Sign in to use this feature.

Years

Between: -

Subjects

remove_circle_outline
remove_circle_outline
remove_circle_outline
remove_circle_outline
remove_circle_outline
remove_circle_outline
remove_circle_outline

Journals

Article Types

Countries / Regions

Search Results (18)

Search Parameters:
Keywords = turf visual quality

Order results
Result details
Results per page
Select all
Export citation of selected articles as:
16 pages, 1423 KB  
Article
Modeling the Relationship Between Autonomous Mower Trampling Activity and Turfgrass Green Cover Percentage
by Sofia Matilde Luglio, Christian Frasconi, Lorenzo Gagliardi, Mattia Fontani, Michele Raffaelli, Andrea Peruzzi, Marco Volterrani, Simone Magni and Marco Fontanelli
Agronomy 2025, 15(12), 2890; https://doi.org/10.3390/agronomy15122890 - 16 Dec 2025
Viewed by 238
Abstract
Autonomous mowers’ navigation pattern plays a crucial role in turfgrass quality, influencing both esthetic and functional performance. However, despite extensive research on mowing efficiency, the effects of different navigation patterns on turfgrass damage and visual quality remain inadequately investigated. This study aimed to [...] Read more.
Autonomous mowers’ navigation pattern plays a crucial role in turfgrass quality, influencing both esthetic and functional performance. However, despite extensive research on mowing efficiency, the effects of different navigation patterns on turfgrass damage and visual quality remain inadequately investigated. This study aimed to evaluate the impact of three different autonomous mower navigation patterns (random, vertical, and chessboard) on operational performance and the effect of trampling activity on turfgrass. Each pattern was tested in terms of data on the number of passages, distance traveled (m), number of intersections and the percentage of area mowed using a remote sensing system and an updated custom-built software. Green coverage percentage was assessed weekly using image analysis (Canopeo app) to evaluate the turfgrass green coverage. The green coverage percentage, together with the number of passages, is analyzed and correlated. The random pattern generated the highest number of passages and intersections, leading to lower average green coverage (64%) compared with the chessboard (80%) and vertical (81%) patterns. Data of the green coverage percentage in the function of the average number of passages recorded using the custom-built software for each pattern fit the asymptotic regression model. The effective number of passages to reach 60% green cover (EP60) was 56.26, 87.30, and 155.32 for random, vertical, and chessboard, respectively. The model could be integrated into DSS, useful for the end user in turf management in order to maintain a high quality. Future studies should extend this approach to other species and environmental conditions, integrating the effective dose (in terms of passages) method for smart mowing management. Full article
Show Figures

Figure 1

17 pages, 2388 KB  
Article
Response of Turf Bermudagrass Hybrids to Induced Drought Stress Under Controlled Environment
by Mitiku A. Mengistu, Desalegn D. Serba, Matthew M. Conley, Reagan W. Hejl, Yanqi Wu and Clinton F. Williams
Grasses 2025, 4(2), 23; https://doi.org/10.3390/grasses4020023 - 5 Jun 2025
Viewed by 1501
Abstract
Bermudagrass is a warm-season turfgrass commonly grown in drought-prone areas. Harnessing natural genetic variation available in germplasm is a principal strategy to enhance its resilience to drought stress. This study was carried out to assess the comparative performance of bermudagrass hybrids under drought [...] Read more.
Bermudagrass is a warm-season turfgrass commonly grown in drought-prone areas. Harnessing natural genetic variation available in germplasm is a principal strategy to enhance its resilience to drought stress. This study was carried out to assess the comparative performance of bermudagrass hybrids under drought conditions and their subsequent recovery following the drought period. A total of 48 hybrids, including 2 commercial cultivars, ‘Tifway’ and ‘TifTuf’, were established under optimum growth conditions in the greenhouse and then subjected to drought stress by withholding irrigation for four weeks. The dry-down experiment was laid out in a randomized complete block design with four replications. Turf color, visual quality, and active spectral reflectance data were collected weekly and used to assess the health and vigor of the hybrids during progression of the drought stress for four weeks and through recovery after rewatering. Analysis of variance revealed significant differences among the hybrids for color, visual quality, and spectral vegetation indices. A multivariate analysis grouped the hybrids into drought-tolerant with full recovery after rewatering, moderately tolerant, and susceptible to extended drought stress without recovery. These results showed the prevalence of genetic variation for drought tolerance and proved instrumental in the development of bermudagrass cultivars resilient to drought stress and improved water use efficiency. Full article
(This article belongs to the Special Issue Advances in Sustainable Turfgrass Management)
Show Figures

Figure 1

14 pages, 3459 KB  
Article
Performance of Different Cool-Season Species and Cultivars Overseeded on Bermudagrass and Managed with Autonomous Mower
by Giuliano Sciusco, Lisa Caturegli, Simone Magni, Tommaso Federighi, Marco Fontanelli, Noemie Robert, Stephen R. Alderton and Marco Volterrani
Agronomy 2024, 14(11), 2611; https://doi.org/10.3390/agronomy14112611 - 5 Nov 2024
Viewed by 947
Abstract
With global warming, the cultivation area of bermudagrass is moving northwards in the Mediterranean area despite its winter dormancy and loss of green color. The most common solution is overseeding with perennial ryegrass, which can be complicated to remove in spring. DLF breeders [...] Read more.
With global warming, the cultivation area of bermudagrass is moving northwards in the Mediterranean area despite its winter dormancy and loss of green color. The most common solution is overseeding with perennial ryegrass, which can be complicated to remove in spring. DLF breeders have released a new cultivar of annual ryegrass that is stress tolerant and easy to transition in spring. A trial was carried out on a sod farm in Pisa, Italy. Twenty-nine varieties of cool-season grasses, encompassing both forage and turf species, were overseeded on a hybrid bermudagrass variety ‘Tifway’ (Cynodon dactylon x transvaalensis). The aim of this trial was to compare the overseeding potential of various cool-season turfgrass species and cultivars and to identify which ones perform best in terms of cleanness of cut when overseeded on hybrid bermudagrass in autumn and maintained at a mowing height of 25 mm. Moreover, the following parameters were also assessed: actual turf height (cm); cumulated height (cm); turf visual color and quality (1–9 scale); and visual ground cover (%). Plots were managed with an autonomous mower, which adopted a daily mowing frequency and was set to work with systematic trajectories. The results showed differences between cultivars, and the annual ryegrass showed the best spring transition (scoring a mean value of 96% green cover in July 2023) compared to the other entries. The best result of CoC was measured for rough-stalked meadow grass ‘Sabrena 1’ and tall fescue ‘Turfway’ with 0.9 mm. Full article
(This article belongs to the Section Weed Science and Weed Management)
Show Figures

Figure 1

18 pages, 3995 KB  
Article
Nitrogen Rate Assessment for Greenhouse Gas Emission Mitigation and Quality Maintenance in Sustainable Turf Management
by Leonardo Verdi, Lisa Caturegli, Simone Magni, Marco Volterrani, Anna Dalla Marta, Simone Orlandini and Ada Baldi
Agriculture 2024, 14(8), 1244; https://doi.org/10.3390/agriculture14081244 - 27 Jul 2024
Cited by 2 | Viewed by 2607
Abstract
Turfgrass systems hold significant climate change mitigation value, but their management often negates the beneficial effects due to the intense adoption of external inputs. The research objective in this paper was to assess the nitrogen fertilization rate able to maintain the ideal esthetic [...] Read more.
Turfgrass systems hold significant climate change mitigation value, but their management often negates the beneficial effects due to the intense adoption of external inputs. The research objective in this paper was to assess the nitrogen fertilization rate able to maintain the ideal esthetic characteristics of Zoysia turfgrass, reducing the environmental impacts associated with greenhouse gas (GHG) emissions. A two-year open field experiment was conducted. Nitrogen was added to the soil at six rates (0, 50, 100, 150, 200, and 250 kg ha−1). The GHG emissions were monitored using a portable gas analyzer and the static chamber methodology. Cumulative environmental impacts were calculated from the inclusion of CO2, CH4, and, N2O using the Global Warming Potential (GWP). The quality assessment of the turf was assessed through a visual and instrumental approach. Higher CO2 and N2O fluxes were linked to high nitrogen rates, ranging from 83.55 to 87.50 and from 0.046 to 0.047 g N-N2O ha−1 day−1 for 200 and 250 kg N ha−1, respectively. CH4 emissions were not correlated to nitrogen rates. Higher GWP impacts were linked to high N rate treatments. A rate of 100 kg N ha−1 is recommended as the best strategy to reduce GHG emissions while maintaining high turf quality. Full article
(This article belongs to the Section Ecosystem, Environment and Climate Change in Agriculture)
Show Figures

Figure 1

17 pages, 2512 KB  
Article
Quality and Establishment of Some Water-Conserving Turfgrass Species for Sustainable Development and Some Ecosystem Services in Arid Urban Environments
by Fatemeh Kazemi, Mahmood Reza Golzarian and Seyedeh Maliheh Rabbani Kheir Khah
Land 2024, 13(6), 721; https://doi.org/10.3390/land13060721 - 21 May 2024
Cited by 5 | Viewed by 2510
Abstract
Turfgrasses are essential landscape plants with social, environmental, and aesthetic services for urban ecosystems. However, more is needed to know how to establish them so that they can benefit from their ecosystem services in urban environments. This research examined some quality and morphological [...] Read more.
Turfgrasses are essential landscape plants with social, environmental, and aesthetic services for urban ecosystems. However, more is needed to know how to establish them so that they can benefit from their ecosystem services in urban environments. This research examined some quality and morphological and physiological factors for the establishment and social and environmental service assessment of three warm-season turfgrasses, including Kikuyu grass (Pennisetum clandestinum), bermuda grass (Cynodon dactylon), and buffalo grass (Buchloe dactyloides), compared to the cool-season grass of tall fescue (Festuca arundinacea Schreb.). The experiment was split-plot in time, based on a randomized complete block design with eight replications. The main plot was the season with four levels, and the subplot was the four turfgrass species types. The results indicated that seasons and turfgrass types and their interaction significantly impacted most measured variables (p ≤ 0.01). Some quality measurements like turf density, color, texture, coverage, and quality after clipping and establishment confirmed the superiority of Buchloe dactyloides over the other species. Also, kikuyu grass showed higher turfgrass density, more potential for weed control, and higher coverage and growth rate but also showed invasiveness features. Tall fescue had the lowest visual aesthetic compared with the other turfgrass species. Warm-season turfgrasses adaptable to the ecology of the region should be used compared to tall fescue to achieve better turfgrass quality and social and ecosystem services for the sustainable development of arid urban environments. Full article
Show Figures

Figure 1

14 pages, 1712 KB  
Article
Monitoring Autonomous Mowers Operative Parameters on Low-Maintenance Warm-Season Turfgrass
by Sofia Matilde Luglio, Mino Sportelli, Christian Frasconi, Michele Raffaelli, Lorenzo Gagliardi, Andrea Peruzzi, Veronica Fortini, Marco Volterrani, Simone Magni, Lisa Caturegli, Giuliano Sciusco and Marco Fontanelli
Appl. Sci. 2023, 13(13), 7852; https://doi.org/10.3390/app13137852 - 4 Jul 2023
Cited by 10 | Viewed by 2596
Abstract
Robotic solutions and technological advances for turf management demonstrated excellent results in terms of quality, energy, and time consumption. Two battery-powered autonomous mowers (2 WD and 4 WD) with random patterns were evaluated according to different trampling levels (control, low, medium, high) on [...] Read more.
Robotic solutions and technological advances for turf management demonstrated excellent results in terms of quality, energy, and time consumption. Two battery-powered autonomous mowers (2 WD and 4 WD) with random patterns were evaluated according to different trampling levels (control, low, medium, high) on a typical warm season turfgrass at the DAFE, University of Pisa, Italy. Data on the percentage of area mowed, the distance traveled, the number of passages, and the number of intersections were collected through RTK devices and processed by a custom-built software (1.8.0.0). The main quality parameters of the turfgrass were also analyzed by visual and instrumental assessments. Soil penetration resistance was measured through a digital penetrometer. The efficiency significantly decreased as the trampling level increased (from 0.29 to 0.11). The over-trampled areas were mainly detected by the edges (on average for the medium level: 18 passages for the edges vs. 14 in the central area). The trampling activity caused a reduction in turf height (from about 2.2 cm to about 1.5 cm). The energy consumption was low and varied from 0.0047 to 0.048 kWh per cutting session. Results from this trial demonstrated suitable quality for a residential turf of the Mediterranean area (NDVI values from 0.5 to 0.6), despite the over-trampling activity. Soil penetration data were low due to the reduced weight of the machines, but slightly higher for the 4 WD model (at 5 cm of depth, about 802 kPa vs. 670 kPa). Full article
(This article belongs to the Special Issue Recent Advances in Precision Farming and Digital Agriculture)
Show Figures

Figure 1

16 pages, 3783 KB  
Article
Biostimulants for Sustainable Management of Sport Turfgrass
by Sara Bosi, Lorenzo Negri, Mattia Accorsi, Loredana Baffoni, Francesca Gaggia, Diana Di Gioia, Giovanni Dinelli and Ilaria Marotti
Plants 2023, 12(3), 539; https://doi.org/10.3390/plants12030539 - 24 Jan 2023
Cited by 5 | Viewed by 3588
Abstract
Research on the efficacy of innovative, ecofriendly biostimulants in sport turf management is scarce, with less information available from open-field experiments, and even less pertaining to thatch control-related problems. The objective was to investigate the open-field effectiveness of a commercial product, EM-1, and [...] Read more.
Research on the efficacy of innovative, ecofriendly biostimulants in sport turf management is scarce, with less information available from open-field experiments, and even less pertaining to thatch control-related problems. The objective was to investigate the open-field effectiveness of a commercial product, EM-1, and two newly developed products, ExpA and ExpB, in improving both rhizosphere and turfgrass, Agrostis stoloniferous L., characteristics on a golf green. ExpA and ExpB, identical in microbial composition, were equally effective in significantly increasing chlorophyll synthesis and visual turf quality, as well as in resistance to tearing out, compared to the untreated control 56 days after treatment (DAT). EM-1 showed intermediate trends between the control and novel biostimulants. The inclusion of humic acids and mycorrhizal fungi to the microbial composition in ExpB significantly improved some rhizosphere properties 56 DAT relative to the control. Results on ExpB evidenced a significant decrease in the thatch layer thickness and fresh leaf weight, associated with a significant increase in the humus thickness, organic matter decomposition and evapotranspiration efficiency. An increased dry leaf biomass was also shown. ExpA and EM-1 showed either marginal or intermediate improvements relative to the control. ExpB represents a promising alternative to alleviate negative environmental impacts associated with turf maintenance-related activities. Full article
(This article belongs to the Special Issue Effects of Plant Biostimulant on Plant Growth and Physiology)
Show Figures

Figure 1

13 pages, 1331 KB  
Article
Cool- and Warm-Season Turfgrass Irrigation with Subsurface Drip and Sprinkler Methods Using Different Water Management Strategies and Tools
by Abdül Halim Orta, Mladen Todorovic and Yeşim Ahi
Water 2023, 15(2), 272; https://doi.org/10.3390/w15020272 - 9 Jan 2023
Cited by 7 | Viewed by 3676
Abstract
This study compared the performances of subsurface drip irrigation (SDI) to sprinkler irrigation (SI) of cool-season turf mix (CS) and warm-season (WS) turfgrass species while investigating their response to different irrigation scheduling strategies. Moreover, the suitability of crop water stress index (CWSI) for [...] Read more.
This study compared the performances of subsurface drip irrigation (SDI) to sprinkler irrigation (SI) of cool-season turf mix (CS) and warm-season (WS) turfgrass species while investigating their response to different irrigation scheduling strategies. Moreover, the suitability of crop water stress index (CWSI) for monitoring water stress and scheduling irrigation was tested. Irrigation was applied up to the field capacity when 30%, 50% and 70% of total available water was consumed. All parameters, including color, quality, fresh yield, dry matter yield, irrigation water productivity, water productivity, vegetation height and mowing, differed significantly for different irrigation methods and water supply strategies for both species. The best visual turf was maintained under non-limiting soil moisture conditions (30%) in all main and sub-treatments. At this irrigation threshold, maximum and minimum amounts of irrigation water were applied in SI CS treatment (523.5 mm) and SDI WS treatment (298.6 mm), respectively. Warm-season turf required up to 40% less water than cool-season turf mix. In the water-scarce regions, 50% treatment for cool-season and 70% treatment for warm-season can be suggested for acceptable visual quality, lower water consumption and less frequent clipping. The mean CWSI before irrigation, representing irrigation threshold, ranged between 0.22–0.70. Full article
Show Figures

Figure 1

12 pages, 636 KB  
Article
Lawn Bonitation Value as a Function of Glycine-Complexed Iron Formulation Application
by Adam Radkowski, Iwona Radkowska, Karol Wolski, Łukasz Sobol and Henryk Bujak
Appl. Sci. 2022, 12(23), 12102; https://doi.org/10.3390/app122312102 - 26 Nov 2022
Cited by 3 | Viewed by 1869
Abstract
The research carried out at the Experimental Station of the University of Agriculture in Krakow aimed to assess the utility value of the turf of a lawn sown with the “Super Trawnik” lawn mixture. The experimental factor was spraying the turf with an [...] Read more.
The research carried out at the Experimental Station of the University of Agriculture in Krakow aimed to assess the utility value of the turf of a lawn sown with the “Super Trawnik” lawn mixture. The experimental factor was spraying the turf with an amino acid preparation in the form of the AMINO ULTRA Fe-20 fertilizer in three doses: 0.3, 0.5, and 0.7 dm3·ha−1. The iron in the tested preparation is complexed with glycine, a natural plant transporter of microelements. A total of 60 g (variant I), 100 g (variant II), and 140 g (variant III) Fe·ha–1 were applied accordingly. The assessment of the examined features was performed based on a nine-point scale. The highest aesthetic and functional values were characteristic of the grass in sites with the highest dose of complexed iron (variant III). The applied fertilization reduced the occurrence of plant diseases. Compared to the plants from the control groups, infestation with snow mold was 14% lower, and the occurrence of brown leaf blotch was lower by 16%. Satisfactory results were also obtained at the sites where the preparation was applied at a dose of 0.5 dm3·ha−1 (variant II). At these sites, a higher, more favorably assessed compactness and higher resistance to snow mold and brown leaf spots were found compared to the plants from the control groups. The major finding of this work is that applying a higher dose of foliar iron fertilizer complexed with glycine allows one to obtain a high-quality lawn in terms of visual and functional features. Full article
(This article belongs to the Section Agricultural Science and Technology)
Show Figures

Figure 1

13 pages, 3346 KB  
Article
Measuring Fluorescence as a Means to Evaluate the Physiological Reaction to Growth Retardant Applied to Manage Turf
by Danuta Martyniak, Kamil Prokopiuk, Grzegorz Żurek and Krystyna Rybka
Agronomy 2022, 12(8), 1776; https://doi.org/10.3390/agronomy12081776 - 28 Jul 2022
Cited by 4 | Viewed by 2219
Abstract
This paper presents the effects of the physiological reaction of the main cool-season grass species used for turf in a temperate climate: perennial ryegrass, Kentucky bluegrass, and tall fescue, on a twice-a-year trinexapac-ethyl (TE) application in late spring and early autumn, seasons of [...] Read more.
This paper presents the effects of the physiological reaction of the main cool-season grass species used for turf in a temperate climate: perennial ryegrass, Kentucky bluegrass, and tall fescue, on a twice-a-year trinexapac-ethyl (TE) application in late spring and early autumn, seasons of rapid turf growth. The fully established turf plots in the split-plot system of three replicates, with three cultivars/species, were treated by TE (1.5 and 4.5 g/100 m2). The 4.5 g/100 m2 was harmful to Kentucky bluegrass. The perennial ryegrass responded by dose-dependent growth inhibition; 30–60% in spring and 25–40% in autumn for lower and higher doses, respectively. Tall fescue responded by 50% growth inhibition independently of concentration and season. Plant physiological responses, visualized as graphs of fluorescence data, revealed the stress of Kentucky bluegrass upon high TE dose. Based on principal component analysis (PCA) analysis, three groups were distinguished: perennial ryegrass varieties from high and low TE treatments and Kentucky bluegrass varieties from high TE. TE-dependent growth reduction with no significant quality decrease benefits the environment by reducing carbon footprint machine operations (mowing). Utilizing fluorescence measurement may help to manage turf physiology. Full article
(This article belongs to the Special Issue Turfgrass Simulation for Increased Performance in Changing Climate)
Show Figures

Figure 1

7 pages, 1518 KB  
Communication
Considerations with Determining the Minimum Number of Volumetric Water Content Measurements for Turfgrass Root Zones
by Carmen Magro, Stefano Macolino, Cristina Pornaro, Mica McMillan and Michael Fidanza
Agronomy 2022, 12(6), 1402; https://doi.org/10.3390/agronomy12061402 - 11 Jun 2022
Cited by 2 | Viewed by 2598
Abstract
Water is considered the most important natural resource utilized on managed amenity grasslands, and water conservation is an integral part of an overall program in environmental stewardship and best management practices. Measuring and monitoring the soil water content of turfgrass root zones has [...] Read more.
Water is considered the most important natural resource utilized on managed amenity grasslands, and water conservation is an integral part of an overall program in environmental stewardship and best management practices. Measuring and monitoring the soil water content of turfgrass root zones has become an important and routinely accepted practice of golf courses and sports pitches. In recent years, portable hand-held soil moisture meters or sensors have become commercially available and affordable, and therefore have become a valuable and often relied-upon tool for the turfgrass industry practitioner. To maximize or optimize the time and resources needed to measure the root zone volumetric water content of a turf site, a field experiment was conducted to determine the minimum number of soil moisture readings needed per 93 m2 of a sand-based root zone. Of note, 93 m2 is equivalent to 1000 ft2, which is the common form of area measurement utilized by the turfgrass industry in the USA. The standard error of the mean calculated from sampling data revealed that three to four measurements per 93 m2 were the minimum number required. Soil moisture meters should be utilized in a structured, purposeful, and site-specific manner along with traditional soil moisture evaluation methods of diligent scouting for visual signs of turfgrass wilt and drought stress, as well as examining soil root zone cores, to support prudent irrigation water management practices. Knowledge of the soil moisture status will support best practices for water conservation and environmental stewardship while optimizing turfgrass quality, function, and performance. Full article
(This article belongs to the Section Horticultural and Floricultural Crops)
Show Figures

Figure 1

12 pages, 1809 KB  
Article
The Known Antimammalian and Insecticidal Alkaloids Are Not Responsible for the Antifungal Activity of Epichloë Endophytes
by Krishni Fernando, Priyanka Reddy, Simone Vassiliadis, German C. Spangenberg, Simone J. Rochfort and Kathryn M. Guthridge
Plants 2021, 10(11), 2486; https://doi.org/10.3390/plants10112486 - 17 Nov 2021
Cited by 8 | Viewed by 2578
Abstract
Asexual Epichloë sp. endophytes in association with pasture grasses produce agronomically important alkaloids (e.g., lolitrem B, epoxy-janthitrems, ergovaline, peramine, and lolines) that exhibit toxicity to grazing mammals and/or insect pests. Novel strains are primarily characterised for the presence of these compounds to ensure [...] Read more.
Asexual Epichloë sp. endophytes in association with pasture grasses produce agronomically important alkaloids (e.g., lolitrem B, epoxy-janthitrems, ergovaline, peramine, and lolines) that exhibit toxicity to grazing mammals and/or insect pests. Novel strains are primarily characterised for the presence of these compounds to ensure they are beneficial in an agronomical setting. Previous work identified endophyte strains that exhibit enhanced antifungal activity, which have the potential to improve pasture and turf quality as well as animal welfare through phytopathogen disease control. The contribution of endophyte-derived alkaloids to improving pasture and turf grass disease resistance has not been closely examined. To assess antifungal bioactivity, nine Epichloë related compounds, namely peramine hemisulfate, n-formylloline-d3, n-acetylloline hydrochloride, lolitrem B, janthitrem A, paxilline, terpendole E, terpendole C, and ergovaline, and four Claviceps purpurea ergot alkaloids, namely ergotamine, ergocornine, ergocryptine, and ergotaminine, were tested at concentrations higher than observed in planta in glasshouse and field settings using in vitro agar well diffusion assays against three common pasture and turf phytopathogens, namely Ceratobasidium sp., Drechslera sp., and Fusarium sp. Visual characterisation of bioactivity using pathogen growth area, mycelial density, and direction of growth indicated no inhibition of pathogen growth. This was confirmed by statistical analysis. The compounds responsible for antifungal bioactivity of Epichloë endophytes hence remain unknown and require further investigation. Full article
(This article belongs to the Special Issue Fungal Endophytes against Plant Pathogenic Fungi)
Show Figures

Figure 1

5 pages, 1091 KB  
Study Protocol
Exploring Natural Alternatives for Annual Bluegrass Control
by Jacob Taylor, Lambert McCarty and Robert Kerr
Horticulturae 2021, 7(10), 365; https://doi.org/10.3390/horticulturae7100365 - 5 Oct 2021
Cited by 3 | Viewed by 2829
Abstract
A field experiment was conducted to identify and examine the effectiveness of potential non-traditional chemical products and alternatives for controlling annual bluegrass (Poa annua L.), a plant with increasing herbicide resistant problems. In managed turf systems annual bluegrass can be a difficult [...] Read more.
A field experiment was conducted to identify and examine the effectiveness of potential non-traditional chemical products and alternatives for controlling annual bluegrass (Poa annua L.), a plant with increasing herbicide resistant problems. In managed turf systems annual bluegrass can be a difficult winter annual weed to control having negative impacts on turfgrass quality. This study included 12 different treatments [untreated check, baking soda, white vinegar + lemon juice, Suppress herbicide, superphosphate (0-20-0), clove oil, Weed Zap, Avenger Weed Killer, Fiesta Turf Weed Killer, Ecologic Weed & Grass Killer, Alcohol (43% ethanol), and Pool Time Algicide] applied to a TifEagle bermudagrass (Cynodon dactylon × C. traansvalensis) putting green where a natural infestation of annual bluegrass was present. Treatments were assessed visually for annual bluegrass control and turf phytotoxicity 1, 2, and 4 weeks after application. Overall, no treatment provided long-term control which was non-selective. Control was short-lived with annual bluegrass recovery beginning approximately two weeks after applying treatments. Greatest Poa burndown (~85%) was temporarily (1 to 2 weeks after application) with a combination of caprylic and capric acids (Suppress Herbicide) and a combination of clove oil and dishwashing detergent but plants fully recovered by three weeks after application. These products also produced similar temporary turf phytotoxicity. Bermudagrass turf phytotoxicity from selective treatments was most evident one week after applying treatments and turf had mostly fully recovered by four weeks after treatment. Suitable alternatives were not identified from products tested. Full article
Show Figures

Figure 1

16 pages, 4019 KB  
Article
Hybrid Bermudagrass and Tall Fescue Turfgrass Irrigation in Central California: II. Assessment of NDVI, CWSI, and Canopy Temperature Dynamics
by Amir Haghverdi, Maggie Reiter, Amninder Singh and Anish Sapkota
Agronomy 2021, 11(9), 1733; https://doi.org/10.3390/agronomy11091733 - 29 Aug 2021
Cited by 13 | Viewed by 4358
Abstract
As the drought conditions persist in California and water continues to become less available, the development of methods to reduce water inputs is extremely important. Therefore, improving irrigation water use efficiency and developing water conservation strategies is crucial for maintaining urban green infrastructure. [...] Read more.
As the drought conditions persist in California and water continues to become less available, the development of methods to reduce water inputs is extremely important. Therefore, improving irrigation water use efficiency and developing water conservation strategies is crucial for maintaining urban green infrastructure. This two-year field irrigation project (2018–2019) focused on the application of optical and thermal remote sensing for turfgrass irrigation management in central California. We monitored the response of hybrid bermudagrass and tall fescue to varying irrigation treatments, including irrigation levels (percentages of reference evapotranspiration, ETo) and irrigation frequency. The ground-based remote sensing data included NDVI and canopy temperature, which was subsequently used to calculate the crop water stress index (CWSI). The measurements were done within two hours of solar noon under cloud-free conditions. The NDVI and canopy temperature data were collected 21 times in 2018 and 10 times in 2019. For the tall fescue, a strong relationship was observed between NDVI and visual rating (VR) values in both 2018 (r = 0.92) and 2019 (r = 0.83). For the hybrid bermudagrass, there was no correlation in 2018 and a moderate correlation (r = 0.72) in 2019. There was a moderate correlation of 0.64 and 0.88 in 2018 and 2019 between tall fescue canopy minus air temperature difference (dt) and vapor pressure deficit (VPD) for the lower CWSI baseline. The correlation between hybrid bermudagrass dt and VPD for the lower baseline was 0.69 in 2018 and 0.64 in 2019. Irrigation levels significantly impacted tall fescue canopy temperature but showed no significant effect on hybrid bermudagrass canopy temperature. For the same irrigation levels, increasing irrigation frequency slightly but consistently decreased canopy temperature without compromising the turfgrass quality. The empirical CWSI values violated the minimum expected value (of 0) 38% of the time. Our results suggest NDVI thresholds of 0.6–0.65 for tall fescue and 0.5 for hybrid bermudagrass to maintain acceptable quality in the central California region. Further investigation is needed to verify the thresholds obtained in this study, particularly for hybrid bermudagrass, as the recommendation is only based on 2019 data. No CWSI threshold was determined to maintain turf quality in the acceptable range because of the high variability of CWSI values over time and their low correlation with VR values. Full article
(This article belongs to the Special Issue Agricultural Water Conservation: Tools, Strategies, and Practices)
Show Figures

Figure 1

11 pages, 1841 KB  
Article
Drought Resistance and Recovery of Kentucky Bluegrass (Poa pratensis L.) Cultivars under Different Nitrogen Fertilisation Rates
by Cristina Pornaro, Michele Dal Maso and Stefano Macolino
Agronomy 2021, 11(6), 1128; https://doi.org/10.3390/agronomy11061128 - 1 Jun 2021
Cited by 4 | Viewed by 4034
Abstract
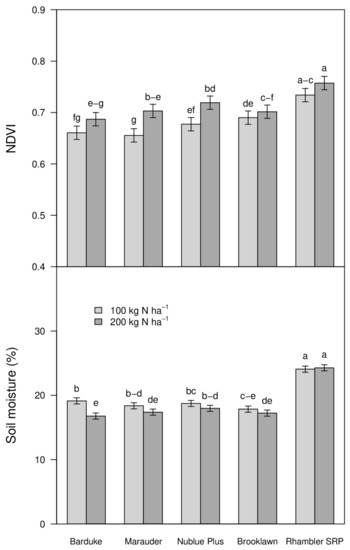
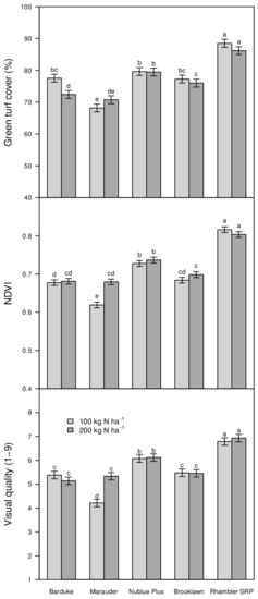
Kentucky bluegrass (Poa pratensis L.) is one of the most popular cool-season turfgrass species. However, little is known about the effects of N supply on its resistance to drought stress. The objective of this study was to assess the effects of acute [...] Read more.
Kentucky bluegrass (Poa pratensis L.) is one of the most popular cool-season turfgrass species. However, little is known about the effects of N supply on its resistance to drought stress. The objective of this study was to assess the effects of acute drought followed by a recovery period on four Kentucky bluegrass cultivars (‘Barduke’, ‘Brooklawn’, ‘NuBlue Plus’ and ‘Marauder’) and one tall fescue (‘Rhambler SRP’) under two different nitrogen fertilisation rates (100 or 200 kg N ha−1 yr−1). The study was conducted over two years in a rain-out structure to control water input in spring and summer. The cultivars were subjected to a drought stress phase (absence of irrigation) followed by a recovery phase (weekly irrigation with an intake of 80% of ET). The green cover percentage, visual quality, NDVI, and soil moisture were measured weekly. We found that Kentucky bluegrass maintains sufficient turf quality for 2 weeks without irrigation. During the first year of the experiment, slight differences were observed among the Kentucky bluegrass cultivars, with ‘Marauder’ showing a 15% of green turf cover less than ‘Brooklawn’ after 6 weeks of acute drought, while in the second year, ‘NuBlue Plus’ displayed higher green turf cover and NDVI than the other cultivars. Nitrogen treatment had limited influence on the performances of the cultivars, ‘Marauder’ being the only one benefitting from the higher rate of applications. Full article
Show Figures

Figure 1

Back to TopTop