Drought Resistance and Recovery of Kentucky Bluegrass (Poa pratensis L.) Cultivars under Different Nitrogen Fertilisation Rates
Abstract
1. Introduction
2. Materials and Methods
2.1. Experiment Description
2.2. Statistical Analysis
3. Results
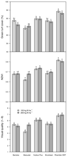
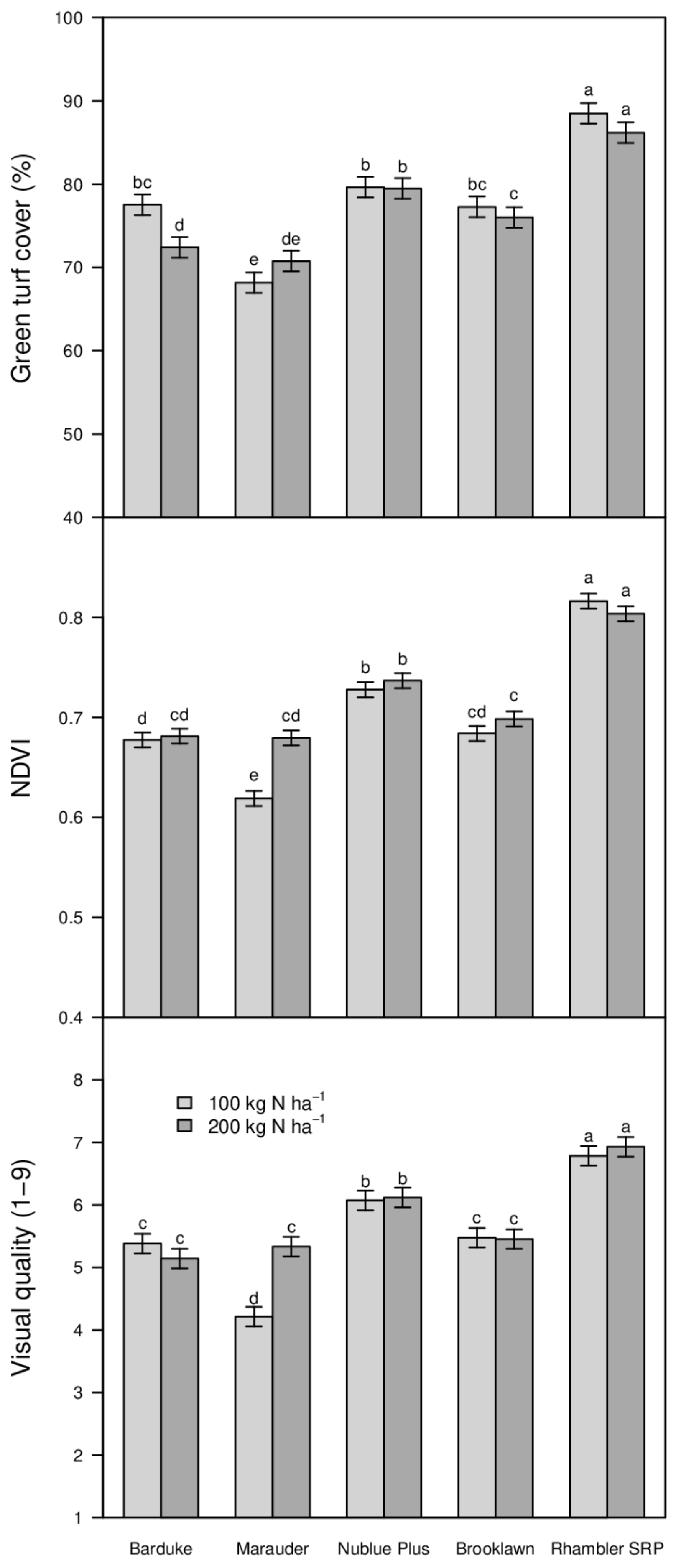
3.1. Green Turf Cover
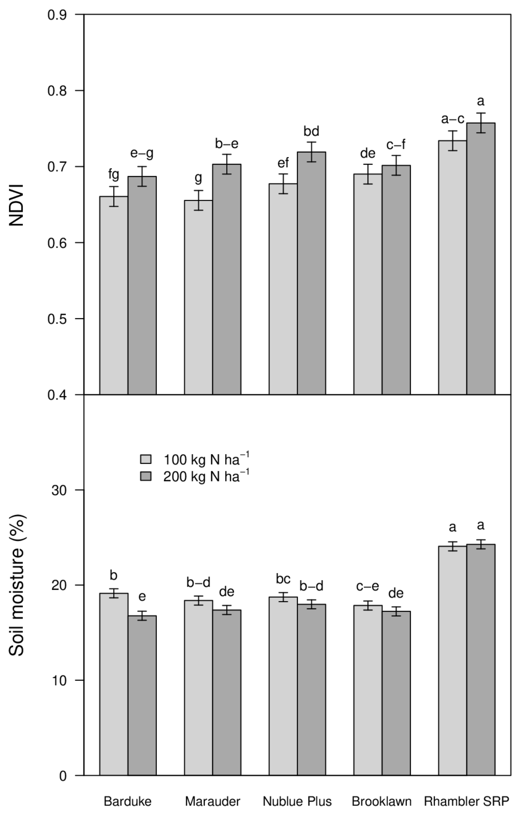
3.2. Normalised Difference Vegetation Index
3.3. Visual Quality
3.4. Soil Moisture
4. Discussions
4.1. Cultivar and Sampling Date Interaction
4.2. Cultivar and N Rate Interaction
5. Conclusions
Supplementary Materials
Author Contributions
Funding
Institutional Review Board Statement
Informed Consent Statement
Conflicts of Interest
References
- Huff, D.R. Kentucky Bluegrass. In Turfgrass Biology, Genetics, and Breeding; Casler, M.D., Duncan, R.R., Eds.; John Wiley & Sons: Hoboken, NJ, USA, 2003. [Google Scholar]
- Croce, P.; De Luca, A.; Falcinelli, M. Tappeti Erbosi; Edagricole: Milano, Italy, 2006. [Google Scholar]
- Pornaro, C.; Barolo, E.; Rimi, F.; Macolino, S.; Richardson, M.D. Performance of various cool-season turfgrasses as influenced by simulated traffic in northeastern Italy. Eur. J. Hortic. Sci. 2016, 81, 27–36. [Google Scholar] [CrossRef]
- Fry, J.; Huang, B. Applied Turfgrass Science and Physiology; John Wiley & Sons: Hoboken, NJ, USA, 2004. [Google Scholar]
- Richardson, M.D.; Karcher, D.E.; Hignight, K.; Rush, D. Drought tolerance and rooting capacity of Kentucky bluegrass cultivars. Crop Sci. 2008, 48, 2429–2436. [Google Scholar] [CrossRef]
- Shortell, R.R.; Meyer, W.A.; Bonos, S.A. Classification and inheritance of morphological and agronomic characteristics in Kentucky bluegrass (Poa pratensis L.). HortScience 2009, 44, 274–279. [Google Scholar] [CrossRef]
- Philandras, C.M.; Nastos, P.T.; Kapsomenakis, J.; Douvis, K.C.; Tselioudis, G.; Zerefos, C.S. Long term precipitation trends and variability within the Mediterranean region. Nat. Hazards Earth Syst. 2011, 11, 3235–3250. [Google Scholar] [CrossRef]
- Huifang, Z.; Xin, Z.; Wenjun, M.; Junyu, S.; Siddiq, U.R.; Junhui, W.; Yi, Z. Morphological and physiological responses to cyclic drought in two contrasting genotypes of Catalpa bungei. Environ. Exp. Bot. 2017, 138, 77–87. [Google Scholar]
- Powlen, J.S.; Bigelow, C.A.; Patton, A.J.; Jiang, Y.; Fraser, M.L. Minimal irrigation requirements of Kentucky bluegrass and tall fescue blends in the northern transition zone. Crop Sci. 2020, 1–10. [Google Scholar] [CrossRef]
- Huang, B. Turfgrass water requirements and factors affecting water usage. In Water Quality and Quantity Issues for Turfgrass in Urban Landscapes; Council of Agricultural Science and Technology: Ames, IA, USA, 2008; Volume 27, pp. 193–205. [Google Scholar]
- Mastalerczuk, G.; Borawska-Jarmułowicz, B.; Kalaji, H.M. Response of Kentucky bluegrass lawn plants to drought stress at early growth stages. Pak. J. Agric. Sci. 2017, 54, 811–817. [Google Scholar]
- Bhusal, N.; Lee, M.; Lee, H.; Adhikari, A.; Han, A.R.; Han, A.; Kim, H.S. Evaluation of morphological, physiological, and biochemical traits for assessing drought resistance in eleven tree species. Sci. Total Environ. 2021, 779, 146466. [Google Scholar] [CrossRef]
- Jiang, Y.; Huang, B. Effects of drought or heat stress alone and in combination on Kentucky bluegrass. Crop Sci. 2000, 40, 1358–1362. [Google Scholar] [CrossRef]
- Schiavon, M.; Green, R.L.; Baird, J.H. Drought tolerance of cool-season turfgrasses in a Mediterranean climate. Eur. J. Hortic. Sci. 2014, 79, 175–182. [Google Scholar]
- Gojon, A. Nitrogen nutrition in plants: Rapid progress and new challenges. J. Exp. Bot. 2017, 68, 2457–2462. [Google Scholar] [CrossRef]
- Saud, S.; Fahad, S.; Yajun, C.; Ihsan, M.Z.; Hammad, H.M.; Nasim, W.; Arif, M.; Alharby, H. Effects of nitrogen supply on water stress and recovery mechanisms in Kentucky bluegrass plants. Front. Plant Sci. 2017, 8, 983. [Google Scholar] [CrossRef]
- Saud, S.; Fahad, S.; Cui, G.; Yajun, C.; Anwar, S. Determining nitrogen isotopes discrimination under drought stress on enzymatic activities, nitrogen isotope abundance and water contents of Kentucky bluegrass. Sci. Rep. 2020, 10, 1–16. [Google Scholar] [CrossRef]
- Zhang, X.; Hu, L.; Bian, X.; Zhao, B.; Chai, F.; Sun, X. The most economical irrigation amount and evapotranspiration of the turfgrasses in Beijing City, China. Agric. Water Manag. 2007, 89, 98–104. [Google Scholar] [CrossRef]
- Waraich, E.A.; Ahmad, R.; Ashraf, M.Y. Role of mineral nutrition in alleviation of drought stress in plants. Aust. J. Crop Sci. 2011, 5, 764–777. [Google Scholar]
- Macolino, S. Tecnologie di Impianto e Tecniche di Gestione per Tappeti Erbosi ad Alta Intensità di Utilizzazione. Master’s Thesis, University of Padova, Padova, Italy, 2002. [Google Scholar]
- Morari, F. Drainage flux measurement and errors associated with automatic tension-controlled suction plates. Soil Sci. Soc. Am. J. 2006, 70, 1860–1871. [Google Scholar] [CrossRef]
- Regional Agency for Environmental Protection of Veneto Region (ARPAV). Dipartimento Per La Sicurezza Del Territorio. Centro Meterologico: Teolo, Padova, Italy. Available online: http://www.arpa.veneto.it/dati-ambientali/open-data/clima/principali-variabili-meteorologiche (accessed on 22 March 2021).
- Richardson, M.D.; Karcher, D.E.; Purcell, L.C. Quantifying turfgrass cover using digital image analysis. Crop Sci. 2001, 41, 1884–1888. [Google Scholar] [CrossRef]
- Krans, J.V.; Morris, K. Determining a profile of protocols and standards used in the visual field assessment of turfgrasses: A survey of national turfgrass evaluation program-sponsored university scientists. Appl. Turfgrass Sci. 2007, 4, 1–6. [Google Scholar] [CrossRef]
- Leinauer, B.; VanLeeuwen, D.M.; Serena, M.; Schiavon, M.; Sevostianova, E. Digital image analysis and spectral reflectance to determine turfgrass quality. Agron. J. 2014, 106, 1787–1794. [Google Scholar] [CrossRef]
- R Core Team (2020). R: A Language and Environment for Statistical Computing. R Foundation for Statistical Computing: Vienna, Austria. Available online: https://www.R-project.org/ (accessed on 22 March 2021).
- Beard, J.B. Turfgrass: Science and Culture; Prentice Hall: Englewood Cliffs, NJ, USA, 1973. [Google Scholar]
- Ebdon, J.S.; Kopp, K.L. Relationships between water use efficiency, carbon isotope discrimination, and turf performance in genotypes of Kentucky bluegrass during drought. Crop Sci. 2004, 44, 1754–1762. [Google Scholar] [CrossRef]
- Perdomo, P.; Murphy, J.A.; Berkowitz, G.A. Physiological changes associated with performance of Kentucky bluegrass cultivars during summer stress. HortScience 1996, 31, 1182–1186. [Google Scholar] [CrossRef]
- Abraham, E.M.; Huang, B.; Bonos, S.A.; Meyer, W.A. Evaluation of drought resistance for Texas bluegrass, Kentucky bluegrass, and their hybrids. Crop Sci. 2004, 44, 1746–1753. [Google Scholar] [CrossRef]
- Liu, J.; Xie, X.; Du, J.; Sun, J.; Bai, X. Effects of simultaneous drought and heat stress on Kentucky bluegrass. Sci. Hortic. 2008, 115, 190–195. [Google Scholar] [CrossRef]
- Pornaro, C.; Serena, M.; Macolino, S.; Leinauer, B. Drought stress response of turf-type perennial ryegrass genotypes in a Mediterranean environment. Agronomy 2020, 10, 1810. [Google Scholar] [CrossRef]
- Farooq, M.; Wahid, A.; Kobayashi, N.; Fujita, D.; Basra, S.M.A. Plant drought stress: Effects, mechanisms and management. Agron. Sustain. Dev. 2009, 29, 185–212. [Google Scholar] [CrossRef]




| Source | 2019 | 2020 | ||||||
|---|---|---|---|---|---|---|---|---|
| Green Turf Cover | NDVI | Soil Moisture | Visual Quality | Green Turf Cover | NDVI | Soil Moisture | Visual Quality | |
| Cultivar (cv) | *** | *** | *** | *** | *** | *** | *** | *** |
| N rate (N) | n.s. | n.s. | n.s. | n.s. | n.s. | n.s. | n.s. | n.s. |
| Sampling date (da) | *** | *** | *** | *** | *** | *** | *** | *** |
| cv × N | n.s. | * | ** | n.s. | ** | *** | n.s. | *** |
| cv × da | *** | ** | * | *** | *** | *** | * | *** |
| N × da | n.s. | n.s. | n.s. | n.s. | n.s. | n.s. | n.s. | n.s. |
| cv × N × da | n.s. | n.s. | n.s. | n.s. | n.s. | n.s. | n.s. | n.s. |
Publisher’s Note: MDPI stays neutral with regard to jurisdictional claims in published maps and institutional affiliations. |
© 2021 by the authors. Licensee MDPI, Basel, Switzerland. This article is an open access article distributed under the terms and conditions of the Creative Commons Attribution (CC BY) license (https://creativecommons.org/licenses/by/4.0/).
Share and Cite
Pornaro, C.; Dal Maso, M.; Macolino, S. Drought Resistance and Recovery of Kentucky Bluegrass (Poa pratensis L.) Cultivars under Different Nitrogen Fertilisation Rates. Agronomy 2021, 11, 1128. https://doi.org/10.3390/agronomy11061128
Pornaro C, Dal Maso M, Macolino S. Drought Resistance and Recovery of Kentucky Bluegrass (Poa pratensis L.) Cultivars under Different Nitrogen Fertilisation Rates. Agronomy. 2021; 11(6):1128. https://doi.org/10.3390/agronomy11061128
Chicago/Turabian StylePornaro, Cristina, Michele Dal Maso, and Stefano Macolino. 2021. "Drought Resistance and Recovery of Kentucky Bluegrass (Poa pratensis L.) Cultivars under Different Nitrogen Fertilisation Rates" Agronomy 11, no. 6: 1128. https://doi.org/10.3390/agronomy11061128
APA StylePornaro, C., Dal Maso, M., & Macolino, S. (2021). Drought Resistance and Recovery of Kentucky Bluegrass (Poa pratensis L.) Cultivars under Different Nitrogen Fertilisation Rates. Agronomy, 11(6), 1128. https://doi.org/10.3390/agronomy11061128

