Sign in to use this feature.

Years

Between: -

Subjects

remove_circle_outline
remove_circle_outline
remove_circle_outline
remove_circle_outline
remove_circle_outline
remove_circle_outline
remove_circle_outline

Journals

Article Types

Countries / Regions

Search Results (112)

Search Parameters:
Keywords = trion

Order results
Result details
Results per page
Select all
Export citation of selected articles as:
6 pages, 1117 KB  
Short Note
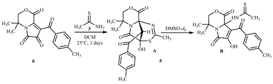
(4S*,10aS*,11S*)-4-Hydroxy-2,7,7-trimethyl-11-(4-methylbenzoyl)-7,8-dihydro-10H-4,10a-methano[1,4]oxazino[3,4-d][1,3,5]thiadiazepine-5,10(4H)-dione
by Nikita A. Tretyakov and Andrey N. Maslivets
Molbank 2026, 2026(2), M2143; https://doi.org/10.3390/M2143 - 3 Mar 2026
Viewed by 304
Abstract
The reaction of 4,4-dimethyl-8-(4-methylbenzoyl)-3,4-dihydro-1H-pyrrolo[2,1-c][1,4]oxazine-1,6,7-trione with thioacetamide in a 1:1 ratio when refluxed in dichloromethane gives (4S*,10aS*,11S*)-4-hydroxy-2,7,7-trimethyl-11-(4-methylbenzoyl)-7,8-dihydro-10H-4,10a-methano[1,4]oxazino[3,4-d][1,3,5]thiadiazepine-5,10(4H)-dione with a good yield. This compound was fully characterized. Full article
(This article belongs to the Section Structure Determination)
Show Figures

Figure 1

41 pages, 7193 KB  
Article
Nonlinear Optical Properties of Fe(II) and Ru(II) Alkynyl-Functionalized 1,3,5-Triphenyl-1,3,5-triazine-2,4,6-triones and 1,3,5-Triphenylbenzenes: Syntheses, Second-Harmonic Generation and Two-Photon Absorption
by Alexander Trujillo, Romain Veillard, Amédée Triadon, Guillaume Grelaud, Gilles Argouarch, Thierry Roisnel, Anu Singh, Isabelle Ledoux, Anissa Amar, Abdou Boucekkine, Marek Samoc, Katarzyna Matczyszyn, Xinwei Yang, Adam Barlow, Marie P. Cifuentes, Mahbod Morshedi, Mark G. Humphrey and Frédéric Paul
Photochem 2026, 6(1), 6; https://doi.org/10.3390/photochem6010006 - 21 Jan 2026
Viewed by 578
Abstract
We report the use of σ-alkynyl d6 electron-rich transition metal complexes as electron-releasing end-groups in octupolar molecules designed for nonlinear optical (NLO) applications, specifically, N,N′,N″-triarylisocyanurates (5,7,8,10,12) [...] Read more.
We report the use of σ-alkynyl d6 electron-rich transition metal complexes as electron-releasing end-groups in octupolar molecules designed for nonlinear optical (NLO) applications, specifically, N,N′,N″-triarylisocyanurates (5,7,8,10,12) and 1,3,5-triarylbenzenes (6,9,11) functionalized by Fe(II) and Ru(II) organometallic moieties, and their NLO properties, as assessed by hyper-Rayleigh scattering (HRS) and Z-scan. The redox properties are briefly investigated through isolation of the corresponding Fe(III) trications 5[PF6]3 and 6[PF6]3. The second-harmonic generation (SHG) or two-photon absorption (2PA) performance of the Fe(II) and Ru(II) parents is compared with the help of TD-DFT calculations performed on models. Comparison with tris-ferrocenyl isocyanurate 4 reveals that the σ-connection of the metallic centers to the π-manifold is superior to the η5-connection for enhancing NLO properties. The positive effect of organometallic end-groups on NLO properties relative to purely organic electron-releasing substituents is established. The mechanism by which NLO enhancement occurs is complex and possibly connected to the polarizable π-electrons in the ligands surrounding the metal alkynyl units, but in most cases, the observed NLO enhancement must arise from the transition metal centers interacting with the central π-manifold. Full article
(This article belongs to the Special Issue Feature Papers in Photochemistry, 3rd Edition)
Show Figures

Graphical abstract

16 pages, 2951 KB  
Article
Antioxidant and Anti-Inflammatory Constituents from the Roots of Anodendron affine: Inhibition of the fMLP-Induced Superoxide Anion Generation and Molecular Docking Studies
by Shih-Jung Cheng, Yuen-Sing Lee, Lin-Yang Cheng, Sin-Min Li and Jih-Jung Chen
Antioxidants 2026, 15(1), 97; https://doi.org/10.3390/antiox15010097 - 12 Jan 2026
Viewed by 687
Abstract
Oxidative stress is a key driver of chronic inflammatory diseases. Anodendron affine is a native Formosan plant species in Taiwan that remains largely underexplored phytochemically and bioactivity. To reveal the bioactive constituents and assess its potential as a source of anti-inflammatory antioxidants, we [...] Read more.
Oxidative stress is a key driver of chronic inflammatory diseases. Anodendron affine is a native Formosan plant species in Taiwan that remains largely underexplored phytochemically and bioactivity. To reveal the bioactive constituents and assess its potential as a source of anti-inflammatory antioxidants, we performed bioactivity-guided fractionation and evaluated the inhibition of superoxide anion (O2•−) generation in formyl-L-methionyl-L-leucyl-L-phenylalanine-stimulated human neutrophils. Molecular docking simulations were employed to model interactions with Formyl peptide receptor 1 (FPR1) and the Nicotinamide adenine dinucleotide phosphate (NADPH) oxidase complex, including neutrophil cytosol factor 1 (p47phox) and NADPH oxidase 2 (NOX2), to propose a theoretical mechanism of action. Phytochemical investigation led to the isolation of two new compounds, methyl 4,5-O-diferuloyl-3-methoxyquinate (1) and 16-pregnen-3,12,20-trione (2), together with four known compounds. Notably, 4-hydroxy-3-prenylbenzoic acid (5) exhibited potent inhibitory activity (IC50 = 17.65 ± 0.97 μM), surpassing the activity of the positive control, ibuprofen (IC50 = 27.85 ± 3.56 μM). Docking studies suggested that anodendrosin H (4) and 4-hydroxy-3-prenylbenzoic acid (5) exhibit high predicted binding affinity to p47phox and NOX2. Based on these results, compounds 1, 4, and 5 from A. affine were identified as potential lead candidates for the development of novel anti-inflammatory therapeutics. Full article
(This article belongs to the Special Issue Plant Materials and Their Antioxidant Potential, 3rd Edition)
Show Figures

Figure 1

35 pages, 12635 KB  
Article
Design, Synthesis, Antimicrobial Activity and Molecular Docking of New 1,2,4-Triazepine, 1,3,4,6-Oxatriazepine and Pyridazino[1,2-a] Pyrimidine Derivatives
by Nasser Amri and Ameen Ali Abu-Hashem
Pharmaceuticals 2026, 19(1), 83; https://doi.org/10.3390/ph19010083 - 31 Dec 2025
Cited by 1 | Viewed by 610
Abstract
Background: Recently, compounds such as pyrimidine, pyridazine, 1,2,4-triazepine, 1,3,4,6-oxatriazepine, pyridazino[1,2-a]pyrimidine, and pyridazino[1,2-c] pyrimidine, as well as their derivatives, have attracted attention due to their diverse biological activities. Objective: This study focuses on the synthesis of new heterocyclic [...] Read more.
Background: Recently, compounds such as pyrimidine, pyridazine, 1,2,4-triazepine, 1,3,4,6-oxatriazepine, pyridazino[1,2-a]pyrimidine, and pyridazino[1,2-c] pyrimidine, as well as their derivatives, have attracted attention due to their diverse biological activities. Objective: This study focuses on the synthesis of new heterocyclic compounds that feature a seven-membered ring, including pyridazinopyrimido[2,1-c] [1,2,4]triazepine-tetraones (4), pyridazinopyrimidotriazepine-triones (5–8), aminopyri-dazinopyrimido[2,1-c][1,2,4]triazepine-tetraone (9), and 6-amino-8-imino-pyridazino pyrimido[2,1-c] [1,2,4]triazepine-trione (10). These new compounds were synthesized starting from 1-(4-oxo-1,4-dihydropyrimidine)-1,2-dihydropyridazine-3,6-dione (3) and were then evaluated for their antimicrobial activity. Methods: A new series of pyridazino[1,2-a]pyrimido[2,1-c][1,2,4]triazepines and 1,3,4,6-oxatriazepines were synthesized using modern techniques and advanced technology, achieving yields between 72% and 90%. Results: All new compounds were confirmed through IR, 1H NMR, 13C NMR, and mass spectroscopy (MS) and tested for in vitro antimicrobial activity. Compounds (8-10) exhibited excellent antimicrobial activity. Computational analysis provided a comprehensive evaluation of the broad-spectrum inhibitory potential of four lead compounds (6, 8, 9, and 10) against key microbial and fungal targets. These compounds demonstrated consistently superior binding affinities compared to control drugs cefotaxime and nystatin across a range of enzymes essential for pathogen viability and virulence. Conclusions: The structure–activity relationship (SAR) study established a correlation between the tested compounds and their antimicrobial activity. Molecular docking analysis indicated that the in silico results strongly suggest that compounds (6, 8, 9, and 10) are promising multi-target agents capable of disrupting essential bacterial processes and critical fungal pathways, making them excellent candidates for the development of novel antimicrobial therapeutics. These consistent findings support the conclusion that both practical and theoretical studies of the new compounds align with their antimicrobial effectiveness. Full article
(This article belongs to the Section Medicinal Chemistry)
Show Figures

Graphical abstract

11 pages, 1761 KB  
Article
Excitons in Shallow GaAs/Al0.03Ga0.97As Quantum Wells
by Roman S. Nazarov, Matthew A. Maksimov, Yurii P. Efimov, Sergei A. Eliseev, Vyacheslav A. Lovcjus and Yury V. Kapitonov
Photonics 2026, 13(1), 19; https://doi.org/10.3390/photonics13010019 - 26 Dec 2025
Viewed by 488
Abstract
We report a comprehensive study of heavy-hole (HH) and light-hole (LH) excitons in a shallow GaAs/Al0.03Ga0.97As single quantum well (QW) using two-dimensional photoluminescence excitation (PLE) spectroscopy, reflectivity in Brewster geometry, and time-resolved four-wave mixing (FWM) with polarization-resolved photon echo [...] Read more.
We report a comprehensive study of heavy-hole (HH) and light-hole (LH) excitons in a shallow GaAs/Al0.03Ga0.97As single quantum well (QW) using two-dimensional photoluminescence excitation (PLE) spectroscopy, reflectivity in Brewster geometry, and time-resolved four-wave mixing (FWM) with polarization-resolved photon echo (PE) detection. The PLE measurements reveal well-resolved HH and LH exciton states with minimal inhomogeneous broadening, while reflectivity spectra indicate strong light–matter coupling and narrow exciton linewidths, reflecting the high structural quality of the QW. FWM experiments demonstrate two-pulse photon echoes with coherence times of T239.5 ps for HH and T216.2 ps for LH excitons. Polarization-resolved PE confirms that the observed signals originate from pure three-level excitonic systems without contributions from trions or donor-bound excitons. Compared to conventional GaAs/Al0.3Ga0.7As QWs, the shallow QW exhibits reduced HH-LH splitting, enhanced optical homogeneity, and robustness against above-barrier illumination, making it a promising platform for coherent optical control and information photonics applications. Full article
(This article belongs to the Section Quantum Photonics and Technologies)
Show Figures

Figure 1

31 pages, 5301 KB  
Article
Comprehensive Computational Study of a Novel Chromene-Trione Derivative Bioagent: Integrated Molecular Docking, Dynamics, Topology, and Quantum Chemical Analysis
by P. Sivaprakash, A. Viji, S. Krishnaveni, K. M. Kavya, Deokwoo Lee and Ikhyun Kim
Int. J. Mol. Sci. 2025, 26(19), 9661; https://doi.org/10.3390/ijms26199661 - 3 Oct 2025
Viewed by 978
Abstract
This work thoroughly investigated the compound 4-(2,5-Dimethoxyphenyl)-3,4-dihydrobenzo[g]chromene-2,5,10-trione (DMDCT) using molecular docking, quantum chemical analysis, and vibrational spectroscopy methodology. The medicinal chemistry group has been particularly interested in chromene and benzochromene derivatives due to their wide range of pharmacological actions, including anticancer, antibacterial, anti-inflammatory, [...] Read more.
This work thoroughly investigated the compound 4-(2,5-Dimethoxyphenyl)-3,4-dihydrobenzo[g]chromene-2,5,10-trione (DMDCT) using molecular docking, quantum chemical analysis, and vibrational spectroscopy methodology. The medicinal chemistry group has been particularly interested in chromene and benzochromene derivatives due to their wide range of pharmacological actions, including anticancer, antibacterial, anti-inflammatory, antioxidant, antiviral, and neuroprotective capabilities. In this connection, DMDCT has been explored to evaluate its biological, electrical, and structural properties. DFT using the B3LYP functional and 6–31G basis was established to conduct theoretical computations with the Gaussian 09 program. The findings from these computations provide insight into the following topics: NBO interactions, optimal molecular geometry, Mulliken charge distribution, frontier molecular orbitals, and MEP. Second-order perturbation theory has been used to assess stabilization energies arising from donor–acceptor interactions. Furthermore, general features such as chemical hardness, softness, and electronegativity were studied. The results suggest that DMDCT has stable electronic configurations and biologically relevant active sites. This integrated experimental and theoretical study supports the potential of DMDCT as a practical scaffold for future therapeutic applications and contributes valuable information regarding its vibrational and electronic behavior. Full article
Show Figures

Graphical abstract

23 pages, 11005 KB  
Article
Evaluating BIM and Mesh-Based 3D Modeling Approaches for Architectural Heritage: The Dosoftei House in Iași City, Romania
by Iosif Lavric, Valeria-Ersilia Oniga, Ana-Maria Loghin, Gabriela Covatariu and George-Cătălin Maleș
Appl. Sci. 2025, 15(17), 9409; https://doi.org/10.3390/app15179409 - 27 Aug 2025
Viewed by 1746
Abstract
Given its considerable cultural, historical, and economic value, built heritage requires the application of modern techniques for effective documentation and conservation. While multiple sensors are available for 3D modeling, laser scanning remains the most commonly employed due to its efficiency, precision, and ability [...] Read more.
Given its considerable cultural, historical, and economic value, built heritage requires the application of modern techniques for effective documentation and conservation. While multiple sensors are available for 3D modeling, laser scanning remains the most commonly employed due to its efficiency, precision, and ability to comprehensively capture the building’s geometry, surface textures, and structural details. This results in highly detailed 3D representations that are very important for accurate documentation, analysis, and conservation planning. This study investigates the complementary potential of different 3D modeling approaches for the digital representation of the Dosoftei House in Iasi, a monument of historical significance. For this purpose, an integrated point cloud was created based on a mobile hand-held laser scanner (HMLS), i.e., the FJD Trion P1 and a terrestrial laser scanner (TLS), i.e., the Maptek I-Site 8820 long-range laser scanner, the latter specifically used to capture the roof structures. Based on this dataset, a parametric model was created in Revit, supported by panoramic images, allowing for a structured representation useful in technical documentation and heritage management. In parallel, a mesh model was generated in CloudCompare using Poisson surface reconstruction. The comparison of the two methods highlights the high geometric accuracy of the mesh model and the Building Information Modeling (BIM) model’s capability to efficiently manage information linked to architectural elements. While the mesh provides detailed geometry, the BIM model excels in information organization and supports informed decision-making in conservation efforts. This research proposes leveraging the advantages of both methods within an integrated workflow, applicable on a larger scale in architectural heritage conservation projects. Full article
Show Figures

Figure 1

5 pages, 646 KB  
Short Note
3-Benzoyl-1′,3′,6-trimethyl-2′H,3H,4H-spiro[furo[3,2-c]pyran-2,5′-pyrimidine]-2′,4,4′,6′(1′H,3′H)-tetraone
by Michail N. Elinson, Varvara M. Kalashnikova, Yuliya E. Ryzhkova and Oleg A. Rakitin
Molbank 2025, 2025(1), M1951; https://doi.org/10.3390/M1951 - 15 Jan 2025
Viewed by 1257
Abstract
We describe an approach towards the synthesis of previously unknown 3-benzoyl-1′,3′,6-trimethyl-2′H,3H,4H-spiro[furo[3,2-c]pyran-2,5′-pyrimidine]-2′,4,4′,6′(1′H,3′H)-tetraone. The presented method is based on the cyclization of 5-(1-(4-hydroxy-6-methyl-2-oxo-2H-pyran-3-yl)-2-oxo-2-phenylethyl)-1,3-dimethylpyrimidine-2,4,6(1H,3H,5H)-trione. It was [...] Read more.
We describe an approach towards the synthesis of previously unknown 3-benzoyl-1′,3′,6-trimethyl-2′H,3H,4H-spiro[furo[3,2-c]pyran-2,5′-pyrimidine]-2′,4,4′,6′(1′H,3′H)-tetraone. The presented method is based on the cyclization of 5-(1-(4-hydroxy-6-methyl-2-oxo-2H-pyran-3-yl)-2-oxo-2-phenylethyl)-1,3-dimethylpyrimidine-2,4,6(1H,3H,5H)-trione. It was shown that the presented reaction proceeds through the stage of bromination of the starting compound followed by O-nucleophilic attack. The structures of the obtained compound were established by 1H, 13C NMR and IR spectroscopy, and high-resolution mass spectrometry. Full article
(This article belongs to the Collection Heterocycle Reactions)
Show Figures

Scheme 1

14 pages, 4632 KB  
Article
Temperature Dependence of Optical Properties of MoS2 and WS2 Heterostructures Assessed by Spectroscopic Ellipsometry
by Hoang Tung Nguyen, Van Long Le, Thi Mai Nguyen, Xuan Khuyen Bui, Thi Giang Nguyen, Nhat Linh Nguyen, Xuan Au Nguyen and Tae Jung Kim
Nanomaterials 2025, 15(1), 76; https://doi.org/10.3390/nano15010076 - 6 Jan 2025
Cited by 1 | Viewed by 2351
Abstract
We report the complex dielectric function ε = ε1 + 2 of MoS2/WS2 and WS2/MoS2 heterostructures and their constituent monolayers MoS2 and WS2 for an energy range from 1.5 to 6.0 eV and [...] Read more.
We report the complex dielectric function ε = ε1 + 2 of MoS2/WS2 and WS2/MoS2 heterostructures and their constituent monolayers MoS2 and WS2 for an energy range from 1.5 to 6.0 eV and temperatures from 39 to 300 K. Comparisons between the optical properties of the heterostructures and their monolayers were conducted. Critical-point (CP) energies of the heterostructures were traced back to their origins in the monolayers. Low-temperature measurements confirmed the existence of only three excitonic CPs from 1.5 to 2.5 eV due to the overlap of trion B of the MoS2 monolayer and exciton A0 of the WS2 monolayer. Due to the dielectric screening effect, most CPs exhibit red shifts in the heterostructures compared to their monolayer counterparts. Full article
(This article belongs to the Section 2D and Carbon Nanomaterials)
Show Figures

Figure 1

19 pages, 3960 KB  
Article
How Do Gepotidacin and Zoliflodacin Stabilize DNA-Cleavage Complexes with Bacterial Type IIA Topoisomerases? 2. A Single Moving Metal Mechanism
by Robert A. Nicholls, Harry Morgan, Anna J. Warren, Simon E. Ward, Fei Long, Garib N. Murshudov, Dmitry Sutormin and Benjamin D. Bax
Int. J. Mol. Sci. 2025, 26(1), 33; https://doi.org/10.3390/ijms26010033 - 24 Dec 2024
Cited by 2 | Viewed by 2831
Abstract
DNA gyrase is a bacterial type IIA topoisomerase that can create temporary double-stranded DNA breaks to regulate DNA topology and an archetypical target of antibiotics. The widely used quinolone class of drugs use a water–metal ion bridge in interacting with the GyrA subunit [...] Read more.
DNA gyrase is a bacterial type IIA topoisomerase that can create temporary double-stranded DNA breaks to regulate DNA topology and an archetypical target of antibiotics. The widely used quinolone class of drugs use a water–metal ion bridge in interacting with the GyrA subunit of DNA gyrase. Zoliflodacin sits in the same pocket as quinolones but interacts with the GyrB subunit and also stabilizes lethal double-stranded DNA breaks. Gepotidacin has been observed to sit on the twofold axis of the complex, midway between the two four-base-pair separated DNA-cleavage sites and has been observed to stabilize singe-stranded DNA breaks. Here, we use information from three crystal structures of complexes of Staphlococcus aureus DNA gyrase (one with a precursor of gepotidacin and one with the progenitor of zoliflodacin) to propose a simple single moving metal-ion-catalyzed DNA-cleavage mechanism. Our model explains why the catalytic tyrosine is in the tyrosinate (negatively charged) form for DNA cleavage. Movement of a single catalytic metal-ion (Mg2+ or Mn2+) guides water-mediated protonation and cleavage of the scissile phosphate, which is then accepted by the catalytic tyrosinate. Type IIA topoisomerases need to be able to rapidly cut the DNA when it becomes positively supercoiled (in front of replication forks and transcription bubbles) and we propose that the original purpose of the small Greek Key domain, common to all type IIA topoisomerases, was to allow access of the catalytic metal to the DNA-cleavage site. Although the proposed mechanism is consistent with published data, it is not proven and other mechanisms have been proposed. Finally, how such mechanisms can be experimentally distinguished is considered. Full article
(This article belongs to the Section Molecular Pharmacology)
Show Figures

Figure 1

20 pages, 6012 KB  
Article
Novel Anthraquinone Derivatives and Their Complexes with Metal Ions with Anticancer Activity: Structure/Redox and Chelation Activity Correlations
by Olga Yu. Selyutina, Maya A. Ul’yanova, Olga A. Chinak, Viktor A. Timoshnikov, Lidiya G. Fedenok, Alexander A. Stepanov, Vadim V. Yanshole, Leonid V. Kulik, Sergey F. Vasilevsky, Nikolay E. Polyakov and George J. Kontoghiorghes
Pharmaceuticals 2024, 17(12), 1717; https://doi.org/10.3390/ph17121717 - 19 Dec 2024
Cited by 5 | Viewed by 2817
Abstract
Background/Objectives: Some specific anthraquinone derivatives (AQs) are known to be used widely as effective chemotherapeutic agents in the treatment of cancer. However, their fundamental shortcoming is the high rate of cardiotoxicity observed in treated patients, which is thought to be caused by the [...] Read more.
Background/Objectives: Some specific anthraquinone derivatives (AQs) are known to be used widely as effective chemotherapeutic agents in the treatment of cancer. However, their fundamental shortcoming is the high rate of cardiotoxicity observed in treated patients, which is thought to be caused by the increase in production of reactive oxygen species (ROS) catalyzed by iron and copper. The development of improved AQs and other anticancer drugs with enhanced efficacy but reduced toxicity remains a high priority. The aim of this study was to evaluate the cytotoxic and ROS production effects of chelate iron and copper complexes of two novel AQs, namely 4-hydroxynaphto[2,3-h]cinnoline-7,12-dione (Q2) and 3-(hydroxymethyl)naphto[2,3-h]cinnoline-4,7,12(1H)-trione (Q3). Methods: The chelation ability of Q2 and Q3 was studied using NMR and UV–Vis spectroscopy. Cytotoxicity studies were carried out using the MTT assay. The influence of chelation on ROS production was studied using NMR spectroscopy in linoleic acid micelles. Results: It was found that only Q3 forms complexes with Fe(III) and Cu(II) ions, whereas Q2 does not demonstrate chelating properties. A cytotoxicity study revealed that Fe[Q3]3 significantly decreased the viability of lung cancer A549 cells, while Q3 and Cu[Q3]2 did not demonstrate cytotoxic properties in this cell line. Furthermore, the presence of Q3 lowered the rate of iron-induced lipid peroxidation in linoleic acid micelles. By contrast, Q2 did not influence the rate of lipid peroxidation, probably due to the absence of effective metal chelating ability. Conclusions: The high cytotoxic effects observed with the iron complex of Q3 against cancer cells in combination with a reduced rate of iron induced lipid peroxidation in the presence of Q3, make Q3 and its iron complex promising for further evaluation and use as chemotherapeutic agents in cancer. Full article
(This article belongs to the Special Issue Recent Advances in Cancer Diagnosis and Therapy)
Show Figures

Figure 1

12 pages, 4284 KB  
Article
Photoluminescence of Chemically and Electrically Doped Two-Dimensional Monolayer Semiconductors
by Hyungjin Kim, Valerio Adinolfi and Sin-Hyung Lee
Materials 2024, 17(16), 3962; https://doi.org/10.3390/ma17163962 - 9 Aug 2024
Cited by 3 | Viewed by 1944
Abstract
Two-dimensional (2D) transition metal dichalcogenide (TMDC) monolayers exhibit unique physical properties, such as self-terminating surfaces, a direct bandgap, and near-unity photoluminescence (PL) quantum yield (QY), which make them attractive for electronic and optoelectronic applications. Surface charge transfer has been widely used as a [...] Read more.
Two-dimensional (2D) transition metal dichalcogenide (TMDC) monolayers exhibit unique physical properties, such as self-terminating surfaces, a direct bandgap, and near-unity photoluminescence (PL) quantum yield (QY), which make them attractive for electronic and optoelectronic applications. Surface charge transfer has been widely used as a technique to control the concentration of free charge in 2D semiconductors, but its estimation and the impact on the optoelectronic properties of the material remain a challenge. In this work, we investigate the optical properties of a WS2 monolayer under three different doping approaches: benzyl viologen (BV), potassium (K), and electrostatic doping. Owing to the excitonic nature of 2D TMDC monolayers, the PL of the doped WS2 monolayer exhibits redshift and a decrease in intensity, which is evidenced by the increase in trion population. The electron concentrations of 3.79×1013 cm2, 6.21×1013 cm2, and 3.12×1012 cm2 were measured for WS2 monolayers doped with BV, K, and electrostatic doping, respectively. PL offers a direct and versatile approach to probe the doping effect, allowing for the measurement of carrier concentration in 2D monolayer semiconductors. Full article
(This article belongs to the Special Issue Luminescent Properties of Advanced Materials)
Show Figures

Figure 1

24 pages, 34001 KB  
Article
Pyrimidine Triones as Potential Activators of p53 Mutants
by Maryam M. Jebril Fallatah, Özlem Demir, Fiona Law, Linda Lauinger, Roberta Baronio, Linda Hall, Elodie Bournique, Ambuj Srivastava, Landon Tyler Metzen, Zane Norman, Rémi Buisson, Rommie E. Amaro and Peter Kaiser
Biomolecules 2024, 14(8), 967; https://doi.org/10.3390/biom14080967 - 8 Aug 2024
Cited by 2 | Viewed by 4700
Abstract
p53 is a crucial tumor suppressor in vertebrates that is frequently mutated in human cancers. Most mutations are missense mutations that render p53 inactive in suppressing tumor initiation and progression. Developing small-molecule drugs to convert mutant p53 into an active, wild-type-like conformation is [...] Read more.
p53 is a crucial tumor suppressor in vertebrates that is frequently mutated in human cancers. Most mutations are missense mutations that render p53 inactive in suppressing tumor initiation and progression. Developing small-molecule drugs to convert mutant p53 into an active, wild-type-like conformation is a significant focus for personalized cancer therapy. Prior research indicates that reactivating p53 suppresses cancer cell proliferation and tumor growth in animal models. Early clinical evidence with a compound selectively targeting p53 mutants with substitutions of tyrosine 220 suggests potential therapeutic benefits of reactivating p53 in patients. This study identifies and examines the UCI-1001 compound series as a potential corrector for several p53 mutations. The findings indicate that UCI-1001 treatment in p53 mutant cancer cell lines inhibits growth and reinstates wild-type p53 activities, including DNA binding, target gene activation, and induction of cell death. Cellular thermal shift assays, conformation-specific immunofluorescence staining, and differential scanning fluorometry suggest that UCI-1001 interacts with and alters the conformation of mutant p53 in cancer cells. These initial results identify pyrimidine trione derivatives of the UCI-1001 series as candidates for p53 corrector drug development. Full article
(This article belongs to the Special Issue Recent Advances in p53)
Show Figures

Figure 1

8 pages, 2537 KB  
Communication
Valley Spin–Polarization of MoS2 Monolayer Induced by Ferromagnetic Order in an Antiferromagnet
by Chun-Wen Chan, Chia-Yun Hsieh, Fang-Mei Chan, Pin-Jia Huang and Chao-Yao Yang
Materials 2024, 17(16), 3933; https://doi.org/10.3390/ma17163933 - 8 Aug 2024
Cited by 1 | Viewed by 2153
Abstract
Transition metal dichalcogenide (TMD) monolayers exhibit unique valleytronics properties due to the dependency of the coupled valley and spin state at the hexagonal corner of the first Brillouin zone. Precisely controlling valley spin-polarization via manipulating the electron population enables its application in valley-based [...] Read more.
Transition metal dichalcogenide (TMD) monolayers exhibit unique valleytronics properties due to the dependency of the coupled valley and spin state at the hexagonal corner of the first Brillouin zone. Precisely controlling valley spin-polarization via manipulating the electron population enables its application in valley-based memory or quantum technologies. This study uncovered the uncompensated spins of the antiferromagnetic nickel oxide (NiO) serving as the ferromagnetic (FM) order to induce valley spin-polarization in molybdenum disulfide (MoS2) monolayers via the magnetic proximity effect (MPE). Spin-resolved photoluminescence spectroscopy (SR-PL) was employed to observe MoS2, where the spin-polarized trions appear to be responsible for the MPE, leading to a valley magnetism. Results indicate that local FM order from the uncompensated surface of NiO could successfully induce significant valley spin-polarization in MoS2 with the depolarization temperature approximately at 100 K, which is relatively high compared to the related literature. This study reveals new perspectives in that the precise control over the surface orientation of AFMs serves as a crystallographic switch to activate the MPE and the magnetic sustainability of the trion state is responsible for the observed valley spin-polarization with the increasing temperature, which promotes the potential of AFM materials in the field of exchange-coupled Van der Waals heterostructures. Full article
(This article belongs to the Section Materials Physics)
Show Figures

Figure 1

23 pages, 6508 KB  
Article
The Influence of the Alkylamino Group on the Solvatochromic Behavior of 5-(4-substituted-arylidene)-1,3-dimethylpyrimidine-2,4,6-triones: Synthesis, Spectroscopic and Computational Studies
by Ilona Pyszka, Przemysław Krawczyk and Beata Jędrzejewska
Materials 2024, 17(10), 2447; https://doi.org/10.3390/ma17102447 - 19 May 2024
Cited by 2 | Viewed by 1864
Abstract
Advances in electronics and medical diagnostics have made organic dyes extremely popular as key functional materials. From a practical viewpoint, it is necessary to assess the spectroscopic and physicochemical properties of newly designed dyes. In this context, the condensation of 1,3-dimethylbarbituric acid with [...] Read more.
Advances in electronics and medical diagnostics have made organic dyes extremely popular as key functional materials. From a practical viewpoint, it is necessary to assess the spectroscopic and physicochemical properties of newly designed dyes. In this context, the condensation of 1,3-dimethylbarbituric acid with electron-rich alkylaminobenzaldehyde derivatives has been described, resulting in a series of merocyanine-type dyes. These dyes exhibit intense blue-light absorption but weak fluorescence. An electron-donating alkylamino group at position C4 is responsible for the solvatochromic behavior of the dyes since the lone electron pair of the nitrogen atom is variably delocalized toward the barbituric ring, which exhibits electron-withdrawing properties. This was elucidated, taking into account the different geometry of the amino group. The intramolecular charge transfer in the molecules is responsible for the relatively high redshift in absorption and fluorescence spectra. Additionally, an increase in solvent polarity moves the absorption and fluorescence to lower energy regions. The observed solvatochromism is discussed in terms of the four-parameter Catalán solvent polarity scale. The differences in the behavior of the dyes were quantified with the aid of time-dependent density functional theory calculations. The obtained results made it possible to find regularities linking the basic spectroscopic properties of the compounds with their chemical structure. This is important in the targeted search for new, practically important dyes. Full article
Show Figures

Graphical abstract

Back to TopTop