Bridge Damage Identification Using Time-Varying Filtering-Based Empirical Mode Decomposition and Pre-Trained Convolutional Neural Networks
Abstract
Highlights
- A novel bridge damage identification framework is proposed, combining TVFEMD for signal denoising and pre-trained CNNs for accurate damage classification.
- The study finds that ResNet-50 performs optimally in damage classification tasks, especially when processing TVFEMD-processed signals, with improved clustering and separability of features.
- The proposed method improves the robustness of structural health monitoring systems in noisy environments, enhancing damage identification accuracy in real-world conditions.
- It offers a practical and scalable approach for intelligent structural health monitoring in real-world engineering applications.
Abstract
1. Introduction
2. Methodologies
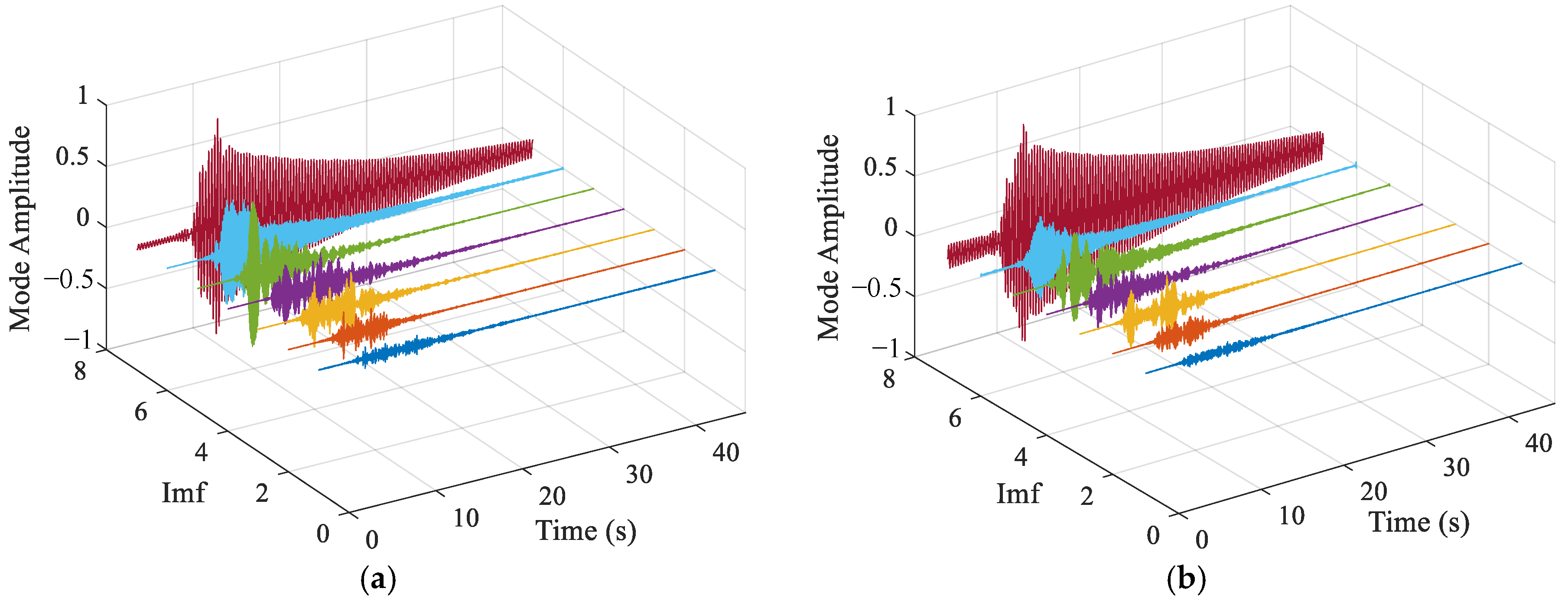
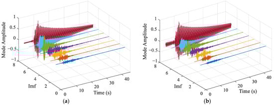
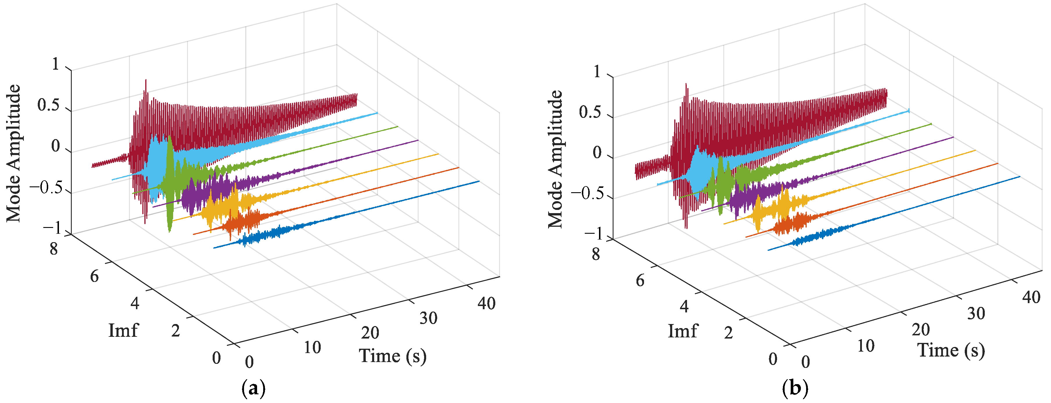
2.1. Time-Varying Filtering-Based Empirical Mode Decomposition
2.2. Deep CNNs
2.3. Markov Transition Field for Encoding Time Series
2.4. A Bridge Damage Identification Framework Based on MTF
3. Case Study
3.1. Numerical Signal
3.2. The Old ADA Bridge
4. Results and Discussion
4.1. Hyperparameter Settings and Training Processes
4.2. Comparison of Different Signal Processing Methods
4.3. Comparison of Different CNNs
4.4. Feature Extraction Visualization
5. Conclusions
Author Contributions
Funding
Institutional Review Board Statement
Informed Consent Statement
Data Availability Statement
Conflicts of Interest
References
- Li, H.; Ren, L.; Jia, Z.; Yi, T.; Li, D. State-of-the-art in structural health monitoring of large and complex civil infrastructures. J. Civ. Struct. Health Monit. 2016, 6, 3–16. [Google Scholar] [CrossRef]
- Wang, L.; Dai, L.; Bian, H.; Ma, Y.; Zhang, J. Concrete cracking prediction under combined prestress and strand corrosion. Struct. Infrastruct. Eng. 2019, 15, 285–295. [Google Scholar] [CrossRef]
- Ma, Y.; Zhang, B.; Huang, K.; Wang, L. Probabilistic prediction and early warning for bridge bearing displacement using sparse variational gaussian process regression. Struct. Saf. 2025, 114, 102564. [Google Scholar] [CrossRef]
- Lu, N.; Wang, H.; Luo, Y.; Liu, X.; Liu, Y. Merging behaviour and fatigue life evaluation of multi-cracks in welds of OSDs. J. Constr. Steel Res. 2025, 225, 109189. [Google Scholar] [CrossRef]
- Li, H.; Ou, J. The state of the art in structural health monitoring of cable-stayed bridges. J. Civ. Struct. Health Monit. 2016, 6, 43–67. [Google Scholar] [CrossRef]
- Yuan, P.; Cai, Y.; Dong, B.; Wang, L. Topology optimization design for strengthening locally damaged structures: A non-gradient directed evolution method. Comput. Struct. 2024, 301, 107458. [Google Scholar] [CrossRef]
- Zhou, Y.; Shou, H.; Li, C.; Jiang, Y.; Tian, X. Punching shear behavior of ultra-high-performance fiber-reinforced concrete and normal strength concrete composite flat slabs. Eng. Struct. 2025, 322, 119123. [Google Scholar] [CrossRef]
- Ma, Y.; Peng, A.; Wang, L.; Dai, L.; Zhang, J. Structural performance degradation of cable-stayed bridges subjected to cable damage: Model test and theoretical prediction. Struct. Infrastruct. Eng. 2023, 19, 1173–1189. [Google Scholar] [CrossRef]
- Lu, N.; Zeng, W.; Cui, J.; Luo, Y.; Liu, X.; Liu, Y. An advanced computer vision method for noncontact vibration measurement of cables in cable-stayed bridges. Struct. Control. Health Monit. 2025, 2025, 1254049. [Google Scholar] [CrossRef]
- Hu, P.; Wang, S.; Han, Y.; Cai, C.; Zhang, F.; Yan, N. Mechanism analysis on wake-induced vibration of parallel hangers near a long-span suspension bridge tower. J. Wind. Eng. Ind. Aerod. 2023, 241, 105542. [Google Scholar] [CrossRef]
- Yan, W.; Yin, X.; Liu, Y.; Tuohuti, K.; Wu, L.; Liu, Y. Bridge damage detection based on vehicle scanning method and parallel convolutional neural network. Measurement 2025, 245, 116563. [Google Scholar] [CrossRef]
- Champneys, M.; Green, A.; Morales, A.; Silva, M.; Mascarenas, D. On the vulnerability of data-driven structural health monitoring models to adversarial attack. Struct. Health. Monit. 2021, 20, 1476–1493. [Google Scholar] [CrossRef]
- Li, X.; Kurata, M.; Nakashima, M. Evaluating damage extent of fractured beams in steel moment-resisting frames using dynamic strain responses. Earthq. Eng. Struct. Dyn. 2015, 44, 563–581. [Google Scholar] [CrossRef]
- Razavi, M.; Hadidi, A.; Ashrafzadeh, F. Feature extraction based on dynamic response measurements for structural damage identification: A comparative study. J. Struct. Integr. Maint. 2024, 9, 2364125. [Google Scholar] [CrossRef]
- Lu, N.; Liu, J.; Wang, H.; Yuan, H.; Luo, Y. Stochastic propagation of fatigue cracks in welded joints of steel bridge decks under simulated traffic loading. Sensors 2023, 23, 5067. [Google Scholar] [CrossRef] [PubMed]
- Hu, P.; Yuan, B.; Han, Y.; Li, K.; Cai, C.; Chen, X. Numerical study on bifurcation characteristics of wind-induced vibration for an H-shaped section. Phys. Fluids 2024, 36, 097156. [Google Scholar] [CrossRef]
- Yin, X.; Chen, X.; Yan, W.; Liu, Y.; Liu, Y. Bridge damping ratio identification based on function approximation-guided physics-informed neural networks. Structures 2025, 74, 108540. [Google Scholar] [CrossRef]
- Su, Z.; Yu, J.; Xiao, X.; Wang, J.; Wang, X. Deep learning seismic damage assessment with embedded signal denoising considering three-dimensional time–frequency feature correlation. Eng. Struct. 2023, 286, 116148. [Google Scholar] [CrossRef]
- Dai, L.; Bian, H.; Wang, L.; Potier-Ferry, M.; Zhang, J. Prestress loss diagnostics in pretensioned concrete structures with corrosive cracking. J. Struct. Eng. 2020, 146, 4020013. [Google Scholar] [CrossRef]
- Wu, W.; Chen, C.; Jhou, J. A rapidly convergent empirical mode decomposition method for analyzing the environmental temperature effects on stay cable force. Comput.-Aided Civ. Infrastruct. Eng. 2018, 33, 672–690. [Google Scholar] [CrossRef]
- Aied, H.; González, A.; Cantero, D. Identification of sudden stiffness changes in the acceleration response of a bridge to moving loads using ensemble empirical mode decomposition. Mech. Syst. Signal Process. 2016, 66, 314–338. [Google Scholar] [CrossRef]
- Li, T.; Hou, R.; Zheng, K.; Zhang, Z.; Liu, B. Automated method for structural modal identification based on multivariate variational mode decomposition and its applications in damage characteristics of subway tunnels. Eng. Fail. Anal. 2024, 163, 108499. [Google Scholar] [CrossRef]
- Guo, J.; Zhen, D.; Li, H.; Shi, Z.; Gu, F.; Ball, A. Fault feature extraction for rolling element bearing diagnosis based on a multi-stage noise reduction method. Measurement 2019, 139, 226–235. [Google Scholar] [CrossRef]
- Wang, M.; Weng, S.; Yu, X.; Yan, J.; Yin, P. Structural damage identification based on time-varying modal mode shape of wavelet transformation. J. Vib. Shock 2021, 40, 10–19. [Google Scholar]
- Wang, H.; Chen, S.; Zhai, W. Data-driven adaptive chirp mode decomposition with application to machine fault diagnosis under non-stationary conditions. Mech. Syst. Signal Process. 2023, 188, 109997. [Google Scholar] [CrossRef]
- Berrouche, Y.; Vashishtha, G.; Chauhan, S.; Zimroz, R. Local damage detection in rolling element bearings based on a single ensemble empirical mode decomposition. Knowl.-Based Syst. 2024, 301, 112265. [Google Scholar] [CrossRef]
- Zare, M.; Nouri, N. End-effects mitigation in empirical mode decomposition using a new correlation-based expansion model. Mech. Syst. Signal Process. 2023, 194, 110205. [Google Scholar] [CrossRef]
- Huang, T.; Wang, Y.; Shang, X. Time-varying modal identification of structures under seismic excitations using a novel time-frequency method. Soil Dyn. Earthq. Eng. 2024, 178, 108501. [Google Scholar] [CrossRef]
- Zhang, C.; Ma, H.; Hua, L.; Sun, W.; Nazir, M.S.; Peng, T. An evolutionary deep learning model based on TVFEMD, improved sine cosine algorithm, CNN and BiLSTM for wind speed prediction. Energy 2022, 254, 124250. [Google Scholar] [CrossRef]
- Xin, J.; Zhou, C.; Jiang, Y. A signal recovery method for bridge monitoring system using TVFEMD and encoder-decoder aided LSTM. Measurement 2023, 214, 112797. [Google Scholar] [CrossRef]
- Li, S.; Xin, J.; Jiang, Y. Temperature-induced deflection separation based on bridge deflection data using the TVFEMD-PE-KLD method. J. Civ. Struct. Health Monit. 2023, 13, 781–797. [Google Scholar] [CrossRef]
- Lin, Y.; Nie, Z.; Ma, H. Structural damage detection with automatic feature-extraction through deep learning. Comput.-Aided Civ. Infrastruct. Eng. 2017, 32, 1025–1046. [Google Scholar] [CrossRef]
- Paymode, A.; Malode, V. Transfer learning for multi-crop leaf disease image classification using convolutional neural network VGG. Artif. Intell. Agric. 2022, 6, 23–33. [Google Scholar] [CrossRef]
- Sun, L.; Shang, Z.; Xia, Y.; Bhowmick, S.; Nagarajaiah, S. Review of bridge structural health monitoring aided by big data and artificial intelligence: From condition assessment to damage detection. J. Struct. Eng. 2020, 146, 4020073. [Google Scholar] [CrossRef]
- Ma, Y.; Guo, Z.; Wang, L.; Zhang, J. Probabilistic life prediction for reinforced concrete structures subjected to seasonal corrosion-fatigue damage. J. Struct. Eng. 2020, 146, 4020117. [Google Scholar] [CrossRef]
- Xiao, J.; Peng, J.; Yang, Y.; Dong, Y.; Zhang, J. Comprehensive assessment of prestress loss in post-tensioned prestressed concrete structures exposed to wet-dry cycles in chloride environments. Eng. Struct. 2025, 328, 119691. [Google Scholar] [CrossRef]
- Peng, K.; Zhou, W.; Jiang, L.; Xiong, L.; Yu, J. VHXLA: A post-earthquake damage prediction method for high-speed railway track-bridge system using VMD and hybrid neural network. Eng. Struct. 2024, 298, 117048. [Google Scholar] [CrossRef]
- Wang, M.; Xiong, C.; Shang, Z. Predictive evaluation of dynamic responses and frequencies of bridge using optimized VMD and genetic algorithm-back propagation approach. J. Civ. Struct. Health Monit. 2024, 15, 173–190. [Google Scholar] [CrossRef]
- Ding, Y.; Ye, X.; Guo, Y. A multistep direct and indirect strategy for predicting wind direction based on the EMD-LSTM model. Struct. Control. Health Monit. 2023, 2023, 4950487. [Google Scholar] [CrossRef]
- Dizaji, M.; Mao, Z.; Haile, M. A hybrid-attention-ConvLSTM-based deep learning architecture to extract modal frequencies from limited data using transfer learning. Mech. Syst. Signal Process. 2023, 187, 109949. [Google Scholar] [CrossRef]
- Liu, C.; Xu, X.; Wu, J.; Zhu, H.; Wang, C. Deep transfer learning-based damage detection of composite structures by fusing monitoring data with physical mechanism. Eng. Appl. Artif. Intel. 2023, 123, 106245. [Google Scholar] [CrossRef]
- Lu, N.; Liu, Z.; Cui, J.; Hu, L.; Xiao, X.; Liu, Y. Structural damage diagnosis of a cable-stayed bridge based on VGG-19 networks and markov transition field: Numerical and experimental study. Smart. Mater. Struct. 2025, 34, 25006. [Google Scholar] [CrossRef]
- Mao, M.; Xu, B.; Sun, Y.; Tan, K.; Wang, Y.; Zhou, C.; Yang, J. Application of FCEEMD-TSMFDE and adaptive CatBoost in fault diagnosis of complex variable condition bearings. Sci. Rep. 2024, 14, 30448. [Google Scholar] [CrossRef] [PubMed]
- Zhang, S.; Xu, F.; Hu, M.; Zhang, L.; Liu, H.; Li, M. A novel denoising algorithm based on TVF-EMD and its application in fault classification of rotating machinery. Measurement 2021, 179, 109337. [Google Scholar] [CrossRef]
- Azimi, M.; Pekcan, G. Structural health monitoring using extremely compressed data through deep learning. Comput.-Aided Civ. Infrastruct. Eng. 2020, 35, 597–614. [Google Scholar] [CrossRef]
- Zhang, X.; Liu, Z.; Miao, Q.; Wang, L. An optimized time varying filtering based empirical mode decomposition method with grey wolf optimizer for machinery fault diagnosis. J. Sound. Vib. 2018, 418, 55–78. [Google Scholar] [CrossRef]
- Teerakawanich, N.; Leelaruji, T.; Pichetjamroen, A. Short term prediction of sun coverage using optical flow with GoogLeNet. Energy Rep. 2020, 6, 526–531. [Google Scholar] [CrossRef]
- Wang, R.; Chencho, A.; Li, J.; Li, L.; Hao, H.; Liu, W. Deep residual network framework for structural health monitoring. Struct. Control Health Monit. 2021, 20, 1443–1461. [Google Scholar] [CrossRef]
- Li, Y.; Bao, T.; Xu, B.; Shu, X.; Zhou, Y.; Du, Y.; Wang, K.; Zhang, K. A deep residual neural network framework with transfer learning for concrete dams patch-level crack classification and weakly-supervised localization. Measurement 2022, 188, 110641. [Google Scholar] [CrossRef]
- Mao, Y.; Li, X.; Duan, M.; Feng, Y.; Wang, J.; Men, H.; Yang, H. A novel mooring system anomaly detection framework for SEMI based on improved residual network with attention mechanism and feature fusion. Reliab. Eng. Syst. Saf. 2024, 245, 109970. [Google Scholar] [CrossRef]
- Tan, M.; Le, Q. Efficientnet: Rethinking model scaling for convolutional neural networks. Int. Conf. Mach. Learn. PMLR 2019, 97, 6105–6114. Available online: https://proceedings.mlr.press/v97/tan19a.html?ref=ji (accessed on 27 July 2025).
- Wang, L.; Yi, S.; Yu, Y.; Gao, C.; Samali, B. Automated ultrasonic-based diagnosis of concrete compressive damage amidst temperature variations utilizing deep learning. Mech. Syst. Signal Process. 2024, 221, 111719. [Google Scholar] [CrossRef]
- Hidalgo-Fort, E.; Blanco-Carmona, P.; Muñoz-Chavero, F.; Torralba, A.; Castro-Triguero, R. Low-Cost, Low-Power Edge Computing System for Structural Health Monitoring in an IoT Framework. Sensors 2024, 24, 5078. [Google Scholar] [CrossRef]
- Kim, C.; Zhang, F.; Chang, K.; McGetrick, P.; Goi, Y. Ambient and vehicle-induced vibration data of a steel truss bridge subject to artificial damage. J. Bridge Eng. 2021, 26, 4721002. [Google Scholar] [CrossRef]
- Zhou, X.; Kim, C.; Zhang, F.; Chang, K. Vibration-based Bayesian model updating of an actual steel truss bridge subjected to incremental damage. Eng. Struct. 2022, 260, 114226. [Google Scholar] [CrossRef]
- Talaei, S.; Zhu, X.; Li, J.; Yu, Y.; Chan, T. Transfer learning based bridge damage detection: Leveraging time-frequency features. Structures 2023, 57, 105052. [Google Scholar] [CrossRef]





















| Damage Scenario | Description |
|---|---|
| INT | Full bridge intact |
| DMG1 | Half cut in a vertical member at midspan |
| DMG2 | Full cut in a vertical member at midspan |
| RCV | Recovery of the cut member at midspan |
| DMG3 | Full cut in a vertical member at 5/8th-span |
Disclaimer/Publisher’s Note: The statements, opinions and data contained in all publications are solely those of the individual author(s) and contributor(s) and not of MDPI and/or the editor(s). MDPI and/or the editor(s) disclaim responsibility for any injury to people or property resulting from any ideas, methods, instructions or products referred to in the content. |
© 2025 by the authors. Licensee MDPI, Basel, Switzerland. This article is an open access article distributed under the terms and conditions of the Creative Commons Attribution (CC BY) license (https://creativecommons.org/licenses/by/4.0/).
Share and Cite
Zeng, S.; Cui, J.; Luo, D.; Lu, N. Bridge Damage Identification Using Time-Varying Filtering-Based Empirical Mode Decomposition and Pre-Trained Convolutional Neural Networks. Sensors 2025, 25, 4869. https://doi.org/10.3390/s25154869
Zeng S, Cui J, Luo D, Lu N. Bridge Damage Identification Using Time-Varying Filtering-Based Empirical Mode Decomposition and Pre-Trained Convolutional Neural Networks. Sensors. 2025; 25(15):4869. https://doi.org/10.3390/s25154869
Chicago/Turabian StyleZeng, Shenghuan, Jian Cui, Ding Luo, and Naiwei Lu. 2025. "Bridge Damage Identification Using Time-Varying Filtering-Based Empirical Mode Decomposition and Pre-Trained Convolutional Neural Networks" Sensors 25, no. 15: 4869. https://doi.org/10.3390/s25154869
APA StyleZeng, S., Cui, J., Luo, D., & Lu, N. (2025). Bridge Damage Identification Using Time-Varying Filtering-Based Empirical Mode Decomposition and Pre-Trained Convolutional Neural Networks. Sensors, 25(15), 4869. https://doi.org/10.3390/s25154869

