Sign in to use this feature.

Years

Between: -

Subjects

remove_circle_outline
remove_circle_outline
remove_circle_outline
remove_circle_outline
remove_circle_outline
remove_circle_outline
remove_circle_outline
remove_circle_outline
remove_circle_outline

Journals

remove_circle_outline
remove_circle_outline
remove_circle_outline
remove_circle_outline
remove_circle_outline
remove_circle_outline
remove_circle_outline
remove_circle_outline
remove_circle_outline
remove_circle_outline
remove_circle_outline
remove_circle_outline

Article Types

Countries / Regions

remove_circle_outline
remove_circle_outline
remove_circle_outline
remove_circle_outline
remove_circle_outline

Search Results (1,731)

Search Parameters:
Keywords = thermal-insulation effect

Order results
Result details
Results per page
Select all
Export citation of selected articles as:
23 pages, 11972 KB  
Article
The Variability in the Thermophysical Properties of Soils for Sustainability of the Industrial-Affected Zone of the Siberian Arctic
by Tatiana V. Ponomareva, Kirill Yu. Litvintsev, Konstantin A. Finnikov, Nikita D. Yakimov, Georgii E. Ponomarev and Evgenii I. Ponomarev
Sustainability 2025, 17(19), 8892; https://doi.org/10.3390/su17198892 (registering DOI) - 6 Oct 2025
Abstract
The sustainability of Arctic ecosystems that are extremely vulnerable is contingent upon the state of cryosoils. Understanding the principles of ecosystem stability in permafrost conditions, particularly under external natural or human-induced influences, necessitates an examination of the thermal and moisture regimes of the [...] Read more.
The sustainability of Arctic ecosystems that are extremely vulnerable is contingent upon the state of cryosoils. Understanding the principles of ecosystem stability in permafrost conditions, particularly under external natural or human-induced influences, necessitates an examination of the thermal and moisture regimes of the seasonally thawed soil layer. The study concentrated on the variability in the soil’s thermophysical properties in Central Siberia’s permafrost zone (the northern part of Krasnoyarsk Region, Taimyr, Russia). In the industrially affected area of interest, we evaluated and contrasted the differences in the thermophysical properties of soils between two opposing types of landscapes. On the one hand, these are soils that are characteristic of the natural landscape of flat shrub tundra, with a well-developed moss–lichen cover. An alternative is the soils in the landscape, which have exhibited significant degradation in the vegetation cover due to both natural and human-induced factors. The heat-insulating properties of background areas are controlled by the layer of moss and shrubs, while its disturbance determines the excessive heating of the soil at depth. In comparison to the background soil characteristics, degradation of on-ground vegetation causes the active layer depth of the soils to double and the temperature gradient to decrease. With respect to depth, we examine the changes in soil temperature and heat flow dynamics (q, W/m2). The ranges of thermal conductivity (λ, W/(m∙K)) were assessed using field-measured temperature profiles and heat flux values in the soil layers. The background soil was discovered to have lower thermal conductivity values, which are typical of organic matter, in comparison to the soil of the transformed landscape. Thermal diffusivity coefficients for soil layers were calculated using long-term temperature monitoring data. It is shown that it is possible to use an adjusted model of the thermal conductivity coefficient to reconstruct the dynamics of moisture content from temperature dynamics data. A satisfactory agreement is shown when the estimated (Wcalc, %) and observed (Wexp, %) moisture content values in the soil layer are compared. The findings will be employed to regulate the effects on landscapes in order to implement sustainable nature management in the region, thereby preventing the significant degradation of ecosystems and the concomitant risks to human well-being. Full article
(This article belongs to the Special Issue Land Use Strategies for Sustainable Development)
Show Figures

Figure 1

29 pages, 5343 KB  
Article
Sound Absorption and Thermal Insulation by Polyurethane Foams Reinforced with Bio-Based Lignocellulosic Fillers: Data and Modeling
by Batol Masruri, Ebrahim Taban, Ali Khavanin and Keith Attenborough
Buildings 2025, 15(19), 3590; https://doi.org/10.3390/buildings15193590 - 5 Oct 2025
Abstract
The acoustic, thermal, and mechanical performances of sawdust-reinforced polyurethane (PU) foam are investigated for different thicknesses and varying mesh sizes. Acoustic properties are explored using a combination of impedance tube testing and mathematical modeling with the Johnson–Champoux–Allard–Lafarge (JCAL) model, a simplified JCAL model [...] Read more.
The acoustic, thermal, and mechanical performances of sawdust-reinforced polyurethane (PU) foam are investigated for different thicknesses and varying mesh sizes. Acoustic properties are explored using a combination of impedance tube testing and mathematical modeling with the Johnson–Champoux–Allard–Lafarge (JCAL) model, a simplified JCAL model and a model of non-uniform cylindrical pores with a log-normal radius distribution (NUPSD). Thermal Insulation and mechanical properties are determined by measuring the effective thermal conductivity (Keff) and by tensile strength tests, respectively. Compared with pure PU foam, the presence of sawdust matches noise reduction coefficients (NRC) and increases sound absorption averages (SAA) by nearly 10%. Increasing thickness and width of backing air gap have the usual effects of improving low- and mid-frequency absorption and shifting resonance peaks toward lower frequencies. As well as superior acoustic performance, samples with Mesh 16 sawdust reinforcement provide both useful insulation (Keff = 0.044 W/mK) and tensile strength (~0.06 MPa), confirming their multifunctionality. Although the JCAL model provides reasonable fits to the sound absorption data, some of the fitted parameter values are unphysical. Predictions of the NUPSD model are relatively poor but improve with sample thickness and after fiber addition. Full article
(This article belongs to the Special Issue Advance in Eco-Friendly Building Materials and Innovative Structures)
Show Figures

Figure 1

17 pages, 9701 KB  
Article
Research on Optimal Design of Rural Residence Envelope of EPS Module Based on Phase Change Heat Storage
by Kunpeng Wang, Chuan Chen, Liyao Kong and Qianmiao Yang
Buildings 2025, 15(19), 3589; https://doi.org/10.3390/buildings15193589 - 5 Oct 2025
Abstract
EPS module buildings are prefabricated, low-rise systems with high thermal insulation that are widely used in rural self-built houses in northern China, yet their indoor thermal environments often suffer from instability. This study experimentally verified the effectiveness of microcapsule phase change mortar (PCM [...] Read more.
EPS module buildings are prefabricated, low-rise systems with high thermal insulation that are widely used in rural self-built houses in northern China, yet their indoor thermal environments often suffer from instability. This study experimentally verified the effectiveness of microcapsule phase change mortar (PCM plaster) in improving winter indoor temperatures of EPS module houses. In addition, based on simulation data from 350 design combinations across five representative cold-climate cities and four envelope design variables, the study provides quantitative design guidance for EPS module walls and PCM plaster in rural houses, offering a practical approach to improve indoor thermal stability that has not been previously reported. The main findings are as follows: (1) The thermal transmittance of EPS module walls is the dominant factor influencing indoor thermal performance. For climate adaptability, Type II walls are recommended for severely cold regions, while Type I walls are suitable for cold regions. The application of PCM plaster is not recommended in solar-rich cold regions such as Lhasa due to limited effectiveness. (2) Optimal PCM plaster parameters exist, with the phase change temperature recommended to be 2–4 °C higher than the average indoor operative temperature during the heating period. Specifically, 18 °C is optimal for Type I walls in Yinchuan, Beijing, and Dalian, while 15 °C is more appropriate for Type II walls in Shenyang and Harbin. The corresponding optimal thicknesses are 20 mm for Harbin, Shenyang, and Dalian; 30 mm for Yinchuan; and 40 mm for Beijing, achieving a balance between indoor temperature improvement and construction cost. (3) Operative temperature and discomfort hours are introduced to assess indoor thermal stability, especially in buildings with interior PCM plaster. Full article
(This article belongs to the Section Architectural Design, Urban Science, and Real Estate)
Show Figures

Figure 1

24 pages, 13326 KB  
Review
Applications of Heat Pipes in Thermal Management
by Milan Malcho, Jozef Jandačka, Richard Lenhard, Katarína Kaduchová and Patrik Nemec
Energies 2025, 18(19), 5282; https://doi.org/10.3390/en18195282 - 5 Oct 2025
Abstract
The paper explores the application of heat pipes in thermal management for efficient heat dissipation, particularly in electrical equipment with high heat loads. Heat pipes are devices that transfer heat with high efficiency through the phase transition of the working medium (e.g., water, [...] Read more.
The paper explores the application of heat pipes in thermal management for efficient heat dissipation, particularly in electrical equipment with high heat loads. Heat pipes are devices that transfer heat with high efficiency through the phase transition of the working medium (e.g., water, alcohol, ammonia) between the evaporator and the condenser, while they have no moving parts and are distinguished by their simplicity of construction. Different types of heat pipes—gravity, capillary, and closed loop (thermosiphon loop)—are suitable according to specific applications and requirements for the working position, temperature range, and condensate return transport. An example of an effective application is the removal of heat from the internal winding of a static energy converter transformer, where the use of a gravity heat pipe has enabled effective cooling even through epoxy insulation and kept the winding temperature below 80 °C. Other applications include the cooling of mounting plates, power transistors, and airtight cooling of electrical enclosures with the ability to dissipate lost thermal power in the order of 102 to 103 W. A significant advantage of heat pipes is also the ability to dust-tightly seal equipment and prevent the build-up of dirt, thereby increasing the reliability of the electronics. In the field of environmental technology, systems have been designed to reduce the radiant power of fireplace inserts by up to 40%, or to divert their heat output of up to about 3 kW into hot water storage tanks, thus optimising the use of the heat produced and preventing overheating of the living space. The use of nanoparticles in the working substances (e.g., Al2O3 in water) makes it possible to intensify the boiling process and thus increase the heat transfer intensity by up to 30% compared to pure water. The results of the presented research confirm the versatility and high efficiency of the use of heat pipes for modern cooling requirements in electronics and environmental engineering. Full article
(This article belongs to the Special Issue Advances in Numerical and Experimental Heat Transfer)
Show Figures

Figure 1

14 pages, 3409 KB  
Article
Synergistic ATO/SiO2 Composite Coatings for Transparent Superhydrophobic and Thermal-Insulating Performance
by Guodong Qin, Lei Li and Qier An
Coatings 2025, 15(10), 1160; https://doi.org/10.3390/coatings15101160 - 4 Oct 2025
Abstract
Multifunctional coatings integrating high transparency, thermal insulation, and self-cleaning properties are critically needed for optical devices and energy-saving applications, yet simultaneously optimizing these functions remains challenging due to material and structural limitations. This study designed a superhydrophobic transparent thermal insulation coating via synergistic [...] Read more.
Multifunctional coatings integrating high transparency, thermal insulation, and self-cleaning properties are critically needed for optical devices and energy-saving applications, yet simultaneously optimizing these functions remains challenging due to material and structural limitations. This study designed a superhydrophobic transparent thermal insulation coating via synergistic co-construction of micro–nano structures using antimony-doped tin oxide (ATO) and SiO2 nanoparticles dispersed in an epoxy resin matrix, with surface modification by perfluorodecyltriethoxysilane (PFDTES) and γ-glycidyl ether oxypropyltrimethoxysilane (KH560). The optimal superhydrophobic transparent thermal insulating (SHTTI) coating, prepared with 0.6 g SiO2 and 0.8 g ATO (SHTTI-0.6-0.8), achieved a water contact angle (WCA) of 162.4°, sliding angle (SA) of 3°, and visible light transmittance of 72% at 520 nm. Under simulated solar irradiation, it reduced interior temperature by 7.3 °C compared to blank glass. The SHTTI-0.6-0.8 coating demonstrated robust mechanical durability by maintaining superhydrophobicity through 40 abrasion cycles, 30 tape-peel tests, and sand impacts, combined with chemical stability, effective self-cleaning capability, and exceptional anti-icing performance that prolonged freezing time to 562 s versus 87 s for blank glass. This work provides a viable strategy for high-performance multifunctional coatings through rational component ratio optimization. Full article
(This article belongs to the Section Surface Characterization, Deposition and Modification)
Show Figures

Figure 1

14 pages, 4934 KB  
Article
Thermal Regulation and Moisture Accumulation in Embankments with Insulation–Waterproof Geotextile in Seasonal Frost Regions
by Kun Zhang, Doudou Jin, Ze Zhang, Yuncheng Mao and Guoyu Li
Appl. Sci. 2025, 15(19), 10681; https://doi.org/10.3390/app151910681 - 2 Oct 2025
Abstract
As an effective engineering countermeasure against frost heave damage in seasonally frozen regions, thermal insulation boards (TIBs) were employed in embankments. This study established a test section featuring a thermal insulation–waterproof geotextile embankment in Dingxi, Gansu Province. Temperature and water content at various [...] Read more.
As an effective engineering countermeasure against frost heave damage in seasonally frozen regions, thermal insulation boards (TIBs) were employed in embankments. This study established a test section featuring a thermal insulation–waterproof geotextile embankment in Dingxi, Gansu Province. Temperature and water content at various positions and depths within both the thermal insulation embankment (TIE) and an ordinary embankment (OE) were monitored and compared to analyze the effectiveness of the TIB. Following the installation of the insulation layer, the temperature distribution within the embankment became more uniform. The TIB effectively impeded downward heat transfer (cold energy influx) during the winter and upward heat transfer (heat energy flux) during the warm season. However, the water content within the TIE was observed to be higher than that in the OE, with water accumulation notably occurring at the embankment toe. While the TIB successfully mitigated slope damage and superficial soil frost heave, the waterproof geotextile concurrently induced moisture accumulation at the embankment toe. Consequently, implementing complementary drainage measures is essential. In seasonally frozen areas characterized by dry weather and relatively high winter temperatures, the potential damage caused by concentrated rainfall events to embankments requires particular attention. Full article
(This article belongs to the Section Civil Engineering)
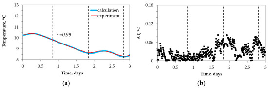
17 pages, 1731 KB  
Article
Hygrothermal Performance of Thermal Plaster Used as Interior Insulation: Identification of the Most Impactful Design Conditions
by Eleonora Leonardi, Marco Larcher, Alexandra Troi, Anna Stefani, Gianni Nerobutto and Daniel Herrera-Avellanosa
Buildings 2025, 15(19), 3559; https://doi.org/10.3390/buildings15193559 - 2 Oct 2025
Abstract
Internal insulation plasters enable historic building renovation without altering the external appearance of the wall. However, the use of internal insulation must be verified case-by-case through dynamic hygrothermal simulation, and the influence of input parameters on the results is not always clear. This [...] Read more.
Internal insulation plasters enable historic building renovation without altering the external appearance of the wall. However, the use of internal insulation must be verified case-by-case through dynamic hygrothermal simulation, and the influence of input parameters on the results is not always clear. This paper aims to (i) characterize a new lime-based insulating plaster with expanded recycled glass and aerogel through laboratory measurements, (ii) assess the damage criteria of the plaster under different boundary conditions through dynamic simulations, and (iii) identify the most impactful design conditions on the relative humidity behind insulation. This innovative plaster combines highly insulating properties (thermal conductivity of 0.0463 W/mK) with good capillary activity while also integrating recycled components without compromising performance. The relative humidity behind insulation remains below 95% in most simulated scenarios, with cases above this threshold found only in cold climates, particularly under high internal moisture loads. The parametric study shows that (i) in the analyzed stones, the thermal conductivity variation of the existing wall has a greater effect on the relative humidity behind insulation than the variation of the vapor resistance factor, (ii) the effect of insulation thickness on the relative humidity behind insulation depends on the difference in thermal resistance of the insulation and existing masonry layers, and (iii) internal moisture load and external climate directly impact the relative humidity behind insulation. Full article
(This article belongs to the Section Building Materials, and Repair & Renovation)
Show Figures

Figure 1

14 pages, 2398 KB  
Article
Synthesis and Characterization of YSZ/Si(B)CN Ceramic Matrix Composites in Hydrogen Combustion Environment
by Yiting Wang, Chiranjit Maiti, Fahim Faysal, Jayanta Bhusan Deb and Jihua Gou
J. Compos. Sci. 2025, 9(10), 537; https://doi.org/10.3390/jcs9100537 - 2 Oct 2025
Abstract
Hydrogen energy offers high energy density and carbon-free combustion, making it a promising fuel for next-generation propulsion and power generation systems. Hydrogen offers approximately three times more energy per unit mass than natural gas, and its combustion yields only water as a byproduct, [...] Read more.
Hydrogen energy offers high energy density and carbon-free combustion, making it a promising fuel for next-generation propulsion and power generation systems. Hydrogen offers approximately three times more energy per unit mass than natural gas, and its combustion yields only water as a byproduct, making it an exceptionally clean and efficient energy source. Materials used in hydrogen-fueled combustion engines must exhibit high thermal stability as well as resistance to corrosion caused by high-temperature water vapor. This study introduces a novel ceramic matrix composite (CMC) designed for such harsh environments. The composite is made of yttria-stabilized zirconia (YSZ) fiber-reinforced silicoboron carbonitride [Si(B)CN]. CMCs were fabricated via the polymer infiltration and pyrolysis (PIP) method. Multiple PIP cycles, which help to reduce the porosity of the composite and enhance its properties, were utilized for CMC fabrication. The Si(B)CN precursor formed an amorphous ceramic matrix, where the presence of boron effectively suppressed crystallization and enhanced oxidation resistance, offering superior performance than their counter part. Thermogravimetric analysis (TGA) confirmed negligible mass loss (≤3%) after 30 min at 1350 °C. The real-time ablation performance of the CMC sample was assessed using a hydrogen torch test. The material withstood a constant heat flux of 185 W/cm2 for 10 min, resulting in a front-surface temperature of ~1400 °C and a rear-surface temperature near 700 °C. No delamination, burn-through, or erosion was observed. A temperature gradient of more than 700 °C between the front and back surfaces confirmed the material’s effective thermal insulation performance during the hydrogen torch test. Post-hydrogen torch test X-ray diffraction indicated enhanced crystallinity, suggesting a synergistic effect of the oxidation-resistant amorphous Si(B)CN matrix and the thermally stable crystalline YSZ fibers. These results highlight the potential of YSZ/Si(B)CN composites as high-performance materials for hydrogen combustion environments and aerospace thermal protection systems. Full article
(This article belongs to the Special Issue Feature Papers in Journal of Composites Science in 2025)
Show Figures

Graphical abstract

22 pages, 4360 KB  
Article
An Experimental Study on the Thermal Insulation Properties of Concrete Containing Wood-Based Biochar
by Ji-Hun Park, Kwang-Mo Lim, Gum-Sung Ryu, Kyung-Taek Koh and Kyong-Chul Kim
Appl. Sci. 2025, 15(19), 10560; https://doi.org/10.3390/app151910560 - 29 Sep 2025
Abstract
The applicability of biochar as a coarse aggregate substitute in concrete to increase sustainability and multifunctionality was investigated. Biochar, a porous carbon-rich byproduct from biomass pyrolysis, was incorporated at various replacement ratios (5–20%) under four water-to-binder (w/b) conditions (0.25–0.40). [...] Read more.
The applicability of biochar as a coarse aggregate substitute in concrete to increase sustainability and multifunctionality was investigated. Biochar, a porous carbon-rich byproduct from biomass pyrolysis, was incorporated at various replacement ratios (5–20%) under four water-to-binder (w/b) conditions (0.25–0.40). The key physical, mechanical, thermal, and microstructural properties, including the unit weight, porosity, compressive strength, flexural strength, and thermal conductivity, were evaluated via SEM and EDS analyses. The results revealed that although increasing the biochar content reduced the mechanical strength, it significantly improved the thermal insulation performance because of the porous structure of the biochar. At low w/b ratios and 5–10% biochar content, sufficient mechanical properties were retained, indicating a viable design range. Higher replacement ratios (>15%) led to excessive porosity, reduced hydration, and impaired durability. This study quantitatively analyzed the interproperty correlations, confirming that the strength and thermal performance are closely linked to the internal matrix density and porosity. These findings suggest that biochar-based concrete has potential for use in thermal energy storage systems, high-temperature insulation, and low-carbon construction. The low-carbon effect is achieved both by sequestering stable carbon within the concrete matrix and by partially replacing cement, thereby reducing CO2 emissions from cement production. Moreover, the results highlight a strong correlation between increased porosity, enhanced thermal insulation, and reduced strength, thereby offering a solid foundation for sustainable material design. In particular, the term ‘high temperature’ in this context refers to exposure conditions above approximately 200~400 °C, as reported in previous studies. However, this should be considered as a potential application to be validated in future experiments rather than a confirmed outcome of this study. Full article
(This article belongs to the Section Civil Engineering)
Show Figures

Figure 1

25 pages, 5664 KB  
Article
Performance Optimization of Flood Sediment Adobe Bricks Through Natural Additive Integration
by Andaman Khunaprapakorn, Rungroj Arjwech, Natthaphol Chomsaeng and Sitthiphat Eua-Apiwatch
Buildings 2025, 15(19), 3508; https://doi.org/10.3390/buildings15193508 - 28 Sep 2025
Abstract
This study addresses critical knowledge gaps in adobe construction by systematically investigating soil mineralogy–additive effectiveness relationships and developing dual-additive optimization strategies for flood sediment valorization. Four Thai soil types—Nakhon Pathom (NPT), Sisaket (SSK), Uttaradit (UTT), and September 2024 Chiang Rai flood sediment (CRI)—were [...] Read more.
This study addresses critical knowledge gaps in adobe construction by systematically investigating soil mineralogy–additive effectiveness relationships and developing dual-additive optimization strategies for flood sediment valorization. Four Thai soil types—Nakhon Pathom (NPT), Sisaket (SSK), Uttaradit (UTT), and September 2024 Chiang Rai flood sediment (CRI)—were characterized using XRD and EDS analyses. Twelve adobe formulations incorporating rice husk (3.45%) and graduated bentonite concentrations (5–15%) were evaluated for mechanical and thermal properties. UTT soil with balanced mineralogy (42.1% SiO2, 40.4% Al2O3) achieved optimal mechanical performance (3.12 ± 0.11 MPa compressive strength), while CRI demonstrated superior thermal insulation (0.200 ± 0.009 W/m·K). Rice husk systematically enhanced compressive strength across all soils (13.6–82.5% improvement) while reducing thermal conductivity to 0.211–0.278 W/m·K. Dual-additive optimization of CRI enabled application-specific customization: rice husk alone maximized strength (1.34 ± 0.09 MPa), while bentonite combinations optimized thermal performance (0.199 ± 0.015 W/m·K). Microstructural analysis revealed distinct reinforcement mechanisms and matrix densification effects. This research establishes predictive frameworks for material selection based on soil composition, demonstrates viable flood waste valorization pathways, and supports Thailand’s Bio-Circular-Green economic framework through sustainable construction material development. Full article
(This article belongs to the Section Building Materials, and Repair & Renovation)
Show Figures

Figure 1

31 pages, 25510 KB  
Article
Geopolymer Foams Loaded with Diatomite/Paraffin Granules for Enhanced Thermal Energy Storage
by Agnieszka Przybek
Materials 2025, 18(19), 4512; https://doi.org/10.3390/ma18194512 - 28 Sep 2025
Abstract
This paper presents the development and characteristics of geopolymer foams modified with paraffin-based phase change materials (PCMs) encapsulated in diatomite. The aim was to increase both the thermal insulation and heat storage capacity of the foams while maintaining sufficient mechanical strength for construction [...] Read more.
This paper presents the development and characteristics of geopolymer foams modified with paraffin-based phase change materials (PCMs) encapsulated in diatomite. The aim was to increase both the thermal insulation and heat storage capacity of the foams while maintaining sufficient mechanical strength for construction applications. Eleven variants of composites with different PCM fractions (5–10% by mass) and grain sizes (<1.6 mm to >2.5 mm) were synthesized and tested. The inclusion of PCM encapsulated in diatomite modified the porous structure: the total porosity increased from 6.6% in the reference sample to 19.6% for the 1.6–1.8 mm_10% wt. variant, with pore diameters ranging from ~4 to 280 µm. Thermal conductivity (λ) ranged between 0.090–0.129 W/m·K, with the lowest values observed for composites 2.0–2.5 mm_5–10% wt. (≈0.090–0.091 W/m·K), which also showed high thermal resistance (R ≈ 0.287–0.289 m2·K/W). The specific heat (Cp) increased from 1.28 kJ/kg·K (reference value) to a maximum value of 1.87 kJ/kg·K for the 2.0–2.5 mm_10% mass variant, confirming the effective energy storage capacity of PCM-modified foams. Mechanical tests showed compressive strength values in the range of 0.7–3.1 MPa. The best structural performance was obtained for the 1.6–1.8 mm_10% wt. variant (3.1 MPa), albeit with a higher λ (≈0.129 W/m·K), illustrating the classic trade-off between porosity-based insulation and mechanical strength. SEM microstructural analysis and mercury porosimetry confirmed the presence of mesopores, which determine both thermal and mechanical properties. The results show that medium-sized PCM fractions (1.6–2.0 mm) with moderate content (≈10% by weight) offer the most favorable compromise between insulation and strength, while thicker fractions (2.0–2.5 mm) maximize thermal energy storage capacity. These findings confirm the possibility of incorporating natural PCMs into geopolymer foams to create multifunctional materials for sustainable and energy-efficient building applications. A unique contribution to this work is the use of diatomite as a natural PCM carrier, ensuring stability, compatibility, and environmental friendliness compared to conventional encapsulation methods. Full article
(This article belongs to the Special Issue Advances in Function Geopolymer Materials—Second Edition)
Show Figures

Figure 1

23 pages, 3490 KB  
Article
Quantifying the Relationship Between Mean Radiant Temperature and Indoor Air Temperature Across Building Orientations in Hot and Dry Steppe Climates
by Salar Salah Muhy Al-Din, Nazgol Hafizi and Hasim Altan
Atmosphere 2025, 16(10), 1132; https://doi.org/10.3390/atmos16101132 - 26 Sep 2025
Abstract
This study aims to create environmentally comfortable building designs in hot and dry steppe climates using more effective approaches. The purpose of this study is to assess the relationship between mean radiant temperature (MRT) and indoor air temperature (Tia), taking into account the [...] Read more.
This study aims to create environmentally comfortable building designs in hot and dry steppe climates using more effective approaches. The purpose of this study is to assess the relationship between mean radiant temperature (MRT) and indoor air temperature (Tia), taking into account the orientation of buildings, for better building thermal performance. For this purpose, residential buildings with different orientations were selected in the study region ‘Garmian—northern Iraq’, and their thermal performance was evaluated. The results show how MRT contributes to the buildings’ thermal comfort. The outcomes of this research provide innovative empirical quantification of the correlation of MRT-Tia, as the regression coefficient (β) represents the rate of change in Tia per unit increase in MRT and ranges by orientation in the study area. The findings demonstrate that north-facing buildings buffer radiant heat gain (β~0.52), resulting in a 0.5 °C increase in indoor air temperature for each 1 °C rise in MRT. Moreover, west orientation delivers promising winter passive heating (MRT up to 22 °C and indoor air temperature up to 22.8 °C with a β of ~0.82). However, south-facing buildings perform poorly in the winter, with low MRT and a weak β (~0.44), contrasting with passive solar design strategies that favor south-facing buildings in the northern hemisphere. Furthermore, in the summer, the MRT is always higher than Tia, while it is lower in winter, indicating poor envelope and fenestration thermal insulation properties, which lead to excessive energy usage to maintain thermal comfort. Finally, the study suggests the novel quantified MRT-Tia mathematical correlation responds to the orientations for such climates, offering both diagnostic and predictive tools for thermal comfort performance optimization. This study is the first to empirically quantify orientation-specific MRT–Tia relationships in BSh climates, offering a novel diagnostic tool for sustainable building design. This study involved field observations in 36 residential row houses across four orientations. Key environmental and personal variables measured included mean radiant temperature (MRT), indoor air temperature (Tia), air velocity, relative humidity, metabolic rate, and clothing insulation. Full article
Show Figures

Graphical abstract

15 pages, 2928 KB  
Article
A Case Study on the Energy Efficiency of Windows in Institutional and Residential Buildings
by Xinzhi Qiu, Meng Gong and Alireza Kaboorani
Buildings 2025, 15(19), 3478; https://doi.org/10.3390/buildings15193478 - 26 Sep 2025
Abstract
Building energy consumption occupies an increasing proportion of the total energy consumption of society, and the use of energy-efficient windows can have great significance for energy saving. This case study examined the energy efficiency of various types of windows of the buildings on [...] Read more.
Building energy consumption occupies an increasing proportion of the total energy consumption of society, and the use of energy-efficient windows can have great significance for energy saving. This case study examined the energy efficiency of various types of windows of the buildings on the University of New Brunswick campus, Fredericton, Canada. The energy performance of these windows was monitored by an infrared thermal camera from November 2021 to April 2022 and assessed in terms of the heat loss between different types of windows. The main findings were that (1) the temperature distribution of a window was strongly influenced by the indoor and outdoor temperature; (2) wood frame windows showed better insulation properties than metal frame ones; (3) fixed windows had a better energy performance than sliding windows and single-hung windows; and (4) the east orientation of a building and the use of Low-E glazing were the most effective expedients to reduce the winter energy required. By comparing these findings with earlier research, this study contributes new insights for cold climates, underscoreing the importance of Low-E glazing and configuration choice in building retrofits for energy-efficient, sustainable construction. Full article
Show Figures

Figure 1

15 pages, 2748 KB  
Article
A Physics-Enhanced CNN–LSTM Predictive Condition Monitoring Method for Underground Power Cable Infrastructure
by Zaki Moutassem, Doha Bounaim and Gang Li
Algorithms 2025, 18(10), 600; https://doi.org/10.3390/a18100600 - 25 Sep 2025
Abstract
Underground high-voltage transmission cables, especially high-pressure fluid-filled (HPFF) pipe-type cable systems, are critical components of urban power networks. These systems consist of insulated conductor cables housed within steel pipes filled with pressurized fluids that provide essential insulation and cooling. Despite their reliability, HPFF [...] Read more.
Underground high-voltage transmission cables, especially high-pressure fluid-filled (HPFF) pipe-type cable systems, are critical components of urban power networks. These systems consist of insulated conductor cables housed within steel pipes filled with pressurized fluids that provide essential insulation and cooling. Despite their reliability, HPFF cables experience faults caused by insulation degradation, thermal expansion, and environmental stressors, which, due to their subtle and gradual nature, complicate incipient fault detection and subsequent fault localization. This study presents a novel, proactive, and retrofit-friendly predictive condition monitoring method. It leverages distributed accelerometer sensors non-intrusively mounted on the HPFF steel pipe within existing manholes to continuously monitor vibration signals in real time. A physics-enhanced convolutional neural network–long short-term memory (CNN–LSTM) deep learning architecture analyzes these signals to detect incipient faults before they evolve into critical failures. The CNN–LSTM model captures temporal dependencies in acoustic data streams, applying time-series analysis techniques tailored for the predictive condition monitoring of HPFF cables. Experimental validation uses vibration data from a scaled-down HPFF laboratory test setup, comparing normal operation to incipient fault events. The model reliably identifies subtle changes in sequential acoustic patterns indicative of incipient faults. Laboratory experimental results demonstrate a high accuracy of the physics-enhanced CNN–LSTM architecture for incipient fault detection with effective data feature extraction. This approach aims to support enhanced operational resilience and faster response times without intrusive infrastructure modifications, facilitating early intervention to mitigate service disruptions. Full article
Show Figures

Figure 1

18 pages, 2289 KB  
Article
GaN/InN HEMT-Based UV Photodetector on SiC with Hexagonal Boron Nitride Passivation
by Mustafa Kilin and Firat Yasar
Photonics 2025, 12(10), 950; https://doi.org/10.3390/photonics12100950 - 24 Sep 2025
Viewed by 90
Abstract
This work presents a novel Gallium Nitride (GaN) high-electron-mobility transistor (HEMT)-based ultraviolet (UV) photodetector architecture that integrates advanced material and structural design strategies to enhance detection performance and stability under room-temperature operation. This study is conducted as a fully numerical simulation using the [...] Read more.
This work presents a novel Gallium Nitride (GaN) high-electron-mobility transistor (HEMT)-based ultraviolet (UV) photodetector architecture that integrates advanced material and structural design strategies to enhance detection performance and stability under room-temperature operation. This study is conducted as a fully numerical simulation using the Silvaco Atlas platform, providing detailed electrothermal and optoelectronic analysis of the proposed device. The device is constructed on a high-thermal-conductivity silicon carbide (SiC) substrate and incorporates an n-GaN buffer, an indium nitride (InN) channel layer for improved electron mobility and two-dimensional electron gas (2DEG) confinement, and a dual-passivation scheme combining silicon nitride (SiN) and hexagonal boron nitride (h-BN). A p-GaN layer is embedded between the passivation interfaces to deplete the 2DEG in dark conditions. In the device architecture, the metal contacts consist of a 2 nm Nickel (Ni) adhesion layer followed by Gold (Au), employed as source and drain electrodes, while a recessed gate embedded within the substrate ensures improved electric field control and effective noise suppression. Numerical simulations demonstrate that the integration of a hexagonal boron nitride (h-BN) interlayer within the dual passivation stack effectively suppresses the gate leakage current from the typical literature values of the order of 108 A to approximately 1010 A, highlighting its critical role in enhancing interfacial insulation. In addition, consistent with previous reports, the use of a SiC substrate offers significantly improved thermal management over sapphire, enabling more stable operation under UV illumination. The device demonstrates strong photoresponse under 360 nm ultraviolet (UV) illumination, a high photo-to-dark current ratio (PDCR) found at approximately 106, and tunable performance via structural optimization of p-GaN width between 0.40 μm and 1.60 μm, doping concentration from 5×1016 cm3 to 5×1018 cm3, and embedding depth between 0.060 μm and 0.068 μm. The results underscore the proposed structure’s notable effectiveness in passivation quality, suppression of gate leakage, and thermal management, collectively establishing it as a robust and reliable platform for next-generation UV photodetectors operating under harsh environmental conditions. Full article
Show Figures

Figure 1

Back to TopTop