. Despite these, error incidence cannot be excluded. Some of these errors [...] Read more.
The modern coinage industry ensures dimensional and weight precision, as well as improved surface quality, for its products. The speed of coin mass production requires increased performance for used machines and tools. Despite these, error incidence cannot be excluded. Some of these errors are recorded inside the punching machine and generate clipped blank disks; on their turn, those malformed disks lead to the clipped coins. In the first part, the paper presents the premises underlying the appearance of clipped blanks. There are some exemplified coins having different types of clips: curved, straight, and ragged. The literature review in the coinage field covers the following subjects: coin and die behavior under the striking load, viewpoints on 3D modeling, and finite element method (FEM) analysis, insights on various striking errors, with most of them more or less valued as collection metal pieces. The paper’s main purpose is outlined as follows: to study, using the available modern techniques, the particularities of different clipped coin types. In the second part of the paper, we introduced the adequate tridimensional (3D) model, for parts such as the die, collar, and the coin. It follows the assembled model corresponding to each studied case, which consists of the obverse and reverse striking dies and the collar, having inside them the coin. For each of the models, based on the initial conditions, the finite element analysis was performed. The paper’s last part presents the analysis’ results, the discussions, and the conclusions. Full article
(This article belongs to the Special Issue Modernly Designed Materials and Their Processing)
Show Figures

Figure 1

15 pages, 3343 KB  
Article
Effect of Solidification Conditions on High-Cycle Fatigue Behavior in DD6 Single-Crystal Superalloy
by Hongji Xie, Yushi Luo, Yunsong Zhao and Zhenyu Yang
Metals 2025, 15(12), 1385; https://doi.org/10.3390/met15121385 - 17 Dec 2025
Viewed by 189
Abstract
This study investigates the influence of solidification conditions on the high-cycle fatigue (HCF) behavior of a second-generation DD6 single-crystal superalloy. Single-crystal bars with a [001] orientation were prepared using the high-rate solidification (HRS) and liquid-metal cooling (LMC) techniques under various pouring temperatures. The [...] Read more.
This study investigates the influence of solidification conditions on the high-cycle fatigue (HCF) behavior of a second-generation DD6 single-crystal superalloy. Single-crystal bars with a [001] orientation were prepared using the high-rate solidification (HRS) and liquid-metal cooling (LMC) techniques under various pouring temperatures. The HCF performance of the heat-treated alloy was subsequently evaluated at 800 °C using rotary bending fatigue tests. The results demonstrate that increasing the pouring temperature effectively reduced the content and size of microporosity in the HRS alloys. At an identical pouring temperature, the LMC alloy exhibited a significant reduction in microporosity, with its content and maximum pore size being only 44.4% and 45.8% of those in the HRS alloy, respectively. Consequently, the HCF performance was enhanced with increasing pouring temperature for the HRS alloys. The LMC alloy outperformed its HRS counterpart processed at the same temperature, showing a 9.4% increase in the conditional fatigue limit (at 107 cycles). Microporosity was identified as the dominant site for HCF crack initiation at 800 °C. The role of γ/γ′ eutectic in crack initiation diminished or even vanished as the solidification conditions were optimized. Fractographic analysis revealed that the HCF fracture mechanism was quasi-cleavage, independent of the solidification conditions. Under a typical stress amplitude of 550 MPa, the deformation mechanism was characterized by the slip of a/2<011> dislocations within the γ matrix channels, which was also unaffected by the solidification conditions. In conclusion, optimizing solidification conditions, such as by increasing the pouring temperature or employing the LMC process, enhances the HCF performance of the DD6 alloy primarily by refining microporosity, which in turn prolongs the fatigue crack initiation life. Full article
(This article belongs to the Section Metal Failure Analysis)
Show Figures

Figure 1

23 pages, 5355 KB  
Article
Why Do Actions Speak Louder than Words? Unraveling the Cognition–Action Gap in Rural Environmental Governance
by Jiangjun Wan, Kuntao Deng, Craig William Hutton, Chenrui Zhou, Hongyu Wu, Xinrui Fan, Yi Su, Jifei Zhang, Yanrong Yang and Jinxiu Yang
Sustainability 2025, 17(24), 11314; https://doi.org/10.3390/su172411314 - 17 Dec 2025
Viewed by 171
Abstract
Against the backdrop of growing global environmental crises, achieving sustainability in rural areas—where economic development, ecological conservation, and social equity often intersect—has become increasingly urgent. Sustainable development theory stresses the need to turn environmental awareness into concrete action, yet in practice, a puzzling [...] Read more.
Against the backdrop of growing global environmental crises, achieving sustainability in rural areas—where economic development, ecological conservation, and social equity often intersect—has become increasingly urgent. Sustainable development theory stresses the need to turn environmental awareness into concrete action, yet in practice, a puzzling gap often remains, especially in developing contexts such as China. Why do rural residents sometimes engage in pro-environment behaviors even when their expressed awareness or willingness seems limited? To explore this question, we conducted a study in Li County, China, combining field research with regression and path analysis across three spatial dimensions: production, ecological, and living spaces. Our findings reveal a notable divergence: farmers’ environmental actions frequently surpass their cognitive understanding and stated willingness to participate in governance. This suggests that the influence of environmental cognition and participation willingness on behavior varies across different spatial contexts. We also find that household demographic and geographic attributes not only directly shape involvement in environmental governance but also mediate the relationship between cognition, willingness, and action. By untangling these complex linkages, our study offers a more nuanced understanding of rural environmental governance. We argue for governance approaches that are spatially sensitive and participatory, capable of accounting for the often non-linear pathways from perception to intent to behavior. The insights from Li County provide a valuable empirical basis for designing spatially differentiated and participatory governance policies. These findings are crucial for promoting effective environmental stewardship and achieving sustainable development goals in rural communities globally. Full article
Show Figures

Figure 1

35 pages, 40296 KB  
Article
A Matheuristic Framework for Behavioral Segmentation and Mobility Analysis of AIS Trajectories Using Multiple Movement Features
by Fumi Wu, Yangming Liu, Ronghui Li and Stefan Voß
J. Mar. Sci. Eng. 2025, 13(12), 2393; https://doi.org/10.3390/jmse13122393 - 17 Dec 2025
Viewed by 260
Abstract
Accurate behavioral segmentation of vessel trajectories from Automatic Identification System (AIS) is essential for maritime safety and traffic management. Existing methods often rely on predefined thresholds or emphasize geometric criteria and offer limited behavioral interpretability for mobility analysis. This paper introduces an unsupervised [...] Read more.
Accurate behavioral segmentation of vessel trajectories from Automatic Identification System (AIS) is essential for maritime safety and traffic management. Existing methods often rely on predefined thresholds or emphasize geometric criteria and offer limited behavioral interpretability for mobility analysis. This paper introduces an unsupervised behavioral segmentation framework that integrates clustering with matheuristic optimization. Trajectories are cleaned with a forward sliding window, and three smoothed movement features, namely speed, acceleration, and turning rate, are computed for each point. Each feature is discretized by the Jenks Natural Breaks algorithm to extract key feature points and pointwise feature labels. Segment boundaries are near-optimally chosen from these key feature points using a Matheuristic Fixed Set Search (MFSS) that minimizes a Minimum Description Length (MDL) objective. This ensures behavioral consistency within each segment and clear separation between adjacent segments. Experiments on an AIS dataset from the Qiongzhou Strait, China, demonstrate that our proposed method yields more compact, distinctly differentiated segments than baseline methods, while preserving intra-segment behavioral continuity. These segments exhibit strong semantic coherence, making them well-suited for downstream tasks such as traffic risk assessment and route planning. Full article
(This article belongs to the Section Ocean Engineering)
Show Figures

Figure 1

19 pages, 2933 KB  
Article
From Ethogram to Flow: Behavioral Time Budgets and Transition Networks in Female Harbor Seals Under Human Care
by Marco Briguori, Pietro Carlino, Chiara Carpino, Gianni Giglio, Francesco Luigi Leonetti, Viviana Romano, Roberta Castiglioni and Emilio Sperone
J. Zool. Bot. Gard. 2025, 6(4), 64; https://doi.org/10.3390/jzbg6040064 - 17 Dec 2025
Viewed by 257
Abstract
We quantified how exhibit design and routine management shape behavior and space use in captive harbor seals (Phoca vitulina). Using a species-specific ethogram, scan sampling and focal follows on adult females housed in a modern zoo exhibit, we estimated time budgets, [...] Read more.
We quantified how exhibit design and routine management shape behavior and space use in captive harbor seals (Phoca vitulina). Using a species-specific ethogram, scan sampling and focal follows on adult females housed in a modern zoo exhibit, we estimated time budgets, mapped space use across depth-defined zones, and modeled behavior sequences as first-order transition networks. Locomotion dominated activity (swimming/active travel), with resting and enrichment-related behaviors next most frequent; social and play behaviors occurred at low but non-negligible rates. Seals showed clear depth preferences, concentrating active swimming in deeper zones and using liminal/shallow areas for rest. Transition graphs revealed stable, low-entropy loops (e.g., swim → turn/pace → swim) consistent with repetitive locomotor routines, while enrichment and feeding windows temporarily diversified sequences and increased exploration. Overall, integrating time budgets with Markov-style transition analysis and spatial heatmaps provides a compact welfare-oriented dashboard: it identifies where exhibit depth and refuge availability support positive behavioral diversity, flags repetitive cycles as targets for enrichment, and offers actionable metrics to evaluate husbandry changes over time. Full article
Show Figures

Figure 1

Back to TopTop