Sign in to use this feature.

Years

Between: -

Subjects

remove_circle_outline
remove_circle_outline
remove_circle_outline
remove_circle_outline
remove_circle_outline
remove_circle_outline

Journals

Article Types

Countries / Regions

Search Results (15)

Search Parameters:
Keywords = time-varying filtering-based empirical mode decomposition (TVF-EMD)

Order results
Result details
Results per page
Select all
Export citation of selected articles as:
20 pages, 3209 KB  
Article
Hybrid Time–Frequency Analysis for Micromobility-Based Indirect Bridge Health Monitoring
by Premjeet Singh, Harsha Agarwal and Ayan Sadhu
Sensors 2025, 25(24), 7482; https://doi.org/10.3390/s25247482 - 9 Dec 2025
Viewed by 292
Abstract
Bridges serve as vital connectors in the transportation network and infrastructure. Given their significance, it is crucial to continuously monitor bridge conditions to ensure the efficient operation of transportation systems. With advancements in sensing technologies, transportation infrastructure assessment has evolved through the integration [...] Read more.
Bridges serve as vital connectors in the transportation network and infrastructure. Given their significance, it is crucial to continuously monitor bridge conditions to ensure the efficient operation of transportation systems. With advancements in sensing technologies, transportation infrastructure assessment has evolved through the integration of structural health monitoring (SHM) methodologies. Traditionally, bridge monitoring has relied on direct sensor instrumentation; however, this method encounters practical obstacles, including traffic disruptions and limited sensor availability. In contrast, indirect bridge health monitoring (iBHM) utilizes data from moving traffic on the bridge itself. This innovative approach eliminates the need for embedded instrumentation, as sensors on vehicles traverse the bridge, capturing the dynamic characteristics of the bridge. In this paper, system identification methods are explored to analyze the acceleration data gathered using a bicycle-mounted sensor traversing the bridge. To explore the feasibility of this micromobility-based approach, bridge responses are measured under varying traversing conditions combined with dynamic rider–bicycle–bridge interaction for comprehensive evaluation. The proposed method involves a hybrid approach combining Wavelet Packet Transform (WPT) with Synchro-extracting Transform (SET), which are employed to analyze the time–frequency characteristics of the acceleration signals of bike-based iBHM. The results indicate that the combination of WPT-SET demonstrates superior robustness and accuracy in isolating dominant nonstationary frequencies. The performance of the proposed method is compared with another prominent signal processing algorithm known as Time-Varying Filtering Empirical Mode Decomposition (TVF-EMD). Ultimately, this study underscores the potential of bicycles as low-cost, mobile sensing platforms for iBHM that are otherwise inaccessible to motorized vehicles. Full article
Show Figures

Figure 1

24 pages, 10428 KB  
Article
Hybrid Energy Storage Capacity Optimization for Power Fluctuation Mitigation in Offshore Wind–Photovoltaic Hybrid Plants Using TVF-EMD
by Chenghuan Tian, Qinghu Zhang, Dan Mei, Xudong Zhang, Zhengping Li and Erqiang Chen
Processes 2025, 13(10), 3282; https://doi.org/10.3390/pr13103282 - 14 Oct 2025
Viewed by 591
Abstract
The large-scale integration of coordinated offshore wind and offshore photovoltaic (PV) generation introduces pronounced power fluctuations due to the intrinsic randomness and intermittency of renewable energy sources (RESs). These fluctuations pose significant challenges to the secure, stable, and economical operation of modern power [...] Read more.
The large-scale integration of coordinated offshore wind and offshore photovoltaic (PV) generation introduces pronounced power fluctuations due to the intrinsic randomness and intermittency of renewable energy sources (RESs). These fluctuations pose significant challenges to the secure, stable, and economical operation of modern power systems. To address this issue, this study proposes a hybrid energy storage system (HESS)-based optimization framework that simultaneously enhances fluctuation suppression performance, optimizes storage capacity allocation, and improves life-cycle economic efficiency. First, a K-means fuzzy clustering algorithm is employed to analyze historical RES power data, extracting representative daily fluctuation profiles to serve as accurate inputs for optimization. Second, the time-varying filter empirical mode decomposition (TVF-EMD) technique is applied to adaptively decompose the net power fluctuations. High-frequency components are allocated to a flywheel energy storage system (FESS), valued for its high power density, rapid response, and long cycle life, while low-frequency components are assigned to a battery energy storage system (BESS), characterized by high energy density and cost-effectiveness. This decomposition–allocation strategy fully exploits the complementary characteristics of different storage technologies. Simulation results for an integrated offshore wind–PV generation scenario demonstrate that the proposed method significantly reduces the fluctuation rate of RES power output while maintaining favorable economic performance. The approach achieves unified optimization of HESS sizing, fluctuation mitigation, and life-cycle cost, offering a viable reference for the planning and operation of large-scale offshore hybrid renewable plants. Full article
(This article belongs to the Special Issue Modeling, Simulation and Control in Energy Systems—2nd Edition)
Show Figures

Figure 1

28 pages, 6560 KB  
Article
SPI-Informed Drought Forecasts Integrating Advanced Signal Decomposition and Machine Learning Models
by Anwar Ali Aldhafeeri, Mumtaz Ali, Mohsin Khan and Abdulhaleem H. Labban
Water 2025, 17(18), 2747; https://doi.org/10.3390/w17182747 - 17 Sep 2025
Viewed by 992
Abstract
Drought is an extremely terrifying environmental calamity, causing declining agricultural production, escalating food prices, water scarcity, soil erosion, increased wildfire risks, and changes in ecosystem. Drought data is noisy and poses challenges to accurate forecasts due to it being nonstationary and non-linear. This [...] Read more.
Drought is an extremely terrifying environmental calamity, causing declining agricultural production, escalating food prices, water scarcity, soil erosion, increased wildfire risks, and changes in ecosystem. Drought data is noisy and poses challenges to accurate forecasts due to it being nonstationary and non-linear. This research aims to construct a contemporary and novel approach termed as TVFEMD-GPR, crossbreeding time varying filter-based empirical mode decomposition (TVFEMD) and gaussian process regression (GPR), to model multi-scaler standardized precipitation index (SPI) to forecast droughts. At first, the statistically significant lags at (t − 1) were computed via partial auto-correlation function (PACF). In the second step, the TVFEMD splits the (t − 1) lag into several factors named as intrinsic mode functions (IMFs) and residual components. The third step is the final step, where the GPR model took the IMFs and residual as input predictors to forecast one-month SPI (SPI1), three-months SPI (SPI3), six-months SPI (SPI6), and twelve-months SPI1 (SPI12) for Mackay and Springfield stations in Australia. To benchmark the new TVFEMD-GPR model, the long short-term memory (LSTM), boosted regression tree (BRT), and cascaded forward neural network (CFNN) were also developed to assess their accuracy in drought forecasting. Moreover, the TVFEMD was integrated to create TVFEMD-LSTM, TVFEMD-BRT, and TVFEMD-CFNN models to forecast multi-scaler SPI where the TVFEMD-GPR surpassed all comparable models in both stations. The outcomes proved that the TVFEMD-GPR outperformed comparable models by acquiring ENS = 0.5054, IA = 0.8082, U95% = 1.8943 (SPI1), ENS = 0.6564, IA = 0.8893, U95% = 1.5745(SPI3), ENS = 0.8237, IA = 0.9502, U95% = 1.1123 (SPI6), and ENS = 0.9285, IA = 0.9813, U95% = 0.7228 (SPI12) for Mackay Station. For Station 2 (Springfield), the TVFEMD-GPR obtained these metrics as ENS = 0.5192, IA = 0.8182, U95% = 1.9100 (SPI1), ENS = 0.6716, IA = 0.8953, U95% = 1.5163 (SPI3), ENS = 0.8289, IA = 0.9534, U95% = 1.1296 (SPI6), and ENS = 0.9311, IA = 0.9829, and U95% = 0.7695 (SPI12). The research exhibits the practicality of the TVFEMD-GPR model to anticipate drought events, minimize their impacts, and implement timely mitigation strategies. Moreover, the TVFEMD-GPR can assist in early warning systems, better water management, and reducing economic losses. Full article
Show Figures

Figure 1

23 pages, 19679 KB  
Article
Bridge Damage Identification Using Time-Varying Filtering-Based Empirical Mode Decomposition and Pre-Trained Convolutional Neural Networks
by Shenghuan Zeng, Jian Cui, Ding Luo and Naiwei Lu
Sensors 2025, 25(15), 4869; https://doi.org/10.3390/s25154869 - 7 Aug 2025
Cited by 2 | Viewed by 788
Abstract
Structural damage identification provides a theoretical foundation for the operational safety and preventive maintenance of in-service bridges. However, practical bridge health monitoring faces challenges in poor signal quality, difficulties in feature extraction, and insufficient damage classification accuracy. This study presents a bridge damage [...] Read more.
Structural damage identification provides a theoretical foundation for the operational safety and preventive maintenance of in-service bridges. However, practical bridge health monitoring faces challenges in poor signal quality, difficulties in feature extraction, and insufficient damage classification accuracy. This study presents a bridge damage identification framework integrating time-varying filtering-based empirical mode decomposition (TVFEMD) with pre-trained convolutional neural networks (CNNs). The proposed method enhances the key frequency-domain features of signals and suppresses the interference of non-stationary noise on model training through adaptive denoising and time–frequency reconstruction. TVFEMD was demonstrated in numerical simulation experiments to have a better performance than the traditional EMD in terms of frequency separation and modal purity. Furthermore, the performances of three pre-trained CNN models were compared in damage classification tasks. The results indicate that ResNet-50 has the best optimal performance compared with the other networks, particularly exhibiting better adaptability and recognition accuracy when processing TVFEMD-denoised signals. In addition, the principal component analysis visualization results demonstrate that TVFEMD significantly improves the clustering and separability of feature data, providing clearer class boundaries and reducing feature overlap. Full article
(This article belongs to the Section Fault Diagnosis & Sensors)
Show Figures

Figure 1

21 pages, 6269 KB  
Article
Diagnosis of Power Transformer On-Load Tap Changer Mechanical Faults Based on SABO-Optimized TVFEMD and TCN-GRU Hybrid Network
by Shan Wang, Zhihu Hong, Qingyun Min, Dexu Zou, Yanlin Zhao, Runze Qi and Tong Zhao
Energies 2025, 18(11), 2934; https://doi.org/10.3390/en18112934 - 3 Jun 2025
Cited by 2 | Viewed by 1088
Abstract
Accurate mechanical fault diagnosis of On-Load Tap Changers (OLTCs) remains crucial for power system reliability yet faces challenges from vibration signals’ non-stationary characteristics and limitations of conventional methods. This paper develops a hybrid framework combining metaheuristic-optimized decomposition with hierarchical temporal learning. The methodology [...] Read more.
Accurate mechanical fault diagnosis of On-Load Tap Changers (OLTCs) remains crucial for power system reliability yet faces challenges from vibration signals’ non-stationary characteristics and limitations of conventional methods. This paper develops a hybrid framework combining metaheuristic-optimized decomposition with hierarchical temporal learning. The methodology employs a Subtraction-Average-Based Optimizer (SABO) to adaptively configure Time-Varying Filtered Empirical Mode Decomposition (TVFEMD), effectively resolving mode mixing through optimized parameter selection. The decomposed components undergo dual-stage temporal processing: A Temporal Convolutional Network (TCN) extracts multi-scale dependencies via dilated convolution architecture, followed by Gated Recurrent Unit (GRU) layers capturing dynamic temporal patterns. An experimental platform was established using a KM-type OLTC to acquire vibration signals under typical mechanical faults, subsequently constructing the dataset. Experimental validation demonstrates superior classification accuracy compared to conventional decomposition–classification approaches in distinguishing complex mechanical anomalies, achieving a classification accuracy of 96.38%. The framework achieves significant accuracy improvement over baseline methods while maintaining computational efficiency, validated through comprehensive mechanical fault simulations. This parameter-adaptive methodology demonstrates enhanced stability in signal decomposition and improved temporal feature discernment, proving particularly effective in handling non-stationary vibration signals under real operational conditions. The results establish practical viability for industrial condition monitoring applications through robust feature extraction and reliable fault pattern recognition. Full article
Show Figures

Figure 1

21 pages, 4293 KB  
Article
Temperature Compensation Method for MEMS Ring Gyroscope Based on PSO-TVFEMD-SE-TFPF and FTTA-LSTM
by Hongqiao Huang, Wen Ye, Li Liu, Wenjing Wang, Yan Wang and Huiliang Cao
Micromachines 2025, 16(5), 507; https://doi.org/10.3390/mi16050507 - 26 Apr 2025
Cited by 2 | Viewed by 955
Abstract
This study proposes a novel parallel denoising and temperature compensation fusion algorithm for MEMS ring gyroscopes. First, the particle swarm optimization (PSO) algorithm is used to optimize the time-varying filter-based empirical mode decomposition (TVFEMD), obtaining optimal decomposition parameters. Then, TVFEMD decomposes the gyroscope [...] Read more.
This study proposes a novel parallel denoising and temperature compensation fusion algorithm for MEMS ring gyroscopes. First, the particle swarm optimization (PSO) algorithm is used to optimize the time-varying filter-based empirical mode decomposition (TVFEMD), obtaining optimal decomposition parameters. Then, TVFEMD decomposes the gyroscope output signal into a series of product function (PF) signals and a residual signal. Next, sample entropy (SE) is employed to classify the decomposed signals into three categories: noise segment, mixed segment, and feature segment. According to the parallel model structure, the noise segment is directly discarded. Meanwhile, time–frequency peak filtering (TFPF) is applied to denoise the mixed segment, while the feature segment undergoes compensation. For compensation, the football team training algorithm (FTTA) is used to optimize the parameters of the long short-term memory (LSTM) neural network, forming a novel FTTA-LSTM architecture. Both simulations and experimental results validate the effectiveness of the proposed algorithm. After processing the MEMS gyroscope output signal using the PSO-TVFEMD-SE-TFPF denoising algorithm and the FTTA-LSTM temperature drift compensation model, the angular random walk (ARW) of the MEMS gyroscope is reduced to 0.02°/√h, while the bias instability (BI) decreases to 2.23°/h. Compared to the original signal, ARW and BI are reduced by 99.43% and 97.69%, respectively. The proposed fusion-based temperature compensation method significantly enhances the temperature stability and noise performance of the gyroscope. Full article
(This article belongs to the Section A:Physics)
Show Figures

Figure 1

31 pages, 21587 KB  
Article
Bearing Fault Feature Extraction Method Based on Adaptive Time-Varying Filtering Empirical Mode Decomposition and Singular Value Decomposition Denoising
by Xuezhuang E, Wenbo Wang and Hao Yuan
Machines 2025, 13(1), 50; https://doi.org/10.3390/machines13010050 - 13 Jan 2025
Cited by 2 | Viewed by 1525
Abstract
Aiming to address the difficulty in extracting the early weak fault features of bearings under complex operating conditions, a fault diagnosis method is proposed based on the adaptive fusion of time-varying filtering empirical mode decomposition (TVF-EMD) modal components and singular value decomposition (SVD) [...] Read more.
Aiming to address the difficulty in extracting the early weak fault features of bearings under complex operating conditions, a fault diagnosis method is proposed based on the adaptive fusion of time-varying filtering empirical mode decomposition (TVF-EMD) modal components and singular value decomposition (SVD) noise reduction. First, the snake optimization (SO) technique is used to optimize the TVF-EMD algorithm in order to determine the optimal parameters that match the input signal. Then, the bearing signal is divided into a number of intrinsic mode functions (IMFs) using TVF-EMD in order to reduce the nonlinearity and non-stationary characteristics of the fault signal. An index for the envelope fault information energy ratio (EFIER) is created to overcome the drawback of there being too many IMF components after TVF-EMD decomposition. The IMF components are ranked in descending order according to the EFIER, and they are fused according to the maximum principle of the energy ratio of envelope fault information until the optimal fusion component is determined. Finally, the fault feature is extracted when the optimal fusion component is denoised using SVD. Two measured bearing fault signals and simulation signals are used to validate the performance of the proposed method. The experimental findings demonstrate that the approach has good sensitive feature screening, fusion, and noise reduction capabilities. The proposed method can more precisely extract the early fault features of bearings and accurately identify fault types. Full article
(This article belongs to the Section Machines Testing and Maintenance)
Show Figures

Figure 1

17 pages, 1944 KB  
Article
A Water Level Forecasting Method Based on an Improved Jellyfish Search Algorithm Optimized with an Inverse-Free Extreme Learning Machine and Error Correction
by Qiwei Zhang, Weiwei Shou, Xuefeng Wang, Rongkai Zhao, Rui He and Chu Zhang
Water 2024, 16(20), 2871; https://doi.org/10.3390/w16202871 - 10 Oct 2024
Viewed by 1627
Abstract
Precise water level forecasting plays a decisive role in improving the efficiency of flood prevention and disaster reduction, optimizing water resource management, enhancing the safety of waterway transportation, reducing flood risks, and promoting ecological and environmental protection, which is crucial for the sustainable [...] Read more.
Precise water level forecasting plays a decisive role in improving the efficiency of flood prevention and disaster reduction, optimizing water resource management, enhancing the safety of waterway transportation, reducing flood risks, and promoting ecological and environmental protection, which is crucial for the sustainable development of society. This study proposes a hybrid water level forecasting model based on Time-Varying Filter-based Empirical Mode Decomposition (TVFEMD), Inverse-Free Extreme Learning Machine (IFELM), and error correction. Firstly, historical water level data are decomposed into different modes using TVFEMD; secondly, the Improved Jellyfish Search (IJS) algorithm is employed to optimize the IFELM, and subsequently, the optimized IFELM independently forecasts each sub-sequence and obtains the predictive results of each sub-sequence; thirdly, an Online Sequential Extreme Learning Machine (OSELM) model is used to correct data errors, and the initial predictive results and error prediction results are added together to obtain the final prediction for the sub-sequence; and finally, the final prediction for the sub-sequences are added to obtain the prediction results of the entire water level sequence. Taking the daily water level data from 2006 to 2018 in Taihu, China as the research object, this paper compares the proposed model with the ELM, BP, LSTM, IFELM, TVFEMD-IFELM, and TVFEMD-IFELM-OSELM models. The results show that the TVFEMD-IJS-IFELM-OSELM model established in this study has high prediction accuracy and strong stability and is suitable for water level forecasting. Full article
Show Figures

Figure 1

14 pages, 5723 KB  
Article
Noise Cancellation Method Based on TVF-EMD with Bayesian Parameter Optimization
by Miaomiao Yu, Hongyong Yuan, Kaiyuan Li and Lizheng Deng
Algorithms 2023, 16(6), 296; https://doi.org/10.3390/a16060296 - 12 Jun 2023
Cited by 6 | Viewed by 2621
Abstract
To separate the noise and important signal features of the indoor carbon dioxide (CO2) concentration signal, we proposed a noise cancellation method, based on time-varying, filtering-based empirical mode decomposition (TVF-EMD) with Bayesian optimization (BO). The adaptive parameters of TVF-EMD, that is, [...] Read more.
To separate the noise and important signal features of the indoor carbon dioxide (CO2) concentration signal, we proposed a noise cancellation method, based on time-varying, filtering-based empirical mode decomposition (TVF-EMD) with Bayesian optimization (BO). The adaptive parameters of TVF-EMD, that is, bandwidth threshold ξ and B-spline order n, were determined by the BO algorithm, and the correlation coefficient for the kurtosis index (CCKur) constituted the objective function. Initially, the objective function CCKur was introduced to systematically identify anomalous signals while preserving signal feature extraction between the modes and the input signal. Subsequently, the proposed signal noise cancellation model based on TVF-EMD and the BO algorithm were employed, along with the Hurst exponent, to extract the sensitive mode. An examination of the optimization indices of the decomposed intrinsic mode functions (IMFs), namely CC, Kur, MI, EE, EEMI, and CCKur, revealed that the synthetic measurement index CCKur and objective function fitness were reasonable and effective. The proposed method exhibited better signal cancellation performance, compared to that of TVF-EMD with the default values, EMD, the moving average method, and the exponential smoothing method. Full article
Show Figures

Figure 1

22 pages, 1856 KB  
Article
Prediction of Regional Carbon Price in China Based on Secondary Decomposition and Nonlinear Error Correction
by Beibei Hu and Yunhe Cheng
Energies 2023, 16(11), 4444; https://doi.org/10.3390/en16114444 - 31 May 2023
Cited by 1 | Viewed by 1615
Abstract
Effective prediction of carbon prices matters a great deal for risk management in the carbon financial market. This article designs a blended approach incorporating secondary decomposition and nonlinear error-correction technology to predict the regional carbon price in China. Firstly, the variational mode decomposition [...] Read more.
Effective prediction of carbon prices matters a great deal for risk management in the carbon financial market. This article designs a blended approach incorporating secondary decomposition and nonlinear error-correction technology to predict the regional carbon price in China. Firstly, the variational mode decomposition (VMD) method is used to decompose the carbon price, and then, the time-varying filter-based empirical mode decomposition (TVFEMD) is introduced to decompose the residual term generated by VMD, and the multiple kernel-based extreme learning machine (MKELM) optimized by the sparrow search algorithm (SSA) is innovatively built to forecast the carbon subsequences. Finally, in order to mine the hidden information contained in the forecasted error, the nonlinear error-correction method based on the SSA-MKELM model is introduced to correct the initial prediction of carbon price. The empirical results show that the proposed model improves the prediction accuracy of carbon prices, with RMSE, MAE, MAPE, and DS up to 0.1363, 0.1160, 0.0015, and 0.9231 in Guangdong, respectively. In the case of the Hubei market, the model also performs best. This research innovatively expands the prediction theory and method of China’s regional carbon price. Full article
(This article belongs to the Special Issue Risk Management in Carbon and Oil Markets)
Show Figures

Figure 1

29 pages, 15293 KB  
Article
Parameter-Adaptive TVF-EMD Feature Extraction Method Based on Improved GOA
by Chengjiang Zhou, Zenghui Xiong, Haicheng Bai, Ling Xing, Yunhua Jia and Xuyi Yuan
Sensors 2022, 22(19), 7195; https://doi.org/10.3390/s22197195 - 22 Sep 2022
Cited by 15 | Viewed by 2832
Abstract
In order to separate the sub-signals and extract the feature frequency in the signal accurately, we proposed a parameter-adaptive time-varying filtering empirical mode decomposition (TVF-EMD) feature extraction method based on the improved grasshopper optimization algorithm (IGOA). The method not only improved the local [...] Read more.
In order to separate the sub-signals and extract the feature frequency in the signal accurately, we proposed a parameter-adaptive time-varying filtering empirical mode decomposition (TVF-EMD) feature extraction method based on the improved grasshopper optimization algorithm (IGOA). The method not only improved the local optimal problem of GOA, but could also determine the bandwidth threshold and B-spline order of TVF-EMD adaptively. Firstly, a nonlinear decreasing strategy was introduced in this paper to adjust the decreasing coefficient of GOA dynamically. Then, energy entropy mutual information (EEMI) was introduced to comprehensively consider the energy distribution of the modes and the dependence between the modes and the original signal, and the EEMI was used as the objective function. In addition, TVF-EMD was optimized by IGOA and the optimal parameters matching the input signal were obtained. Finally, the feature frequency of the signal was extracted by analyzing the sensitive mode with larger kurtosis. The optimization experiments of 23 sets of benchmark functions showed that IGOA not only enhanced the balance between exploration and development, but also improved the global and local search ability and stability of the algorithm. The analysis of the simulation signal and bearing signal shows that the parameter-adaptive TVF-EMD method can separate the modes with specific physical meanings accurately. Compared with ensemble empirical mode decomposition (EEMD), variational mode decomposition (VMD), TVF-EMD with fixed parameters and GOA-TVF-EMD, the decomposition performance of the proposed method is better. The proposed method not only improved the under-decomposition, over-decomposition and modal aliasing problems of TVF-EMD, but could also accurately separate the frequency components of the signal and extract the included feature information, so it has practical significance in mechanical fault diagnosis. Full article
(This article belongs to the Section Physical Sensors)
Show Figures

Figure 1

25 pages, 23534 KB  
Article
Performance Comparison of Machine Learning Models for Annual Precipitation Prediction Using Different Decomposition Methods
by Chao Song and Xiaohong Chen
Remote Sens. 2021, 13(5), 1018; https://doi.org/10.3390/rs13051018 - 8 Mar 2021
Cited by 19 | Viewed by 4466
Abstract
It has become increasingly difficult in recent years to predict precipitation scientifically and accurately due to the dual effects of human activities and climatic conditions. This paper focuses on four aspects to improve precipitation prediction accuracy. Five decomposition methods (time-varying filter-based empirical mode [...] Read more.
It has become increasingly difficult in recent years to predict precipitation scientifically and accurately due to the dual effects of human activities and climatic conditions. This paper focuses on four aspects to improve precipitation prediction accuracy. Five decomposition methods (time-varying filter-based empirical mode decomposition (TVF-EMD), robust empirical mode decomposition (REMD), complementary ensemble empirical mode decomposition (CEEMD), wavelet transform (WT), and extreme-point symmetric mode decomposition (ESMD) combined with the Elman neural network (ENN)) are used to construct five prediction models, i.e., TVF-EMD-ENN, REMD-ENN, CEEMD-ENN, WT-ENN, and ESMD-ENN. The variance contribution rate (VCR) and Pearson correlation coefficient (PCC) are utilized to compare the performances of the five decomposition methods. The wavelet transform coherence (WTC) is used to determine the reason for the poor prediction performance of machine learning algorithms in individual years and the relationship with climate indicators. A secondary decomposition of the TVF-EMD is used to improve the prediction accuracy of the models. The proposed methods are used to predict the annual precipitation in Guangzhou. The subcomponents obtained from the TVF-EMD are the most stable among the four decomposition methods, and the North Atlantic Oscillation (NAO) index, the Nino 3.4 index, and sunspots have a smaller influence on the first subcomponent (Sc-1) than the other subcomponents. The TVF-EMD-ENN model has the best prediction performance and outperforms traditional machine learning models. The secondary decomposition of the Sc-1 of the TVF-EMD model significantly improves the prediction accuracy. Full article
(This article belongs to the Special Issue Artificial Intelligence in Remote Sensing of Atmospheric Environment)
Show Figures

Figure 1

19 pages, 3878 KB  
Article
A Compound Approach for Monthly Runoff Forecasting Based on Multiscale Analysis and Deep Network with Sequential Structure
by Shi Chen, Shuning Dong, Zhiguo Cao and Junting Guo
Water 2020, 12(8), 2274; https://doi.org/10.3390/w12082274 - 13 Aug 2020
Cited by 20 | Viewed by 2952
Abstract
Accurate runoff forecasting is of great significance for the optimization of water resource management and regulation. Given such a challenge, a novel compound approach combining time-varying filtering-based empirical mode decomposition (TVFEMD), sample entropy (SE)-based subseries recombination, and the newly developed deep sequential structure [...] Read more.
Accurate runoff forecasting is of great significance for the optimization of water resource management and regulation. Given such a challenge, a novel compound approach combining time-varying filtering-based empirical mode decomposition (TVFEMD), sample entropy (SE)-based subseries recombination, and the newly developed deep sequential structure incorporating convolutional neural network (CNN) into a gated recurrent unit network (GRU) is proposed for monthly runoff forecasting. Firstly, the runoff series is disintegrated into a collection of subseries adopting TVFEMD, considering the volatility of runoff series caused by complex environmental and human factors. The subseries recombination strategy based on SE and recombination criterion is employed to reconstruct the subseries possessing the approximate complexity. Subsequently, the newly developed deep sequential structure based on CNN and GRU (CNNGRU) is applied to predict all the preprocessed subseries. Eventually, the predicted values obtained above are aggregated to deduce the ultimate prediction results. To testify to the efficiency and effectiveness of the proposed approach, eight relevant contrastive models were applied to the monthly runoff series collected from Baishan reservoir, where the experimental results demonstrated that the evaluation metrics obtained by the proposed model achieved an average index decrease of 44.35% compared with all the contrast models. Full article
(This article belongs to the Section Hydrology)
Show Figures

Figure 1

15 pages, 4748 KB  
Article
Short Term Traffic Flow Prediction of Urban Road Using Time Varying Filtering Based Empirical Mode Decomposition
by Yanpeng Wang, Leina Zhao, Shuqing Li, Xinyu Wen and Yang Xiong
Appl. Sci. 2020, 10(6), 2038; https://doi.org/10.3390/app10062038 - 17 Mar 2020
Cited by 28 | Viewed by 2994
Abstract
Short-term traffic flow prediction is important to realize real-time traffic instruction. However, due to the existing strong nonlinearity and non-stationarity in short-term traffic volume data, it is hard to obtain a satisfactory result through the traditional method. To this end, this paper develops [...] Read more.
Short-term traffic flow prediction is important to realize real-time traffic instruction. However, due to the existing strong nonlinearity and non-stationarity in short-term traffic volume data, it is hard to obtain a satisfactory result through the traditional method. To this end, this paper develops an innovative hybrid method based on the time varying filtering based empirical mode decomposition (TVF-EMD) and least square support vector machine (LSSVM). Specifically, TVF-EMD is firstly used to deal with the implied non-stationarity in the original data by decomposing them into several different subseries. Then, the LSSVM models are established for each subseries to capture the linear and nonlinear characteristics embedded in the original data, and the corresponding prediction results are superimposed to obtain the final one. Finally, case studies based on two groups of data measured from an arterial road intersection are employed to evaluate the performance of the proposed method. The experimental results indicate it outperforms the other involved models. For example, compared with the LSSVM model, the average improvements by the proposed method in terms of the indexes of mean absolute error, mean relative percentage error, root mean square error and root mean square relative error are 7.397, 15.832%, 10.707 and 24.471%, respectively. Full article
Show Figures

Figure 1

25 pages, 10372 KB  
Article
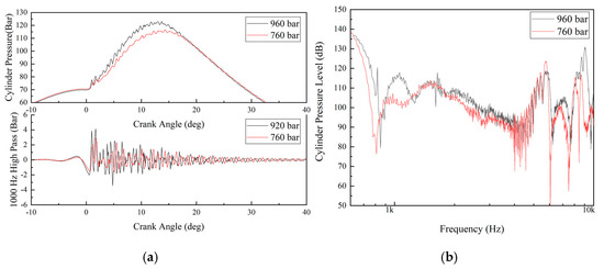
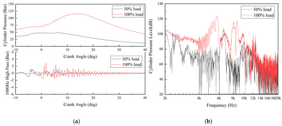
Experimental Investigation on the High-frequency Pressure Oscillation Characteristics of a Combustion Process in a DI Diesel Engine
by Xu Zheng, Nan Zhou, Quan Zhou, Yi Qiu, Ruijun Liu and Zhiyong Hao
Energies 2020, 13(4), 871; https://doi.org/10.3390/en13040871 - 17 Feb 2020
Cited by 9 | Viewed by 3057
Abstract
It is difficult to decompose the in-cylinder pressure of combustion of the direct injection (DI) diesel engine, a transient process associated with complicated oscillation components, because of its steep property. An adaptive cyclic average method based on time varying filter based empirical mode [...] Read more.
It is difficult to decompose the in-cylinder pressure of combustion of the direct injection (DI) diesel engine, a transient process associated with complicated oscillation components, because of its steep property. An adaptive cyclic average method based on time varying filter based empirical mode decomposition (TVF-EMD) is proposed to decompose the in-cylinder pressure signal, and the cyclic number is determined adaptively with protruding ratio of high-frequency oscillation. The proposed method is used to compare with the ensemble empirical mode decomposition and original TVF-EMD. The results indicate that the proposed method can overcome the drawbacks of these methods and extract high-frequency oscillations accurately and effectively. Three evaluation indexes, center frequency, normalized energy, and average center frequency are defined to analyze the frequency and energy characteristics of high-frequency oscillation quantitatively. The influence of speed, load, rail pressure, main injection timing, pilot injection interval, and pilot injection quantity are investigated systematically. The energy of high-frequency oscillation reaches the peak at medium-high speed, and increase with engine load and rail pressure. However, the relationship of high-frequency oscillation with fuel injection parameters are non-monotonic. Full article
(This article belongs to the Section J: Thermal Management)
Show Figures

Figure 1

Back to TopTop