Sign in to use this feature.

Years

Between: -

Subjects

remove_circle_outline
remove_circle_outline
remove_circle_outline
remove_circle_outline
remove_circle_outline
remove_circle_outline
remove_circle_outline
remove_circle_outline
remove_circle_outline

Journals

remove_circle_outline
remove_circle_outline
remove_circle_outline
remove_circle_outline
remove_circle_outline

Article Types

Countries / Regions

remove_circle_outline
remove_circle_outline
remove_circle_outline
remove_circle_outline

Search Results (266)

Search Parameters:
Keywords = three-step iteration methods

Order results
Result details
Results per page
Select all
Export citation of selected articles as:
53 pages, 2913 KB  
Article
SORA 2.5-Guided BVLOS UAS for Wildlife Conservation in Kenya: Reducing Friction Between Safety and Field Operations
by Guy Maalouf, Thomas Stuart Richardson, David Roy Guerin, Matthew Watson, Ulrik Pagh Schultz Lundquist, Blair R. Costelloe, Elzbieta Pastucha, Saadia Afridi, Edouard George Alain Rolland, Kilian Meier, Jes Hundevadt Jepsen, Thomas van der Sterren, Lucie Laporte-Devylder, Camille Rondeau Saint-Jean, Constanza Andrea Molina Catricheo, Vandita Shukla, Elena Iannino, Jenna Kline, Dat Nguyen Ngoc, William Njoroge and Kjeld Jensenadd Show full author list remove Hide full author list
Drones 2026, 10(3), 178; https://doi.org/10.3390/drones10030178 - 5 Mar 2026
Viewed by 574
Abstract
Safe Beyond Visual Line of Sight (BVLOS) operations are increasingly required for wildlife monitoring and conservation, yet existing regulatory frameworks are rarely tailored to protected areas characterised by low population density and limited infrastructure. This paper presents a field-based use case illustrating how [...] Read more.
Safe Beyond Visual Line of Sight (BVLOS) operations are increasingly required for wildlife monitoring and conservation, yet existing regulatory frameworks are rarely tailored to protected areas characterised by low population density and limited infrastructure. This paper presents a field-based use case illustrating how the Specific Operations Risk Assessment (SORA) methodology can be applied to conservation-oriented BVLOS missions under Kenyan airspace conditions, including coordination within military-controlled airspace. We evaluate three population-density estimation approaches (qualitative, bottom-up, and top-down) against available ground truth, and compare tabulated and analytical SORA methods for deriving the Ground Risk Class. The work illustrates how SORA 2.5 structures ground and air risk reasoning in a conservation context, while retrospective review identifies limitations in containment, Operational Safety Objectives, and tactical mitigation performance requirements. Field trials involved five concurrent teams and 30 personnel conducting over 260 flights and more than 60 h of UAS activity across the Ol Pejeta Conservancy, providing insights into multi-team coordination under field conditions. Field implementation revealed areas of misalignment between prescribed safety requirements and operational realities, prompting iterative adaptation of workflows and procedures. Observed outcomes included reductions in team size (25–50%) and procedural steps (18%), derived from retrospective comparison of field procedures. A lightweight Uncrewed Traffic Management prototype was also trialled, revealing practical limitations in conservancy environments. Finally, we present a ten-step framework for developing field-ready safety procedures to support risk-informed decision-making in non-standard operational contexts. The findings provide empirically grounded guidance on applying SORA principles to conservation UAS missions, without proposing a new risk framework or generalised operational model. Full article
(This article belongs to the Special Issue UAVs for Nature Conservation Tasks in Complex Environments)
Show Figures

Figure 1

18 pages, 405 KB  
Article
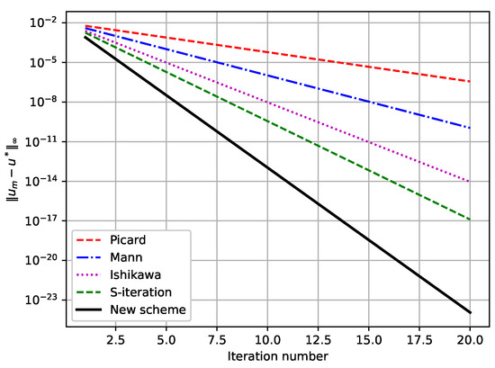
Accelerated Fixed-Point Approximation for Contraction Mappings with Applications to Fractional Models
by Doaa Filali, Esmail Alshaban, Bassam Z. Albalawi, Fahad M. Alamrani, Adel Alatawi and Faizan Ahmad Khan
Fractal Fract. 2026, 10(3), 143; https://doi.org/10.3390/fractalfract10030143 - 25 Feb 2026
Viewed by 274
Abstract
In this paper, we develop an accelerated three-step iterative scheme for the approximation of fixed points of contraction mappings in Banach spaces, with a particular focus on applications to fractional models. Strong convergence of the proposed iteration is established under standard contraction assumptions, [...] Read more.
In this paper, we develop an accelerated three-step iterative scheme for the approximation of fixed points of contraction mappings in Banach spaces, with a particular focus on applications to fractional models. Strong convergence of the proposed iteration is established under standard contraction assumptions, together with stability and data dependence results. A refined rate of convergence analysis shows that the new scheme achieves a smaller effective contraction factor and converges faster than several classical two- and three-step iterative methods, including the Picard, Mann, Ishikawa, and S-iteration processes. The theoretical results are applied to Caputo-type fractional differential equations by reformulating the associated boundary value problems as fixed-point equations. Existence and uniqueness of solutions follow from the Banach contraction principle, while the accelerated convergence of the proposed iteration leads to improved numerical efficiency. Extensive numerical experiments, including fractional differential equations and nonlinear contraction mappings on the real line, are presented to validate the theoretical findings. The results demonstrate that the proposed three-step iteration provides an effective and reliable computational tool for fractional and non-local models. Full article
Show Figures

Figure 1

21 pages, 2598 KB  
Article
AG2: Attention-Guided Dynamic Adaptation for Adversarial Attacks in Computer Vision
by Jie Tian and Vladimir Y. Mariano
Algorithms 2026, 19(2), 159; https://doi.org/10.3390/a19020159 - 18 Feb 2026
Viewed by 275
Abstract
Deep neural networks (DNNs) have achieved remarkable success in computer vision yet remain vulnerable to adversarial examples. Existing attacks typically distribute perturbations uniformly across the input, without leveraging the model’s internal attention mechanism, and fail to adapt to model responses. To tackle these [...] Read more.
Deep neural networks (DNNs) have achieved remarkable success in computer vision yet remain vulnerable to adversarial examples. Existing attacks typically distribute perturbations uniformly across the input, without leveraging the model’s internal attention mechanism, and fail to adapt to model responses. To tackle these limitations, we propose AG2 (Attention-Guided Adversarial Sample Generation), an adversarial attack algorithm that uses dynamically updated attention maps to guide perturbation placement and a dynamic feedback mechanism for adaptive optimization. AG2 comprises three steps: feature extraction and attention-weight computation, iterative optimization of perturbations guided by attention maps, and adjustment of optimization parameters based on attention shifts. By concentrating perturbations in regions receiving high attention from the victim model, AG2 improves attack effectiveness while preserving visual imperceptibility. The dynamic feedback mechanism further maintains robustness against defended models such as those trained with defensive distillation. Experiments on MNIST, CIFAR-10, and ImageNet show that AG2 achieves attack success rates of 93.7%, 93.5%, and 85.0%, respectively, outperforming prior methods. Moreover, AG2 exhibits strong cross-architecture transferability, achieving a 69.5% success rate on Vision Transformers, which is higher than the previous method’s 55.3% by 14.2%. Theoretical analysis provides convergence guarantees and stability bounds for the proposed attention-guided optimization. Full article
Show Figures

Figure 1

21 pages, 4781 KB  
Article
A Spatially Distributed Perturbation Strategy with Smoothed Gradient Sign Method for Adversarial Analysis of Image Classification Systems
by Yanwei Xu, Jun Li, Dajun Chang and Yuanfang Dong
Entropy 2026, 28(2), 193; https://doi.org/10.3390/e28020193 - 9 Feb 2026
Viewed by 385
Abstract
As deep learning models are increasingly embedded as critical components within complex socio-technical systems, understanding and evaluating their systemic robustness against adversarial perturbations has become a fundamental concern for system safety and reliability. Deep neural networks (DNNs) are highly effective in visual recognition [...] Read more.
As deep learning models are increasingly embedded as critical components within complex socio-technical systems, understanding and evaluating their systemic robustness against adversarial perturbations has become a fundamental concern for system safety and reliability. Deep neural networks (DNNs) are highly effective in visual recognition tasks but remain vulnerable to adversarial perturbations, which can compromise their reliability in safety-critical applications. Existing attack methods often distribute perturbations uniformly across the input, ignoring the spatial heterogeneity of model sensitivity. In this work, we propose the Spatially Distributed Perturbation Strategy with Smoothed Gradient Sign Method (SD-SGSM), a adversarial attack framework that exploits decision-dependent regions to maximize attack effectiveness while minimizing perceptual distortion. SD-SGSM integrates three key components: (i) decision-dependent domain identification to localize critical features using a deterministic zero-out operator; (ii) spatially adaptive perturbation allocation to concentrate attack energy on sensitive regions while constraining background disturbance; and (iii) gradient smoothing via a hyperbolic tangent transformation to enable fine-grained and continuous perturbation updates. Extensive experiments on CIFAR-10 demonstrate that SD-SGSM achieves near-perfect attack success rates (ASR 99.9%) while substantially reducing 2 distortion and preserving high structural similarity (SSIM 0.947), outperforming both single-step and momentum-based iterative attacks. Ablation studies further confirm that spatial distribution and gradient smoothing act as complementary mechanisms, jointly enhancing attack potency and visual fidelity. These findings underscore the importance of spatially aware, decision-dependent adversarial strategies for system-level robustness assessment and the secure design of AI-enabled systems. Full article
Show Figures

Figure 1

39 pages, 2558 KB  
Article
An Enhanced Projection-Iterative-Methods-Based Optimizer for Complex Constrained Engineering Design Problems
by Xuemei Zhu, Han Peng, Haoyu Cai, Yu Liu, Shirong Li and Wei Peng
Computation 2026, 14(2), 45; https://doi.org/10.3390/computation14020045 - 6 Feb 2026
Viewed by 333
Abstract
This paper proposes an Enhanced Projection-Iterative-Methods-based Optimizer (EPIMO) to overcome the limitations of its predecessor, the Projection-Iterative-Methods-based Optimizer (PIMO), including deterministic parameter decay, insufficient diversity maintenance, and static exploration–exploitation balance. The enhancements incorporate three core strategies: (1) an adaptive decay strategy that introduces [...] Read more.
This paper proposes an Enhanced Projection-Iterative-Methods-based Optimizer (EPIMO) to overcome the limitations of its predecessor, the Projection-Iterative-Methods-based Optimizer (PIMO), including deterministic parameter decay, insufficient diversity maintenance, and static exploration–exploitation balance. The enhancements incorporate three core strategies: (1) an adaptive decay strategy that introduces stochastic perturbations into the step-size evolution; (2) a mirror opposition-based learning strategy to actively inject structured population diversity; and (3) an adaptive adjustment mechanism for the Lévy flight parameter β to enable phase-sensitive optimization behavior. The effectiveness of EPIMO is validated through a multi-stage experimental framework. Systematic evaluations on the CEC 2017 and CEC 2022 benchmark suites, alongside four classical engineering optimization problems (Himmelblau function, step-cone pulley design, hydrostatic thrust bearing design, and three-bar truss design), demonstrate its comprehensive superiority. The Wilcoxon rank-sum test confirms statistically significant performance improvements over its predecessor (PIMO) and a range of state-of-the-art and classical algorithms. EPIMO exhibits exceptional performance in convergence accuracy, stability, robustness, and constraint-handling capability, establishing it as a highly reliable and efficient metaheuristic optimizer. This research contributes a systematic, adaptive enhancement framework for projection-based metaheuristics, which can be generalized to improve other swarm intelligence systems when facing complex, constrained, and high-dimensional engineering optimization tasks. Full article
(This article belongs to the Section Computational Engineering)
Show Figures

Figure 1

13 pages, 704 KB  
Article
Clinical Practice Guide for Integrating Diabetes-Specific Nutritional Formulas into Diabetes Care: Evidence Review and Expert Consensus
by Shanshan Lin, Gary Deed, Chee Khoo, Giuliana Murfet, Alan Winston Barclay, Glen Maberly, Anna Blackie, Wenbo Peng and Sofianos Andrikopoulos
Diabetology 2026, 7(2), 24; https://doi.org/10.3390/diabetology7020024 - 1 Feb 2026
Viewed by 1784
Abstract
Background/Objectives: Achieving a balanced wholefood diet while stabilising glycaemic management is challenging for many people with type 2 diabetes (T2D) due to barriers such as food preparation skills, time, and medication effects. Diabetes-specific nutritional formulas (DSNFs) are nutritionally complete products designed to [...] Read more.
Background/Objectives: Achieving a balanced wholefood diet while stabilising glycaemic management is challenging for many people with type 2 diabetes (T2D) due to barriers such as food preparation skills, time, and medication effects. Diabetes-specific nutritional formulas (DSNFs) are nutritionally complete products designed to support glycaemic management and overall nutritional adequacy and may complement wholefood dietary approaches when these are not feasible or are insufficient. Despite growing clinical evidence of efficacy, practical guidance for routine use is limited. Methods: A multidisciplinary expert working group developed a Clinical Practice Guide (CPG) for integrating DSNFs into diabetes care. Development was informed by a literature review and iterative consensus among experts, including representatives of the Australian Diabetes Society, Australian Diabetes Educators Association, and the Royal Australian College of General Practitioners. Results: The CPG outlines a three-step pathway: (1) assess suitability (clinical indications, contraindications, preferences, cultural context); (2) tailor the approach (individual goals, dose/timing relative to weight and body composition goals and observed glycaemic patterns, integration with lifestyle care); and (3) monitor progress (baseline, 2–4 weeks to assess initial response, then 3, 6, and 12 months for glycaemic indices, weight/body composition where available, and medication review). Conclusions: This CPG provides practical, multidisciplinary guidance for the person-centred use of DSNFs as an adjunct to standard care, supporting translation of current evidence into clinical practice and promoting consistent, multidisciplinary implementation. Full article
Show Figures

Figure 1

17 pages, 2632 KB  
Article
Three-Dimensional Borehole–Surface TEM Forward Modeling with a Time-Parallel Method
by Sihao Wang, Hui Cao and Ruolong Ma
Appl. Sci. 2026, 16(3), 1161; https://doi.org/10.3390/app16031161 - 23 Jan 2026
Viewed by 231
Abstract
The three-dimensional borehole-to-surface transient electromagnetic (BSTEM) method plays a critical role in resolving subsurface conductivity structures under complex geological conditions. However, its application is often constrained by the high computational costs associated with large-scale simulations and fine temporal resolution. In this study, a [...] Read more.
The three-dimensional borehole-to-surface transient electromagnetic (BSTEM) method plays a critical role in resolving subsurface conductivity structures under complex geological conditions. However, its application is often constrained by the high computational costs associated with large-scale simulations and fine temporal resolution. In this study, a time-parallel forward modeling strategy is employed by integrating the finite volume method (FVM) with the Multigrid Reduction-in-Time (MGRIT) algorithm. Maxwell’s equations are discretized in space using unstructured octree meshes, while the MGRIT algorithm enables parallelism along the time axis through coarse–fine temporal grid hierarchy and multilevel iterative correction. Numerical experiments on synthetic and field-scale models demonstrate that the MGRIT-based solver significantly reduces computational time compared to conventional direct solvers, particularly when a large number of processors are utilized. In a field-scale hematite mine model, the MGRIT-based solver reduces the total runtime by more than 40% while maintaining numerical accuracy. The method exhibits parallel scalability and is especially advantageous in problems involving a large number of time channels, where simultaneous time-step updates offer substantial performance gains. These results confirm the effectiveness and robustness of the proposed approach for large-scale 3D TEM simulations under complex conditions and provide a practical foundation for future applications in high-resolution electromagnetic modeling and imaging. Full article
(This article belongs to the Special Issue Exploration Geophysics and Seismic Surveying)
Show Figures

Figure 1

28 pages, 10210 KB  
Article
Black-Winged Kite Algorithm Integrating Opposition-Based Learning and Quasi-Newton Strategy
by Ning Zhao, Tinghua Wang and Yating Zhu
Biomimetics 2026, 11(1), 68; https://doi.org/10.3390/biomimetics11010068 - 14 Jan 2026
Viewed by 487
Abstract
To address the deficiencies in global search capability and population diversity decline of the black-winged kite algorithm (BKA), this paper proposes an enhanced black-winged kite algorithm integrating opposition-based learning and quasi-Newton strategy (OQBKA). The algorithm introduces a mirror imaging strategy based on convex [...] Read more.
To address the deficiencies in global search capability and population diversity decline of the black-winged kite algorithm (BKA), this paper proposes an enhanced black-winged kite algorithm integrating opposition-based learning and quasi-Newton strategy (OQBKA). The algorithm introduces a mirror imaging strategy based on convex lens imaging (MOBL) during the migration phase to enhance the population’s spatial distribution and assist individuals in escaping local optima. In later iterations, it incorporates the quasi-Newton method to enhance local optimization precision and convergence performance. Ablation studies on the CEC2017 benchmark set confirm the strong complementarity between the two integrated strategies, with OQBKA achieving an average ranking of 1.34 across all 29 test functions. Comparative experiments on the CEC2022 benchmark suite further verify its superior exploration–exploitation balance and optimization accuracy: under 10- and 20-dimensional settings, OQBKA attains the best average rankings of 2.5 and 2.17 across all 12 test functions, outperforming ten state-of-the-art metaheuristic algorithms. Moreover, evaluations on three constrained engineering design problems, including step-cone pulley optimization, corrugated bulkhead design, and reactor network design, demonstrate the practicality and robustness of the proposed approach in generating feasible solutions under complex constraints. Full article
(This article belongs to the Section Biological Optimisation and Management)
Show Figures

Figure 1

29 pages, 7036 KB  
Article
Iterative Requirements-Driven Business Process Modeling and Verification with Large Language Models
by Heng Xie, Feng Ni, Jiang Liu, Rui Fu and Yubo Dou
Appl. Sci. 2026, 16(1), 518; https://doi.org/10.3390/app16010518 - 4 Jan 2026
Viewed by 540
Abstract
Contemporary business process modeling lacks a systematic framework for converting unstructured requirements into structured models. Traditional manual approaches fail to support integrated lifecycle management from requirements elicitation to iterative model refinement. The gap severely limits the efficiency and accuracy of the alignment between [...] Read more.
Contemporary business process modeling lacks a systematic framework for converting unstructured requirements into structured models. Traditional manual approaches fail to support integrated lifecycle management from requirements elicitation to iterative model refinement. The gap severely limits the efficiency and accuracy of the alignment between requirements and business process modeling and often leads to costly rework and implementation errors in complex software projects. Therefore, this paper aims to establish a coherent modeling framework from requirements extraction to business process model verification. The framework maintains the traceability and consistency of the unstructured requirements through three tasks: (1) automatic generation of a structured requirements model from textual input to a set of designed prompts of hyperparameter-optimized large language models (LLMs); (2) establishment of a modeling routine to handle the iterative requirements via two sets of formalized mapping rules, a merging algorithm, and a toolkit; (3) detection of the obtained CBPMN model by a static flow error verification algorithm and reachability verification using CPN tools 4.0. A total of 15 sets of comparative experiments with three state-of-the-art automated modeling approaches demonstrate the superiority of our method in generating higher-quality requirements models, while an additional case study with two-step verification proves its validity. Full article
Show Figures

Figure 1

27 pages, 5186 KB  
Article
Improvement of Barzilai and Borwein Gradient Method Based on Neutrosophic Logic System with Application in Image Restoration
by Predrag S. Stanimirović, Branislav D. Ivanov, Marko Miladinović and Dragiša Stanujkić
Axioms 2026, 15(1), 11; https://doi.org/10.3390/axioms15010011 - 25 Dec 2025
Viewed by 380
Abstract
An upgrade to the quasi-Newton (QN) family of methods for solving unconstrained optimization problems is proposed. This research focuses on a detailed investigation of the Barzilai and Borwein (BB) gradient methods. The upgrade involves the use of neutrosophic logic to determine an additional [...] Read more.
An upgrade to the quasi-Newton (QN) family of methods for solving unconstrained optimization problems is proposed. This research focuses on a detailed investigation of the Barzilai and Borwein (BB) gradient methods. The upgrade involves the use of neutrosophic logic to determine an additional parameter that will be incorporated into an appropriate step size for the BB iterations. Unlike previous research, which incorporated neutrosophic concepts into gradient methods by using only two objective-function values to calculate the input parameter during the neutrophication phase, this study determines the input parameter using three consecutive objective-function values. The main idea is to use appropriately defined membership functions to perform neutrosophication and de-neutrosophication. The set of if–then rules is based on two or more successive values of the objective function. This strategy also directly influences the design of the newly proposed method. Numerical comparisons demonstrate superior performance of the proposed methods with respect to Dolan–Moré performance profiles including the number of iterations, central processing unit (CPU) time, and number of function evaluations. Furthermore, experimental results confirm that the proposed algorithms can be effectively applied to image restoration tasks, particularly for image denoising, where they achieve competitive reconstruction quality and stable convergence behavior. Full article
(This article belongs to the Section Mathematical Analysis)
Show Figures

Figure 1

11 pages, 868 KB  
Technical Note
A Monte Carlo Simulation Algorithm to Assess Rollout Feasibility in Stepped-Wedge Trials: A Case Study of National CPR Training Kiosk Deployment
by Robert Ohle and Sarah McIsaac
Algorithms 2025, 18(12), 747; https://doi.org/10.3390/a18120747 - 28 Nov 2025
Viewed by 539
Abstract
Background: Stepped-wedge cluster randomized trials (SW-CRTs) are increasingly used to evaluate population-level interventions, but trial validity depends on timely cluster transitions. Rollout feasibility is often assumed rather than modelled. In the context of a planned national trial of CPR training kiosks, we developed [...] Read more.
Background: Stepped-wedge cluster randomized trials (SW-CRTs) are increasingly used to evaluate population-level interventions, but trial validity depends on timely cluster transitions. Rollout feasibility is often assumed rather than modelled. In the context of a planned national trial of CPR training kiosks, we developed a Monte Carlo simulation algorithm to quantify logistical feasibility under uncertainty. Methods: A stochastic Monte Carlo algorithm was implemented to simulate deploying 100 CPR kiosks across eight Canadian cities under four team structures. Inputs included productivity (0.8–1.2 kiosks/day), disruption probabilities (weather, venue access, technical failure, staff illness, transport delays), and cost parameters (salaries, per diems, travel). Each scenario was simulated across 3000 iterations. Outputs included per-city feasibility (p ≤ 60 days), total project duration, and risk–cost trade-offs. Results: Single-team strategies required 9–10 months for full rollout, with winter-exposed cities such as Halifax and Charlottetown having up to 30% probability of exceeding 60 days. Two-team strategies halved rollout time (4–5 months) and achieved >95% on-time rollout across cities. Adding a third onsite staff member reduced risk by 5–15% with modest additional cost (~CAD 1500–2000 per city). Risk–cost analysis identified two teams with three staff as the most reliable strategy. Conclusions: Monte Carlo simulation provides a practical framework for assessing rollout feasibility in SW-CRTs. Applied to CPR kiosk deployment, it highlights the importance of staffing, seasonality, and city-level context. The approach is generalizable to other national interventions requiring phased rollout under uncertainty. Full article
Show Figures

Figure 1

37 pages, 10934 KB  
Article
Research on the Optimization of Uncertain Multi-Stage Production Integrated Decisions Based on an Improved Grey Wolf Optimizer
by Weifei Gan, Xin Zhou, Wangyu Wu and Chang-An Xu
Biomimetics 2025, 10(11), 775; https://doi.org/10.3390/biomimetics10110775 - 15 Nov 2025
Cited by 2 | Viewed by 680
Abstract
Defect-rate uncertainty creates cascading operational challenges in multi-stage production, often driving inefficiency and misallocation of labor, materials, and capacity. To confront this, we develop a multi-stage Production Integrated Decision (MsPID) framework that unifies quality inspection and shop-floor decision-making within a single computational model. [...] Read more.
Defect-rate uncertainty creates cascading operational challenges in multi-stage production, often driving inefficiency and misallocation of labor, materials, and capacity. To confront this, we develop a multi-stage Production Integrated Decision (MsPID) framework that unifies quality inspection and shop-floor decision-making within a single computational model. The framework couples a two-stage sampling inspection policy—used to statistically learn and control defect-rate uncertainty via estimation and rejection rules—with a multi-process, multi-part production decision model. Optimization is carried out with an Improved Grey Wolf Optimizer (IGWO) enhanced with Latin hypercube sampling (LHS) for uniformly diverse initialization; an evolutionary factor mechanism that blends simulated binary crossover (SBX) among three leadership-guided parents (Alpha, Beta, Delta) to strengthen global exploration in early iterations and focus exploitation later; and a greedy, mutation-assisted opposition learning step applied to the lowest-performing quartile of the population to effect leader-informed local refinement and accept only fitness-improving moves. Experiments show the method identifies minimum-cost policies across six single-stage benchmark cases and yields a total profit of 43,800 units in a representative multi-stage scenario, demonstrating strong performance in uncertain environments. Sensitivity analysis further clarifies how recommended decisions adapt to shifts in estimated defect rates, finished product prices, and swap/changeover losses. These results highlight how bio-inspired intelligence can enable adaptive, efficient, and resilient integrated production management at scale. Full article
(This article belongs to the Section Biological Optimisation and Management)
Show Figures

Figure 1

22 pages, 2736 KB  
Article
Radar Foot Gesture Recognition with Hybrid Pruned Lightweight Deep Models
by Eungang Son, Seungeon Song, Bong-Seok Kim, Sangdong Kim and Jonghun Lee
Signals 2025, 6(4), 66; https://doi.org/10.3390/signals6040066 - 13 Nov 2025
Viewed by 877
Abstract
Foot gesture recognition using a continuous-wave (CW) radar requires implementation on edge hardware with strict latency and memory budgets. Existing structured and unstructured pruning pipelines rely on iterative training–pruning–retraining cycles, increasing search costs and making them significantly time-consuming. We propose a NAS-guided bisection [...] Read more.
Foot gesture recognition using a continuous-wave (CW) radar requires implementation on edge hardware with strict latency and memory budgets. Existing structured and unstructured pruning pipelines rely on iterative training–pruning–retraining cycles, increasing search costs and making them significantly time-consuming. We propose a NAS-guided bisection hybrid pruning framework on foot gesture recognition from a continuous-wave (CW) radar, which employs a weighted shared supernet encompassing both block and channel options. The method consists of three major steps. In the bisection-guided NAS structured pruning stage, the algorithm identifies the minimum number of retained blocks—or equivalently, the maximum achievable sparsity—that satisfies the target accuracy under specified FLOPs and latency constraints. Next, during the hybrid compression phase, a global L1 percentile-based unstructured pruning and channel repacking are applied to further reduce memory usage. Finally, in the low-cost decision protocol stage, each pruning decision is evaluated using short fine-tuning (1–3 epochs) and partial validation (10–30% of dataset) to avoid repeated full retraining. We further provide a unified theory for hybrid pruning—formulating a resource-aware objective, a logit-perturbation invariance bound for unstructured pruning/INT8/repacking, a Hoeffding-based bisection decision margin, and a compression (code-length) generalization bound—explaining when the compressed models match baseline accuracy while meeting edge budgets. Radar return signals are processed with a short-time Fourier transform (STFT) to generate unique time–frequency spectrograms for each gesture (kick, swing, slide, tap). The proposed pruning method achieves 20–57% reductions in floating-point operations (FLOPs) and approximately 86% reductions in parameters, while preserving equivalent recognition accuracy. Experimental results demonstrate that the pruned model maintains high gesture recognition performance with substantially lower computational cost, making it suitable for real-time deployment on edge devices. Full article
Show Figures

Figure 1

27 pages, 6822 KB  
Article
Generalized Variational Retrieval of Full Field-of-View Cloud Fraction and Precipitable Water Vapor from FY-4A/GIIRS Observations
by Gen Wang, Song Ye, Bing Xu, Xiefei Zhi, Qiao Liu, Yang Liu, Yue Pan, Chuanyu Fan, Tiening Zhang and Feng Xie
Remote Sens. 2025, 17(22), 3687; https://doi.org/10.3390/rs17223687 - 11 Nov 2025
Cited by 1 | Viewed by 861
Abstract
Owing to their high vertical resolution, remote sensing data from meteorological satellite hyperspectral infrared sounders are well-suited for the identification, monitoring, and early warning of high-impact weather events. The effective utilization of full field-of-view (FOV) observations from satellite infrared sounders in high-impact weather [...] Read more.
Owing to their high vertical resolution, remote sensing data from meteorological satellite hyperspectral infrared sounders are well-suited for the identification, monitoring, and early warning of high-impact weather events. The effective utilization of full field-of-view (FOV) observations from satellite infrared sounders in high-impact weather applications remains a major research focus and technical challenge worldwide. This study proposes a generalized variational retrieval framework to estimate full FOV cloud fraction and precipitable water vapor (PWV) from observations of the Geostationary Interferometric Infrared Sounder (GIIRS) onboard the Fengyun-4A (FY-4A) satellite. Based on this method, experiments are performed using high-frequency FY-4A/GIIRS observations during the landfall periods of Typhoon Lekima (2019) and Typhoon Higos (2020). A three-step channel selection strategy based on information entropy is first designed for FY-4A/GIIRS. A constrained generalized variational retrieval method coupled with a cloud cost function is then established. Cloud parameters, including effective cloud fraction and cloud-top pressure, are initially retrieved using the Minimum Residual Method (MRM) and used as initial cloud information. These parameters are iteratively optimized through cost-function minimization, yielding full FOV cloud fields and atmospheric profiles. Full FOV brightness temperature simulations are conducted over cloudy regions to quantitatively evaluate the retrieved cloud fractions, and the derived PWV is further applied to the identification and analysis of hazardous weather events. Experimental results demonstrate that incorporating cloud parameters as auxiliary inputs to the radiative transfer model improves the simulation of FY-4A/GIIRS brightness temperature in cloud-covered areas and reduces brightness temperature biases. Compared with ERA5 Total Column Water Vapour (TCWV) data, the PWV derived from full FOV profiles containing cloud parameter information shows closer agreement and, at certain FOVs, more effectively indicates the occurrence of high-impact weather events. The simplified methodology proposed in this study provides a robust basis for the future assimilation and operational utilization of infrared data over cloud-affected regions in numerical weather prediction models. Full article
Show Figures

Figure 1

24 pages, 3428 KB  
Article
Numerical Analysis of Critical Embedment Depth of Offshore Monopile Foundations in Clay
by Ali Khezri, Hongbae Park and Daeyong Lee
J. Mar. Sci. Eng. 2025, 13(11), 2118; https://doi.org/10.3390/jmse13112118 - 8 Nov 2025
Viewed by 770
Abstract
The design of offshore monopile foundations typically follows an iterative process aimed at optimizing key geometric parameters—namely, pile diameter, wall thickness, and embedded length. Among these, selecting an appropriate embedded length is a critical step in geotechnical design, as it must satisfy both [...] Read more.
The design of offshore monopile foundations typically follows an iterative process aimed at optimizing key geometric parameters—namely, pile diameter, wall thickness, and embedded length. Among these, selecting an appropriate embedded length is a critical step in geotechnical design, as it must satisfy both stability and serviceability requirements. The critical pile length is defined as the embedment depth beyond which additional penetration yields no significant improvement in lateral capacity and at which the pile reaches its critical lateral capacity. From a design standpoint, extending the pile beyond this length offers no further gain in resistance, rendering such an approach both inefficient and uneconomical. To evaluate and characterize the critical length of offshore monopile foundations, three-dimensional finite element (3D FE) analyses were performed on laterally loaded monopiles using the NGI-ADP constitutive model. The analyses considered a wide range of pile geometries, load eccentricities, and soil properties. This study first investigate how geotechnical parameters affect lateral response, then characterizes the critical lateral capacity (Hcrit) and critical pile length (Lcrit) based on the analyzed cases. Finally, an empirical equation was developed to estimate the critical embedment depth of monopiles in clay. Results indicate that higher undrained shear strength (Su) or lower ultimate plastic shear strain (γf) considerably reduce the critical pile length, whereas it is increased with greater pile head rotation. The normalized critical length is largely independent of pile diameter and load eccentricity. These insights provide practical guidance for geotechnical design by offering an efficient method to estimate critical pile length, supporting informed decisions on the required embedment depth. Full article
(This article belongs to the Section Ocean Engineering)
Show Figures

Figure 1

Back to TopTop