Next Article in Journal
Interference Effect of Shock Wave on Tip Leakage Vortex in a Transonic Variable Nozzle Turbine
Previous Article in Journal
The Optimization of a Volute Downstream of a Vaned Radial Compressor
 
 
Font Type:
Arial Georgia Verdana
Font Size:
Aa Aa Aa
Line Spacing:
Column Width:
Background:
Article

A Strategy to Account for the Hub Blockage Effect in the Blade-Element/Momentum Theory †

Dipartimento di Ingegneria Industriale, Università degli Studi di Napoli Federico II, Via Claudio 21, 80125 Napoli, Italy
*
Author to whom correspondence should be addressed.
This paper is an extended version of our paper published in the Proceedings of the 16th European Turbomachinery Conference, Hannover, Germany, 24–28 March 2025.
Int. J. Turbomach. Propuls. Power 2025, 10(4), 48; https://doi.org/10.3390/ijtpp10040048
Submission received: 26 September 2025 / Revised: 27 October 2025 / Accepted: 31 October 2025 / Published: 1 December 2025

Abstract

Although the hub blockage effect is generally disregarded for large-sized horizontal axis wind machines, it can significantly affect the performance of small-sized turbines whose ratio between the hub and rotor radii can attain values up to 25–30%. This article proposes a generalisation of the Blade-Element/Momentum Theory (BE/M-T), accounting for the effects of the hub presence on the rotor performance. The new procedure relies on the quantitative evaluation of the radial distribution of the axial velocity induced by the hub all along the blade span. It is assumed that this velocity is scarcely influenced by the magnitude and type of the rotor load, and it is evaluated using a classical CFD approach applied to the bare hub. The validity and accuracy of the modified BE/M-T model are tested by comparing its results with those of a more advanced CFD-actuator-disk (CFD-AD) approach, which naturally and duly takes into account the hub blockage, the rotor presence, an and the wake divergence and rotation, and the results are validated against experimental data. The comparison shows that the correction for the hub blockage effects in the BE/M-T model significantly reduces the differences with the results of the reference method (CFD-AD) both in terms of global (power coefficient) and local (thrust and torque per unit length) quantities.

1. Introduction

Today, the most used engineering method for the performance analysis of wind turbines is still the Blade-Element/Momentum Theory (BE/M-T), which stems from the coupling of the Momentum Theory (MT) and the Blade-Element Theory (BET). It is well known that this approach, relying on the actuator disk concept, is affected by several inherent approximations which often require the introduction of correction factors. For example, the MT disregards the pressure contribution on the lateral surface of the infinitesimal streamtubes ingested by the disk, thus neglecting the two-dimensional effects associated with the wake divergence [1,2,3,4,5]. Moreover, the wake rotation is simply taken into account in a linearised fashion, a fact that introduces significant errors, especially for low values of the tip speed ratio [6,7]. A consolidated and reliable correction for these two inexactnesses, which can lead to appreciable errors for high values of the rotor load, does not exist. The nature of the actuator disk model also requires the introduction of tip and hub correction factors to take into account the effects of a finite number of blades on the rotor performance [1,8,9]. There exist also several empirical relations to modify the momentum theory equation outside the classical windmill wake-state [10,11,12]. Finally, some corrections for dynamic stall [13,14], tower [15], and Himmelskamp [16] effects are also generally introduced in the BE/M-T.
Despite this great variety of engineering models typically used to improve the accuracy of the BE/M-T, a correction for the hub blockage effect does not exist yet [17]. This phenomenon is typically disregarded in medium- or large-sized wind turbines which are generally characterised by low or moderated values of the ratio between the hub and rotor radius R ^ h = R h / R . Nevertheless, in small-sized devices, the value of this quantity can significantly rise up to 25–30%. This is evident from Figure 1 (see also [18]), which, for several commercial wind turbines, shows a clear increasing trend in R ^ h when the rotor diameter decreases.
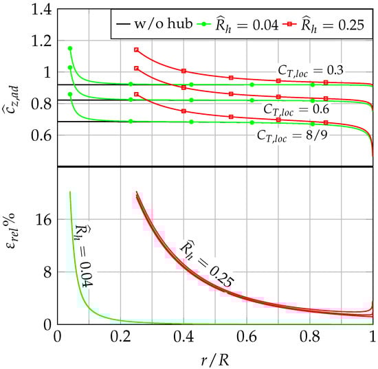
Bontempo and Manna [18] evaluated the influence of the hub presence using a ring-vortex free-wake uniformly loaded actuator disk model for different values of R ^ h and of the local thrust coefficient C T , l o c = Δ p a d / ( 1 2 ρ c 2 ) (where Δ p a d is the static pressure jump across the disk and c is the free stream velocity). Figure 2 shows the dimensionless axial velocity at the disk with and without the hub ( c ^ z , a d = c z , a d / c where the · ^ is used to denote a dimensionless quantity), and the relative percentage difference ε r e l = 100 × | c ^ z , a d w / o hub c ^ z , a d | / c ^ z , a d .
The analysis was carried out for C T , l o c = 0.3 , 0.6 , and 8 / 9 and for two different values of R ^ h , i.e., 0.25 and 0.04, which are representative of a small- and a large-sized wind rotor, respectively. Inspecting Figure 2, it clearly shows that the hub blockage rapidly drops to zero in the R ^ h = 0.04 case, and it is generally small. Conversely, for R ^ h = 0.25 , the hub presence leads to a significant discrepancy in comparison with the no-hub case all along the blade span. Thus, for small-sized rotors, the hub presence may significantly affect the prediction accuracy of both local (flow angles and blade forces) and global (power coefficient) quantities. Therefore, in this case, the hub blockage effects should always be properly taken into account.
The aim of this paper is precisely the development of a correction factor for the hub blockage effects, which can be easily included in the existing classical BE/M-T algorithm without modifying its popular and successful formulation. The new procedure relies on the quantitative evaluation of the radial distribution of the axial velocity induced by the bare hub. In other words, it is assumed that this velocity is scarcely influenced by the value of the rotor load, an hypothesis that can be easily accepted by perusing Figure 2. The validity and accuracy of the modified BE/M-T model are tested by comparing its results with those of a more advanced CFD-actuator-disk (CFD-AD) approach, which naturally and duly takes into account the hub blockage, the rotor presence, and the wake divergence and rotation.
In the next two sections, the main theoretical and practical details of the new approach are briefly described. Then, the reference method (CFD-AD) and the BE/M-T algorithm (in its classical version without the hub blockage effects correction) are validated against the experimental data of the MEXICO wind turbine [19]. Finally, in the last section, the results of the modified BE/M-T model are discussed and compared with those of the CFD-AD.

2. The Hub Blockage Factor

In the MT, the flow is supposed to be stationary, incompressible, inviscid, and axisymmetric. Consequently, we introduce a cylindrical coordinate system ( z , r , θ ) , where the axial, radial, and tangential velocities are named c z , c r , and c θ , respectively (see Figure 3).
At upstream infinity, the velocity c and the static pressure p are uniform, while a subscript a d is used for quantities at the actuator disk plane. In particular, the axial c z , a d and radial c r , a d velocities are uniform passing through the disk, whereas to simulate the presence of the turbine, jumps in the static pressure Δ p a d and the tangential velocity exist across the disk. Furthermore, it is also convenient to introduce the axial and tangential induction factors defined as a = 1 c z , a d / c and a = c θ , a d + / ( 2 Ω r ) , where Ω is the rotor angular velocity and c θ , a d + is the flow tangential velocity just behind the disk. In the wake, a subscript w is used for those quantities evaluated at downstream infinity, where the flow is supposed to be fully developed in the axial direction and the radial component of the velocity c r , w is zero.
By further disregarding the wake divergence effect and linearising the wake rotation terms, it can be proven [1] that the disk velocity is the arithmetic mean between the velocity values at up- and downstream infinity, i.e., in dimensionless form c ^ z , a d = ( 1 + c ^ z , w ) / 2 . Since this equation is known as the Froude law, the plane where the axial velocity equals the mean between c and c z , w is named the Froude plane. Therefore, the Froude and the disk planes coincide in the hubless case.
If the hub is taken into account, its blockage induces an increase in the axial velocity at the disk (see Figure 4) where the Froude law is no longer valid.
Consequently, the Froude plane is shifted downstream of the disk by the hub blockage, and, by definition, the axial velocity and induction factor there read
c ^ z , F r = 1 + c ^ z , w 2 a F r = 1 c ^ z , F r ,
where the subscript F r is used to denote flow quantities evaluated at the Froude plane. Coupling the above two equations, it is easy to prove that
c ^ z , w = 1 2 a F r .
Having said that, the hub blockage factor B h is defined as
B h = c ^ z , a d c ^ z , F r ,
that is, the ratio between the actual axial disk velocity ( c ^ z , a d ) and its value when the hub is not considered ( c ^ z , F r ). It is now assumed that c ^ z , a d is the superposition of the velocities c ^ z , F r associated with the sole disk (in the hubless case) and c ^ z , a d h induced by the bare hub (the hub without the disk) at the disk plane, that is,
c ^ z , a d = c ^ z , F r + c ^ z , a d h B h = c ^ z , a d c ^ z , F r = c ^ z , F r + c ^ z , a d h c ^ z , F r = 1 + c ^ z , a d h c ^ z , F r = 1 + c ^ z , a d h 1 a F r .
With the above hypothesis, the mutual interaction between the hub- and disk-induced flow fields is neglected. In other words, the model assumes that at the disk plane, the velocity induced by the sole hub is not influenced by the disk presence and that the one induced by the sole disk is slightly affected by the hub. A quantification of the validity of this assumption can be inferred from Figure 2 (bottom), which shows that the differences in the disk axial velocity between the cases with and without the hub are marginally influenced by the value of the rotor load, that is, by the disk presence.
The radial distribution of the velocity induced by the bare hub c ^ z , a d h depends upon the hub geometry and the operating conditions. It has to be externally evaluated and, successively, provided as input to the modified BE/M-T approach. A simple CFD simulation of the bare hub, a faster axisymmetric panel code (see, for example, Lewis [20] and Bontempo and Manna [18,21]), or an experimental campaign can be used to evaluate c ^ z , a d h . Note that this is not the only externally provided data in the BE/M-T. Indeed, the experimentally or numerically evaluated characteristic curves of the blade profiles are also needed.

3. Formulation of the Blade-Element/Momentum Theory with the Hub Blockage Factor

In the BET, the blade is divided into N elements whose radial length is Δ r , and then a simple force decomposition strategy (see Figure 5) leads to the following equations for the thrust Δ T and the torque Δ Q exerted on the elements:
Δ T = Z 1 2 ρ w 2 ( C l cos ϕ + C d sin ϕ ) F 1 l Δ r = Z l 2 π r ρ w 2 C z F 1 π r Δ r = ρ c 2 σ c ^ z , a d 2 sin 2 ϕ C z F 1 π r Δ r ,
Δ Q = Z 1 2 ρ w 2 ( C l sin ϕ C d cos ϕ ) F 1 l r Δ r = Z l 2 π r ρ w 2 C θ F 1 π r 2 Δ r = ρ c 2 σ c ^ z , a d 2 sin 2 ϕ C θ F 1 π r 2 Δ r .
In the above equation, Z is the blade count, ρ is the fluid density, w is magnitude of the vectorial mean between the relative velocities at the inlet and outlet of the disk, C l and C d are the lift and drag sectional lift coefficients, l is the chord of the blade element, σ = Z l / ( 2 π r ) is the local solidity, and F 1 is the tip correction proposed by Shen et al. [8]. Moreover, C z = C l cos ϕ + C d sin ϕ and C θ = C l sin ϕ C d cos ϕ , while the flow angle ϕ can be evaluated as (see Figure 5)
tan ϕ = c z , a d Ω r ( 1 + a ) = c ^ z , a d λ r ( 1 + a ) .
In the above equation, λ r = Ω r / c is the local speed ratio.
With the help of the definitions of the axial induction factor (1) and of the hub blockage factor (4), Equations (5)–(7) become
Δ T = ρ c 2 σ B h 2 ( 1 a F r ) 2 sin 2 ϕ C z F 1 π r Δ r ,
Δ Q = ρ c 2 σ B h 2 ( 1 a F r ) 2 sin 2 ϕ C θ F 1 π r 2 Δ r ,
tan ϕ = B h ( 1 a F r ) λ r ( 1 + a ) ,
which are the new versions of the BET equations corrected for the hub blockage.
Coming now to the MT equations, the elemental thrust is also obtained by applying the Bernoulli principle from upstream infinity to the disk, as well as from the disk to downstream infinity. Summing up the two equations returns
Δ p = 1 2 ρ ( c z , w 2 c 2 ) ,
where, as is customary in the generalised MT, the wake rotation terms are linearised. Then, the elemental thrust Δ T can be cast in the following classical form:
Δ T = ρ c 2 ( 1 c ^ z , w 2 ) F π r Δ r .
In the above equation, the factor F is given by the product of the Prandtl’s expressions for the hub and tip correction factors associated with the effects of the finite number of blades [22]. Then, substituting Equation (2), the thrust Δ T becomes
Δ T = ρ c 2 4 a F r ( 1 a F r ) F π r Δ r .
Finally, applying the angular momentum equation, the torque Δ Q can be cast in the following form:
Δ Q = ρ Ω 4 a c z , a d F π r 3 Δ r = ρ Ω c 4 a B h ( 1 a F r ) F π r 3 Δ r .
The expressions for the axial a F r (resp., tangential a ) induction factor originate from coupling Equations (13) and (8) (resp., (14) and (9)). Then, with some straightforward algebra, the following equations are obtained:
a F r = 1 1 + 4 F sin 2 ϕ σ B h 2 C z F 1
a = 1 4 F sin ϕ cos ϕ σ C θ F 1 1 .
It is noteworthy that these equations are formally identical to those of the classical BE/M-T [6] when a F r is used in lieu of a and B h 2 is introduced. Thus, it is not surprising that the iterative solution algorithm of the modified BE/M-T model is almost the same as its classical counterpart. Specifically, the operating conditions, the blade geometry (radial distribution of the chord and pitch angle), the characteristic curves of the 2D blade sections, and the radial distribution of the externally computed hub-induced-velocity c ^ z , a d h are given as input data. Then, for each blade element, an initial value for a F r and a is guessed, and B h is evaluated via Equation (4). Successively, Equation (10) returns the flow angle ϕ , and the correction factors F and F 1 are readily evaluated, as well as the angle of attack α (see Figure 5). At this point, C l and C d are obtained from the characteristic curves of the 2D blade sections, and the coefficients C z and C θ are computed. Finally, the a F r and a values are updated through Equations (15) and (16), and the loop is repeated until convergence.
Due to the insurgence of the turbulent-wake-flow regime, Equation (13) has to be replaced by an empirical correction formula when the axial induction factor exceeds a prescribed critical value (e.g., 0.3–0.4). As already discussed in the Introduction, several empirical corrections exist, and all of these can be modified to include the hub blockage effect. However, for the sake of brevity, only the [10] formula is described here. In this approach, a quadratic relation between the thrust coefficient and the axial induction factor is used when this latter quantity exceeds the critical value of 0.4. The parameters of the quadratic function are evaluated also, requiring a smooth fitting with the thrust equation of the MT. Taking into account the hub presence, the same procedure (based on a smooth fitting at a F r = 0.4 with the modified Equation (13)) leads to the following form of the revised Buhl [10] correction:
C T , l o c = Δ T 1 2 ρ c 2 2 π r Δ r = 50 9 4 F a F r 2 + 4 F 40 9 a F r + 8 9 .
Coupling Equations (8) and (17), the new a F r expression becomes
a F r = 9 K + 18 F 20 3 6 ( 6 F 2 8 F + 3 K ) 9 K + 36 F 50 with K = σ B h 2 C z F 1 sin 2 ϕ ,
to be used in lieu of Equation (15) when a F r > 0.4 .

4. Validation of the Modified BE/M-T and of the CFD-AD Method

A home-made BE/M-T code, developed in Fortran 2003, is used as a basis to introduce the hub blockage factor B h . The software can deal with different updating strategies for the induction factors [8], as well as with several empirical corrections for highly loaded cases. However, as previously discussed, in this paper only the classical approach by Glauert [1] along with the Buhl [10] formula are used.
To validate the numerical procedure, the experimental data of the three-bladed 4.5 m diameter MEXICO wind turbine are chosen [19]. This is because the full geometry of the hub is completely available for this turbine. The blade geometry is made up of a cylindrical root and three different airfoil types, viz. DU91-W2-250, RIS∅ A1-21, and NACA 64-418, along with three transition zones between them. The characteristic curves of the three blade sections provided by Schepers et al. [19] are used, while a weighted mean of these curves is used in the transition regions. The c ^ z , a d h induced by the bare hub is evaluated (see Figure 6) via an axisymmetric simulation carried out employing the pressure-based solver included in the commercial CFD package ANSYS Fluent R24.1. In particular, the pressure–velocity coupling is performed through the well-known SIMPLE segregated algorithm [23], and the QUICK [24] scheme is employed for the spatial discretisation. The turbulence closure is obtained via the k ϵ RNG model proposed by Orszag et al. [25], while an enhanced wall treatment for the ϵ -equation is adopted as the near-wall modelling method [26]. A grid convergence study and more details on the computational settings are available in [21].
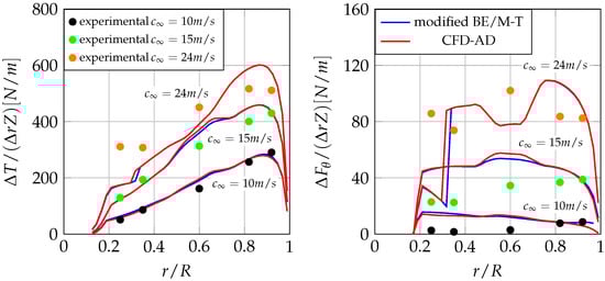
The MEXICO turbine is operated at a fixed value for the revolution speed (424.5 rpm) and pitch angle ( 2.3 ), while the data are available at c = 10 , 15 , and 24 m/s. Figure 7 shows the radial distributions of the axial and tangential blade-force density of the modified BE/M-T code along with the experimental data.
Overall, the agreement is satisfactory, also in view of the fact that a similar accuracy level is obtained by the blind comparisons carried out with more advanced models (see Figures 8.6–8.7 in Schepers et al. [19]). At high values of the wind speed, flow separation takes place all along the blade suction-side [27], significant three-dimensional effects occur, and the predictivity of the BE/M-T code is lost.
Due to the lack of available experimental data (including the blade and hub geometry) for small-sized wind turbines with a significant value of R ^ h , the validity of the proposed BE/M-T approach is tested (see the next section) against a reference method, namely, the so-called CFD-AD, which is adopted here because it fully and naturally takes into account the hub presence. In particular, the CFD-AD solves the steady, axisymmetric, and incompressible Euler equations by finite volume or difference schemes, whereas it models the turbine effects by a set of body forces distributed over the disk. To this aim, the axial and tangential source terms are activated only in the disk region, and, as in the BE/M-T, they are iteratively evaluated using a BET module. The latter is embedded in ANSYS Fluent via home-made Used Defined Functions (see [2] for a complete description and [28] for a thorough grid convergence analysis). For the sake of clarity, Figure 8 shows the computational domain, the boundary conditions, and a close-up view of the mesh in the hub–nose proximity.
The numerical set-up previously described for the evaluation of c ^ z , a d h is used in the CFD-AD, too. Figure 7 also shows the radial distributions of the axial and tangential blade-force densities obtained through the CFD-AD. Overall, as for the BE/M-T, the agreement can be considered satisfactory, especially for low to moderate values of the wind speed.

5. Analysis of the Results for a Small Wind Turbine with a High Hub Blockage

In the previous section, the results of the modified BE/M-T were analysed and compared with the experimental data, as well as with those of the CFD-AD. Although a good agreement was found, this study cannot be considered conclusive. In fact, due to the low R ^ h value (0.12) of the MEXICO rotor, the hub did not induce a significant blockage effect (see also Figure 6). Therefore, in this section, a more meaningful analysis is carried out using a three-bladed 1 m diameter small wind turbine with a high R ^ h value, which, according to Figure 1, is set to 0.25. To this aim, a simple hub geometry parametrisation is used. The fore part of the hub is half of an ellipsoid whose dimensionless axial length is 0.3. The central part of the hub is a right-circular cylinder with an axial length equal to 0.2, while the rear part of the hub has a parabolic shape with the vertex located at the end of the cylinder (see Figure 9).
The hub has a unit total dimensionless length, while the disk is located between the ogive and the cylindrical part. The blade chord and twist distributions are evaluated via the classical Glauert optimum-rotor model [6], adopting a design value for the tip speed ratio equal to 7. The low Reynolds SG6043 [29] airfoil is used all along the blade, while the root has a cylindrical shape with a transition zone. Finally, it should be stressed that the structural design of the turbine blade is out of the scope of this paper, and for this reason, it is not considered herein.
The analysis compares the results of the CFD-AD method with those of the BE/M-T algorithm with and without the correction for the hub blockage. Obviously, the investigation is carried out using the same characteristic curves of the blade sections, as well as the same form of the tip and hub correction factors for the finite number of blades. The evaluation of the hub-induced velocity c ^ z , a d h (reported in Figure 6) is carried out using the numerical procedure described in the previous section. Figure 10 shows the power coefficient C P = P / ( 1 2 ρ c 3 π R 2 ) (where P is the power) as a function of the tip speed ratio λ .
The differences between the results of the CFD-AD and the BE/M-T without the correction for the hub blockage are significant, thus proving that, contrarily to the MEXICO rotor, this is a challenging case where the hub presence should be taken into account (see also Figure 6 for a comparison of the c ^ z , a d h velocity induced in the two cases). The same conclusion can be inferred by perusing Figure 11, which shows the radial distribution of the thrust and torque per unit length.
Figure 10 and Figure 11 also show that, introducing the proposed correction for the hub blockage, the differences between the CFD-AD and the BE/M-T considerably reduce for all λ values, especially in the hub proximity. This proves the reliability and accuracy of the present correction strategy, even for a very challenging case characterised by a considerably large value of the ratio between the hub and rotor radius ( R ^ h = 0.25 ).
Figure 11 also points out that the discrepancy between the CFD-AD and the BE/M-T results, especially in terms of Δ T , is significant for low λ values and becomes negligible when λ is high. This can be explained by analysing the shape of the velocity triangles. For high λ values, the inlet velocity triangle has a very high aspect ratio, namely, the height of the triangle ( c z , a d ) is very small in comparison with its basis ( Ω r ). Therefore, the c z , a d increase, associated with the hub presence, only marginally changes the w direction, the angle of attack, and, consequently, the blade force. Contrariwise, for low λ values, the aspect ratio of the inlet velocity triangle reduces so that the hub blockage induces a significant variation in the angle of attack and blade forces. As shown in Figure 11, the proposed model significantly mitigates the differences with the CFD-AD results also for low λ values, where the hub blockage induces remarkable changes in the blade forces.
Finally, it is important to note that the discrepancies between the CFD-AD and the BE/M-T approaches are not exclusively associated with the hub presence, but other differences, which cannot be removed, exist. In fact, unlike the CFD-AD, the MT disregards the wake divergence effects and it linearises the swirl velocity terms. Moreover, the application of the Prandtl correction factors also differs between the two approaches.

6. Conclusions

This paper has presented a new correction factor to be included in the BE/M-T capable of accounting for the effect of the hub presence. This correction is of particular importance for small-sized wind turbines whose ratios between the hub and rotor radii values up to 25–30%.
The hub presence induces an increase in the axial velocity at the disk, and the Froude plane, defined as the axial station where the velocity is the arithmetic mean between the axial velocities at up- and downstream infinity, is shifted downstream of the disk. For this reason, a hub blockage correction factor has been defined as the ratio between the actual axial disk velocity ( c ^ z , a d ) and its value at the Froude plane ( c ^ z , F r ). Then, neglecting the mutual interaction between the flow fields induced by the hub and the disk, the BE/M-T has been reformulated in such a way that the new equations are formally identical to those of the classical BE/M-T when a F r is used in lieu of a and B h 2 is introduced. By doing so, the proposed approach gives the indisputable advantage of a straightforward and easy implementation of an effective correction factor into already existing BE/M-T codes.
The validity and accuracy of the modified BE/M-T model are tested by comparing its results with those of a more advanced CFD-AD approach which naturally and duly takes into account the hub blockage, the rotor presence, and the wake divergence and rotation.
The comparison has been carried out for two cases. The first one is the MEXICO rotor, characterised by a moderate value of the ratio between the hub and rotor radii ( R ^ h ). For this case, the availability of experimental data also allowed a validation of the method. The second case is a more meaningful configuration, that is, a small-sized wind turbine with R ^ h = 0.25 . In both cases, the results obtained via the proposed correction strategy for the hub blockage have shown good accuracy. Specifically, a significant reduction in the discrepancies occurring against the results of the reference method (CFD-AD) in terms of both global (power coefficient) and local (thrust and torque per unit length) quantities has been reported.

Author Contributions

Conceptualisation, R.B.; methodology, R.B.; software, R.B.; validation, R.B.; formal analysis, R.B.; investigation, R.B.; data curation, R.B.; writing—original draft preparation, R.B. and M.M.; writing—review and editing, R.B. and M.M.; visualisation, R.B. All authors have read and agreed to the published version of the manuscript.

Funding

This research received no external funding.

Data Availability Statement

The original contributions presented in this study are included in the article. Further inquiries can be directed to the corresponding author.

Acknowledgments

The authors wish to give thanks to Schepers J.G. who provided the experimental data of the MexNext project carried out within the framework of IEA Annex 29.

Conflicts of Interest

The authors declare no conflicts of interest.

Nomenclature

The following abbreviations are used in this manuscript:
aaxial induction factor
a tangential induction factor
B h = c ^ z , a d c ^ z , F r hub blockage factor
c free-stream velocity
C l , C d sectional lift and drag coefficients
C P power coefficient
C θ = C l sin ϕ C d cos ϕ
c θ , a d + tangential velocity at the downstream face of the disk
c ^ z , a d h axial velocity induced by the sole hub
c z , c r , c θ velocity components
C z = C l cos ϕ + C d sin ϕ
C T , l o c = Δ p a d / ( 1 2 ρ c 2 ) local thrust coefficient
FPrandtl tip factor
F 1 Shen et al. [8] tip factor
F θ tangential force
lchord
L , D        lift and drag force per unit length
pstatic pressure
p free-stream static pressure
Qtorque
Rrotor radius
R h hub radius
Tthrust
w magnitude of the vectorial mean between the relative
velocities at the inlet and outlet of the disk
z , r , θ cylindrical coordinates
Zblade count
Greek
λ tip speed ratio
λ r local speed ratio
ρ fluid density
σ local solidity
Ω rotor angular velocity
Superscripts
^ dimensionless quantity
Subscripts
a d actuator disk
F r Froude plane
hhub
wwake at downstream infinity

References

  1. Glauert, H. Airplane propellers. In Aerodynamic Theory; Durand, W.F., Ed.; Springer: Berlin/Heidelberg, Germany, 1935; Volume IV, pp. 169–360. [Google Scholar]
  2. Bontempo, R.; Manna, M. Effects of the Approximations Embodied in the Momentum Theory as Applied to the NREL PHASE VI Wind Turbine. Int. J. Turbomach. Propuls. Power 2017, 2, 9. [Google Scholar] [CrossRef]
  3. Madsen, H.A.; Bak, C.; Døssing, M.; Mikkelsen, R.; Øye, S. Validation and modification of the blade element momentum theory based on comparisons with actuator disc simulations. Wind Energy 2010, 13, 373–389. [Google Scholar] [CrossRef]
  4. Sørensen, J.N.; Mikkelsen, R. On the validity of the blade element momentum theory. In Proceedings of the European Wind Energy Conference and Exhibition, Copenhagen, Denmark, 2–6 July 2001; pp. 362–366. [Google Scholar]
  5. Bontempo, R.; Manna, M. Verification of the Axial Momentum Theory for propellers with a uniform load distribution. Int. J. Turbomach. Propuls. Power 2019, 4, 8. [Google Scholar] [CrossRef]
  6. Sørensen, J.N. General Momentum Theory for Horizontal Axis Wind Turbines; Springer: Berlin/Heidelberg, Germany, 2015. [Google Scholar] [CrossRef]
  7. Bontempo, R.; Manna, M. Highly accurate error estimate of the momentum theory as applied to wind turbines. Wind Energy 2017, 20, 1405–1419. [Google Scholar] [CrossRef]
  8. Shen, W.Z.; Mikkelsen, R.; Sørensen, J.N. Tip Loss Correction for Wind Turbine Computations. Wind Energy 2005, 5, 457–475. [Google Scholar] [CrossRef]
  9. Shen, W.Z.; Sørensen, J.N.; Mikkelsen, R. Tip loss correction for actuator/Navier–Stokes computations. J. Sol. Energy Eng. 2005, 127, 209–213. [Google Scholar] [CrossRef]
  10. Buhl, M.L. A New Empirical Relationship Between Thrust Coefficient and Induction Factor for the Turbulent Windmill State; Technical Report NREL/TP-500-36834; National Renewable Energy Laboratory: Golden, CO, USA, 2005. [Google Scholar]
  11. Spera, D.A. Wind Turbine Technology; ASME Press: New York, NY, USA, 2009. [Google Scholar]
  12. Hansen, M.O.L. Aerodynamics of Wind Turbines, 2nd ed.; Earthscan: London, UK, 2008. [Google Scholar]
  13. Hansen, A.; Butterfield, C. Aerodynamics of horizontal-axis wind turbines. Annu. Rev. Fluid Mech. 1993, 25, 115–149. [Google Scholar] [CrossRef]
  14. Leishman, J.G.; Beddoes, T. A Semi-Empirical model for dynamic stall. J. Am. Helicopter Soc. 1989, 34, 3–17. [Google Scholar] [CrossRef]
  15. Powles, S. The effects of tower shadow on the dynamics of a horizontal-axis wind turbine. Wind Eng. 1983, 7, 26–42. [Google Scholar]
  16. Snel, H.; Houwink, R.; Piers, W. Sectional prediction of 3 D effects for separated flow on rotating blades. In Proceedings of the 18th European Rotorcraft Forum, Avignon, France, 15–18 September 1992. [Google Scholar]
  17. Bontempo, R.; Manna, M. A Strategy to Account for the Hub Blockage Effect in the Blade-Element/Momentum Theory. In Proceedings of the 16th European Turbomachinery Conference, Hannover, Germany, 24–28 March 2025. [Google Scholar]
  18. Bontempo, R.; Manna, M. A ring-vortex actuator disk method for wind turbines including hub effects. Energy Convers. Manag. 2019, 195, 672–681. [Google Scholar] [CrossRef]
  19. Schepers, J.G.; Boorsma, K.; Cho, T.; Gomez-Iradi, S.; Schaffarczyk, P.; Jeromin, A.; Shen, W.Z.; Lutz, T.; Meister, K.; Stoevesandt, B.; et al. Final Report of IEA Task 29, Mexnext (Phase 1): Analysis of Mexico Wind Tunnel Measurements; Technical Report ECN-E-12-004, ECN; Energy Research Centre of The Netherlands: Sint Maartensvlotbrug, The Netherlands, 2011. [Google Scholar]
  20. Lewis, R.I. Vortex Element Methods for Fluid Dynamic Analysis of Engineering Systems; Cambridge University Press: Cambridge, UK, 1991. [Google Scholar]
  21. Bontempo, R.; Manna, M. A nonlinear and semi-analytical actuator disk method accounting for general hub shapes: Part I—open rotor. J. Fluid Mech. 2016, 792, 910–935. [Google Scholar] [CrossRef]
  22. Moriarty, P.J.; Hansen, A.C. AeroDyn Theory Manual; Technical Report NREL/EL-500-36881; National Renewable Energy Lab.: Golden, CO, USA, 2005. [Google Scholar]
  23. Patankar, S.V. Numerical Heat Transfer and Fluid Flow; Hemisphere Publishing Corporation: Washington, DC, USA, 1980. [Google Scholar]
  24. Leonard, B.P.; Mokhtari, S. ULTRA-SHARP Nonoscillatory Convection Schemes for High-Speed Steady Multidimensional Flow; Technical Report TM-102568; NASA: Washington, DC, USA, 1990.
  25. Orszag, S.A.; Yakhot, V.; Flannery, W.S.; Boysan, F.; Choudhury, D.; Maruzewski, J.; Patel, B. Renormalisation group modelling and turbulence simulations. In Proceedings of the International Conference on Near-Wall Turbulent Flows, Tempe, AZ, USA, 15–17 March 1993. [Google Scholar]
  26. ANSYS. Ansys Fluent Theory Guide; ANSYS: Canonsburg, PA, USA, 2022. [Google Scholar]
  27. Plaza, B.; Bardera, R.; Visiedo, S. Comparison of BEM and CFD results for MEXICO rotor aerodynamics. J. Wind. Eng. Ind. Aerodyn. 2015, 145, 115–122. [Google Scholar] [CrossRef]
  28. Bontempo, R.; Manna, M. Actuator disc methods for open propellers: Assessments of numerical methods. Eng. Appl. Comput. Fluid Mech. 2017, 11, 42–53. [Google Scholar] [CrossRef]
  29. Lyon, C.A.; Broeren, A.P.; Giguére, P.; Gopalarathnam, A.; Selig, M.S. Summary of Low Speed Airfoil Data; SoarTech Publications: Ann Arbor, MN, USA, 1997; Volume 3. [Google Scholar]
Figure 1. Trend of the dimensionless hub radius with the turbine diameter for several commercial wind turbines.
Figure 1. Trend of the dimensionless hub radius with the turbine diameter for several commercial wind turbines.
Ijtpp 10 00048 g001
Figure 2. Axial velocities at the disk (top) and relative percentage difference (bottom) with and without the hub.
Figure 2. Axial velocities at the disk (top) and relative percentage difference (bottom) with and without the hub.
Ijtpp 10 00048 g002
Figure 3. Sketch of the actuator disk model with hub.
Figure 3. Sketch of the actuator disk model with hub.
Ijtpp 10 00048 g003
Figure 4. Sketch of the c ^ z axial distribution with and without the hub.
Figure 4. Sketch of the c ^ z axial distribution with and without the hub.
Ijtpp 10 00048 g004
Figure 5. Blade cross section: velocity components, angles, and forces (drawing not to scale).
Figure 5. Blade cross section: velocity components, angles, and forces (drawing not to scale).
Ijtpp 10 00048 g005
Figure 6. Axial velocity c ^ z , a d h induced by the bare hub along the disk plane (note that this is the velocity induced by the sole hub without the contribution of the free stream).
Figure 6. Axial velocity c ^ z , a d h induced by the bare hub along the disk plane (note that this is the velocity induced by the sole hub without the contribution of the free stream).
Ijtpp 10 00048 g006
Figure 7. MEXICO rotor: validation of the modified BE/M-T method and of the CFD-AD approach in terms of the axial Δ T (left) and tangential Δ F θ (right) single-blade force per unit length.
Figure 7. MEXICO rotor: validation of the modified BE/M-T method and of the CFD-AD approach in terms of the axial Δ T (left) and tangential Δ F θ (right) single-blade force per unit length.
Ijtpp 10 00048 g007
Figure 8. Computational domain. (Left): full size ( 50 × 50 R). (Right): close up view of the hub mesh (actuator disk in red).
Figure 8. Computational domain. (Left): full size ( 50 × 50 R). (Right): close up view of the hub mesh (actuator disk in red).
Ijtpp 10 00048 g008
Figure 9. Geometrical configuration of the hub.
Figure 9. Geometrical configuration of the hub.
Ijtpp 10 00048 g009
Figure 10. Comparison of the BE/M-T method (with and without the correction for the hub blockage) and of the CFD-AD approach in terms of power coefficient C P ( R ^ h = 0.25 ).
Figure 10. Comparison of the BE/M-T method (with and without the correction for the hub blockage) and of the CFD-AD approach in terms of power coefficient C P ( R ^ h = 0.25 ).
Ijtpp 10 00048 g010
Figure 11. Comparison of the BE/M-T method (with and without the correction for the hub blockage) and of the CFD-AD approach in terms of thrust and torque per unit length ( R ^ h = 0.25 ).
Figure 11. Comparison of the BE/M-T method (with and without the correction for the hub blockage) and of the CFD-AD approach in terms of thrust and torque per unit length ( R ^ h = 0.25 ).
Ijtpp 10 00048 g011
Disclaimer/Publisher’s Note: The statements, opinions and data contained in all publications are solely those of the individual author(s) and contributor(s) and not of MDPI and/or the editor(s). MDPI and/or the editor(s) disclaim responsibility for any injury to people or property resulting from any ideas, methods, instructions or products referred to in the content.

Share and Cite

MDPI and ACS Style

Bontempo, R.; Manna, M. A Strategy to Account for the Hub Blockage Effect in the Blade-Element/Momentum Theory. Int. J. Turbomach. Propuls. Power 2025, 10, 48. https://doi.org/10.3390/ijtpp10040048

AMA Style

Bontempo R, Manna M. A Strategy to Account for the Hub Blockage Effect in the Blade-Element/Momentum Theory. International Journal of Turbomachinery, Propulsion and Power. 2025; 10(4):48. https://doi.org/10.3390/ijtpp10040048

Chicago/Turabian Style

Bontempo, Rodolfo, and Marcello Manna. 2025. "A Strategy to Account for the Hub Blockage Effect in the Blade-Element/Momentum Theory" International Journal of Turbomachinery, Propulsion and Power 10, no. 4: 48. https://doi.org/10.3390/ijtpp10040048

APA Style

Bontempo, R., & Manna, M. (2025). A Strategy to Account for the Hub Blockage Effect in the Blade-Element/Momentum Theory. International Journal of Turbomachinery, Propulsion and Power, 10(4), 48. https://doi.org/10.3390/ijtpp10040048

Article Metrics

Back to TopTop