Quality and Establishment of Some Water-Conserving Turfgrass Species for Sustainable Development and Some Ecosystem Services in Arid Urban Environments
Abstract
1. Introduction
2. Materials and Methods
2.1. Experimental Design and Site Description
2.2. Description of the Studied Species
2.2.1. Kikuyu Grass (Pennisetum clandestinum)
2.2.2. Bermuda Grass (Cynodon dactylon)
2.2.3. Buffalo Grass (Buchloe dactyloides)
2.2.4. Tall Fescue (Festuca arundinacea)
2.3. Planting and Maintenance
2.4. Measured Factors
2.5. Statistical Analysis
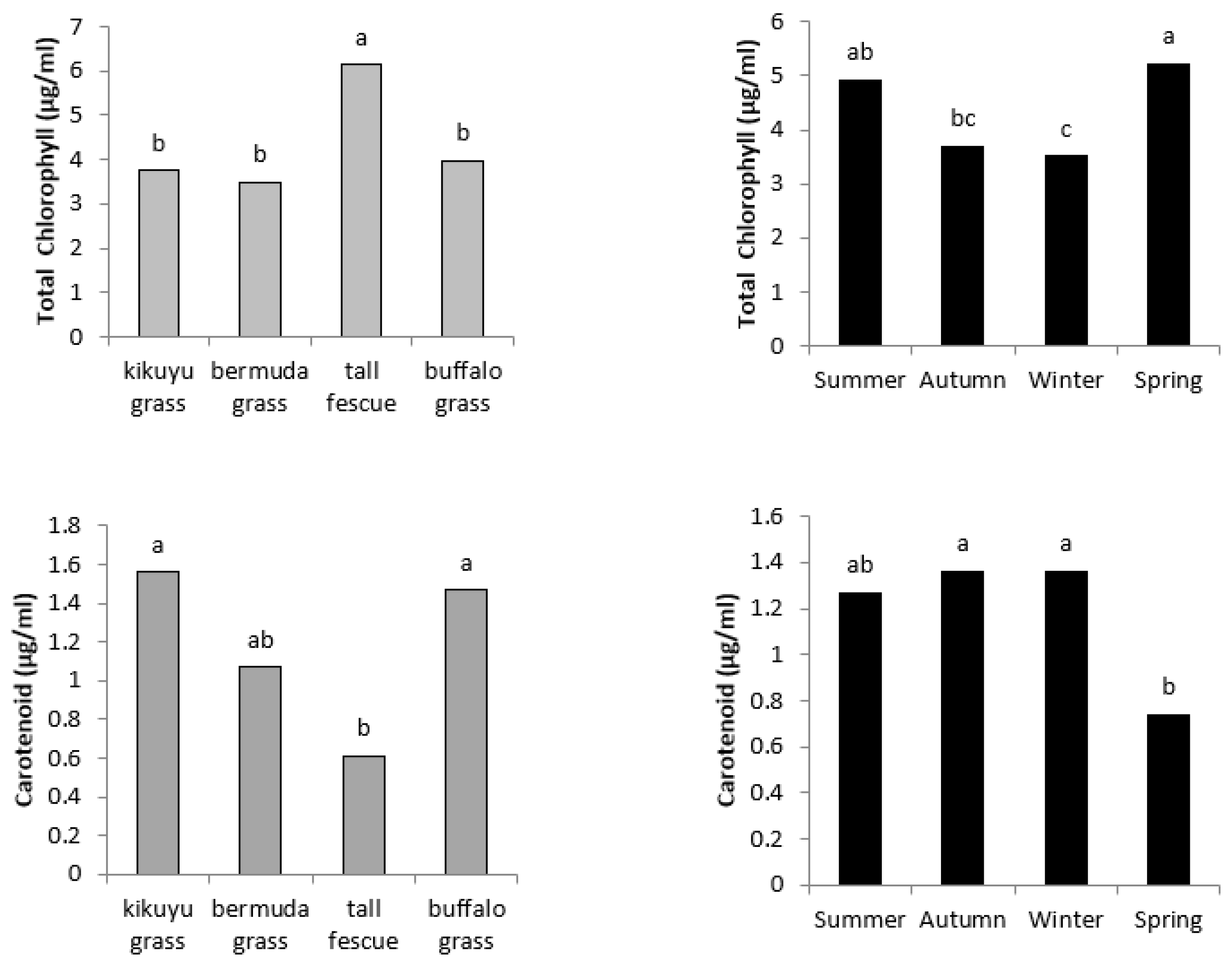
3. Results
4. Discussion
5. Conclusions
Author Contributions
Funding
Data Availability Statement
Conflicts of Interest
References
- Nazemi Rafi, Z.; Kazemi, F.; Tehranifar, A. Effects of various irrigation regimes on water use efficiency and visual quality of some ornamental herbaceous plants in the field. Agric. Water Manag. 2019, 21, 78–87. [Google Scholar] [CrossRef]
- Kazemi, F.; Mohorko, R. Review on the roles and effects of growing media on plant performance in green roofs in world climates. Urban For. Urban Green. 2017, 23, 13–26. [Google Scholar] [CrossRef]
- Nazemi Raf, Z.; Kazemi, F.; Tehranifar, A. Public Preferences Toward Water-wise Landscape Design in a Summer Season. Urban For. Urban Green. 2020, 48, 126563. [Google Scholar] [CrossRef]
- Shi, Y.; Guofu, Y.; Du, Y.; Ren, Y.; Lu, Y.; Fan, L.; Chang, J.; Ge, Y.; Bao, Z. Estimating irrigation water demand for green spaces in humid areas: Seeking a sustainable water management strategy. Urban Water J. 2017, 15, 16–22. [Google Scholar] [CrossRef]
- Kazemi, F.; Beecham, S.; Gibbs, J. Streetscape biodiversity and the Role of bioretention swales in an Australian urban environment. Landsc. Urban Plan. 2011, 101, 139–148. [Google Scholar] [CrossRef]
- Rabbani, M.; Kazemi, F. Investigating strategies for optimum water usage in green spaces covered with lawn. Desert 2015, 12, 217–230. [Google Scholar]
- Monteiro, J.A. Ecosystem services from turfgrass landscapes. Urban For. Urban Green. 2017, 26, 151–157. [Google Scholar] [CrossRef]
- Hedblom, M.; Lindberg, F.; Vogel, E.; Wissman, J.; Ahrne, K. Estimating urban lawn cover in space and time: Case studies in three Swedish cities. Urban Ecosyst. 2017, 20, 1109–1119. [Google Scholar] [CrossRef]
- Dong, Y.; Lei, T.; Li, S.H.; Yuan, C.; Zhou, S.H.; Yang, Z. Effects of rye grass coverage on soil loss from loess slopes. Int. Soil Water Conserv. Res. 2015, 3, 170–182. [Google Scholar] [CrossRef]
- Bretzel, F.; Gaetani, M.; Vannucchi, F.; Caudai, C.; Grossi, N.; Magni, S.; Caturegli, L.; Volterrani, M. A multifunctional alternative lawn where warm-season grass and cold-season flowers coexist. Landsc. Ecol. Eng. 2020, 16, 307–317. [Google Scholar] [CrossRef]
- Winkler, J.; Pasternak, G.; Sas, W.; Hurajová, E.; Koda, E.; Vaverková, M.D. Nature-Based Management of Lawns—Enhancing Biodiversity in Urban Green Infrastructure. Appl. Sci. 2024, 14, 1705. [Google Scholar] [CrossRef]
- Chou, M.; Pavlou, D.; Rice, P.J.; Spokas, K.A.; Soldat, D.J.; Koch, P.L. Microbial diversity and soil health parameters associated with turfgrass landscapes. Appl. Soil Ecol. 2024, 196, 105311. [Google Scholar] [CrossRef]
- Mirabile, M.; Bretzel, F.; Gaetani, M.; Lulli, F.; Volterrani, M. Improving aesthetic and diversity of bermuda grass lawn in its dormancy period. Urban For. Urban Green. 2016, 18, 190–197. [Google Scholar] [CrossRef]
- Pessarakli, M.; Kopec, D. Comparing growth responses of selected cool- season turf grasses under salinity and drought stresses. Turfgrass Landsc. Urban IPM Res. Summ. 2008, 158, 55–60. [Google Scholar]
- Du, H.; Wang, Z.; Huang, B. Differential Responses of Warm-season and Cool-season Turfgrass Species to Heat Stress Associated with Antioxidant Enzyme Activity. J. Am. Soc. Hortic. Sci. 2009, 134, 417–422. [Google Scholar] [CrossRef]
- Romero, C.; Dukes, M. Turfgrass and Ornamental Plant Evapotranspiration and Crop Coefficient Literature Review; Agricultural and Biological Engineering Department, University of Florida: Gainesville, FL, USA, 2009; Available online: https://abe.ufl.edu/faculty/mdukes/turfgrass (accessed on 19 December 2018).
- Croce, P.; De Luca, A.; Mocioni, M.; Volterrani, M.; Beard, J. Adaptability of warm season turfgrass species and cultivars in a Mediterranean climate. Acta Hortic. 2004, 61, 365–368. [Google Scholar] [CrossRef]
- Law, Q.; Trappe, J.; Patton, A. Greenhouse gas fluxes from turfgrass systems: Species, growth rate, clipping management, and environmental effects. J. Environ. Qual. 2021, 50, 547–557. [Google Scholar] [CrossRef] [PubMed]
- Fuentealba, M.; Zhang, J.; Kenworthy, K.; Erickson, J.; Kruse, J.; Trenholm, L. Transpiration responses of warm-season turfgrass in relation to progressive soil drying. Sci. Hortic. 2016, 198, 249–253. [Google Scholar] [CrossRef]
- Pompeiano, A.; Giannini, V.; Gaetani, M.; Vita, F.; Guglielminetti, L.; Bonari, E.; Volterrani, M. Response of warm–season grasses to N fertilization and salinity. Sci. Hortic. 2014, 177, 92–98. [Google Scholar] [CrossRef]
- Morris, K.N.; Shearman, R.C. NTEP Turfgrass Evaluation Guidelines Beltsville (MD): National Turfgrass Evaluation Program. 2008. Available online: http://www.ntep.org/cooperator.htm (accessed on 15 January 2013).
- Saeedi Pooya, E.; Tehranifar, A.; Shoor, M.; Selahvarzi, Y.; Ansari, H. The use of native turf mixtures to approach sustainable lawn in urban landscapes. Urban For. Urban Green. 2013, 12, 532–536. [Google Scholar] [CrossRef]
- Kazemi, F.; Golzarian, M.; Nematollahi, F. Quality assessment of turfgrasses using NTEP method compared to an image-based scoring system. J. Ornam. Plants 2020, 10, 177–178. [Google Scholar]
- Mortazavi, S.M.; Rabbi Angurany, H. Evaluation of ecological compatibility of five external grass varieties conditions of Zanjan. In Proceedings of the First National Congress of Science and New Technologies in Agriculture, Zanjan, Iran, 9 September 2011. (In Persian). [Google Scholar]
- Salehi, H.; Khosh-Khui, M. Turf monoculture cool-cool and cool-warm season seed mixture establishment and growth responses. Am. Soc. Hortic. Sci. 2004, 39, 1732–1735. [Google Scholar]
- Akbarzadeh, M. The Effect of Deficit Irrigation on Traits and Growth Buffalo Grass, Fescue and Bermuda Grass. Master’s Thesis, Ferdowsi University of Mashhad Iran, Mashhad, Iran, 2013. (In Persian). [Google Scholar]
- Martiniello, P.; D’Andrea, E. Cool-season turf grass species adaptability in Mediterranean environments and quality traits of varieties. Eur. J. Agron. 2006, 25, 234–242. [Google Scholar] [CrossRef]
- Johnson, P. Mixtures of Buffalograss and Fine fescue or Streambank Wheatgrass as a Low-maintenance Turf. HortScience 2003, 38, 1214–1217. [Google Scholar] [CrossRef]
- Volterrani, M.; Gross, N.; Pardine, G.; Miele, S.; Gaetani, M.; Magni, S. Warm season turfgrass adaptation in Italy. Int. Turfgrass Soc. Res. J. 1993, 8, 1298–1309. [Google Scholar]
- Whitman, B.; Iannone, B.; Kruse, J.; Unruh, B.; Dale, A. Cultivar blends: A strategy for creating more resilient warm season turfgrass lawns. Urban Ecosyst. 2022, 25, 797–810. [Google Scholar] [CrossRef]
- Wilen, C.A.; Cudney, D.W.; Elmore, C.L.; Gibeault, V.A. Kikuyu Grass, Integrated Pest Management for Home Gardeners and Landscape Professionals (PEST NOTES), University of California Statewide Integrated Pest Management Program Agriculture and Natural Resources. 2011. Available online: www.ipm.ucdavis.edu (accessed on 15 May 2024).
- Muscolo, A.; Panuccio, M.R.; Eshel, A. Ecophysiology of Pennisetum clandestinum: A valuable salt tolerant grass. Environ. Exp. Bot. 2013, 92, 55–63. [Google Scholar] [CrossRef]
- Moore, G.; Sanford, P.; Wiley, T. Perennial Pastures for Western Australia (Bulletin 4690); Department of Agriculture and Food Western Australia: Perth, Australia, 2006. [Google Scholar]
- Nasrasafhani, M.; Razmjo, J. Comparison of drought tolerance of African grass cultivars for use in green spaces. In Proceedings of the First National Conference of Low-Water Green Spaces, Kashan, Iran, 5 May 2015. (In Persian). [Google Scholar]
- Huff, D.R.; Peakall, R.; Smouse, P.E. RAPD variation within and among natural populations of outcrossing buffalo grass [Buchloe dactyloides (Nutt.) Engelm.]. Theor. Appl. Genet. 1993, 86, 927–934. [Google Scholar] [CrossRef]
- Ghasemi Gahsare, M.; Kafi, M. Scientific, and Practical Floriculture (Volume II), 3rd ed.; Day Negar Publishing: Isfahan, Iran, 2010. (In Persian) [Google Scholar]
- Turgeon, A.J. Turf Grass Management; Reston Publishing: Reston, VA, USA, 1985. [Google Scholar]
- Arnon, D.S. Copper enzyme in isolated chloroplast polyphenol oxidase in Beta Vulgaris. J. Plant Physiol. 1940, 24, 1–15. [Google Scholar] [CrossRef]
- Giolo, S.; Macolino, M.; Barolo, E.; Rimi, F. Stolons reserves and spring green-up of seeded bermudagrass cultivars in a transition zone environment. Hortic. Sci. 2013, 48, 780–784. [Google Scholar] [CrossRef]
- Trudgill, S.; Jeffery, A.; Parker, J. Climate change and the resilience of the domestic lawn Stephen. Appl. Geogr. 2010, 30, 177–190. [Google Scholar] [CrossRef]
- Bunderson, L.; Johnson, P.; Kopp, K.; Dyke, A.V. Tools for evaluating native grasses as low maintenance turf. Technol. Prod. Rep. 2009, 19, 626–632. [Google Scholar]
- Janakiram, T.; Namita, A. Genetic divergence analysis in turfgrasses based on morphological traits. Indian J. Agric. Sci. 2014, 84, 1035–1039. [Google Scholar]
- Agnihotrl, R.; Chawla, S.L.; Patil, S. Evaluation of warm-season turfgrasses for various qualitative and quantitative traits under Gujarat agro-climatic conditions. Indian J. Agric. Sci. 2017, 87, 83–91. [Google Scholar]
- Beard, J.B.; Green, R.L. The role of turfgrasses in environmental protection and their benefits to humans. J. Environ. Qual. 1994, 22, 452–460. [Google Scholar] [CrossRef]
- Liu, M.; Sun, T.; Liu, C.; Zhang, H.; Wang, W.; Wang, Y.; Xiang, L.; Chan, Z. Integrated physiological and transcriptomic analyses of two warm- and cool-season turfgrass species in response to heat stress. Plant Physiol. Biochem. 2022, 170, 275–286. [Google Scholar] [CrossRef]









| 2015 | 2016 | |||||||||||
|---|---|---|---|---|---|---|---|---|---|---|---|---|
| July | August | September | October | November | December | January | February | March | April | May | June | |
| Total precipitation (mm) | 0 | 0 | 0.1 | 0 | 15.6 | 16.4 | 16.5 | 18.1 | 16.3 | 48 | 87.8 | 44.6 |
| Average temperature (°C) | 28.8 | 29.6 | 26.8 | 21.4 | 17 | 8.8 | 5.4 | 6.8 | 7.8 | 11.7 | 15 | 23 |
| Maximum temperature (°C) | 40 | 40.6 | 39.8 | 33.4 | 35.9 | 22.4 | 23.5 | 22.2 | 27.4 | 29.1 | 32.6 | 36.8 |
| Minimum temperature (°C) | 14.6 | 18.6 | 13.7 | 8.6 | 3.6 | 0.6 | −5.6 | −4.5 | −5 | 0.7 | 2.2 | 13 |
| Relative humidity (%) | 13.5 | 15.5 | 20.6 | 45.9 | 68.1 | 98.1 | 72.6 | 34 | 33.2 | 69.5 | 53.8 | 40.4 |
| Source | df | Color | Density | Turf Texture | Uniformity of Turf | Weed Score | Resistance to Cold | General Quality | Coverage |
|---|---|---|---|---|---|---|---|---|---|
| Block | 3 | 1.28 | 2.92 | 0.67 | 4.27 | 3.16 * | 2.95 | 2 | 6.66 ** |
| Season | 3 | 141.79 ** | 11.25 * | 22.28 ** | 11.51 * | 11.78 ** | 123.38 ** | 158.59 ** | 21.83 ** |
| Error a | 9 | 1.55 | 2.45 | 3.27 | 3.37 | 1.25 | 1.26 | 0.98 | 1.02 |
| Grass | 3 | 69.94 ** | 69.49 ** | 9.02 * | 79.22 ** | 51.11 ** | 24.60 ** | 21.97 ** | 188.74 ** |
| Grass × season | 9 | 22.15 ** | 14.68 ** | 19.88 ** | 12.25 ** | 8.26 ** | 23.01 ** | 30.25 ** | 23.13 ** |
| Error b | 36 | 1.78 | 3.2 | 2.13 | 2.53 | 2.16 | 1.59 | 1.09 | 2.48 |
| Source | df | Quality after Clipping | Height | Leaf Width | Fresh Weight of Clipping | The Dry Weight of Clipping | Chlorophyll a | Chlorophyll b | Total Chlorophyll | Carotenoids |
|---|---|---|---|---|---|---|---|---|---|---|
| Block | 3 | 2.64 | 54.45 ** | 0.009 | 79.611 * | 3.5 | 2.05 | 0.87 | 3.69 | 0.4 |
| Season | 3 | 5.57 * | 568.24 ** | 0.1 ** | 12,520.8 ** | 1025.34 ** | 6.05 * | 5.16 ** | 10.40 ** | 1.43 * |
| Error a | 9 | 1.36 | 7.31 | 0.006 | 13.18 | 4.02 | 1.72 | 0.31 | 1.18 | 0.31 |
| Grass | 3 | 3.21 * | 404.41 ** | 1.51 ** | 11,626 ** | 248.25 ** | 6.03 ** | 16.79 ** | 18.62 ** | 2.98 ** |
| Grass × season | 9 | 4.27 ** | 136.48 ** | 0.1 ** | 7165.38 ** | 236.42 ** | 1.83* | 1.27 ** | 1.77 | 0.6 |
| Error b | 36 | 1.08 | 13.19 | 0.008 | 65.33 | 5.45 | 0.88 | 0.41 | 1.03 | 0.43 |
| Color | Turf Density | Turf Texture | Uniformity of Turf | Amount of Weeds | Resistance to Cold | General Quality | Establishment of Turf | Quality after Clipping | ||||||||||||||||||||||||||||
|---|---|---|---|---|---|---|---|---|---|---|---|---|---|---|---|---|---|---|---|---|---|---|---|---|---|---|---|---|---|---|---|---|---|---|---|---|
| s | a | w | p | s | a | w | p | s | a | w | p | s | a | w | p | s | a | w | p | s | a | w | p | s | a | w | p | s | a | w | p | s | a | w | p | |
| Kikuyu Grass | * | * | * | * | * | * | * | * | * | * | * | * | * | * | * | * | * | * | * | * | * | * | * | * | * | * | * | * | ||||||||
| Bermuda Grass | * | * | * | * | * | * | * | * | * | * | * | * | * | * | * | * | * | * | * | |||||||||||||||||
| Tall Fescue | * | * | * | * | * | * | * | * | * | * | * | * | * | * | * | * | * | * | * | * | * | * | ||||||||||||||
| Buffalo Grass | * | * | * | * | * | * | * | * | * | * | * | * | * | * | * | * | * | * | * | * | * | * | * | * | * | * | * | * | * | |||||||
Disclaimer/Publisher’s Note: The statements, opinions and data contained in all publications are solely those of the individual author(s) and contributor(s) and not of MDPI and/or the editor(s). MDPI and/or the editor(s) disclaim responsibility for any injury to people or property resulting from any ideas, methods, instructions or products referred to in the content. |
© 2024 by the authors. Licensee MDPI, Basel, Switzerland. This article is an open access article distributed under the terms and conditions of the Creative Commons Attribution (CC BY) license (https://creativecommons.org/licenses/by/4.0/).
Share and Cite
Kazemi, F.; Golzarian, M.R.; Rabbani Kheir Khah, S.M. Quality and Establishment of Some Water-Conserving Turfgrass Species for Sustainable Development and Some Ecosystem Services in Arid Urban Environments. Land 2024, 13, 721. https://doi.org/10.3390/land13060721
Kazemi F, Golzarian MR, Rabbani Kheir Khah SM. Quality and Establishment of Some Water-Conserving Turfgrass Species for Sustainable Development and Some Ecosystem Services in Arid Urban Environments. Land. 2024; 13(6):721. https://doi.org/10.3390/land13060721
Chicago/Turabian StyleKazemi, Fatemeh, Mahmood Reza Golzarian, and Seyedeh Maliheh Rabbani Kheir Khah. 2024. "Quality and Establishment of Some Water-Conserving Turfgrass Species for Sustainable Development and Some Ecosystem Services in Arid Urban Environments" Land 13, no. 6: 721. https://doi.org/10.3390/land13060721
APA StyleKazemi, F., Golzarian, M. R., & Rabbani Kheir Khah, S. M. (2024). Quality and Establishment of Some Water-Conserving Turfgrass Species for Sustainable Development and Some Ecosystem Services in Arid Urban Environments. Land, 13(6), 721. https://doi.org/10.3390/land13060721

