C11-hydroxy and C11-oxo C19 and C21 Steroids: Pre-Receptor Regulation and Interaction with Androgen and Progesterone Steroid Receptors
Abstract
1. Introduction
2. Results
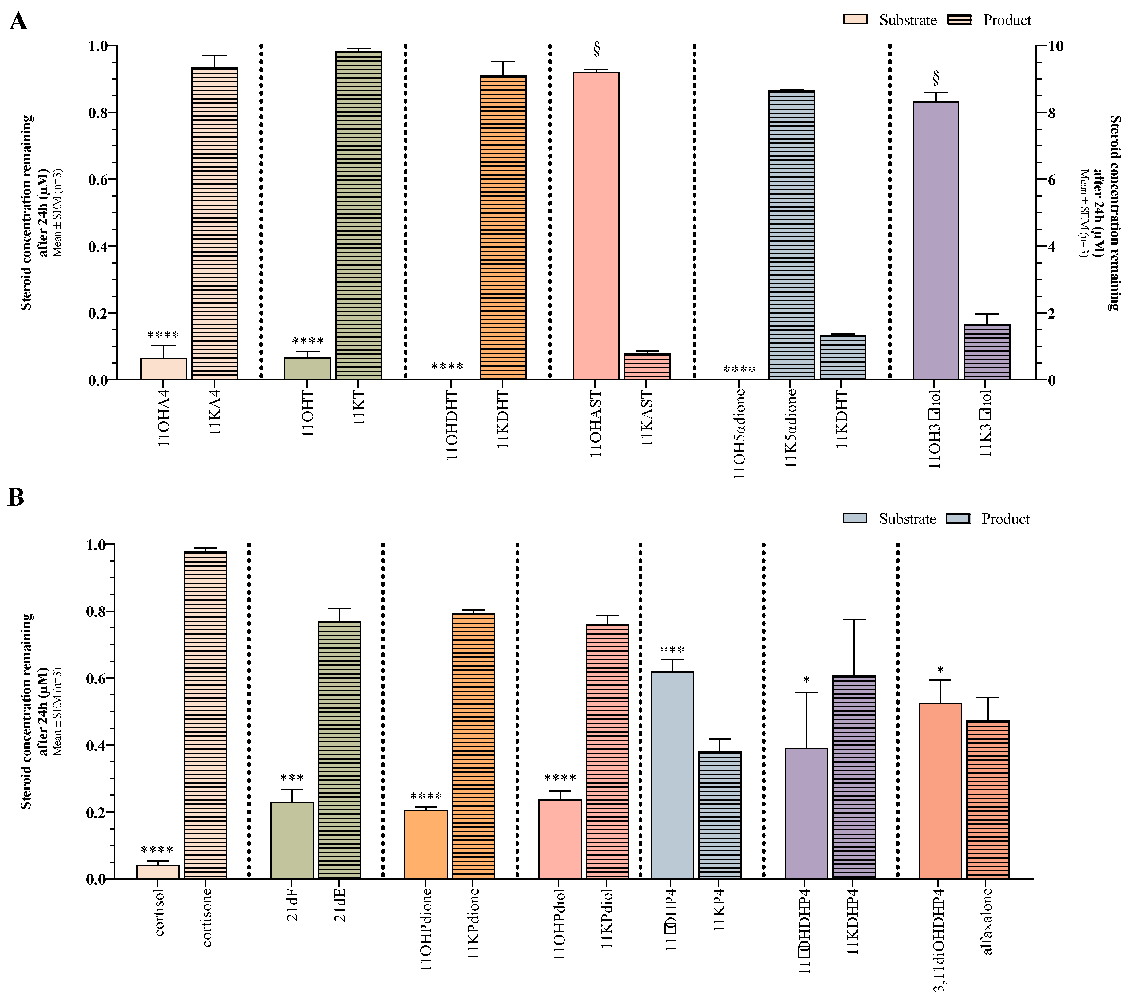
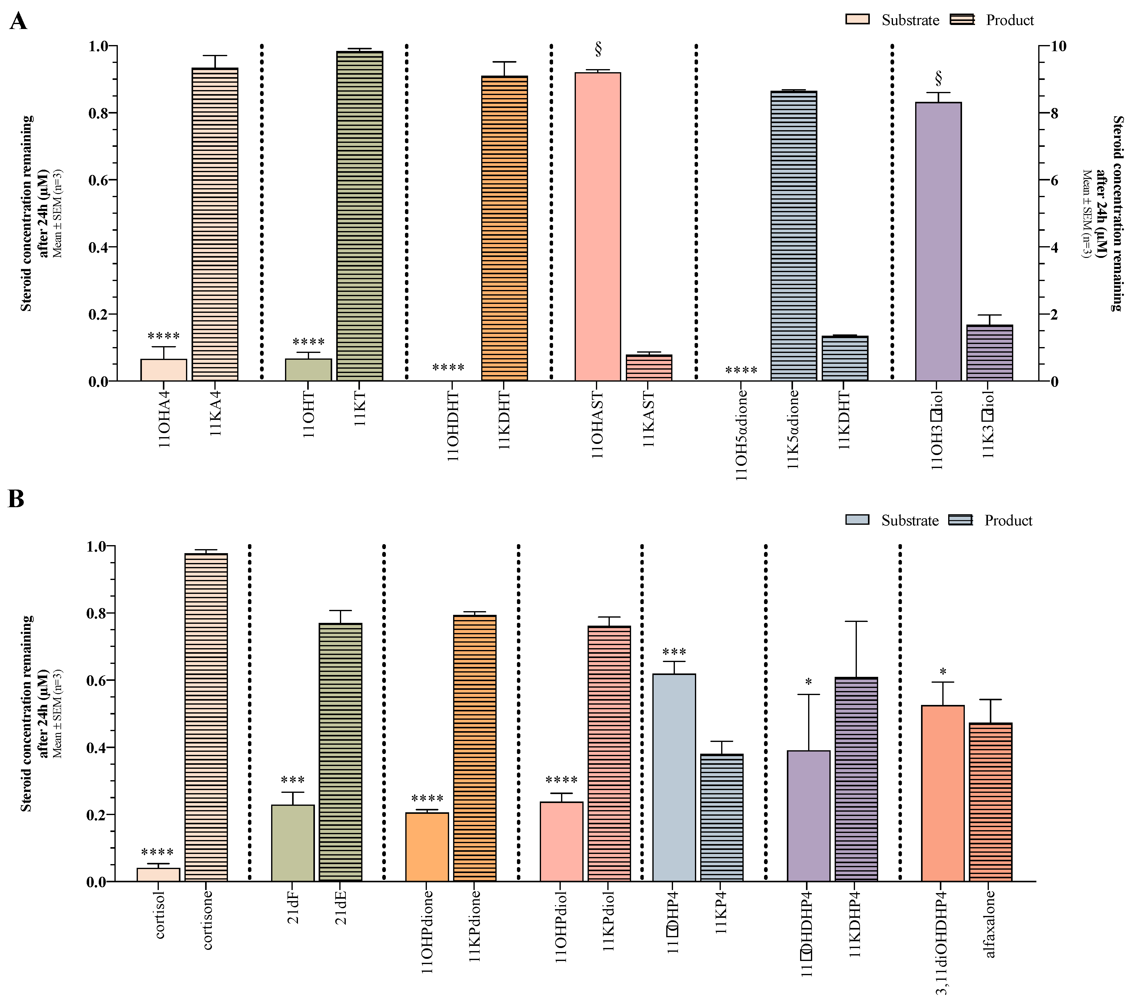
2.1. The Interconversion of C11-oxy C19 and C11-oxy C21 Steroids by the 11βHSD Isoforms
2.1.1. Conversion of C11-Hydroxy Steroids by 11βHSD2
2.1.2. Conversion of C11-oxo Steroids by 11βHSD1
2.2. Agonistic and Antagonistic Activity of C11-oxy Steroids towards Nuclear Steroid Receptors
2.2.1. Agonistic and Antagonistic Activity towards the AR
2.2.2. Agonistic and Antagonistic Activity towards the PRA
2.2.3. Agonistic and Antagonist Activity towards the PRB
3. Discussion
4. Materials and Methods
4.1. Materials
Cell Models and Vector Constructs
4.2. 11βHSD Steroidogenic Assays
4.2.1. Substrate Addition
4.2.2. Steroid Extraction
4.2.3. Separation and Quantification by UPC2-MS/MS
4.3. Receptor Assays
4.4. Statistical Analyses
Supplementary Materials
Author Contributions
Funding
Data Availability Statement
Conflicts of Interest
References
- Jeanloz, R.W.; Levy, H.; Jacobsen, R.P.; Hechter, O.; Schenker, V.; Pincus, G. Chemical Transformations of Steroids by Adrenal Perfusion. III. Delta4-Androstene-3,17-Dione. J. Biol. Chem. 1953, 203, 453–461. [Google Scholar] [CrossRef] [PubMed]
- Romanoff, E.B.; Hudson, P.; Pincus, G. Isolation of Hydrocortisone and Corticosterone from Human Adrenal Vein Blood. J. Clin. Endocrinol. Metab. 1953, 13, 1546–1548. [Google Scholar] [CrossRef] [PubMed]
- Touchstone, J.C.; Glazer, L.; Cooper, D.Y.; Roberts, J.M. The Isolation of Delta 4-Androstene-11β-Ol-3,17-Dione from Human Adrenal Incubates. J. Clin. Endocrinol. Metab. 1955, 15, 382–384. [Google Scholar] [CrossRef] [PubMed]
- Rosemberg, E.; Dorfman, R.I. Biological Activity of 9 Alpha-Fluoro-11 Beta-Hydroxy-Delta-4-Androstene-3,17-Dione. Proc. Soc. Exp. Biol. Med. 1958, 99, 336–338. [Google Scholar] [CrossRef] [PubMed]
- Bloem, L.M.; Storbeck, K.-H.; Swart, P.; du Toit, T.; Schloms, L.; Swart, A.C. Advances in the Analytical Methodologies: Profiling Steroids in Familiar Pathways-Challenging Dogmas. J. Steroid Biochem. Mol. Biol. 2015, 153, 80–92. [Google Scholar] [CrossRef]
- Olesti, E.; Boccard, J.; Visconti, G.; González-Ruiz, V.; Rudaz, S. From a Single Steroid to the Steroidome: Trends and Analytical Challenges. J. Steroid Biochem. Mol. Biol. 2021, 206, 105797. [Google Scholar] [CrossRef]
- du Toit, T.; van Rooyen, D.; Stander, M.A.; Atkin, S.L.; Swart, A.C. Analysis of 52 C19 and C21 Steroids by UPC2-MS/MS: Characterising the C11-Oxy Steroid Metabolome in Serum. J. Chromatogr. B Anal. Technol. Biomed. Life Sci. 2020, 1152, 122243. [Google Scholar] [CrossRef]
- Gent, R.; Barbier, I.D.; Atkin, S.L.; Newell-Fugate, A.E.; Swart, A.C. Ultra-Performance Convergence Chromatography Tandem Mass Spectrometry Analysis of Adrenal and Gonadal Steroid Hormones in Southern White Rhinoceros (Ceratotherium Simum Simum) Faeces and Serum. J. Chromatogr. B Anal. Technol. Biomed. Life Sci. 2023, 1215, 123576. [Google Scholar] [CrossRef]
- Rege, J.; Nakamura, Y.; Satoh, F.; Morimoto, R.; Kennedy, M.R.; Layman, L.C.; Honma, S.; Sasano, H.; Rainey, W.E. Liquid Chromatography-Tandem Mass Spectrometry Analysis of Human Adrenal Vein 19-Carbon Steroids before and after ACTH Stimulation. J. Clin. Endocrinol. Metab. 2013, 98, 1182–1188. [Google Scholar] [CrossRef]
- Barnard, L.; du Toit, T.; Swart, A.C. Back Where It Belongs: 11β-Hydroxyandrostenedione Compels the Re-Assessment of C11-Oxy Androgens in Steroidogenesis. Mol. Cell Endocrinol. 2021, 525, 111189. [Google Scholar] [CrossRef]
- Gent, R.; du Toit, T.; Bloem, L.M.; Swart, A.C. The 11β-Hydroxysteroid Dehydrogenase Isoforms: Pivotal Catalytic Activities Yield Potent C11-Oxy C19 Steroids with 11βHSD2 Favouring 11-Ketotestosterone, 11-Ketoandrostenedione and 11-Ketoprogesterone Biosynthesis. J. Steroid Biochem. Mol. Biol. 2019, 189, 116–126. [Google Scholar] [CrossRef]
- Swart, A.C.; van Rooyen, D.; du Toit, T. Investigating the biosynthesis and metabolism of 11β-hydroxyandrostenedione. In Methods in Enzymology; Penning, T.M., Ed.; Academic Press: Cambridge, MA, USA, 2023; Volume 689, pp. 387–431. [Google Scholar] [CrossRef]
- Edwards, C.R.W.; Burt, D.; Mcintyre, M.A.; De Kloet, E.R.; Stewart, P.M.; Brett, L.; Sutanto, W.S.; Monder, C. Localisation of 11β-Hydroxysteroid Dehydrogenase-Tissue Specific Protector of the Mineralocorticoid Receptor. Lancet 1988, 332, 986–989. [Google Scholar] [CrossRef] [PubMed]
- Gomez-Sanchez, E.P.; Gomez-Sanchez, C.E. 11β-Hydroxysteroid Dehydrogenases: A Growing Multi-Tasking Family. Mol. Cell Endocrinol. 2021, 526, 111210. [Google Scholar] [CrossRef] [PubMed]
- Engels, M.; Pijnenburg-Kleizen, K.J.; Utari, A.; Faradz, S.M.H.; Oude-Alink, S.; van Herwaarden, A.E.; Span, P.N.; Sweep, F.C.; Claahsen-van der Grinten, H.L. Glucocorticoid Activity of Adrenal Steroid Precursors in Untreated Patients with Congenital Adrenal Hyperplasia. J. Clin. Endocrinol. Metab. 2019, 104, 5065–5072. [Google Scholar] [CrossRef] [PubMed]
- Sedlak, D.; Paguio, A.; Bartunek, P. Two Panels of Steroid Receptor Luciferase Reporter Cell Lines for Compound Profiling. Comb. Chem. High. Throughput Screen. 2011, 14, 248–266. [Google Scholar] [CrossRef] [PubMed]
- Zagranichnaya, T.K.; Wu, X.; Danos, A.M.; Villereal, M.L. Gene Expression Profiles in HEK-293 Cells with Low or High Store-Operated Calcium Entry: Can Regulatory as Well as Regulated Genes Be Identified? Physiol. Genom. 2005, 21, 14–33. [Google Scholar] [CrossRef]
- Campana, C.; Rege, J.; Turcu, A.F.; Pezzi, V.; Gomez-Sanchez, C.E.; Robins, D.M.; Rainey, W.E. Development of a Novel Cell Based Androgen Screening Model. J. Steroid Biochem. Mol. Biol. 2016, 156, 17–22. [Google Scholar] [CrossRef]
- Rege, J.; Turcu, A.; Kasa-Vubu, J.Z.; Lerario, A.M.; Auchus, G.C.; Auchus, R.J.; Smith, J.M.; White, P.C.; Rainey, W.E. 11-Ketotestosterone Is the Dominant Circulating Bioactive Androgen during Normal and Premature Adrenarche. J. Clin. Endocrinol. Metab. 2018, 103, 4589–4598. [Google Scholar] [CrossRef]
- van Rooyen, D.; Gent, R.; Barnard, L.; Swart, A.C. The In Vitro Metabolism of 11β-Hydroxyprogesterone and 11-Ketoprogesterone to 11-Ketodihydrotestosterone in the Backdoor Pathway. J. Steroid Biochem. Mol. Biol. 2018, 178, 203–212. [Google Scholar] [CrossRef]
- Barnard, L.; Gent, R.; van Rooyen, D.; Swart, A.C. Adrenal C11-Oxy C21 Steroids Contribute to the C11-Oxy C19 Steroid Pool via the Backdoor Pathway in the Biosynthesis and Metabolism of 21-Deoxycortisol and 21-Deoxycortisone. J. Steroid Biochem. Mol. Biol. 2017, 174, 86–95. [Google Scholar] [CrossRef]
- Lübcker, N.; Bloem, L.M.; du Toit, T.; Swart, P.; de Bruyn, P.J.N.; Swart, A.C.; Millar, R.P. What’s in a Whisker? High-Throughput Analysis of Twenty-Eight C19 and C21 Steroids in Mammalian Whiskers by Ultra-Performance Convergence Chromatography-Tandem Mass Spectrometry. J. Chromatogr. B Anal. Technol. Biomed. Life Sci. 2020, 1141, 122028. [Google Scholar] [CrossRef] [PubMed]
- du Toit, T.; Swart, A.C. The 11β-Hydroxyandrostenedione Pathway and C11-Oxy C21 Backdoor Pathway Are Active in Benign Prostatic Hyperplasia Yielding 11keto-Testosterone and 11keto-Progesterone. J. Steroid Biochem. Mol. Biol. 2020, 196, 105497. [Google Scholar] [CrossRef] [PubMed]
- Swart, A.C.; Du Toit, T.; Gourgari, E.; Kidd, M.; Keil, M.; Faucz, F.R.; Stratakis, C.A.; Shriver, K. Steroid Hormone Analysis of Adolescents and Young Women with Polycystic Ovarian Syndrome and Adrenocortical Dysfunction Using UPC2-MS/MS. Pediatr. Res. 2021, 89, 118–126. [Google Scholar] [CrossRef] [PubMed]
- Fiet, J.; Gueux, B.; Gourmelen, M.; Kuttenn, F.; Vexiau, P.; Couillin, P.; Pham-Huu-Trung, M.; Villette, J.; Raux-Demay, M.; Galons, H.; et al. Comparison of Basal and Adrenocorticotropin- Stimulated Plasma 21-Deoxycortisol and 17-Hydroxyprogesterone Values as Biological Markers of Late-Onset Adrenal Hyperplasia. J. Clin. Endocrinol. Metab. 1988, 66, 659–667. [Google Scholar] [CrossRef]
- Gueux, B.; Fiet, J.; Galons, H.; Boneté, R.; Villette, J.; Vexiau, P.; Pham-Huu-Trung, M.; Raux-Eurin, M.; Gourmelen, M.; Brérault, J.; et al. The Measurement of 11β-Hydroxy-4-Pregnene-3,20-Dione (21-Deoxycorticosterone) by Radioimmunoassay in Human Plasma. J. Steroid Biochem. 1987, 26, 145–150. [Google Scholar] [CrossRef] [PubMed]
- Fiet, J.; Gueux, B.; Raux-Demay, M.-C.; Kuttenn, F.; Vexiau, P.; Brerault, J.-L.; Couillin, P.; Galons, H.; Villette, J.-M.; Julien, R.; et al. Increased Plasma 21-Deoxycorticosterone (21-DB) Levels in Late-Onset Adrenal 21-Hydroxylase Deficiency Suggest a Mild Defect of the Mineralocorticoid Pathway. J. Clin. Endocrinol. Metab. 1989, 68, 542–547. [Google Scholar] [CrossRef]
- Shearman, R.P. The Role of the Adrenal Cortex in the Stein-Leventhal Syndrome. Aust. N. Z. J. Obs. Gynaecol. 1961, 1, 24–26. [Google Scholar] [CrossRef]
- Jailer, J.W.; Gold, J.J.; Vande Wiele, R.; Lieberman, S. 17α-Hydroxyprogesterone and 21-Desoxyhydrocortisone; Their Metabolism and Possible Role in Congenital Adrenal Virilism. J. Clin. Invest. 1955, 34, 1639–1646. [Google Scholar] [CrossRef]
- Fiet, J.; Gosling, J.P.; Soliman, H.; Galons, H.; Boudou, P.; Aubin, P.; Belanger, A.; Villette, J.M.; Julien, R.; Brérault, J.L. Hirsutism and Acne in Women: Coordinated Radioimmunoassays for Eight Relevant Plasma Steroids. Clin. Chem. 1994, 40, 2296–2305. [Google Scholar] [CrossRef]
- Gent, R.; du Toit, T.; Swart, A.C. 11α-Hydroxyprogesterone, a Potent 11β-Hydroxysteroid Dehydrogenase Inhibitor, Is Metabolised by Steroid-5α-Reductase and Cytochrome P450 17α-Hydroxylase/17,20-Lyase to Produce C11α-Derivatives of 21-Deoxycortisol and 11-Hydroxyandrostenedione In Vitro. J. Steroid Biochem. Mol. Biol. 2019, 191, 105369. [Google Scholar] [CrossRef]
- van Rooyen, D.; Yadav, R.; Scott, E.E.; Swart, A.C. CYP17A1 Exhibits 17αhydroxylase/17,20-Lyase Activity towards 11β-Hydroxyprogesterone and 11-Ketoprogesterone Metabolites in the C11-Oxy Backdoor Pathway. J. Steroid Biochem. Mol. Biol. 2020, 199, 105614. [Google Scholar] [CrossRef] [PubMed]
- Burnstein, S.; Savard, K.; Dorfman, R.I. The In Vivo Metabolism of 21-Desoxycortisone. Endocrinology 1953, 53, 267–273. [Google Scholar] [CrossRef] [PubMed]
- Fukushima, D.K.; Gallagher, T.F. Metabolism of 21-deoxyhydrocortisone-4-C14 in man; 17-dehydroxylation, an artifact. J. Biol. Chem. 1957, 226, 725–733. [Google Scholar] [CrossRef] [PubMed]
- Dahmani, C.; Caron, P.; Simonyan, D.; Turcotte, V.; Grégoire, J.; Plante, M.; Guillemette, C. Circulating Adrenal 11-Oxygenated Androgens Are Associated with Clinical Outcome in Endometrial Cancer. Front. Endocrinol. 2023, 14, 1156680. [Google Scholar] [CrossRef] [PubMed]
- du Toit, T.; Bloem, L.M.; Quanson, J.L.; Ehlers, R.; Serafin, A.; Swart, A.C. Profiling Adrenal 11β-Hydroxyandrostenedione Metabolites in Prostate Cancer Cells, Tissue and Plasma: UPC2-MS/MS Quantification of 11β-Hydroxytestosterone, 11keto-Hydroxytestosterone and 11keto-Dihydrotestosterone. J. Steroid Biochem. Mol. Biol. 2016, 166, 54–67. [Google Scholar] [CrossRef] [PubMed]
- Houghton, L.C.; Howland, R.E.; Wei, Y.; Ma, X.; Kehm, R.D.; Chung, W.K.; Genkinger, J.M.; Santella, R.M.; Hartmann, M.F.; Wudy, S.A.; et al. The Steroid Metabolome and Breast Cancer Risk in Women with a Family History of Breast Cancer: The Novel Role of Adrenal Androgens and Glucocorticoids. Cancer Epidemiol. Biomark. Prev. 2021, 30, 89–96. [Google Scholar] [CrossRef] [PubMed]
- Song, L.; Shen, W.; Zhang, H.; Wang, Q.; Wang, Y.; Zhou, Z. Differential Expression of Androgen, Estrogen, and Progesterone Receptors in Benign Prostatic Hyperplasia. Bosn. J. Basic. Med. Sci. 2016, 16, 201. [Google Scholar] [CrossRef][Green Version]
- Fahlén, M.; Zhang, H.; Löfgren, L.; Masironi, B.; Von Schoultz, E.; Von Schoultz, B.; Sahlin, L. Expression of Progesterone and Androgen Receptors in the Breast of Premenopausal Women, Considering Menstrual Phase. Anticancer. Res. 2018, 38, 1499–1510. [Google Scholar] [CrossRef]
- Heinlein, C.A.; Chang, C. Androgen Receptor in Prostate Cancer. Endocr. Rev. 2004, 25, 276–308. [Google Scholar] [CrossRef]
- Park, C.; Babayev, S.; Carr, B.R.; Keller, P.W.; Word, R.A.; Bukulmez, O. Androgen Regulation of Progesterone Receptor (PR) Expression in Endometrium: Implications for Endometriosis. Fertil. Steril. 2014, 102, e79–e80. [Google Scholar] [CrossRef]
- Cardillo, M.R.; Petrangeli, E.; Aliotta, N.; Salvatori, L.; Ravenna, L.; Chang, C.; Castagna, G. Androgen Receptors in Ovarian Tumors: Correlation with Oestrogen and Progesterone Receptors in an Immunohistochemical and Semiquantitative Image Analysis Study. J. Exp. Clin. Cancer Res. 1998, 17, 231–237. [Google Scholar]
- Odermatt, A.; Kratschmar, D.V. Tissue-Specific Modulation of Mineralocorticoid Receptor Function by 11β-Hydroxysteroid Dehydrogenases: An Overview. Mol. Cell Endocrinol. 2012, 350, 168–186. [Google Scholar] [CrossRef] [PubMed]
- Funder, J.W. Glucocorticoid and Mineralocorticoid Receptors: Biology and Clinical Relevance. Annu. Rev. Med. 1997, 48, 231–240. [Google Scholar] [CrossRef] [PubMed]
- Funder, J.W.; Pearce, P.T.; Smith, R.; Smith, A.I. Mineralocorticoid Action: Target Tissue Specificity Is Enzyme, Not Receptor, Mediated. Science 1988, 242, 583–585. [Google Scholar] [CrossRef] [PubMed]
- Funder, J.W. Aldosterone and Mineralocorticoid Receptors. In Stress: Neuroendocrinology and Neurobiology: Handbook of Stress Series; Fink, G., Ed.; Academic Press: Cambridge, MA, USA; Elsevier: Cambridge, UK, 2017; Volume 2, pp. 221–225. [Google Scholar]
- Chapman, K.; Holmes, M.; Seckl, J. 11β-Hydroxysteroid Dehydrogenases: Intracellular Gate-Keepers of Tissue Glucocorticoid Action. Physiol. Rev. 2013, 93, 1139–1206. [Google Scholar] [CrossRef] [PubMed]
- Lin, Y.C.; Boone, M.; Meuris, L.; Lemmens, I.; Van Roy, N.; Soete, A.; Reumers, J.; Moisse, M.; Plaisance, S.; Drmanac, R.; et al. Genome Dynamics of the Human Embryonic Kidney 293 Lineage in Response to Cell Biology Manipulations. Nat. Commun. 2014, 5, 12. [Google Scholar] [CrossRef] [PubMed]
- Abaandou, L.; Quan, D.; Shiloach, J. Affecting HEK293 Cell Growth and Production Performance by Modifying the Expression of Specific Genes. Cells 2021, 10, 1667. [Google Scholar] [CrossRef]
- Büssow, K. Stable Mammalian Producer Cell Lines for Structural Biology. Curr. Opin. Struct. Biol. 2015, 32, 81–90. [Google Scholar] [CrossRef]
- Panter, B.U.; Jose, J.; Hartmann, R.W. 5α-Reductase in Human Embryonic Kidney Cell Line HEK293: Evidence for Type II Enzyme Expression and Activity. Mol. Cell Biochem. 2005, 270, 201–208. [Google Scholar] [CrossRef]
- Melcangi, R.C.; Cioffi, L.; Diviccaro, S.; Traish, A.M. Synthesis and Actions of 5α-Reduced Metabolites of Testosterone in the Nervous System. Androgens 2021, 2, 173–188. [Google Scholar] [CrossRef]
- Moore, S.; Pritchard, C.; Lin, B.; Ferguson, C.; Nelson, P.S. Isolation and Characterization of the Murine Prostate Short-Chain Dehydrogenase/Reductase 1 (PSDR1) Gene, a New Member of the Short-Chain Steroid Dehydrogenase/Reductase Family. Gene 2002, 293, 149–160. [Google Scholar] [CrossRef]
- Lin, B.; White, J.T.; Ferguson, C.; Wang, S.; Vessella, R.; Bumgarner, R.; True, L.D.; Hood, L.; Nelson, P.S. Prostate Short-Chain Dehydrogenase Reductase 1 (PSDR1): A New Member of the Short-Chain Steroid Dehydrogenase/Reductase Family Highly Expressed in Normal and Neoplastic Prostate Epithelium 1. Cancer Res. 2001, 61, 1611–1618. [Google Scholar]
- Khan, N.; Sharma, K.K.; Andersson, S.; Auchus, R.J. Human 17β-Hydroxysteroid Dehydrogenases Types 1, 2, and 3 Catalyze Bi-Directional Equilibrium Reactions, Rather than Unidirectional Metabolism, in HEK-293 Cells. Arch. Biochem. Biophys. 2004, 429, 50–59. [Google Scholar] [CrossRef]
- Atanasov, A.G.; Nashev, L.G.; Schweizer, R.A.S.; Frick, C.; Odermatt, A. Hexose-6-Phosphate Dehydrogenase Determines the Reaction Direction of 11β-Hydroxysteroid Dehydrogenase Type 1 as an Oxoreductase. FEBS Lett. 2004, 571, 129–133. [Google Scholar] [CrossRef]
- Atanasov, A.G.; Ignatova, I.D.; Nashev, L.G.; Dick, B.; Ferrari, P.; Frey, F.J.; Odermatt, A. Impaired Protein Stability of 11β-Hydroxysteroid Dehydrogenase Type 2: A Novel Mechanism of Apparent Mineralocorticoid Excess. J. Am. Soc. Nephrol. 2007, 18, 1262–1270. [Google Scholar] [CrossRef]
- du Toit, T.; Swart, A.C. Inefficient UGT-Conjugation of Adrenal 11β-Hydroxyandrostenedione Metabolites Highlights C11-Oxy C19 Steroids as the Predominant Androgens in Prostate Cancer. Mol. Cell Endocrinol. 2018, 461, 265–276. [Google Scholar] [CrossRef]
- Dahmani, C.; Caron, P.; Simonyan, D.; Lacombe, L.; Aprikian, A.; Saad, F.; Carmel, M.; Chevalier, S.; Lévesque, E.; Guillemette, C. Preoperative Circulating 11-Oxygenated Androgens Are Associated with Metastasis-Free Survival in Localized Prostate Cancer. J. Urol. 2023, 209, 337–346. [Google Scholar] [CrossRef]
- Caron, P.; Turcotte, V.; Guillemette, C. A Quantitative Analysis of Total and Free 11-Oxygenated Androgens and Its Application to Human Serum and Plasma Specimens Using Liquid-Chromatography Tandem Mass Spectrometry. J. Chromatogr. A 2021, 1650, 462228. [Google Scholar] [CrossRef]
- Christakoudi, S.; Cowan, D.A.; Taylor, N.F. Steroids Excreted in Urine by Neonates with 21-Hydroxylase Deficiency. 4. Characterization, Using GC-MS and GC-MS/MS, of 11oxo-Pregnanes and 11oxo-Pregnenes. Steroids 2013, 78, 468–475. [Google Scholar] [CrossRef]
- Speiser, P.W.; Arlt, W.; Auchus, R.J.; Baskin, L.S.; Conway, G.S.; Merke, D.P.; Meyer-Bahlburg, H.F.L.; Miller, W.L.; Hassan Murad, M.; Oberfield, S.E.; et al. Congenital Adrenal Hyperplasia Due to Steroid 21-Hydroxylase Deficiency: An Endocrine Society Clinical Practice Guideline. J. Clin. Endocrinol. Metab. 2018, 103, 4043–4088. [Google Scholar] [CrossRef]
- Gueux, B.; Fiet, J.; Couillin, P.; Raux-Demay, M.; Mornet, E.; Galons, H.; Villette, J.; Boue, J.; Dreux, C. Prenatal Diagnosis of 21-Hydroxylase Deficiency Congenital Adrenal Hyperplasia by Simultaneous Radioimmunoassay of 21-Deoxycortisol and 17-Hydroxyprogesterone in Amniotic Fluid. J. Clin. Endocrinol. Metab. 1988, 66, 534–537. [Google Scholar] [CrossRef] [PubMed]
- Tonetto-Fernandes, V.; Lemos-Marini, S.H.V.; Kuperman, H.; Ribeiro-Neto, L.M.; Verreschi, I.T.N.; Kater, C.E. Serum 21-Deoxycortisol, 17-Hydroxyprogesterone, and 11-Deoxycortisol in Classic Congenital Adrenal Hyperplasia: Clinical and Hormonal Correlations and Identification of Patients with 11β-Hydroxylase Deficiency among a Large Group with Alleged 21-Hydroxylase Deficiency. J. Clin. Endocrinol. Metab. 2006, 91, 2179–2184. [Google Scholar] [CrossRef] [PubMed][Green Version]
- Fiet, J.; Le Bouc, Y.; Guéchot, J.; Hélin, N.; Maubert, M.A.; Farabos, D.; Lamazière, A. A Liquid Chromatography/Tandem Mass Spectometry Profile of 16 Serum Steroids, Including 21-Deoxycortisol and 21-Deoxycorticosterone, for Management of Congenital Adrenal Hyperplasia. J. Endocr. Soc. 2017, 1, 186–201. [Google Scholar] [CrossRef]
- Christakoudi, S.; Cowan, D.A.; Christakudis, G.; Taylor, N.F. 21-Hydroxylase Deficiency in the Neonate—Trends in Steroid Anabolism and Catabolism during the First Weeks of Life. J. Steroid Biochem. Mol. Biol. 2013, 138, 334–347. [Google Scholar] [CrossRef] [PubMed]
- Christakoudi, S.; Cowan, D.A.; Taylor, N.F. Steroids Excreted in Urine by Neonates with 21-Hydroxylase Deficiency. 2. Characterization, Using GC–MS and GC–MS/MS, of Pregnanes and Pregnenes with an Oxo- Group on the A- or B-Ring. Steroids 2012, 77, 382–393. [Google Scholar] [CrossRef]
- Souness, G.W.; Latif, S.A.; Laurenxo, J.L.; Morris, D.J. 11α- and 11β-Hydroxyprogesterone, Potent Inhibitors of 11β-Hydroxysteroid Dehydrogenase (Isoforms 1 and 2), Confer Marked Mineralocorticoid Activity on Corticosterone in the ADX Rat. Endocrinology 1995, 136, 1809–1812. [Google Scholar] [CrossRef] [PubMed]
- Labarta, E.; Sebastian-Leon, P.; Devesa-Peiro, A.; Celada, P.; Vidal, C.; Giles, J.; Rodriguez-Varela, C.; Bosch, E.; Diaz-Gimeno, P. Analysis of Serum and Endometrial Progesterone in Determining Endometrial Receptivity. Hum. Reprod. 2021, 36, 2861–2870. [Google Scholar] [CrossRef]
- Maeda, N.; Tanaka, E.; Suzuki, T.; Okumura, K.; Nomura, S.; Miyasho, T.; Haeno, S.; Yokota, H. Accurate Determination of Tissue Steroid Hormones, Precursors and Conjugates in Adult Male Rat. J. Biochem. 2013, 153, 63–71. [Google Scholar] [CrossRef]
- Collden, H.; Nilsson, M.E.; Norlen, A.K.; Landin, A.; Windahl, S.H.; Wu, J.; Gustafsson, K.L.; Poutanen, M.; Ryberg, H.; Vandenput, L.; et al. Comprehensive Sex Steroid Profiling in Multiple Tissues Reveals Novel Insights in Sex Steroid Distribution in Male Mice. Endocrinology 2022, 163, 1–12. [Google Scholar] [CrossRef]
- Thomas, L.N.; Lazier, C.B.; Gupta, R.; Norman, R.W.; Troyer, D.A.; O’Brien, S.P.; Rittmaster, R.S. Differential Alterations in 5α-Reductase Type 1 and Type 2 Levels during Development and Progression of Prostate Cancer. Prostate 2005, 63, 231–239. [Google Scholar] [CrossRef]
- Nath, N.; Lakshmi, V.; Rosenthal, J.C. Presence of 11β-Hydroxysteroid Dehydrogenase Enzyme in the Human Prostate Tumor Cell Line LNCaP. Prostate 1993, 23, 225–233. [Google Scholar] [CrossRef] [PubMed]
- Hashiguchi, T.; Kurogi, K.; Shimohira, T.; Teramoto, T.; Liu, M.C.; Suiko, M.; Sakakibara, Y. Δ4-3-Ketosteroids as a New Class of Substrates for the Cytosolic Sulfotransferases. Biochim. Biophys. Acta 2017, 1861, 2883. [Google Scholar] [CrossRef]
- Lewis, M.J.; Wiebe, J.P.; Godfrey Heathcote, J. Expression of Progesterone Metabolizing Enzyme Genes (AKR1C1, AKR1C2, AKR1C3, SRD5A1, SRD5A2) Is Altered in Human Breast Carcinoma. BMC Cancer 2004, 4, 27. [Google Scholar] [CrossRef] [PubMed]
- Uhlén, M.; Fagerberg, L.; Hallström, B.M.; Lindskog, C.; Oksvold, P.; Mardinoglu, A.; Sivertsson, Å.; Kampf, C.; Sjöstedt, E.; Asplund, A.; et al. Tissue-Based Map of the Human Proteome. Science 2015, 347, 1260419. [Google Scholar] [CrossRef] [PubMed]
- Naamneh Elzenaty, R.; du Toit, T.; Flück, C.E. Basics of Androgen Synthesis and Action. Best. Pr. Res. Clin. Endocrinol. Metab. 2022, 36, 101665. [Google Scholar] [CrossRef] [PubMed]
- Uhlen, M.; Zhang, C.; Lee, S.; Sjöstedt, E.; Fagerberg, L.; Bidkhori, G.; Benfeitas, R.; Arif, M.; Liu, Z.; Edfors, F.; et al. A Pathology Atlas of the Human Cancer Transcriptome. Science 2017, 357, eaan2507. [Google Scholar] [CrossRef] [PubMed]
- Shao, R. Progesterone Receptor Isoforms A and B: New Insights into the Mechanism of Progesterone Resistance for the Treatment of Endometrial Carcinoma. Ecancermedicalscience 2013, 7, 381. [Google Scholar] [CrossRef]
- Asavasupreechar, T.; Saito, R.; Miki, Y.; Edwards, D.P.; Boonyaratanakornkit, V.; Sasano, H. Systemic Distribution of Progesterone Receptor Subtypes in Human Tissues. J. Steroid Biochem. Mol. Biol. 2020, 199, 105599. [Google Scholar] [CrossRef]
- Slayden, O.D.; Nayak, N.R.; Burton, K.A.; Chwalisz, K.; Cameron, S.T.; Critchley, H.O.D.; Baird, D.T.; Brenner, R.M. Progesterone Antagonists Increase Androgen Receptor Expression in the Rhesus Macaque and Human Endometrium. J. Clin. Endocrinol. Metab. 2001, 86, 2668–2679. [Google Scholar] [CrossRef]
- Tan, M.E.; Li, J.; Xu, H.E.; Melcher, K.; Yong, E.L. Androgen Receptor: Structure, Role in Prostate Cancer and Drug Discovery. Acta Pharmacol. Sin. 2015, 36, 3–23. [Google Scholar] [CrossRef]
- Van De Wijngaart, D.J.; Molier, M.; Lusher, S.J.; Hersmus, R.; Jenster, G.; Trapman, J.; Dubbink, H.J. Systematic Structure-Function Analysis of Androgen Receptor Leu 701 Mutants Explains the Properties of the Prostate Cancer Mutant L701H. J. Biol. Chem. 2010, 285, 5097–5105. [Google Scholar] [CrossRef] [PubMed]
- Michmerhuizen, A.R.; Spratt, D.E.; Pierce, L.J.; Speers, C.W. ARe We There yet? Understanding Androgen Receptor Signaling in Breast Cancer. Breast Cancer 2020, 6, 1–19. [Google Scholar] [CrossRef] [PubMed]
- Giovannelli, P.; Di Donato, M.; Galasso, G.; Di Zazzo, E.; Bilancio, A.; Migliaccio, A. The Androgen Receptor in Breast Cancer. Front. Endocrinol. 2018, 9, 411538. [Google Scholar] [CrossRef] [PubMed]
- Inoue, H.; Nojima, H.; Okayama, H. High Efficiency Transformation of Escherichia Coli with Plasmids. Gene 1990, 96, 23–28. [Google Scholar] [CrossRef]



| Androgens | Progestogens | ||
|---|---|---|---|
| A4 | androstenedione | P4 | progesterone |
| 11OHA4 | 11β-hydroxyandrostenedione | 11αOHP4 | 11α-hydroxyprogesterone |
| 11KA4 | 11-ketoandrostenedione | 11βOHP4 | 11β-hydroxyprogesterone |
| T | testosterone | 11KP4 | 11-ketoprogesterone |
| 11OHT | 11β-hydroxytestosterone | 11αOHDHP4 | 11α-hydroxydihydroprogesterone |
| 11KT | 11-ketotestosterone | 11βOHDHP4 | 11β-hydroxydihydroprogesterone |
| 5αdione | 5α-androstanedione | 11KDHP4 | 11-ketodihydroprogesterone |
| 11OH5αdione | 5α-androstan-11β-ol-3,17-dione | 3,11-diOHDHP4 | 5α-pregnan-3α,11β-diol-20-one |
| 11K5αdione | 5α-androstane-3,11,17-trione | alfaxalone | 5α-pregnan-3α-ol-11,20-dione |
| DHT | dihydrotestosterone | 17OHP4 | 17α-hydroxyprogesterone |
| 11OHDHT | 11β-hydroxydihydrotestosterone | 21dF | 21-deoxycortisol |
| 11KDHT | 11-ketodihydrotestosterone | 21dE | 21-deoxycortisone |
| AST | androsterone | 11OHPdione | 5α-pregnan-11β,17α-diol-3,20-dione |
| 11OHAST | 11β-hydroxyandrosterone | 11KPdione | 5α-pregnan-17α-ol-3,11,20-trione |
| 11KAST | 11-ketoandrosterone | 11OHPdiol | 5α-pregnan-3α,11β,17α-triol-20-one |
| 11OH3αdiol | 11β-hydroxyandrostanediol | 11KPdiol | 5α-pregnan-3α,17α-diol-11,20-dione |
| 11K3αdiol | 11-ketoandrostanediol | ||
| (A) | |||||||||
|---|---|---|---|---|---|---|---|---|---|
| 10 nM | 100 nM | 1 µM | |||||||
| Steroid | % Induction | ±SEM | Statistical Significance | % Induction | ±SEM | Statistical Significance | % Induction | ±SEM | Statistical Significance |
| T | 3.18 | 1.29 | - | 35.1 | 9.66 | - | 100 | 16.6 | - |
| DHT | 30.4 | 9.92 | * | 141 | 35.7 | **** | 161 | 22.4 | **** |
| 11KT | 1.81 | 0.71 | § | 15.0 | 4.52 | § | 148 | 25.6 | **** |
| 11KDHT | 6.59 | 1.2 | § | 78.0 | 11.6 | *** | 191 | 45.9 | **** |
| 11OHDHT | 1.63 | 0.49 | § | 10.7 | 4.53 | * | 153 | 49.1 | **** |
| (B) | |||||||||
| 1 µM | 10 µM | ||||||||
| Steroid | % Induction | ±SEM | Statistical Significance | % Induction | ±SEM | Statistical Significance | |||
| T | 100 | 2.86 | - | 100 | 2.86 | - | |||
| Bicalutamide | 71.0 | 3.95 | § | 11.3 | 1.55 | **** | |||
| 11OHA4 | 103 | 11.5 | § | 62.1 | 7.53 | * | |||
| 11OH5αdione | 103 | 15.4 | § | 68.5 | 8.35 | * | |||
| 11αOHP4 | 94.7 | 13.2 | § | 23.3 | 0.15 | **** | |||
| 11αOHDHP4 | 90.9 | 3.41 | § | 24.2 | 10.7 | **** | |||
| 11βOHP4 | 57.5 | 8.01 | ** | 7.60 | 1.5 | **** | |||
| 11βOHDHP4 | 76.2 | 11.6 | § | 18.4 | 0.88 | **** | |||
| 11KP4 | 76.3 | 15.2 | § | 25.7 | 4.25 | **** | |||
| 11KDHP4 | 75.1 | 22 | § | 34.9 | 9.73 | **** | |||
| 21dE | 110 | 11.3 | § | 68.8 | 4 | * | |||
| 11KPdione | 92.7 | 14.7 | § | 38.8 | 6.6 | **** | |||
| P4 | 22.3 | 5.11 | **** | 9.93 | 3.29 | **** | |||
| 17OHP4 | 72.2 | 13.1 | § | 10.8 | 1.15 | **** | |||
| 10 nM | 100 nM | 1 µM | |||||||
|---|---|---|---|---|---|---|---|---|---|
| Steroid | % Induction | ±SEM | Statistical Significance | % Induction | ±SEM | Statistical Significance | % Induction | ±SEM | Statistical Significance |
| P4 | 83.9 | 12.7 | - | 93.9 | 9.22 | - | 100 | 12.4 | - |
| 17OHP4 | 47.5 | 2.04 | **** | 50.5 | 1.52 | **** | 55.4 | 2.22 | **** |
| 11βOHP4 | 62.3 | 10.6 | ** | 68.7 | 7.87 | *** | 91.6 | 12.6 | § |
| 11βOHDHP4 | 48.6 | 3.29 | **** | 51.0 | 2.54 | **** | 73.4 | 12.1 | *** |
| 11αOHP4 | 49.9 | 4.69 | **** | 55.4 | 5.42 | **** | 67.4 | 8.52 | **** |
| (A) | ||||||||||||
|---|---|---|---|---|---|---|---|---|---|---|---|---|
| 10 nM | 100 nM | 1 µM | ||||||||||
| Steroid | % Induction | ±SEM | Statistical Significance | % Induction | ±SEM | Statistical Significance | % Induction | ±SEM | Statistical Significance | |||
| P4 | 43.5 | 2.42 | - | 87.4 | 14.2 | - | 100 | 23.9 | - | |||
| 17OHP4 | 13.1 | 0.90 | *** | 15.1 | 1.15 | **** | 35.4 | 5.04 | **** | |||
| 11βOHP4 | 25.0 | 5.79 | § | 113 | 10.5 | ** | 124 | 16.2 | * | |||
| 11βOHDHP4 | 13.9 | 0.72 | ** | 21.7 | 4.83 | **** | 80.7 | 22.2 | * | |||
| 11KP4 | 13.8 | 0.37 | ** | 14.9 | 0.96 | **** | 31.4 | 5.55 | **** | |||
| 11αOHP4 | 12.7 | 1.32 | *** | 17.2 | 3.03 | **** | 45.4 | 6.88 | **** | |||
| 11K3αdiol | 41.2 | 27.9 | § | 45.3 | 32.9 | **** | 57.4 | 19.6 | **** | |||
| (B) | ||||||||||||
| 10 nM | 100 nM | 1 µM | 10 µM | |||||||||
| Steroid | % Induction | ±SEM | Statistical Significance | % Induction | ±SEM | Statistical Significance | % Induction | ±SEM | Statistical Significance | % Induction | ±SEM | Statistical Significance |
| P4 | 100 | 2.9 | - | 100 | 2.9 | - | 100 | 2.9 | - | 100 | 2.9 | - |
| RU486 | 99.3 | 2.21 | § | 11.7 | 0.75 | **** | 10.5 | 0.39 | **** | 9.64 | 0.21 | **** |
| A4 | 51.9 | 8.81 | **** | 44.7 | 5.04 | **** | 47.7 | 7.64 | **** | 29.7 | 5.11 | **** |
| T | 82.9 | 18 | § | 64.5 | 8.95 | ** | 48.4 | 8.92 | **** | 34.9 | 1.02 | **** |
| DHT | 72.1 | 1.19 | * | 65.5 | 4.75 | ** | 55.8 | 3.36 | *** | 34.6 | 0.86 | **** |
| 5αdione | 74.7 | 4.02 | * | 56.5 | 2.13 | *** | 68.9 | 4.63 | ** | 38.0 | 5.47 | **** |
| 11OHA4 | 51.2 | 8.18 | **** | 48.5 | 6.87 | **** | 56.6 | 10.3 | *** | 30.6 | 1.29 | **** |
| 11OHT | 62.5 | 2.51 | ** | 68.5 | 6.68 | ** | 66.0 | 8.73 | ** | 48.4 | 5.92 | **** |
| 11KT | 69.1 | 14.4 | ** | 78.2 | 16.7 | § | 61.4 | 8.77 | ** | 35.6 | 1.83 | **** |
| 11KDHT | 85.9 | 10.9 | § | 85.0 | 11.7 | § | 74.4 | 5 | * | 45.0 | 2.5 | **** |
Disclaimer/Publisher’s Note: The statements, opinions and data contained in all publications are solely those of the individual author(s) and contributor(s) and not of MDPI and/or the editor(s). MDPI and/or the editor(s) disclaim responsibility for any injury to people or property resulting from any ideas, methods, instructions or products referred to in the content. |
© 2023 by the authors. Licensee MDPI, Basel, Switzerland. This article is an open access article distributed under the terms and conditions of the Creative Commons Attribution (CC BY) license (https://creativecommons.org/licenses/by/4.0/).
Share and Cite
Gent, R.; Van Rooyen, D.; Atkin, S.L.; Swart, A.C. C11-hydroxy and C11-oxo C19 and C21 Steroids: Pre-Receptor Regulation and Interaction with Androgen and Progesterone Steroid Receptors. Int. J. Mol. Sci. 2024, 25, 101. https://doi.org/10.3390/ijms25010101
Gent R, Van Rooyen D, Atkin SL, Swart AC. C11-hydroxy and C11-oxo C19 and C21 Steroids: Pre-Receptor Regulation and Interaction with Androgen and Progesterone Steroid Receptors. International Journal of Molecular Sciences. 2024; 25(1):101. https://doi.org/10.3390/ijms25010101
Chicago/Turabian StyleGent, Rachelle, Desmaré Van Rooyen, Stephen L. Atkin, and Amanda C. Swart. 2024. "C11-hydroxy and C11-oxo C19 and C21 Steroids: Pre-Receptor Regulation and Interaction with Androgen and Progesterone Steroid Receptors" International Journal of Molecular Sciences 25, no. 1: 101. https://doi.org/10.3390/ijms25010101
APA StyleGent, R., Van Rooyen, D., Atkin, S. L., & Swart, A. C. (2024). C11-hydroxy and C11-oxo C19 and C21 Steroids: Pre-Receptor Regulation and Interaction with Androgen and Progesterone Steroid Receptors. International Journal of Molecular Sciences, 25(1), 101. https://doi.org/10.3390/ijms25010101

