3-Benzoyl-1′,3′,6-trimethyl-2′H,3H,4H-spiro[furo[3,2-c]pyran-2,5′-pyrimidine]-2′,4,4′,6′(1′H,3′H)-tetraone
Abstract
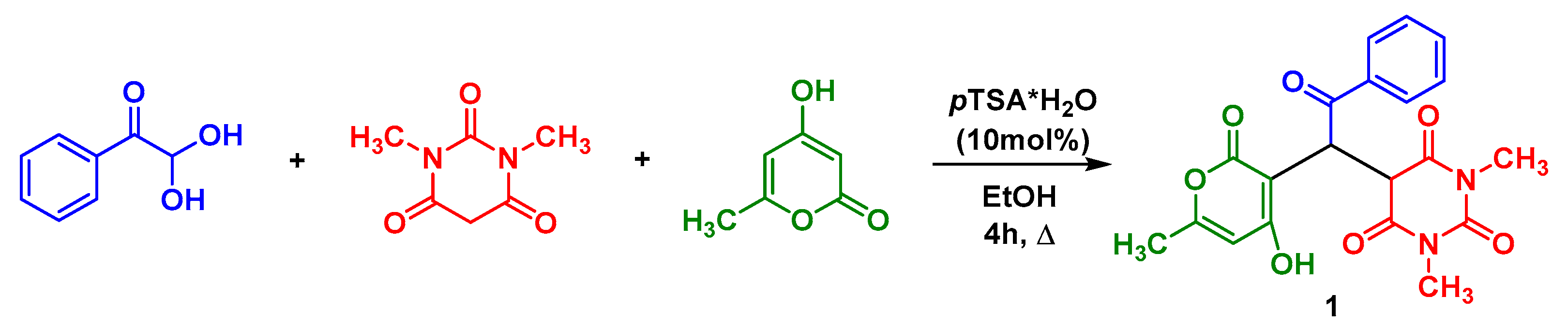
1. Introduction
2. Results and Discussion
3. Materials and Methods
3.1. General Methods
3.2. Synthesis of 3-Benzoyl-1′,3′,6-trimethyl-2′H,3H,4H-spiro[furo[3,2-c]pyran-2,5′-pyrimidine]-2′,4,4′,6′(1′H,3′H)-tetraone 2
4. Conclusions
Supplementary Materials
Author Contributions
Funding
Data Availability Statement
Conflicts of Interest
References
- Ager, D.J.; East, M.B. Cyclization Reactions and Reactions of Cyclic Systems. In Asymmetric Synthetic Methodology, 1st ed.; CRC Press: Boca Raton, FL, USA, 1995; pp. 367–390. [Google Scholar] [CrossRef]
- Kaur, N.; Kaur, M.; Sohal, H.S.; Han, H.; Bhowmik, P.K. A Review on Barbituric Acid and Its Derivatives: Synthesis, Reactions, and Bio-Applications. Organics 2024, 5, 298–345. [Google Scholar] [CrossRef]
- Shukla, S.; Bishnoi, A.; Devi, P.; Kumar, S.; Srivastava, A.; Srivastava, K.; Fatma, S. Synthesis, Characterization, and in vitro Antibacterial Evaluation of Barbituric Acid Derivatives. Russ. J. Org. Chem. 2019, 55, 860–865. [Google Scholar] [CrossRef]
- Katritzky, A.R.; Rees, C.W.; Scriven, E.F.V. Comprehensive Heterocyclic Chemistry II, 2nd ed.; Elsevier Pergamon: Oxford, UK, 1996; Available online: https://www.sciencedirect.com/referencework/9780080965185/comprehensive-heterocyclic-chemistry-ii (accessed on 13 January 2025)ISBN 978-0-08-096518-5.
- Barakat, A.; Ghabbour, H.A.; Al-Majid, A.M.; Qurat-ul-ain; Imad, R.; Javaid, K.; Shaikh, N.N.; Yousuf, S.; Iqbal Choudhary, M.; Wadood, A. Synthesis, X-Ray Crystal Structures, Biological Evaluation, and Molecular Docking Studies of a Series of Barbiturate Derivatives. J. Chem. 2016, 2016, 8517243. [Google Scholar] [CrossRef]
- McGlacken, G.P.; Fairlamb, I.J.S. 2-Pyrone natural products and mimetics: Isolation, characterisation and biological activity. Nat. Prod. Rep. 2005, 22, 369–385. [Google Scholar] [CrossRef]
- Lee, J.S. Recent Advances in the Synthesis of 2-Pyrones. Mar. Drugs 2015, 13, 1581–1620. [Google Scholar] [CrossRef]
- Yu, L.; Dai, A.; Zhang, W.; Liao, A.; Guo, S.; Wu, J. Spiro Derivatives in the Discovery of New Pesticides: A Research Review. J. Agric. Food Chem. 2022, 70, 35–10693. [Google Scholar] [CrossRef]
- Saraswat, P.K.; Jeyabalan, G.; Hassan, M.Z.; Rahman, M.U.; Nyola, N.K. Review of synthesis and various biological activities of spiro heterocyclic compounds comprising oxindole and pyrrolidine moities. Synth. Commun. 2016, 46, 1643–1664. [Google Scholar] [CrossRef]
- Acosta-Quiroga, K.; Rojas-Peña, C.; Nerio, L.S.; Gutiérrez, M.; Polo-Cuadrado, E. Spirocyclic derivatives as antioxidants: A review. RSC Adv. 2021, 11, 36–21926. [Google Scholar] [CrossRef]
- Krasavin, M.; Lukin, A.; Bagnyukova, D.; Zhurilo, N.; Zahanich, I.; Zozulya, S.; Ihalainen, J.; Forsberg, M.M.; Lehtonen, M.; Rautio, J.; et al. Free fatty acid receptor 1 (GPR40) agonists containing spirocyclic periphery inspired by LY2881835. Bioorg. Med. Chem. 2016, 24, 5481–5494. [Google Scholar] [CrossRef]
- Goyard, D.; Kónya, B.; Chajistamatiou, A.S.; Chrysina, E.D.; Leroy, J.; Balzarin, S.; Tournier, M.; Tousch, D.; Petit, P.; Duret, C.; et al. Glucose-derived spiro-isoxazolines are anti-hyperglycemic agents against type 2 diabetes through glycogen phosphorylase inhibition. Eur. J. Med. Chem. 2016, 108, 444–454. [Google Scholar] [CrossRef]
- Ramdani, L.H.; Talhi, O.; Taibi, N.; Delort, L.; Decombat, C.; Silva, A.; Bachari, K.; Vasson, M.P.; Caldefie-Chezet, F. Effects of Spiro-bisheterocycles on Proliferation and Apoptosis in Human Breast Cancer Cell Lines. Anticancer Res. 2016, 36, 6399–6408. [Google Scholar] [CrossRef] [PubMed]
- Gálvez, J.; Polo, S.; Insuasty, B.; Gutiérrez, M.; Cáceres, D.; Alzate-Morales, J.H.; De-la-Torre, P.; Quiroga, J. Design, facile synthesis, and evaluation of novel spiro- and pyrazolo [1,5-c]quinazolines as cholinesterase inhibitors: Molecular docking and MM/GBSA studies. Comput. Biol. Chem. 2018, 74, 218–229. [Google Scholar] [CrossRef] [PubMed]
- Elinson, M.N.; Vereshchagin, A.N.; Ryzhkova, Y.E.; Karpenko, K.A.; Kalashnikova, V.M.; Egorov, M.P. An expedient cyclization of polyfunctional (aryl)(pyrimidinyl)(pyranyl)methanes into spiro[furo[3,2-c]pyran-2,5′-pyrimidine] scaffold. Mendeleev Commun. 2023, 33, 448–450. [Google Scholar] [CrossRef]
- Elinson, M.N.; Ryzhkova, Y.E.; Kalashnikova, V.M.; Chizhov, A.O.; Egorov, M.P. Multicomponent Assembling of Aldehydes, N,N-Dimethylbarbituric Acid, Malononitrile, and Morpholine Into Unsymmetrical Ionic Scaffold and Its Efficient Cyclization. J. Heterocycl. Chem. 2024, 61, 1752–1761. [Google Scholar] [CrossRef]
- Ryzhkova, Y.E.; Kalashnikova, V.M.; Ryzhkov, F.V.; Elinson, M.N. 1,3-Dimethyl-3′,5-diphenyl-1,5-dihydro-2H,5′H-spiro[furo[2,3-d]pyrimidine-6,4′-isoxazole]-2,4,5′(3H)-trione. Molbank 2022, 2022, M1317. [Google Scholar] [CrossRef]
- Ryzhkova, Y.E.; Kalashnikova, V.M.; Ryzhkov, F.V.; Elinson, M.N. 5-(1-(4-Hydroxy-6-methyl-2-oxo-2H-pyran-3-yl)-2-oxo-2-phenylethyl)-1,3-dimethylpyrimidine-2,4,6(1H,3H,5H)-trione. Molbank 2023, 2023, M1640. [Google Scholar] [CrossRef]
- Grjol, B.; Jereb, M. Reactivity of substrates with multiple competitive reactive sites toward NBS under neat reaction conditions promoted by visible light. Chem. Pap. 2021, 75, 5235–5248. [Google Scholar] [CrossRef]
- Elinson, M.N.; Medvedev, M.G.; Ilovaisky, A.I.; Merkulova, V.M.; Zaimovskay, T.A.; Gennady, I.; Nikishin, G.I. Solvent-free cascade assembling of salicylic aldehydes and malononitrile: Rapid and efficient approach to 2-amino-4H-chromene scaffold. Mendeleev Commun. 2013, 23, 94–95. [Google Scholar] [CrossRef]
- Rosen, T. 1.12—The Perkin Reaction. Comp. Org. Syn. 1991, 2, 395–408. [Google Scholar] [CrossRef]
- Elinson, M.N.; Feducovich, S.K.; Zaimovskaya, T.A.; Vereshchagin, A.N.; Nikishin, G.I. Stereoselective electrocatalytic transformations of malononitrile and aromatic aldehydes into (1R,5S,6R)*-4,4-dialkoxy-2-amino-6-aryl-1,5-dicyano-3-azabicyclo [3.1.0]hex-2-enes. Russ. Chem. Bull. 2005, 54, 673–677. [Google Scholar] [CrossRef]
- Cleary, T.; Rawalpally, T.; Kennedy, N.; Chaves, F. Catalyzing the Erlenmeyer Plöchl reaction: Organic bases versus sodium acetate. Tetrahedron Lett. 2010, 51, 1533–1536. [Google Scholar] [CrossRef]



Disclaimer/Publisher’s Note: The statements, opinions and data contained in all publications are solely those of the individual author(s) and contributor(s) and not of MDPI and/or the editor(s). MDPI and/or the editor(s) disclaim responsibility for any injury to people or property resulting from any ideas, methods, instructions or products referred to in the content. |
© 2025 by the authors. Licensee MDPI, Basel, Switzerland. This article is an open access article distributed under the terms and conditions of the Creative Commons Attribution (CC BY) license (https://creativecommons.org/licenses/by/4.0/).
Share and Cite
Elinson, M.N.; Kalashnikova, V.M.; Ryzhkova, Y.E.; Rakitin, O.A. 3-Benzoyl-1′,3′,6-trimethyl-2′H,3H,4H-spiro[furo[3,2-c]pyran-2,5′-pyrimidine]-2′,4,4′,6′(1′H,3′H)-tetraone. Molbank 2025, 2025, M1951. https://doi.org/10.3390/M1951
Elinson MN, Kalashnikova VM, Ryzhkova YE, Rakitin OA. 3-Benzoyl-1′,3′,6-trimethyl-2′H,3H,4H-spiro[furo[3,2-c]pyran-2,5′-pyrimidine]-2′,4,4′,6′(1′H,3′H)-tetraone. Molbank. 2025; 2025(1):M1951. https://doi.org/10.3390/M1951
Chicago/Turabian StyleElinson, Michail N., Varvara M. Kalashnikova, Yuliya E. Ryzhkova, and Oleg A. Rakitin. 2025. "3-Benzoyl-1′,3′,6-trimethyl-2′H,3H,4H-spiro[furo[3,2-c]pyran-2,5′-pyrimidine]-2′,4,4′,6′(1′H,3′H)-tetraone" Molbank 2025, no. 1: M1951. https://doi.org/10.3390/M1951
APA StyleElinson, M. N., Kalashnikova, V. M., Ryzhkova, Y. E., & Rakitin, O. A. (2025). 3-Benzoyl-1′,3′,6-trimethyl-2′H,3H,4H-spiro[furo[3,2-c]pyran-2,5′-pyrimidine]-2′,4,4′,6′(1′H,3′H)-tetraone. Molbank, 2025(1), M1951. https://doi.org/10.3390/M1951

