Experimental Investigation on the High-frequency Pressure Oscillation Characteristics of a Combustion Process in a DI Diesel Engine
Abstract
1. Introduction
2. Experimental Setup and Working conditions
3. Signal Processing Methods
3.1. AGST Time-Frequency Analysis Method
3.2. TVF-EMD Method
3.3. Experimental Study Using EEMD and Original TVD-EMD
3.4. Cyclic Average TVF-EMD Method
3.5. Adaptive Cyclic Average TVF-EMD Method
3.6. Evaluation Indexes Definition
4. Parametric Study and Discussion of High-frequency Pressure Oscillation
4.1. Influence of Engine Speed on High-frequency Pressure Oscillation
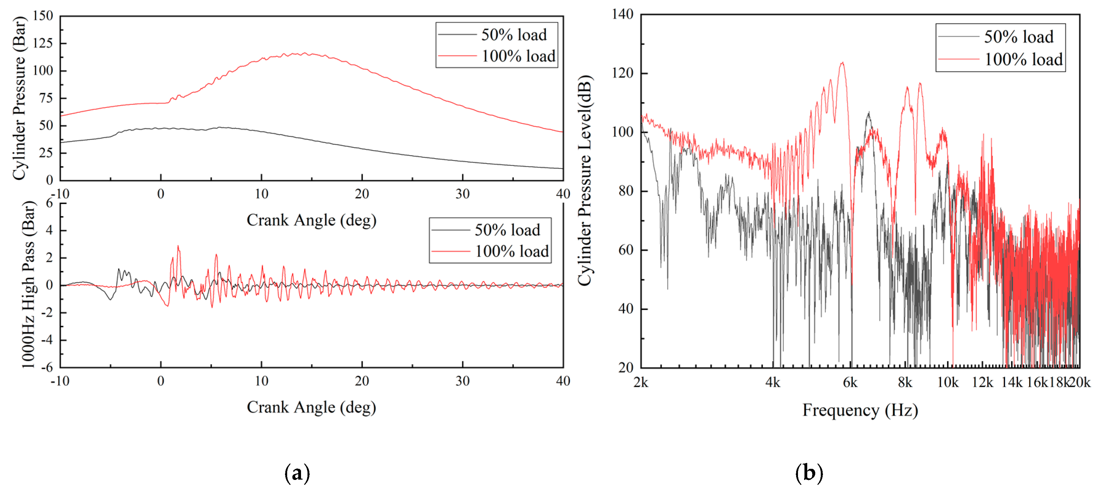
4.2. Influence of Load on High-frequency Pressure Oscillation
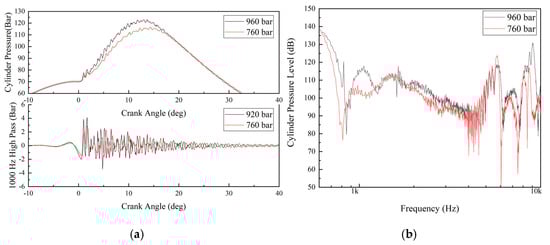
4.3. Influence of Rail Pressure on High-frequency Pressure Oscillation
4.4. Influence of Fuel Injection Parameters on High-frequency Pressure Oscillation
5. Remarks
6. Conclusion
- An adaptive cyclic average TVF-EMD is proposed to decompose the in-cylinder pressure and extract the high-frequency oscillation adaptively, and the decomposition process and the way to determine the adaptive cyclic number are discussed systematically. The proposed method is verified to be more effective and reliable for decomposing the in-cylinder signal compared to the other methods such as EEMD and original TVF-EMD.
- Based on the proposed method, three evaluation indexes, which are center frequency, normalized frequency, average center frequency, are defined to investigate the influences of different working parameters on the frequency and energy of in-cylinder pressure oscillation quantitatively.
- The working speed has great influence on the in-cylinder oscillation. As the speed increases, the dominant oscillation energy will move to the low-frequency range. The average oscillation center frequency rises first, and then rapidly decreases after reaching a peak at medium-high speed. The normalized energy trend of the oscillation also rises first and then falls, reaching a peak at medium-high speed.
- The frequency and energy characteristics of high-frequency cylinder oscillation are related to the load and rail pressure. As the load and rail pressure increase, the pressure oscillation energy will increase significantly, and the dominant oscillation components will also move to high-frequency range.
- The influences of main injection timing, pilot injection interval and pilot injection quantity on high-frequency pressure oscillation are non-monotonic. However, as the main injection timing and pilot injection interval increase, the lowest normalized oscillation energy will occur with the lowest average frequency center, which are middle angle in this case respectively. In addition, affected by factors such as emissions, the adjustment range for pilot injection quantity is small, and its influence on high-frequency pressure oscillation is little.
- Based on the proposed method, the frequency and energy of the in-cylinder pressure oscillation in each combustion stage can be effectively reduced by reasonable adjustment of working parameters. Therefore, by establishing the statistical relationship between the high-frequency in-cylinder oscillation and the sound quality of the engine, it is possible to rationally design the diesel engine with good sound quality performance.
Author Contributions
Funding
Acknowledgments
Conflicts of Interest
References
- Agudelo, A.F.; García-Contreras, R.; Agudelo, J.R.; Armas, O. Potential for exhaust gas energy recovery in a diesel passenger car under European driving cycle. Appl. Energy 2016, 174, 201–212. [Google Scholar] [CrossRef]
- Zhang, B.; Jiaqiang, E.; Gong, J.; Yuan, W.; Zuo, W.; Li, Y.; Fu, J. Multidisciplinary design optimization of the diesel particulate filter in the composite regeneration process. Appl. Energy 2016, 181, 14–28. [Google Scholar] [CrossRef]
- Wei, H.; Yao, C.; Pan, W.; Han, G.; Dou, Z.; Wu, T.; Liu, M.; Gao, J.; Chen, C.; Shi, J. To meet the demand of Euro V emission legislation urea free for HD diesel engine with DMCC. Fuel 2017, 207, 33–46. [Google Scholar] [CrossRef]
- Park, J.; Choi, J. Optimization of dual-loop exhaust gas recirculation splitting for a light-duty diesel engine with model-based control. Appl. Energy 2016, 181, 268–277. [Google Scholar] [CrossRef]
- Köten, H.; Parlakyiğit, A.S. Effects of the diesel engine parameters on the ignition delay. Fuel 2018, 216, 23–28. [Google Scholar] [CrossRef]
- Thangaraja, J.; Kannan, C. Effect of exhaust gas recirculation on advanced diesel combustion and alternate fuels - a review. Appl. Energy 2016, 180, 169–184. [Google Scholar] [CrossRef]
- Xiao, B.; Wang, W.; Zhang, X.; Long, G.; Fan, J.; Chen, H.; Deng, L. A novel fractal solution for permeability and Kozeny-Carman constant of fibrous porous media made up of solid particles and porous fibers. Powder. Technol. 2019, 349, 92–98. [Google Scholar] [CrossRef]
- Xiao, B.; Zhang, X.; Jiang, G.; Long, G.; Wang, W.; Zhang, Y.; Liu, G. Kozeny–carman constant for gas flow through fibrous porous media by fractal-monte carlo simulations. Fractals 2019, 27, 1950062. [Google Scholar] [CrossRef]
- Long, G.; Liu, S.; Xiao, B. A Perforation-Erosion Model for Hydraulic-Fracturing Applications. SPE Prod. Oper. 2018, 33, 770–783. [Google Scholar] [CrossRef]
- Liang, M.; Liu, Y.; Xiao, B.; Yang, S.; Wang, Z.; Han, H. An analytical model for the transverse permeability of gas diffusion layer with electrical double layer effects in proton exchange membrane fuel cells. Int. J. Hydrogen Energy 2018, 43, 17880–17888. [Google Scholar] [CrossRef]
- Zhang, Q.H.; Hao, Z.Y.; Zheng, X.; Yang, W.Y.; Mao, J. Mechanism and optimization of fuel injection parameters on combustion noise of DI diesel engine. J. Cent. South Univ. 2016, 23, 379–393. [Google Scholar] [CrossRef]
- JunKim, H.; Park, S.H.; Lee, C.S. Impact of fuel spray angles and injection timing on the combustion and emission characteristics of a high-speed diesel engine. Energy 2016, 107, 572–579. [Google Scholar]
- Kim, G.; Moon, S.; Lee, S.; Min, K. Numerical Analysis of the Combustion and Emission Characteristics of Diesel Engines with Multiple Injection Strategies Using a Modified 2-D Flamelet Model. Energies 2017, 10, 1292. [Google Scholar] [CrossRef]
- Torregrosa, A.J.; Broatch, A.; Gil, A.; Gomez-Soriano, J. Numerical approach for assessing combustion noise in compression-ignited Diesel engines. Appl. Acoust. 2018, 135, 91–100. [Google Scholar] [CrossRef]
- Broatch, A.; Lopez, J.J.; García-Tíscar, J.; Gomez-Soriano, J. Experimental Analysis of Cyclical Dispersion in Compression-Ignited Versus Spark-Ignited Engines and Its Significance for Combustion Noise Numerical Modeling. J. Eng. Gas Turbines Power 2018, 140, 102808. [Google Scholar] [CrossRef]
- Torregrosa, A.J.; Broatch, A.; Martín, J.; Monelletta, L. Combustion noise level assessment in direct injection diesel engines by means of in-cylinder pressure components. Meas. Sci. Technol. 2007, 18, 2131–2142. [Google Scholar] [CrossRef]
- Luján, J.M.; Guardiola, C.; Pla, B.; Bares, P. Estimation of trapped mass by in-cylinder pressure resonance in HCCI engines. Mech. Syst. Signal Process. 2016, 66, 862–874. [Google Scholar] [CrossRef]
- Diéguez, P.M.; Urroz, J.C.; Sáinz, D.; Machin, J.; Arana, M.; Gandía, L.M. Characterization of combustion anomalies in a hydrogen-fueled 1.4 L commercial spark-ignition engine by means of in-cylinder pressure, block engine vibration, and acoustic measurements. Energy Convers. Manag. 2018, 172, 67–80. [Google Scholar] [CrossRef]
- Payri, F.; Broatch, A.; Tormos, B.; Marant, V. New methodology for in-cylinder pressure analysis in direct injection diesel engines–application to combustion noise. Meas. Sci. Technol. 2005, 16, 5407. [Google Scholar] [CrossRef]
- Zhang, Q.; Hao, Z.; Zheng, X.; Yang, W. Characteristics and effect factors of pressure oscillation in multi-injection DI diesel engine at high-load conditions. Appl. Energy 2017, 195, 52–66. [Google Scholar] [CrossRef]
- Kyrtatos, P.; Hoyer, K.; Obrecht, P. Apparent effects of in-cylinder pressure oscillations and cycle-to-cycle variability on heat release rate and soot concentration under long ignition delay conditions in diesel engines. Int. J. Engine Res. 2014, 15, 325–337. [Google Scholar] [CrossRef]
- Kyrtatos, P.; Brückner, C.; Boulouchos, K. Cycle-to-cycle variations in diesel engines. Appl. Energy 2016, 171, 120–132. [Google Scholar] [CrossRef]
- Kyrtatos, P.; Brückner, C.; Boulouchos, K. Determination of the resonance response in an engine cylinder with a bowl-in-piston geometry by the finite element method for inferring the trapped mass. Int. J. Engine Res. 2016, 17, 534–542. [Google Scholar]
- Giancarlo, C.; Ornella, C.; Fulvio, P.; Andrea, P. Diagnostic methodology for internal combustion diesel engines via noise radiation. Energy Convers. Manag. 2015, 89, 34–42. [Google Scholar]
- Siavoshani, S.; Vesikar, P.B.; Pentis, D.; Ippili, R. Separation of Combustion and Mechanical Noise Using Wiener Filter. SAE Tech. Paper 2017. [Google Scholar] [CrossRef]
- Badawy, T.; Shrestha, A.; Henein, N. Detection of combustion resonance using anion current sensor in diesel engines. J. Eng. Gas Turbines Power. 2012, 132, 052802. [Google Scholar] [CrossRef]
- Albarbar, A.; Gu, F.; Ball, A.D. Diesel engine fuel injection monitoring using acoustic measurements and independent component analysis. Measurement 2010, 43, 1376–1386. [Google Scholar] [CrossRef]
- Hou, J.; Qiao, X.; Wang, Z.; Liu, W.; Huang, Z. Characterization of knocking combustion in HCCIDME engine using wavelet packet transform. Appl. Energy 2010, 87, 1239–1246. [Google Scholar] [CrossRef]
- Shi, L.; Deng, K.; Cui, Y.; Qu, S.; Hu, W. Study on knocking combustion in a diesel HCCI engine with fuel injection in negative valve overlap. Fuel 2013, 106, 478–483. [Google Scholar] [CrossRef]
- Wei, H.; Wei, J.; Shu, G. Calculation on cylinder pressure fluctuation by using the wave equation in the KIVA program. Chin. J. Mech. Eng. 2012, 25, 362–369. [Google Scholar] [CrossRef]
- Nishad, K.; Ries, F.; Li, Y.; Sadiki, A. Numerical Investigation of Flow through a Valve during Charge Intake in a DISI -Engine Using LargeEddy Simulation. Energies 2019, 12, 2620. [Google Scholar] [CrossRef]
- Huang, N.E.; Shen, Z.; Long, S.R.; Wu, M.C.; Shih, H.H.; Zheng, Q.; Yen, N.C.; Tung, C.C.; Liu, H.H. The empirical mode decomposition and the Hilbert spectrum for nonlinear and non-stationary time series analysis. Proc. R. Soc. Lond. A 1998, 454, 903–995. [Google Scholar] [CrossRef]
- Bi, F.; Ma, T.; Xu, W. Development of a novel knock characteristic detection method for gasoline engines based on wavelet-denoising and EMD decomposition. Mech. Syst. Signal Process. 2019, 117, 517–536. [Google Scholar] [CrossRef]
- Sankar kumar Roy, A.R. Mohanty.Use of rotary optical encoder for firing detection in a spark ignition engine. Measurement 2017, 98, 60–67. [Google Scholar]
- Fengrong, B.; Xin, L.; Chunchao, L.; Congfeng, T.; Teng, M.; Xiao, Y. Knock detection based on the optimized variational mode decomposition. Measurement 2019, 140, 1–13. [Google Scholar]
- Heng, L.; Zhi, L.; Wei, M. A time-varying filter approach for empirical mode decomposition. Signal Process 2017, 138, 146–158. [Google Scholar]
- Zhang, X.; Liu, Z.; Miao, Q.; Wang, L. An optimized time-varying filtering based empirical mode decomposition method with grey wolf optimizer for machinery fault diagnosis. J. Sound Vib. 2018, 418, 55–78. [Google Scholar] [CrossRef]
- Xu, Y.; Cai, Z.; Ding, K. An enhanced bearing fault diagnosis method based on TVF-EMD and a high-order energy operator. Meas. Sci. Technol. 2018, 29, 095108. [Google Scholar] [CrossRef]
- Stockwell, R.G.; Mansinha, L.; Lowe, R.P. Localization of the complex spectrum: The S transform. IEEE Trans. Signal Process. 1996, 44, 998–1001. [Google Scholar] [CrossRef]

























| Parameters | Value | Parameters | Value |
|---|---|---|---|
| Displacement, L | 2.2 | Cooling and Intake mode | Water and Turbocharged |
| Cylinder bore, mm | 86 | Maximum Torque, N*m | 285 |
| Compression ratio | 16.5 | Rated power, kW | 80 |
| Number of cylinders | 4 | Rated Speed, r/min | 3200 |
| Speed(r/min) | Load (%) | Fuel Injection Parameters | |||
|---|---|---|---|---|---|
| RP (bar) | MIT (°CA) | PII (°CA) | PIQ (mg) | ||
| 1200 | 0 | 960 | 5.5 | 10 | 2.0 |
| 50 | |||||
| 100 | |||||
| 100 | 960–760 | ||||
| 960 | 3–7.5 | ||||
| 5.5 | 6–18 | ||||
| 10 | 1.75–3.75 | ||||
| 1400 | 100 | 980 | 7 | 11 | 2.0 |
| 1600 | 1100 | 6.5 | 12 | ||
| 1800 | 1105 | 2 | 13 | ||
| 2000 | 1120 | 3.5 | 13.5 | ||
| Parameter | Value |
|---|---|
| CPU Series Model | Intel ® Xeon® Gold 6148 |
| Multi-core number of CPU’s | 20 |
| CPU Clock Speed | 24.0 GHz |
| Memory Capacity | 128 GB |
| Number of CPU | 2 |
| Working Condition | Center Frequency (Hz) | Normalized Energy (%) | Average Center Frequency (Hz) |
|---|---|---|---|
| 1400 r/min full load | 11,013 | 96.10 | 10,841 |
| 6755 | 3.90 |
| Speed | Center Frequency (Hz) | Normalized Energy (%) | Average Center Frequency (Hz) | Normalized Energy (%) |
|---|---|---|---|---|
| 1200 r/min full load | 6520 | 59.73 | 7231 | 71.22 |
| 8700 | 36.94 | |||
| 11,140 | 1.33 | |||
| 1600 r/min full load | 6820 | 23.51 | 10,370 | 100.00 |
| 9580 | 14.22 | |||
| 10,810 | 58.26 | |||
| 2000 r/min full load | 5710 | 87.81 | 5760 | 30.62 |
| 8740 | 5.52 | |||
| 11,140 | 0.67 |
| Load (%) | Center Frequency (Hz) | Normalized Energy (%) | Average Center Frequency (Hz) | Normalized Energy (%) |
|---|---|---|---|---|
| 100 | 7010 | 14.61 | 9860 | 100.00 |
| 8800 | 38.99 | |||
| 10,440 | 41.30 | |||
| 50 | 6340 | 81.22 | 6380 | 2.12 |
| 9140 | 7.64 | |||
| 11,050 | 3.64 |
| Rail Pressure (bar) | Center Frequency (Hz) | Normalized Energy (%) | Average Center Frequency (Hz) | Normalized Energy (%) |
|---|---|---|---|---|
| 960 | 6820 | 23.52 | 10,370 | 100.00 |
| 9580 | 14.21 | |||
| 10,810 | 58.27 | |||
| 760 | 6780 | 52.23 | 7050 | 48.83 |
| 9610 | 22.01 | |||
| 10,480 | 21.76 |
© 2020 by the authors. Licensee MDPI, Basel, Switzerland. This article is an open access article distributed under the terms and conditions of the Creative Commons Attribution (CC BY) license (http://creativecommons.org/licenses/by/4.0/).
Share and Cite
Zheng, X.; Zhou, N.; Zhou, Q.; Qiu, Y.; Liu, R.; Hao, Z. Experimental Investigation on the High-frequency Pressure Oscillation Characteristics of a Combustion Process in a DI Diesel Engine. Energies 2020, 13, 871. https://doi.org/10.3390/en13040871
Zheng X, Zhou N, Zhou Q, Qiu Y, Liu R, Hao Z. Experimental Investigation on the High-frequency Pressure Oscillation Characteristics of a Combustion Process in a DI Diesel Engine. Energies. 2020; 13(4):871. https://doi.org/10.3390/en13040871
Chicago/Turabian StyleZheng, Xu, Nan Zhou, Quan Zhou, Yi Qiu, Ruijun Liu, and Zhiyong Hao. 2020. "Experimental Investigation on the High-frequency Pressure Oscillation Characteristics of a Combustion Process in a DI Diesel Engine" Energies 13, no. 4: 871. https://doi.org/10.3390/en13040871
APA StyleZheng, X., Zhou, N., Zhou, Q., Qiu, Y., Liu, R., & Hao, Z. (2020). Experimental Investigation on the High-frequency Pressure Oscillation Characteristics of a Combustion Process in a DI Diesel Engine. Energies, 13(4), 871. https://doi.org/10.3390/en13040871

