Sign in to use this feature.

Years

Between: -

Subjects

remove_circle_outline
remove_circle_outline
remove_circle_outline
remove_circle_outline
remove_circle_outline
remove_circle_outline
remove_circle_outline
remove_circle_outline
remove_circle_outline

Journals

remove_circle_outline
remove_circle_outline
remove_circle_outline
remove_circle_outline
remove_circle_outline
remove_circle_outline

Article Types

Countries / Regions

remove_circle_outline
remove_circle_outline
remove_circle_outline
remove_circle_outline
remove_circle_outline

Search Results (1,971)

Search Parameters:
Keywords = torque and power

Order results
Result details
Results per page
Select all
Export citation of selected articles as:
30 pages, 7039 KB  
Article
Research on Dynamic Center-of-Mass Reconfiguration for Enhancement of UAV Performances Based on Simulations and Experiment
by Anas Ahmed, Guangjin Tong and Jing Xu
Drones 2025, 9(12), 854; https://doi.org/10.3390/drones9120854 - 12 Dec 2025
Abstract
The stability of unmanned aerial vehicles (UAVs) during propulsion failure remains a critical safety challenge. This study presents a center-of-mass (CoM) correction device, a compact, under-slung, and dual-axis prismatic stage, which can reposition a dedicated shifting mass within the UAV frame to generate [...] Read more.
The stability of unmanned aerial vehicles (UAVs) during propulsion failure remains a critical safety challenge. This study presents a center-of-mass (CoM) correction device, a compact, under-slung, and dual-axis prismatic stage, which can reposition a dedicated shifting mass within the UAV frame to generate stabilizing gravitational torques by the closed-loop feedback from the inertial measurement unit (IMU). Two major experiments were conducted to evaluate the feasibility of the system. In a controlled roll test with varying payloads, the device produced a corrective torque up to 1.2375 N · m, reducing maximum roll deviations from nearly 90° without the device to less than 5° with it. In a dynamic free-fall simulation, the baseline UAV exhibited rapid tumbling and inverted impacts, whereas with the CoM system activated, the UAV maintained a near-level attitude to achieve the upright recovery and greatly reduced structural stress prior to ground contact. The CoM device, as a fail-safe stabilizer, can also enhance maneuverability by increasing control authority, enable a faster speed response and more efficient in-air braking without reliance on the rotor thrust, and achieve comprehensive energy saving, at about 7% of the total power budget. In summary, the roll stabilization and free-fall results show that the CoM device can work as a practical pathway toward the safer, more agile, and energy-efficient UAV platforms for civil, industrial, and defense applications. Full article
(This article belongs to the Special Issue Advanced Flight Dynamics and Decision-Making for UAV Operations)
15 pages, 1824 KB  
Article
Optimal Determination of Synchronous Condenser Placement and Voltage Setting for Enhancing Power System Stability
by Juseong Lee, Hyeongjun Jo and Soobae Kim
Energies 2025, 18(24), 6474; https://doi.org/10.3390/en18246474 - 10 Dec 2025
Abstract
With the increasing share of renewable energy in power systems, the instability of the power systems is becoming increasingly significant. Consequently, power system stability has become a critical issue, and non-transmission alternatives have been examined as potential solutions. Among non-transmission alternatives, the synchronous [...] Read more.
With the increasing share of renewable energy in power systems, the instability of the power systems is becoming increasingly significant. Consequently, power system stability has become a critical issue, and non-transmission alternatives have been examined as potential solutions. Among non-transmission alternatives, the synchronous condenser can enhance power system stability by providing inertia support and reactive power compensation, especially in systems with a high share of renewable energy. The placement and voltage settings of synchronous condensers significantly impact system stability. This paper proposes a methodology for determining the optimal placement and optimal voltage setting of synchronous condensers for enhancing their voltage stability and transient stability; the improved voltage stability index and synchronizing torque coefficient are used for enhancing the voltage stability and transient stability, respectively. A case study with a focus on specific stability aspects and involving scenarios where the size and number of synchronous capacitors are varied while maintaining a constant inertia energy is presented. The results of the case study show that strategically optimizing the placement and voltage setting of synchronous condensers can enhance the stability of a power system significantly. Full article
(This article belongs to the Special Issue Advanced Electric Power Systems, 2nd Edition)
Show Figures

Figure 1

27 pages, 5771 KB  
Article
Electricity Energy Flow Analysis of a Fuel Cell Electric Vehicle (FCEV) Under Real Driving Conditions (RDC)
by Wojciech Cieslik, Andrzej Stolarski and Sebastian Freda
Energies 2025, 18(24), 6458; https://doi.org/10.3390/en18246458 - 10 Dec 2025
Abstract
The study analyzed the energy flow of a second-generation Toyota Mirai FCEV under Real Driving Conditions (RDC) in ECO and Normal driving modes. The results demonstrated significant operational differences between the two modes. The ECO mode reduced the maximum motor torque from 286.5 [...] Read more.
The study analyzed the energy flow of a second-generation Toyota Mirai FCEV under Real Driving Conditions (RDC) in ECO and Normal driving modes. The results demonstrated significant operational differences between the two modes. The ECO mode reduced the maximum motor torque from 286.5 Nm to 187.6 Nm (−51%) but increased the high-voltage (HV) battery State of Charge swing (ΔSOC = 17.26% vs. 10.59%, +63%). Regenerative energy recovery rose by ~19.8% overall and by 25.7% in urban driving. The ECO mode exhibited higher HV battery cycling (4.03 Wh vs. 3.27 Wh) and slightly higher fuel cell energy use in urban conditions (+8.5%). The average fuel cell power was 36% higher in Normal mode, whereas the HV battery output was 11.4% higher in ECO mode. Hydrogen consumption in Normal mode was two times higher in urban and highway phases and three times higher in rural driving compared to ECO mode. In summary, the ECO mode enhances regenerative energy utilization and reduces total onboard energy consumption, at the expense of peak torque and increased battery cycling. These results provide valuable insights for optimizing energy management strategies in fuel cell electric powertrains under real driving conditions. The study introduces an independent methodology for high-resolution (1 Hz) electric energy-flow monitoring and quantification of energy exchange between the fuel cell, high-voltage battery, and powertrain system under Real Driving Conditions (RDC). Unlike manufacturer-derived data or laboratory simulations, the presented approach enables empirical validation of on-board energy management strategies in production FCEVs. The results reveal distinctive energy-flow patterns in ECO and Normal modes, offering reference data for the optimization of future hybrid control algorithms in hydrogen-powered vehicles. Full article
(This article belongs to the Special Issue Energy Transfer Management in Personal Transport Vehicles)
Show Figures

Figure 1

19 pages, 3839 KB  
Article
Usefulness of Rapeseed Oil Modified by n-Hexane and Ethanol as Diesel Fuel
by Rafał Longwic, Przemysław Sander, Anna Zdziennicka, Katarzyna Szymczyk, Bronisław Jańczuk, Jerzy Merkisz and Krzysztof Górski
Energies 2025, 18(24), 6455; https://doi.org/10.3390/en18246455 - 10 Dec 2025
Viewed by 31
Abstract
An attempt was made to adapt the physical and chemical characteristics of rapeseed oil (Ro), including its density, viscosity and surface tension to diesel oil in the aspect of its use as a biofuel in diesel engines by adding 10 and/or 15 percent [...] Read more.
An attempt was made to adapt the physical and chemical characteristics of rapeseed oil (Ro), including its density, viscosity and surface tension to diesel oil in the aspect of its use as a biofuel in diesel engines by adding 10 and/or 15 percent n-hexane to the oil and contacting the obtained mixture with ethanol. After establishing an equilibrium of ethanol extraction in the phase containing a mixture of Ro and n-hexane and the mixture components in ethanol, measurements of the viscosity, surface tension and density of oil phases were performed. The obtained values of these physicochemical parameters for the Ro and n-hexane mixture phase were close to those of diesel oil. Next, engine tests were carried out on the Ro+n-hexane mixture after its contact with ethanol under real driving conditions. The tests showed that the mixture of rapeseed oil with 10% n-hexane in contact with ethanol achieved the highest torque and power values among all Ro-based fuels, and that the decrease in these parameters compared to diesel fuel was the smallest. Moreover, compared to Ro and the mixture of Ro with 10% n-hexane, a higher energy efficiency was obtained, which is due to the favorable physicochemical properties of the fuel—the reduced viscosity and improved volatility. Full article
Show Figures

Figure 1

21 pages, 3127 KB  
Article
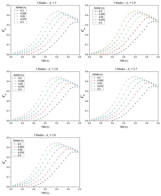
Design of Low-Power Vertical-Axis Wind Turbine Based on Parametric Method
by F. Díaz-Canul, J. O. Aguilar, N. Rosado-Hau, E. Simá and O. A. Jaramillo
Wind 2025, 5(4), 35; https://doi.org/10.3390/wind5040035 - 10 Dec 2025
Viewed by 74
Abstract
The parametric design of a low-power (<1 kW) H-type vertical-axis wind turbine tailored to the wind conditions of the Yucatán Peninsula is presented. Nine airfoils were evaluated using the Double Multiple Streamtube method and Qblade Lifting-Line Theory numerical simulations, considering variations in solidity [...] Read more.
The parametric design of a low-power (<1 kW) H-type vertical-axis wind turbine tailored to the wind conditions of the Yucatán Peninsula is presented. Nine airfoils were evaluated using the Double Multiple Streamtube method and Qblade Lifting-Line Theory numerical simulations, considering variations in solidity (σ = 0.20–0.30), aspect ratio (Ar = H/R = 2.6–3.0), number of blades (2–5), and a swept-area constraint of 4 m2. The parametric study shows that fewer blades increase Cp, although a three-blade rotor improves start-up torque, vibration mitigation, and load smoothing. The recommended configuration—three blades, Ar = 2.6, σ = 0.30 and S1046 (or NACA 0018) operated near λ ≈ 3.75—balances efficiency and start-up performance. For the representative mean wind velocity of 5 m/s, typical of the Yucatán Peninsula, the VAWT achieves a maximum output of 136 W at 220 rpm. Under higher-wind conditions observed in specific sites within the region, the predicted maximum output increases to 932 W at 380 rpm. Full article
Show Figures

Graphical abstract

29 pages, 10502 KB  
Article
Performance Enhancement of Wireless BLDC Motor Using Adaptive Reinforcement Learning for Sustainable Pumping Applications
by Richard Pravin Antony, Pongiannan Rakkiya Goundar Komarasamy, Moustafa Ahmed Ibrahim, Abdulaziz Alanazi and Narayanamoorthi Rajamanickam
Sustainability 2025, 17(23), 10881; https://doi.org/10.3390/su172310881 - 4 Dec 2025
Viewed by 263
Abstract
This paper presents an adaptive reinforcement learning (RL)-based control strategy for a wireless power transfer (WPT)-fed brushless DC (BLDC) motor drive, aimed at enhancing efficiency in industrial applications. Conventional control methods for BLDC motors often result in higher energy consumption and increased torque [...] Read more.
This paper presents an adaptive reinforcement learning (RL)-based control strategy for a wireless power transfer (WPT)-fed brushless DC (BLDC) motor drive, aimed at enhancing efficiency in industrial applications. Conventional control methods for BLDC motors often result in higher energy consumption and increased torque ripple under dynamic load and voltage variations. To address this, an adaptive RL framework is implemented with pulse density modulation (PDM), enabling the controller to augment motor speed, torque, and input power in real time. The system is modeled and tested for a 48 V, 1 HP BLDC motor, powered through a 1.1 kW WPT system. Training is carried out across 10 learning episodes with varying load torque and speed demands, allowing the RL agent to adaptively minimize losses while maintaining performance. Results indicate a significant reduction in torque ripple to a minimum of 0.20 Nm, stable speed regulation within ±30 rpm, and improved power utilization compared to existing controllers. The integration of RL with WPT provides a robust, contactless, and energy-efficient solution that is suitable for sustainable industrial motor-pump applications. Full article
Show Figures

Figure 1

14 pages, 811 KB  
Article
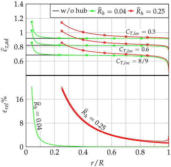
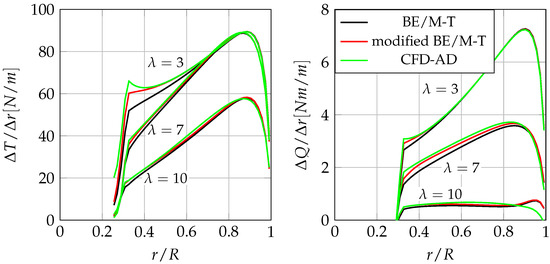
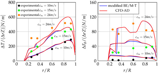
A Strategy to Account for the Hub Blockage Effect in the Blade-Element/Momentum Theory
by Rodolfo Bontempo and Marcello Manna
Int. J. Turbomach. Propuls. Power 2025, 10(4), 48; https://doi.org/10.3390/ijtpp10040048 - 1 Dec 2025
Viewed by 145
Abstract
Although the hub blockage effect is generally disregarded for large-sized horizontal axis wind machines, it can significantly affect the performance of small-sized turbines whose ratio between the hub and rotor radii can attain values up to 25–30%. This article proposes a generalisation of [...] Read more.
Although the hub blockage effect is generally disregarded for large-sized horizontal axis wind machines, it can significantly affect the performance of small-sized turbines whose ratio between the hub and rotor radii can attain values up to 25–30%. This article proposes a generalisation of the Blade-Element/Momentum Theory (BE/M-T), accounting for the effects of the hub presence on the rotor performance. The new procedure relies on the quantitative evaluation of the radial distribution of the axial velocity induced by the hub all along the blade span. It is assumed that this velocity is scarcely influenced by the magnitude and type of the rotor load, and it is evaluated using a classical CFD approach applied to the bare hub. The validity and accuracy of the modified BE/M-T model are tested by comparing its results with those of a more advanced CFD-actuator-disk (CFD-AD) approach, which naturally and duly takes into account the hub blockage, the rotor presence, an and the wake divergence and rotation, and the results are validated against experimental data. The comparison shows that the correction for the hub blockage effects in the BE/M-T model significantly reduces the differences with the results of the reference method (CFD-AD) both in terms of global (power coefficient) and local (thrust and torque per unit length) quantities. Full article
Show Figures

Figure 1

16 pages, 846 KB  
Article
Powered Ankle Exoskeleton Control Based on sEMG-Driven Model Through Adaptive Fuzzy Inference
by Huanli Zhao, Weiqiang Li, Kaiyang Yin, Yaxu Xue and Yi Chen
Mathematics 2025, 13(23), 3839; https://doi.org/10.3390/math13233839 - 30 Nov 2025
Viewed by 204
Abstract
Powered ankle exoskeletons have become efficient ability-enhancing and rehabilitation tools that support human body movements. Traditionally, the control schemes for ankle exoskeletons were implemented relying on precise physical and kinematic models. However, this approach resulted in poor coordination of human–machine coupled motion and [...] Read more.
Powered ankle exoskeletons have become efficient ability-enhancing and rehabilitation tools that support human body movements. Traditionally, the control schemes for ankle exoskeletons were implemented relying on precise physical and kinematic models. However, this approach resulted in poor coordination of human–machine coupled motion and an increase in the wearer’s energy consumption. To solve the cooperative control issue between the wearer and the ankle exoskeleton, this work introduces an adaptive impedance control method for the ankle exoskeleton that is based on the surface electromyography (sEMG) of the calf muscles. The proposed method achieves cooperative control by leveraging an experience-based fuzzy rule interpolation (E-FRI) approach to dynamically adjust the impedance model parameters. This adaptive mechanism is driven by the wearer’s calf sEMG signals, which capture the wearer’s movement state. The adaptive impedance model then computes the desired torque for the ankle exoskeleton. To validate and evaluate the system, the control method was implemented on a simplified ankle exoskeleton. Experimental validation with five healthy participants (age 19 ± 1.35 years) demonstrated significant improvements over conventional fixed-impedance approaches: mean RMS reductions of 19.7% in gastrocnemius activation and 21.4% in soleus activation during treadmill walking. This study establish a new paradigm for responsive exoskeleton control through symbiotic integration of neuromuscular signals and adaptive fuzzy inference, offering critical implications for rehabilitation robotics and assistive mobility technologies. Full article
Show Figures

Figure 1

23 pages, 19045 KB  
Article
Evaluation of the Acoustic Noise Performance of a Switched Reluctance Motor Under Different Current Control Techniques
by Francisco Juarez-Leon, Moien Masoumi, Babak Nahid-Mobarakeh and Berker Bilgin
Acoustics 2025, 7(4), 77; https://doi.org/10.3390/acoustics7040077 - 30 Nov 2025
Viewed by 151
Abstract
In recent years, switched reluctance motors have emerged as a promising option for various applications due to their low manufacturing cost, rare-earth-free construction, and mechanical robustness. However, their widespread adoption is often limited by high torque ripple and acoustic noise. To address these [...] Read more.
In recent years, switched reluctance motors have emerged as a promising option for various applications due to their low manufacturing cost, rare-earth-free construction, and mechanical robustness. However, their widespread adoption is often limited by high torque ripple and acoustic noise. To address these challenges, this paper presents a comparative study of the acoustic noise performance of an 18/12 switched reluctance motor under various current control techniques. This comparison offers valuable insight into the motor’s vibroacoustic characteristics, which is essential for optimizing SRM performance, particularly in applications where noise reduction is critical. Dynamic simulations of an SRM are carried out in MATLAB/Simulink, and multi-physics analyses are performed in ANSYS Workbench. The multi-physics modeling includes electromagnetic, modal, and harmonic response analyses for four current control techniques evaluated across different operating speeds under light-load conditions. The simulation results are validated experimentally using an actual motor mounted on a dynamometer setup. The corresponding acoustic signatures for each control technique are presented as 2D plots of equivalent radiated power from simulations and sound power level from experimental tests. In addition, experimental waterfall diagrams are provided for each control technique. Full article
Show Figures

Figure 1

30 pages, 6918 KB  
Article
Design, Optimization, and Validation of a Dual Three-Phase YASA Axial Flux Machine with SMC Stator for Aerospace Electromechanical Actuators
by Mehmet C. Kulan, Farshid Mahmouditabar, Abdulrahman A. M. Alharbi, Bortecene Yildirim and Nick J. Baker
Energies 2025, 18(23), 6274; https://doi.org/10.3390/en18236274 - 28 Nov 2025
Viewed by 285
Abstract
This paper presents the design, optimization, and validation of a dual three-phase yokeless and segmented armature (YASA) axial flux permanent magnet (AFPM) machine for aerospace actuators. The proposed 12-slot, 10-pole topology employs segmented soft magnetic composite (SMC) stator teeth integrated into an additively [...] Read more.
This paper presents the design, optimization, and validation of a dual three-phase yokeless and segmented armature (YASA) axial flux permanent magnet (AFPM) machine for aerospace actuators. The proposed 12-slot, 10-pole topology employs segmented soft magnetic composite (SMC) stator teeth integrated into an additively manufactured aluminium holder, combining modularity, weight reduction, and improved thermal conduction. A multi-objective optimization process based on 3D finite element analysis (FEA) was applied to balance torque capability and losses. The manufacturable design achieved a peak torque of 28.3 Nm at 1400 rpm and a peak output power of 3.5 kW with an efficiency of 81.6%, while limiting short-circuit currents to 14 Arms. Transient structural simulations revealed that three-phase short circuits induce unbalanced axial forces, exciting rotor wobbling—a phenomenon not previously reported for YASA machines. A prototype was fabricated and tested, with static torque measurements deviating by 8.6% from FEA predictions. By contrast, line-to-line back-EMF and generator-mode power output exhibited larger discrepancies (up to 20%), attributed to the frequency-dependent permeability and localized eddy currents of the SMC stator material introduced during EDM machining. These results demonstrate both the feasibility and the limitations of YASA AFPM machines for aerospace applications. Full article
(This article belongs to the Special Issue Advanced Technology in Permanent Magnet Motors)
Show Figures

Figure 1

25 pages, 9285 KB  
Article
A Constant-Speed and Variable-Torque Control Strategy for M100 Methanol Range-Extended Electric Dump Trucks
by Jian Zhang, Yanbo Dai, Xiqing Zhang, Wei Zhao and Yong Shu
Vehicles 2025, 7(4), 141; https://doi.org/10.3390/vehicles7040141 - 28 Nov 2025
Viewed by 118
Abstract
The paper primarily focuses on the control strategy of an electric dump truck equipped with an M100 methanol range extender. In response to the significant adverse impact of the constant power control strategy on the lifespan of power batteries and the large rotational [...] Read more.
The paper primarily focuses on the control strategy of an electric dump truck equipped with an M100 methanol range extender. In response to the significant adverse impact of the constant power control strategy on the lifespan of power batteries and the large rotational speed fluctuations of range extenders under the power-following control strategy, a constant-speed and variable-torque range extender control strategy based on the rule-based control strategy is proposed. This strategy enables power following within the range of 70 kW to 130 kW and fixed-point operation at 50 kW and 150 kW. Through co-simulation using AVL Cruise and MATLAB R2022b/Simulink, the results indicate that under the China Heavy-duty Commercial Vehicle Test Cycle-Dynamic (CHTC-D), with an average vehicle speed of 23.19 km/h, the constant-speed and variable-torque range extender control strategy achieves a higher methanol saving rate compared to both the constant power control strategy and the power-following control strategy, thereby demonstrating better fuel economy. The methanol consumption per 100 km for the dump truck using the constant power control strategy, the power-following control strategy, and the constant-speed and variable-torque control strategy are 62.89 L, 64.49 L, and 62.53 L, respectively. Compared with the same type of diesel range-extended electric dump truck, its fuel usage cost has a significant advantage. Full article
Show Figures

Figure 1

40 pages, 7942 KB  
Article
Experimental Evaluation of Feedback Proportional–Integral Control for Improving the Efficiency and Sustainability of DFIG Systems in Renewable Energy Applications
by Habib Benbouhenni, Abdessamed Milles and Nicu Bizon
Sustainability 2025, 17(23), 10667; https://doi.org/10.3390/su172310667 - 28 Nov 2025
Viewed by 271
Abstract
This study investigates the effectiveness of a feedback-based proportional–integral (PI) regulator in the control system of a doubly fed induction generator (DFIG) used in wind energy applications, with a focus on enhancing the reliability and sustainability of renewable power generation. The primary objective [...] Read more.
This study investigates the effectiveness of a feedback-based proportional–integral (PI) regulator in the control system of a doubly fed induction generator (DFIG) used in wind energy applications, with a focus on enhancing the reliability and sustainability of renewable power generation. The primary objective is to assess how the feedback-based PI regulator can improve the efficiency and stability of rotor-side converter control, thereby ensuring consistent power quality and resilient operation under variable environmental and loading conditions. A novel experimental setup was developed by integrating a laboratory-scale DFIG system with real-time digital simulation tools, enabling a realistic assessment of dynamic performance. Various operating scenarios, including wind speed fluctuations and generator parameter variations, were analyzed to evaluate the regulator’s ability to minimize power ripples, ensure voltage stability, reduce total harmonic distortion (THD), and mitigate torque ripple—all of which contribute to more sustainable and efficient energy conversion. Comparative analyses using performance indicators such as power ripple, steady-state error, and overshoot demonstrate that the feedback-based PI regulator outperforms conventional control methods reported in the literature. The experimental results confirm that the proposed control strategy not only enhances dynamic performance and operational robustness but also contributes to the long-term sustainability of wind energy systems by improving energy efficiency, reducing losses, and supporting grid stability. Overall, this work promotes sustainability by advancing control techniques that optimize renewable energy utilization and strengthen the reliability of clean power technologies. Full article
Show Figures

Figure 1

9 pages, 1445 KB  
Communication
A Wide Dynamic Range Current Sensor Based on Torque-Mode Magnetoelectric Coupling Effect
by Fuchao Li, Zihuan Huang, Yuan Meng, Yifei Zhou, Jiefu Zhang, Sujie Liu, Qiang Shi, Ziyang Ye and Lin Huang
Sensors 2025, 25(23), 7236; https://doi.org/10.3390/s25237236 - 28 Nov 2025
Viewed by 349
Abstract
The load current of the new power system has significant characteristics on a wide dynamic range, which poses challenges to current sensing technologies. This paper proposes a magnetic-sensitive element based on NdFeB/Lead Zirconate Titanate (PZT) magnetoelectric composite materials, and further develops a magnetoelectric [...] Read more.
The load current of the new power system has significant characteristics on a wide dynamic range, which poses challenges to current sensing technologies. This paper proposes a magnetic-sensitive element based on NdFeB/Lead Zirconate Titanate (PZT) magnetoelectric composite materials, and further develops a magnetoelectric coupling current sensor. The sensor operates in torque mode, enabling the detection of both wide dynamic range alternating currents and weak alternating currents. Experimental studies show that the sensor achieved a power-frequency current detection sensitivity of 15.56 mV/A, a linear range of (0–120) A, and a detection limit of 153 μA. The results indicate that the sensor exhibits high sensitivity in alternating current (AC) current detection, and at power frequency, possesses both a wide dynamic range and the capability to detect weak currents. Therefore, it shows great application potential in scenarios such as wide dynamic range AC current measurement and weak current detection in power systems. Full article
(This article belongs to the Section Physical Sensors)
Show Figures

Figure 1

26 pages, 266 KB  
Review
Research Advances in the Design and Control Technologies of Electric Spindle Motors for CNC Machine Tools
by Jinhua Liang, Haiping Xu, Fei Chen, Wei Liu and Peng Zhou
Energies 2025, 18(23), 6243; https://doi.org/10.3390/en18236243 - 28 Nov 2025
Viewed by 334
Abstract
The electric spindle serves as a critical component in enabling a highly dynamic response, stable torque output, and precise motion control for the main cutting operations of CNC machine tools. The design precision and control performance of its drive motor directly influence the [...] Read more.
The electric spindle serves as a critical component in enabling a highly dynamic response, stable torque output, and precise motion control for the main cutting operations of CNC machine tools. The design precision and control performance of its drive motor directly influence the geometric accuracy, surface quality, and overall machining efficiency of the workpiece, thereby determining the comprehensive performance of advanced CNC systems. This paper begins with a systematic review of the global industrial layout of CNC machine tool and electric spindle manufacturers, highlighting regional clustering patterns and technological development trends across key manufacturing regions. Subsequently, it classifies and elaborates on the differentiated technical requirements for the electric spindle motor in terms of wide-speed-range servo capability, high-efficiency operation, adaptability to high-speed and high-power cutting loads, and precision maintenance under high-speed conditions, based on the process characteristics of different types of CNC machine tools. A comprehensive overview of the current state of research is provided with respect to electric spindle motor design and control technologies. Finally, forward-looking perspectives are presented on future development directions, particularly in the areas of multi-physics coupling co-design and the integration of intelligent control algorithms, aiming to offer a solid theoretical foundation and strategic guidance for the advancement and engineering application of high-performance electric spindles. Full article
(This article belongs to the Special Issue Advances in Permanent Magnet Motor and Motor Control)
17 pages, 2301 KB  
Article
Biomechanical Differences in Bilateral Lower Limb Movement During the Back Kick Technique of Outstanding Taekwondo Athletes
by Qinjian Xu, Hongwei Yan, Junli Yang and Wei Shan
Life 2025, 15(12), 1822; https://doi.org/10.3390/life15121822 - 28 Nov 2025
Viewed by 388
Abstract
Background: The back kick is a key scoring technique in taekwondo, often exhibiting bilateral asymmetry in lower limb function. Understanding these differences is crucial for optimizing training and minimizing injury risk. Methods: This study recruited twelve elite taekwondo athletes to perform back kicks [...] Read more.
Background: The back kick is a key scoring technique in taekwondo, often exhibiting bilateral asymmetry in lower limb function. Understanding these differences is crucial for optimizing training and minimizing injury risk. Methods: This study recruited twelve elite taekwondo athletes to perform back kicks using both their dominant and non-dominant legs under standardized conditions. Kinematic, kinetic, and surface electromyographic data were synchronously collected using a 3D motion capture system, force plate, and sEMG sensors. Paired t-tests and effect sizes assessed bilateral differences. Results: During the leg-lifting phase (P1), attacking leg peak hip power was significantly greater on the non-dominant side (p < 0.01); knee flexion angle was greater on the dominant side (p < 0.01), yet peak knee power was higher on the non-dominant side (p < 0.01). Support leg knee flexion angle was greater on the dominant side (p < 0.01), while knee flexion torque was higher on the non-dominant side (p < 0.05); ankle extension moment (p < 0.05) and plantar flexion power (p < 0.01) favored the dominant side. In the kicking phase (P2), dominant knee power was significantly higher (p < 0.01). The biceps femoris on the non-dominant side showed significantly higher iEMG and RMS values (p < 0.05), and dominant striking speed was faster (p < 0.05). Conclusions: These findings confirm marked functional asymmetry, suggesting training should emphasize non-dominant leg development to improve performance and reduce injury risk. Full article
(This article belongs to the Special Issue Sports Biomechanics, Injury, and Physiotherapy)
Show Figures

Figure 1

Back to TopTop