Sign in to use this feature.

Years

Between: -

Subjects

remove_circle_outline
remove_circle_outline
remove_circle_outline
remove_circle_outline
remove_circle_outline
remove_circle_outline
remove_circle_outline
remove_circle_outline
remove_circle_outline

Journals

remove_circle_outline
remove_circle_outline
remove_circle_outline
remove_circle_outline
remove_circle_outline
remove_circle_outline
remove_circle_outline
remove_circle_outline
remove_circle_outline
remove_circle_outline
remove_circle_outline
remove_circle_outline
remove_circle_outline
remove_circle_outline
remove_circle_outline
remove_circle_outline
remove_circle_outline
remove_circle_outline
remove_circle_outline
remove_circle_outline
remove_circle_outline
remove_circle_outline
remove_circle_outline
remove_circle_outline

Article Types

Countries / Regions

remove_circle_outline
remove_circle_outline
remove_circle_outline
remove_circle_outline
remove_circle_outline
remove_circle_outline

Search Results (1,413)

Search Parameters:
Keywords = time-varying capacity

Order results
Result details
Results per page
Select all
Export citation of selected articles as:
21 pages, 3113 KB  
Article
Redundantly Actuated Hydraulic Shaking Tables via Dual-Loop Fuzzy Control
by Mingliang Yang, Jiangjiang Zhang, Xijun Xu, Heng Yang, Qing Dong and Keyuan Zhao
Appl. Sci. 2026, 16(3), 1505; https://doi.org/10.3390/app16031505 - 2 Feb 2026
Abstract
The vertical actuation of multi-axis seismic simulators usually requires a redundant parallel scheme for high load capacity. Due to geometric over-constraints, the internal force coupling and the nonlinear hysteresis are high; thus, waveform reproduction quality and structural fatigue may result. A displacement–force dual [...] Read more.
The vertical actuation of multi-axis seismic simulators usually requires a redundant parallel scheme for high load capacity. Due to geometric over-constraints, the internal force coupling and the nonlinear hysteresis are high; thus, waveform reproduction quality and structural fatigue may result. A displacement–force dual closed loop cooperative control mechanism can address these problems. First, a real-time kinematic model is developed to overcome the platform pose via actuator extension, and second, a dynamic force balance loop is introduced to actively redistribute the load components. In addition, a fuzzy PID controller is incorporated to optimize gain scheduling online, compensating for hydraulic nonlinearities and time-varying structural parameters. In the experiment on a 3 × 3 m 6-DOF shaking table, the presented method performs very favorably compared to traditional methods. Under broadband random excitation, the THD of acceleration waveform drops from 15.2% (single-loop control) to 3.2%, and the internal momentum oscillation amplitude is suppressed by over 70%. The results show that our proposed method eliminates internal force dependence while maintaining high precision trajectory tracking for seismic simulation. Full article
(This article belongs to the Section Mechanical Engineering)
Show Figures

Figure 1

18 pages, 2901 KB  
Article
Human-Centric Digital Twins for Spatial Sustainability: A Procedural VR Framework for Calibrating Agent-Based Evacuation Models in Diverse Urban Morphologies
by Duygu Kalkanlı, Seda Kundak, Funda Atun and Cees J. van Westen
Sustainability 2026, 18(3), 1482; https://doi.org/10.3390/su18031482 - 2 Feb 2026
Abstract
Urban sustainability is increasingly defined by the resilience of the built environment against hazards. While Agent-Based Models (ABMs) are commonly used to simulate these dynamics, their predictive capacity is often limited by a lack of empirical behavioral data. This study addresses this gap [...] Read more.
Urban sustainability is increasingly defined by the resilience of the built environment against hazards. While Agent-Based Models (ABMs) are commonly used to simulate these dynamics, their predictive capacity is often limited by a lack of empirical behavioral data. This study addresses this gap by introducing a Human-Centric Digital Twin framework that integrates procedural generation with immersive Virtual Reality (VR) to quantify ‘spatial sustainability’, defined as the capacity of an urban form to support life safety without compromising its morphological identity. In this framework, VR serves as a controlled environment for observing navigation under stress, while procedural generation creates structurally distinct urban morphologies (orthogonal vs. organic) to enable universal calibration. The approach was validated through evacuation experiments with 37 participants under varying visibility conditions. Results reveal that while performance was similar in daylight, significant behavioral divergence emerged at night; the organic layout (Type A) exhibited greater variability and longer evacuation times compared to the orthogonal grid (Type B). These findings confirm that spatial configuration dictates resilience when sensory inputs degrade. Consequently, this study offers a transferable, data-independent protocol for measuring and monitoring urban resilience in data-scarce environments. Full article
Show Figures

Figure 1

21 pages, 575 KB  
Systematic Review
Ensuring Safe Newborn Delivery Through Standards: A Scoping Review of Technologies Aligned with Healthcare Accreditation and Regulatory Frameworks
by Abdallah Alsuhaimi and Khalid Saad Alkhurayji
Healthcare 2026, 14(3), 377; https://doi.org/10.3390/healthcare14030377 - 2 Feb 2026
Abstract
Background/Objectives: Safe delivery and correct identification of newborns are critical aspects of healthcare systems globally. The accreditation of healthcare and standards regulation significantly promotes the adoption of modern technologies to address risks related to infant abduction and misidentification. The effectiveness and extent of [...] Read more.
Background/Objectives: Safe delivery and correct identification of newborns are critical aspects of healthcare systems globally. The accreditation of healthcare and standards regulation significantly promotes the adoption of modern technologies to address risks related to infant abduction and misidentification. The effectiveness and extent of these mandates vary across settings and countries. Therefore, this study aims to map and explore modern technologies used for safe newborn delivery and correct identification aligned with healthcare accreditation and regulatory frameworks. Methods: This review adheres to the Preferred Reporting Items for Systematic Review and Meta-Analysis extension for scoping reviews (PRISMA-ScR) guidelines. The Problem, Intervention, Comparison, and Outcome (PICO) framework was employed to facilitate the development of the research question. This study examined studies reporting technologies such as radio frequency identification (RFID), biometric identification, and real-time monitoring across healthcare settings for infant protection through the Normalization Process Theory (NPT). Among three databases and search engines (PubMed, Google Scholar, and Web of Science). The risk of bias for each study was assessed using the AACODS Checklist, SQUIRE 2.0 Checklist, TIDieR Checklist, and JBI tools. Results: Out of 8753 records, only 27 reports were eligible to be included in this review. The most frequently reported technologies were RFID systems (11 studies, 37.9%) and biometric systems such as footprint and facial recognition (6 studies, 20.7%). Despite strong technological potential, many healthcare institutions struggled with the adoption of infant protection technologies. Accreditation systems among the high-resource settings actively mandate advanced technologies and support the integration of staff training and simulation drills. Comparably, middle- and low-income regions usually face challenges related to regulatory enforcement, infrastructure, staff readiness, and limited adoption of modern technologies. Conclusions: Accreditation and standards development are critical catalysts for the adoption of modern infant protection technology. Standards must be comprehensible, adaptable, and supported by investment in human resources and infrastructure. Future regulation must focus on strengthening enforcement, continuous quality improvement, and capacity building to achieve sustainable protection across the world. Full article
12 pages, 328 KB  
Article
Birth Weight-Dependent Regional Disparities in 28-Day and 1-Year Survival of Preterm Infants: Seoul Capital Area vs. Non-Capital Regions, South Korea, 2002–2021
by Ji-Sook Kim, Jong-Yeon Kim and Hyeong-taek Woo
Children 2026, 13(2), 217; https://doi.org/10.3390/children13020217 - 2 Feb 2026
Abstract
Background/Objectives: Regional disparities in neonatal care capacity may have a disproportionate impact on the smallest and most vulnerable infants. In South Korea, where specialized perinatal resources are concentrated in the Seoul Capital Area (Seoul, Gyeonggi, and Incheon), it remains unclear how these [...] Read more.
Background/Objectives: Regional disparities in neonatal care capacity may have a disproportionate impact on the smallest and most vulnerable infants. In South Korea, where specialized perinatal resources are concentrated in the Seoul Capital Area (Seoul, Gyeonggi, and Incheon), it remains unclear how these disparities vary by birth weight and time since birth. Methods: We conducted a nationwide, population-based cohort study of preterm infants (<37 weeks gestation) born between 2002 and 2021 using the Korean National Health Insurance Service database. Residential address at birth classified infants into Seoul Capital Area or regions outside the Seoul Capital Area. We examined 28-day and one-year all-cause mortality using multivariable logistic regression, adjusting for sex, birth weight category, early transfer, medical aid status, maternal age, and antenatal visits. Birth weight-stratified analyses assessed effect modification. Major morbidities were evaluated with multivariable Cox models. Results: Among 204,245 preterm infants, those residing outside the Seoul Capital Area had higher adjusted odds of mortality at both 28 days (odds ratio 1.46; 95% confidence interval [CI], 1.30–1.64) and one year (odds ratio 1.25; 95% CI, 1.17–1.34) than those residing in the Seoul Capital Area. Disparities were minimal in infants ≥2500 g but increased progressively in lower birth weight strata, peaking among extremely low birth weight infants (<1000 g) (28-day odds ratio 1.67; 95% CI, 1.40–1.97; one-year odds ratio 1.54; 95% CI, 1.37–1.73). Conclusions: Regional survival disparities among preterm infants in South Korea widen with decreasing birth weight, underscoring the need for targeted neonatal care and post-discharge support in underserved regions. Full article
(This article belongs to the Section Pediatric Neonatology)
Show Figures

Figure 1

22 pages, 858 KB  
Article
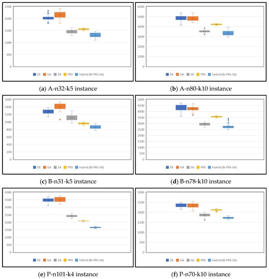
A Hybrid Optimization Algorithm for Enhancing Transportation and Logistics Scheduling in IoT-Enabled Supply Chains
by Alaa Abdalqahar Jihad, Ahmed Subhi Abdalkafor, Esam Taha Yassen and Omar A. Aldhaibani
Sensors 2026, 26(3), 932; https://doi.org/10.3390/s26030932 - 1 Feb 2026
Viewed by 102
Abstract
IoT-integrated supply chains play an important role in managing the movement of products and distribution, which relies on the processing of real-time data gathered using sensors and IoT-connected vehicles to make informed decisions that reduce logistical expenses. However, the optimization of transportation and [...] Read more.
IoT-integrated supply chains play an important role in managing the movement of products and distribution, which relies on the processing of real-time data gathered using sensors and IoT-connected vehicles to make informed decisions that reduce logistical expenses. However, the optimization of transportation and logistics scheduling is still one of the most difficult tasks, which requires balancing demand and vehicle capacity, as well as delivery time in varying circumstances. This research assesses the performance capabilities and utility of four optimization algorithms, differential evolution (DE), a genetic algorithm (GA), simulated annealing (SA), and prism refraction search (PRS), which are applicable in IoT-integrated logistical processes. Notably, on the basis of the unique characteristics possessed by the four algorithms, a combination approach referred to as Bidirectional PRS-SA Optimization (Bi-PRS-SA) was formulated. This method ideally exploits the strengths of global and local searches within the search space. Furthermore, the research aims to discuss the proposed conceptual framework for integrating the proposed strategy into an overall IoT framework that would initiate dynamic supply chain management through the adaptation of the proposed strategy. Results show that the proposed strategy is better than the existing strategies of DE, GAs, SA, and PRS in terms of an overall range of 15–25%. Statistical validation via the Wilcoxon signed-rank test confirms these improvements are significant (p < 0.05). The findings suggest that the Bi-PRS-SA framework offers a robust and scalable solution for real-time logistics management in IoT-enabled environments. Full article
(This article belongs to the Special Issue Next-Generation IoT Ecosystems: Methods, Challenges and Prospects)
Show Figures

Figure 1

16 pages, 2427 KB  
Article
Fabrication of Activated Carbon@NiFe-Layered Double Hydroxides/Polyether Sulfone Nanocomposite Beads for the Adsorptive Removal of Trace Cadmium (Cd2+) and Lead (Pb2+) from Wastewater
by Raphael N. Biata, Tshimangadzo S. Munonde, Denga Ramutshatsha-Makhwedzha and Edward N. Nxumalo
J. Compos. Sci. 2026, 10(2), 68; https://doi.org/10.3390/jcs10020068 - 30 Jan 2026
Viewed by 83
Abstract
The removal of toxic trace metals such as cadmium (Cd2+) and lead (Pb2+) from wastewater is critical due to their persistence, bioaccumulation, and adverse health effects. In this study, a novel composite adsorbent was synthesized by integrating activated carbon [...] Read more.
The removal of toxic trace metals such as cadmium (Cd2+) and lead (Pb2+) from wastewater is critical due to their persistence, bioaccumulation, and adverse health effects. In this study, a novel composite adsorbent was synthesized by integrating activated carbon with nickel–iron-layered double hydroxides (NiFe-LDH) and immobilizing the resulting nanocomposite within Polyether sulfone (PES) beads to improve stability, handling, and recyclability. The material was evaluated under varying pH, initial metal concentration, and contact time conditions. The adsorption behavior was investigated using four isotherm models and two kinetic models. The composite beads exhibited maximum adsorption capacities of 1.784 mg g−1 for Cd2+ and 5.882 mg g−1 for Pb2+. The Cd2+ adsorption followed the Langmuir isotherm model (R2 = 0.995), indicating a homogeneous monolayer adsorption, whereas Pb2+ adsorption was best described by the Freundlich model (R2 = 0.955), suggesting heterogeneous surface interactions and multiple binding sites. The kinetic analysis showed that the adsorption of both metals followed a pseudo-second-order model, supporting chemisorption as the dominant rate-controlling mechanism. The AC@NiFe-LDH/PES beads demonstrated high efficiency, structural integrity, and ease of recovery over multiple cycles, highlighting their potential as a sustainable and environmentally friendly adsorbent for trace metal removal from contaminated water. Full article
(This article belongs to the Section Nanocomposites)
Show Figures

Figure 1

30 pages, 1693 KB  
Review
Ecohydrological Pathways of Water Quality Under Climate Change: Nature-Based Solutions for Pollutant Flux Regulation
by Marcin H. Kudzin, Zdzisława Mrozińska, Monika Sikora and Renata Żyłła
Water 2026, 18(3), 347; https://doi.org/10.3390/w18030347 - 30 Jan 2026
Viewed by 170
Abstract
Climate change is steadily reshaping hydrological regimes, and one of its clearest consequences is the growing disruption of the biogeochemical pathways that govern water quality across river basins. More frequent high-intensity rainfall events, prolonged dry spells, and shifts in seasonal runoff patterns are [...] Read more.
Climate change is steadily reshaping hydrological regimes, and one of its clearest consequences is the growing disruption of the biogeochemical pathways that govern water quality across river basins. More frequent high-intensity rainfall events, prolonged dry spells, and shifts in seasonal runoff patterns are altering the timing and magnitude of nutrient, organic matter, sediment, and contaminant fluxes. These pulses of material often originate from short-lived episodes of enhanced connectivity between soils, groundwater, and surface waters, making water-quality responses more variable and harder to anticipate than in previous decades. This review describes the ecohydrological mechanisms underlying these changes, focusing on threshold behaviors, the functioning of transitional zones such as riparian corridors and floodplains, and the cumulative effects of legacy pollution. We also discuss the capacity of nature-based solutions (NbS) to buffer climatic pressures. Although NbS can improve retention and moderate peak flows, their performance proves highly sensitive to hydrological variability and landscape context. In the final part, we describe tools that can strengthen adaptive water-quality management, including high-frequency monitoring, event-focused early-warning systems, and modeling approaches that integrate hydrology with biogeochemical processing. This article addresses ecohydrological pathways for water quality under climate change and presents nature-based solutions for regulating pollutant flows within a general framework. Data from North America and Europe, among other areas, are used as primary examples. However, it is important to remember that the issues and proposed solutions vary depending on landscape conditions and climatic zones, which vary across the globe. This article provides an overview of the most common solutions. Full article
(This article belongs to the Section Ecohydrology)
Show Figures

Figure 1

24 pages, 2049 KB  
Article
Study on the Need for Preconditioning of Li-Ion Batteries in Electric Vehicles
by Rajmond Jano, Adelina Ioana Ilies and Vlad Bande
World Electr. Veh. J. 2026, 17(2), 61; https://doi.org/10.3390/wevj17020061 - 29 Jan 2026
Viewed by 187
Abstract
Lithium-ion batteries are widely used in portable devices and electronic vehicles (EVs) due to their excellent performance. Because of their internal chemistry, these batteries have non-linear characteristics, their parameters being dependent on temperature and varying over time due to aging. Since electric vehicles [...] Read more.
Lithium-ion batteries are widely used in portable devices and electronic vehicles (EVs) due to their excellent performance. Because of their internal chemistry, these batteries have non-linear characteristics, their parameters being dependent on temperature and varying over time due to aging. Since electric vehicles are marketed in different regions of the globe with different climates, this has led to increased attention to the problem of the reduced performance of EVs in colder environments. The purpose of this research is to study the effects of preconditioning on Li-ion cells and determine the need for preconditioning in EVs that operate under low-temperature conditions. Additionally, based on the results, alternative coping strategies are also suggested which can be used instead of preconditioning when this is not a viable option. Given this, the 18650 Li-ion cells studied were divided into two categories, cells to be charged/discharged permanently at low temperatures and cells that were to be exposed to the same low temperatures but then preconditioned to ambient temperature before the charge/discharge cycle for a total of 100 performed cycles. It was observed that low temperatures have a direct negative impact on the usable capacity of the cells, accounting for a drop of 8% of the initial value. These effects can be completely negated by preconditioning the cells prior to charging/discharging. After that, the effects of medium-term storage on the capacity of the batteries were investigated to study the possible recovery in the capacity of the cells. Finally, the need for preconditioning the cells is analyzed and alternative methods to mitigate the issues are suggested for equipment where preconditioning is not possible. Full article
(This article belongs to the Section Storage Systems)
Show Figures

Figure 1

20 pages, 9147 KB  
Article
Model Test Study on Group Under-Reamed Anchors Under Cyclic Loading
by Chen Chen, Zhe Liu and Junchao Yang
Buildings 2026, 16(3), 540; https://doi.org/10.3390/buildings16030540 - 28 Jan 2026
Viewed by 126
Abstract
This study conducted laboratory model tests, integrated with Particle Image Velocimetry (PIV) technology, to investigate the evolution of the uplift bearing capacity of an under-reamed anchor group subjected to cyclic loading. The tests considered various working conditions, including different spacing ratios (S [...] Read more.
This study conducted laboratory model tests, integrated with Particle Image Velocimetry (PIV) technology, to investigate the evolution of the uplift bearing capacity of an under-reamed anchor group subjected to cyclic loading. The tests considered various working conditions, including different spacing ratios (S/D = 4, 5, 6, where S was the center-to-center spacing and D was the diameter of the under-reamed body), varying cyclic amplitude ratios (λ = 0.3, 0.5, 0.6, 0.7, 0.8) and different cycle times (M = 1, 5, 10, 30). PIV was utilized to observe the displacement field of the surrounding soil, revealing the group effect of the anchors and the variation in their uplift capacity under diverse cyclic amplitudes and cyclic times. The results indicated that the load–displacement curves could be delineated into three distinct stages: elastic, elastoplastic, and plastic. Notably, the group effect primarily initiated during the elastoplastic stage and developed significantly within the plastic stage. The cyclic amplitude ratio was identified as a key factor influencing the uplift capacity. Furthermore, compared to results from single pull-out tests, both the vertical displacement of the surrounding soil and the shear strength of the sidewall adjacent to the under-reamed body decreased following cyclic loading. Finally, the influence of the cyclic times depended on the occurrence of anchor failure; in the absence of failure, the anchor maintained satisfactory performance even after multiple cycles. Full article
(This article belongs to the Special Issue Advanced Applications of AI-Driven Structural Control)
Show Figures

Figure 1

19 pages, 888 KB  
Review
Environmental Constraints and Resilience of Organisms in Abyssal Plain, Whale Fall, Cold Seep and Hydrothermal Vent Environments in the Deep Sea
by Esha Nauman and Richard A. Lutz
Oceans 2026, 7(1), 10; https://doi.org/10.3390/oceans7010010 - 28 Jan 2026
Viewed by 264
Abstract
The deep sea is often depicted as a barren environment. Using the abyssal plain as a baseline system characterized by high pressure, extreme nutrient limitation, and slow growth rates, this review contrasts these conditions with specialized habitats that serve as oases of life [...] Read more.
The deep sea is often depicted as a barren environment. Using the abyssal plain as a baseline system characterized by high pressure, extreme nutrient limitation, and slow growth rates, this review contrasts these conditions with specialized habitats that serve as oases of life such as whale falls, cold seeps, and hydrothermal vents. These environments retain the high-pressure characteristic of deep-sea habitats, but other unique environmental factors select for organisms with distinct life-history strategies and growth rates. This review examines the environmental constraints, organism physiological adaptations, and life-history strategies that define each habitat. Through synthesizing these factors, we identify patterns that influence not only growth and succession, but broader ecosystem vulnerability and resilience, defined here as the capacity of these communities to recover from disturbance. By evaluating how biological traits contribute to resilience across the four habitats in response to specific environmental constraints, this comparative framework identifies trade-offs between growth specialization and habitat stability. Understanding these environmental factors is critical in evaluating the resilience of these habitats to growing anthropogenic disturbances and determining future directions of study. This review concludes that while hydrostatic pressure and temperature impose fundamental metabolic constraints, nutrient availability and habitat stability are the primary determinants of organismal growth rates and life-history strategies. In the context of each ecosystem, both these variables can play a large role in the ability and time to recover from disturbance and may be good indicators of resilience at both a community and an organismal level. Consequently, slow-growing, long-lived fauna may possess far lower intrinsic resilience to anthropogenic disturbance compared to rapidly growing organisms with shorter life histories. Varying resilience of these habitats may necessitate habitat-specific strategies for assessment and protection. Full article
Show Figures

Figure 1

24 pages, 6919 KB  
Article
Synthesis and Characterization of Cellulose and IPN (Cellulose/PVA) Hydrogels and Their Application in Dye Retention
by Meriem Mihoub, Salah Hamri, Marcel Popa, Camelia Elena Tincu (Iurciuc), Tewfik Bouchaour, Lamia Bedjaoui-Alachaher, Usman Abubakar Katsina and Mutawakkil Muhammad
Polymers 2026, 18(3), 346; https://doi.org/10.3390/polym18030346 - 28 Jan 2026
Viewed by 157
Abstract
The discharge of dye-contaminated effluents from textile industries into water bodies poses a severe threat to aquatic ecosystems and human health. To address this challenge, cellulose and interpenetrating polymer network (IPN) hydrogels based on cellulose and poly(vinyl alcohol) (PVA) were developed via an [...] Read more.
The discharge of dye-contaminated effluents from textile industries into water bodies poses a severe threat to aquatic ecosystems and human health. To address this challenge, cellulose and interpenetrating polymer network (IPN) hydrogels based on cellulose and poly(vinyl alcohol) (PVA) were developed via an in situ synthesis method. The cellulose solution was obtained by cold dissolving the polysaccharide in NaOH, then dissolving PVA. The IPN hydrogels were obtained by co-cross-linking the two polymers in an alkaline medium using ECH. To optimize the hydrogels, synthesis parameters like time (4–7 h), temperature (50–80 °C), and cross-linking ratio (ECH = 50–125% w/w) were varied. Different hydrogel compositions (Cel/PVA = 90/10 to 60/40 w/w) were tested for their absorption efficiency in removing Tubantin Blue (DB 78) dye under varying initial concentrations and temperatures. Hydrogels exhibit varying adsorption capacities for DB78, depending on their IPN composition, synthesis parameters, and dye concentration. Specifically, IPN adsorption capacity ranges from 8.8 to 38.1 mg DB78/g hydrogel (7.5–36.2% efficiency). At high effluent concentrations, IPN can reach a retention capacity of 217.7 mg/g, achieving a retention efficiency of 58.4%. Cellulose and cellulose/PVA IPN hydrogels show promise as sustainable adsorbents for treating dye-contaminated wastewater. Full article
Show Figures

Figure 1

32 pages, 4940 KB  
Article
Seasonality and Development Trends of Seasonal Lifestyle Tourism on Tropical Islands: A Case Study of Hainan, China
by Chenyang Wang, Wenzheng Yu, Xin Yao, Caixia Liu and Furqan Asif
Sustainability 2026, 18(3), 1263; https://doi.org/10.3390/su18031263 - 27 Jan 2026
Viewed by 126
Abstract
The rise in seasonal lifestyle tourism, characterized by winter-escape health and wellness stays and long-term leisure residence, has intensified peak–off-peak imbalances and pressures on the allocation of tourism service supply in tropical island destinations. However, existing research lacks a systematic comparison of seasonal [...] Read more.
The rise in seasonal lifestyle tourism, characterized by winter-escape health and wellness stays and long-term leisure residence, has intensified peak–off-peak imbalances and pressures on the allocation of tourism service supply in tropical island destinations. However, existing research lacks a systematic comparison of seasonal fluctuations and long-term evolution for this subgroup at the city/county level. Therefore, this study aims to characterize the seasonal pattern, long-term trend features, and typological differentiation of seasonal lifestyle tourism at the county level, and to compare differences across types. Using monthly data on seasonal lifestyle tourism for 18 cities/counties in Hainan from 2021 to 2024, we apply TRAMO/SEATS decomposition to identify seasonal structures and measure seasonal amplitude and employ the Hodrick–Prescott (HP) filter to extract trend components and determine their directions of change. We further construct five development types by integrating trend categories and changes in seasonal amplitude and test between-type differences using one-way analysis of variance (ANOVA). Results show that Hainan exhibits a stable “winter–spring peak and summer–autumn trough” pattern (peaks concentrated in January–March and December, with the off-season typically spanning May–October), with strong seasonality and pronounced spatial heterogeneity. The four-year mean seasonal range at the county level is 215.01, with high values clustered in southern Hainan; Haikou remains relatively low, while Wenchang shows an upward trend. Long-term trends are clearly differentiated: 13 counties show sustained growth, 2 show decline, and 3 display a U-shaped recovery (decline followed by rebound). Growth rates also vary substantially, with Qionghai increasing at roughly 27 times the rate of Qiongzhong. Integrating seasonal and trend characteristics yields five types, of which the Robust Development type accounts for the largest share (50%). Between-type differences are mainly reflected in tourism service supply capacity: the number of star-rated hotels (p = 0.033, η2 = 0.530) and overnight visitors (p = 0.004, η2 = 0.676) differ significantly across types, whereas differences in natural-environment conditions are not significant. This study provides a scientific basis for zoning management and optimizing low-season strategies in Hainan. Full article
(This article belongs to the Section Economic and Business Aspects of Sustainability)
Show Figures

Figure 1

21 pages, 2575 KB  
Article
Coordinated Capacity Configuration Method for Distributed Resources of Virtual Power Plants Considering Time-Varying Power Coupling
by Lili Yao, Kaixin Zhao, Jun Shen, Liangwu Xu and Lingxiang Shen
Energies 2026, 19(3), 614; https://doi.org/10.3390/en19030614 - 24 Jan 2026
Viewed by 210
Abstract
This paper proposes a coordinated capacity configuration method for Virtual Power Plant (VPP) distributed resources that considers time-varying power coupling. The method addresses the inadequate economic efficiency and reliability of existing configuration schemes, which stems from insufficient attention to the time-varying power coupling [...] Read more.
This paper proposes a coordinated capacity configuration method for Virtual Power Plant (VPP) distributed resources that considers time-varying power coupling. The method addresses the inadequate economic efficiency and reliability of existing configuration schemes, which stems from insufficient attention to the time-varying power coupling characteristics of Distributed Energy Resources (DERs). Firstly, we define the concepts of direct and indirect power coupling among DERs, derive a Lagrange multiplier-based coupling coefficient model, and realize the quantification of time-varying coupling coefficients through sliding time window correlation analysis (STWCA). Next, a capacity correlation matrix integrating technical and economic synergies is constructed to map coupling characteristics to capacity configuration. Then, a coordinated configuration model with time-varying coupling constraints is established to minimize life-cycle cost and maximize power supply reliability, validated by case simulation. The results demonstrate that the proposed method effectively reduces VPP operation cost and improves resource utilization and reliability, providing theoretical support for the scientific configuration of DERs in VPPs. Full article
(This article belongs to the Special Issue Recent Progress in Virtual Power Plants)
Show Figures

Figure 1

26 pages, 942 KB  
Article
Institutional Quality, ESG Performance, and Aggressive Tax Planning in Developing Countries
by Marwan Mansour and Mohammed Alomair
Sustainability 2026, 18(2), 1126; https://doi.org/10.3390/su18021126 - 22 Jan 2026
Viewed by 181
Abstract
Aggressive corporate tax avoidance represents a significant fiscal and governance challenge in developing economies, where public revenues are critical for sustainable development and enforcement capacity is often uneven. This study examines whether environmental, social, and governance (ESG) performance constrains corporate tax avoidance and [...] Read more.
Aggressive corporate tax avoidance represents a significant fiscal and governance challenge in developing economies, where public revenues are critical for sustainable development and enforcement capacity is often uneven. This study examines whether environmental, social, and governance (ESG) performance constrains corporate tax avoidance and whether this relationship is conditioned by national institutional quality. Using a multi-country panel of 2464 publicly listed non-financial firms from 14 developing economies over the period 2015–2023, the analysis employs fixed-effects estimation, dynamic System GMM, and instrumental-variable (2SLS) techniques to address unobserved heterogeneity and endogeneity concerns. The results indicate that stronger ESG performance is associated with significantly lower levels of tax avoidance; however, this effect is highly contingent on institutional quality. ESG exerts a substantive disciplining role primarily in governance-strong environments characterized by effective regulation and credible enforcement. Heterogeneity analyses further reveal that the ESG–tax avoidance relationship is driven mainly by the governance and environmental pillars, is more pronounced among large firms, varies across regions, and strengthens over time as ESG frameworks mature. In contrast, the social ESG dimension and smaller firms exhibit weaker or insignificant effects, consistent with symbolic compliance in low-enforcement settings. By integrating stakeholder, legitimacy, agency, and institutional theories, this study advances a context-sensitive understanding of ESG effectiveness and helps reconcile mixed findings in the existing literature. The findings offer policy-relevant insights for regulators and tax authorities seeking to strengthen fiscal discipline and development financing in developing economies. Full article
Show Figures

Figure 1

33 pages, 609 KB  
Article
Green Innovation in the Manufacturing Industry: A Longitudinal Approach
by Antonio García-Sánchez, José Molero and Ruth Rama
Sustainability 2026, 18(2), 1055; https://doi.org/10.3390/su18021055 - 20 Jan 2026
Viewed by 165
Abstract
Despite substantial growth in eco-innovation (EI) research, most studies rely on cross-sectional data, limiting understanding of the temporal dynamics of EI and its determinants under varying macroeconomic conditions. This study addresses this gap by analysing panel data from Spanish manufacturing firms across three [...] Read more.
Despite substantial growth in eco-innovation (EI) research, most studies rely on cross-sectional data, limiting understanding of the temporal dynamics of EI and its determinants under varying macroeconomic conditions. This study addresses this gap by analysing panel data from Spanish manufacturing firms across three phases of the business cycle: pre-crisis expansion (2004–2007), the global financial crisis (2008–2013), and recovery (2014–2016). We investigate the drivers of two distinct types of eco-innovation: efficiency EI (energy and material savings) and environmental EI (reducing environmental harm), focusing on the role of regulation, institutional interventions, and firm-level innovation capacities. Using a random-effects panel probit model that accounts for unobserved firm heterogeneity, we examine how these drivers operate across different macroeconomic contexts. Our findings reveal that regulation consistently fosters EI, while the influence of subsidies, R&D capacity, and collaborative networks is more context-dependent, particularly during economic downturns. The results highlight the cumulative, path-dependent, and cyclical nature of EI, providing novel insights into the conditions that enable firms to sustain green innovation over time. Drivers of eco-innovation differ systematically between efficiency- and environment-oriented strategies, and these differences remain stable over the business cycle, implying distinct underlying mechanisms and policy implications. Accordingly, policy design—particularly during economic downturns—should distinguish between reinforcing incentives for internal efficiency improvements and sustaining regulatory and financial support for environmental EI. Full article
(This article belongs to the Section Economic and Business Aspects of Sustainability)
Show Figures

Figure A1

Back to TopTop