Sign in to use this feature.

Years

Between: -

Subjects

remove_circle_outline
remove_circle_outline
remove_circle_outline
remove_circle_outline
remove_circle_outline
remove_circle_outline
remove_circle_outline
remove_circle_outline
remove_circle_outline

Journals

remove_circle_outline
remove_circle_outline
remove_circle_outline
remove_circle_outline
remove_circle_outline
remove_circle_outline
remove_circle_outline
remove_circle_outline

Article Types

Countries / Regions

remove_circle_outline
remove_circle_outline
remove_circle_outline
remove_circle_outline
remove_circle_outline

Search Results (463)

Search Parameters:
Keywords = thermal ground conductivity

Order results
Result details
Results per page
Select all
Export citation of selected articles as:
22 pages, 1803 KB  
Article
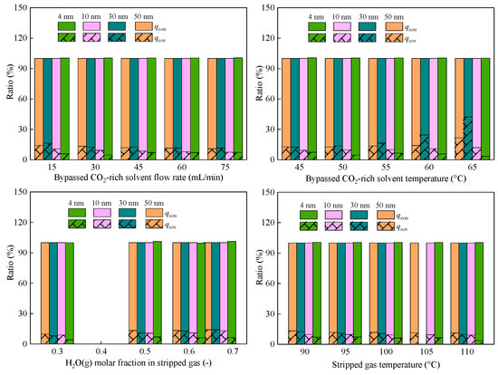
Optimizing Al2O3 Ceramic Membrane Heat Exchangers for Enhanced Waste Heat Recovery in MEA-Based CO2 Capture
by Qiufang Cui, Ziyan Ke, Jinman Zhu, Shuai Liu and Shuiping Yan
Membranes 2026, 16(1), 43; https://doi.org/10.3390/membranes16010043 - 16 Jan 2026
Abstract
High regeneration energy demand remains a critical barrier to the large-scale deployment of ethanolamine-based (MEA-based) CO2 capture. This study adopts an Al2O3 ceramic-membrane heat exchanger (CMHE) to recover both sensible and latent heat from the stripped gas. Experiments confirm [...] Read more.
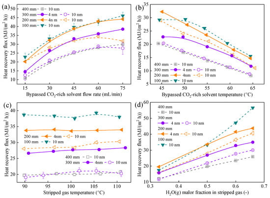
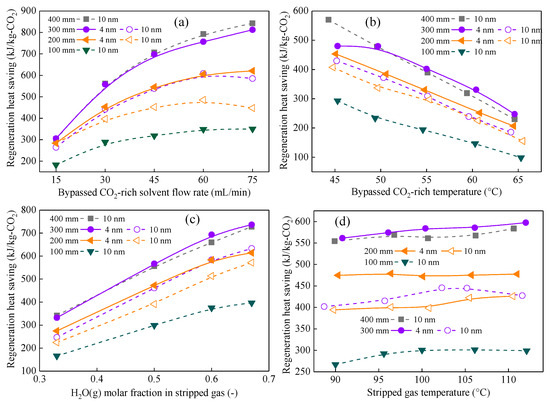
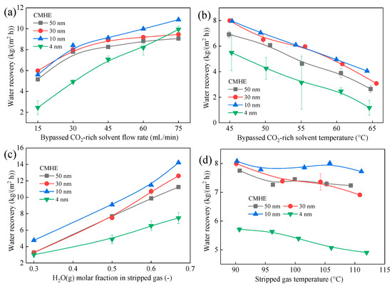
High regeneration energy demand remains a critical barrier to the large-scale deployment of ethanolamine-based (MEA-based) CO2 capture. This study adopts an Al2O3 ceramic-membrane heat exchanger (CMHE) to recover both sensible and latent heat from the stripped gas. Experiments confirm that heat and mass transfer within the CMHE follow a coupled mechanism in which capillary condensation governs trans-membrane water transport, while heat conduction through the ceramic membrane dominates heat transfer, which accounts for more than 80%. Guided by this mechanism, systematic structural optimization was conducted. Alumina was identified as the optimal heat exchanger material due to its combined porosity, thermal conductivity, and corrosion resistance. Among the tested pore sizes, CMHE-4 produces the strongest capillary-condensation enhancement, yielding a heat recovery flux (q value) of up to 38.8 MJ/(m2 h), which is 4.3% and 304% higher than those of the stainless steel heat exchanger and plastic heat exchanger, respectively. In addition, Length-dependent analyses reveal an inherent trade-off: shorter modules achieved higher q (e.g., 14–42% greater for 200-mm vs. 300-mm CMHE-4), whereas longer modules provide greater total recovered heat (Q). Scale-up experiments demonstrated pronounced non-linear performance amplification, with a 4 times area increase boosting q by only 1.26 times under constant pressure. The techno-economic assessment indicates a simple payback period of ~2.5 months and a significant reduction in net capture cost. Overall, this work establishes key design parameters, validates the governing transport mechanism, and provides a practical, economically grounded framework for implementing high-efficiency CMHEs in MEA-based CO2 capture. Full article
Show Figures

Graphical abstract

39 pages, 15911 KB  
Article
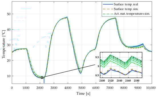
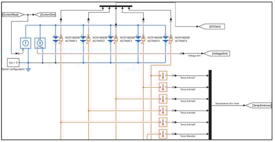
Geometry-Resolved Electro-Thermal Modeling of Cylindrical Lithium-Ion Cells Using 3D Simulation and Thermal Network Reduction
by Martin Baťa, Milan Plzák, Michal Miloslav Uličný, Gabriel Gálik, Markus Schörgenhumer, Šimon Berta, Andrej Ürge and Danica Rosinová
Energies 2026, 19(2), 375; https://doi.org/10.3390/en19020375 - 12 Jan 2026
Viewed by 94
Abstract
Accurate estimation of internal temperature is essential for safe operation and state estimation of lithium-ion batteries, yet it usually cannot be measured directly and requires physically grounded electro-thermal models. High fidelity 3D simulations capture geometry-dependent heat transfer behavior but are too computationally intensive [...] Read more.
Accurate estimation of internal temperature is essential for safe operation and state estimation of lithium-ion batteries, yet it usually cannot be measured directly and requires physically grounded electro-thermal models. High fidelity 3D simulations capture geometry-dependent heat transfer behavior but are too computationally intensive for real-time use, whereas common lumped models cannot represent internal gradients. This work presents an integrated geometry-resolved workflow that combines detailed 3D finite volume thermal modeling with systematic reduction to a compact multi-node thermal network and its coupling with an equivalent circuit electrical model. A realistic 3D model of the Panasonic NCR18650B cell was reconstructed from computed tomography data and literature parameters and validated against published axial and radial thermal conductivity measurements. The automated reduction yields a five-node thermal network preserving radial temperature distribution, which was coupled with five parallel Battery Table-Based blocks in MATLAB/Simulink R2024b to capture spatially distributed heat generation. Experimental validation under dynamic loading is performed using measured surface temperature and terminal voltage, showing strong agreement (surface temperature MAE ≈ 0.43 °C, terminal voltage MAE ≈ 16 mV). The resulting model enables physically informed estimation of internal thermal behavior, is interpretable, computationally efficient, and suitable for digital twin development. Full article
(This article belongs to the Special Issue Renewable Energy and Power Electronics Technology)
Show Figures

Figure 1

36 pages, 2139 KB  
Systematic Review
A Systematic Review of the Practical Applications of Synthetic Aperture Radar (SAR) for Bridge Structural Monitoring
by Homer Armando Buelvas Moya, Minh Q. Tran, Sergio Pereira, José C. Matos and Son N. Dang
Sustainability 2026, 18(1), 514; https://doi.org/10.3390/su18010514 - 4 Jan 2026
Viewed by 252
Abstract
Within the field of the structural monitoring of bridges, numerous technologies and methodologies have been developed. Among these, methods based on synthetic aperture radar (SAR) which utilise satellite data from missions such as Sentinel-1 (European Space Agency-ESA) and COSMO-SkyMed (Agenzia Spaziale Italiana—ASI) to [...] Read more.
Within the field of the structural monitoring of bridges, numerous technologies and methodologies have been developed. Among these, methods based on synthetic aperture radar (SAR) which utilise satellite data from missions such as Sentinel-1 (European Space Agency-ESA) and COSMO-SkyMed (Agenzia Spaziale Italiana—ASI) to capture displacements, temperature-related changes, and other geophysical measurements have gained increasing attention. However, SAR has yet to establish its value and potential fully; its broader adoption hinges on consistently demonstrating its robustness through recurrent applications, well-defined use cases, and effective strategies to address its inherent limitations. This study presents a systematic literature review (SLR) conducted in accordance with key stages of the Preferred Reporting Items for Systematic Reviews and Meta-Analyses (PRISMA) 2020 framework. An initial corpus of 1218 peer-reviewed articles was screened, and a final set of 25 studies was selected for in-depth analysis based on citation impact, keyword recurrence, and thematic relevance from the last five years. The review critically examines SAR-based techniques—including Differential Interferometric SAR (DInSAR), multi-temporal InSAR (MT-InSAR), and Persistent Scatterer Interferometry (PSI), as well as approaches to integrating SAR data with ground-based measurements and complementary digital models. Emphasis is placed on real-world case studies and persistent technical challenges, such as atmospheric artefacts, Line-of-Sight (LOS) geometry constraints, phase noise, ambiguities in displacement interpretation, and the translation of radar-derived deformations into actionable structural insights. The findings underscore SAR’s significant contribution to the structural health monitoring (SHM) of bridges, consistently delivering millimetre-level displacement accuracy and enabling engineering-relevant interpretations. While standalone SAR-based techniques offer wide-area monitoring capabilities, their full potential is realised only when integrated with complementary procedures such as thermal modelling, multi-sensor validation, and structural knowledge. Finally, this document highlights the persistent technical constraints of InSAR in bridge monitoring—including measurement ambiguities, SAR image acquisition limitations, and a lack of standardised, automated workflows—that continue to impede operational adoption but also point toward opportunities for methodological improvement. Full article
(This article belongs to the Special Issue Sustainable Practices in Bridge Construction)
Show Figures

Figure 1

37 pages, 3262 KB  
Article
Optimizing ATP Isothermal Tests: A Theoretical and Experimental Approach
by Juan P. Martínez-Val Piera and Alberto Ramos Millán
Entropy 2026, 28(1), 47; https://doi.org/10.3390/e28010047 - 30 Dec 2025
Viewed by 164
Abstract
The International Agreement on the Carriage of Perishable Foodstuffs and on the Special Equipment to Be Used for Such Carriage (usually known as ATP Treaty) defines a standardized isothermal test for qualifying refrigerated containers, but its current protocol is lengthy, costly and lacks [...] Read more.
The International Agreement on the Carriage of Perishable Foodstuffs and on the Special Equipment to Be Used for Such Carriage (usually known as ATP Treaty) defines a standardized isothermal test for qualifying refrigerated containers, but its current protocol is lengthy, costly and lacks scientific justification. This paper presents a combined theoretical and experimental study aimed at optimizing this procedure. First, a heat-transfer framework based on transient conduction and thermal diffusivity is developed to estimate stabilization times using dimensionless criteria. Then, extensive experimental tests on ATP containers validate these predictions and reveal additional phenomena such as air leakage and chimney effects. Based on these findings, a revised protocol is proposed that reduces the test duration from more than 18 h to approximately 2 h while preserving the thermal stabilization conditions required by ATP. Experimental results show that the uncertainty in the determination of the global heat-transfer coefficient K is reduced from about 2–2.3% in the classical ATP procedure to roughly 0.71.0% with the new protocol. In addition, the method suppresses secondary physical effects—such as chimney-driven air leakage and latent-heat losses due to water evaporation—thus improving the physical representativeness of the measured K value. The proposed accelerated protocol offers a scientifically grounded, cost-effective alternative for future ATP standards. Full article
Show Figures

Figure 1

34 pages, 6240 KB  
Article
Mechanistic Prediction of Machining-Induced Deformation in Metallic Alloys Using Property-Based Regression and Principal Component Analysis
by Mohammad S. Alsoufi and Saleh A. Bawazeer
Machines 2026, 14(1), 37; https://doi.org/10.3390/machines14010037 - 28 Dec 2025
Viewed by 285
Abstract
Accurately predicting machining-induced deformation is crucial for high-precision CNC turning, particularly when working with dissimilar metallic alloys. This study presents a novel, data-driven framework that integrates empirical deformation analysis, multivariate regression, and principal component analysis (PCA) to predict axial deformation as a function [...] Read more.
Accurately predicting machining-induced deformation is crucial for high-precision CNC turning, particularly when working with dissimilar metallic alloys. This study presents a novel, data-driven framework that integrates empirical deformation analysis, multivariate regression, and principal component analysis (PCA) to predict axial deformation as a function of intrinsic material properties, including Brinell hardness, thermal conductivity, and Young’s modulus. The approach begins with second-order polynomial modeling of experimentally observed force–deformation behavior, from which three physically interpretable coefficients, nonlinear (a), load-sensitive (b), and intercept (c), are extracted. Each coefficient is then modeled using log-linear power-law regression, revealing strong statistical relationships with material properties. Specifically, the nonlinear coefficient correlates predominantly with thermal conductivity, while both the linear and offset terms are governed mainly by hardness, with average R2 values exceeding 0.999 across all materials. To improve physical insight and reduce dimensionality, three non-dimensional ratios (H/E, k/E, H/k) are also introduced, enhancing correlation and interpretability. PCA further confirms that over 93% of the total variance in deformation behavior can be captured using just two principal components, with clear separation of materials based on thermomechanical signature and deformation coefficients. This is the first comprehensive study to unify empirical modeling, property-driven regression, and PCA for deformation prediction in CNC-machined alloys. The resulting framework offers a scalable, interpretable, and physically grounded alternative to black-box models, providing rapid screening of new materials, reduced experimental demand, and support for smart manufacturing applications, such as digital twins and material-informed process optimization. Full article
(This article belongs to the Section Advanced Manufacturing)
Show Figures

Figure 1

11 pages, 1962 KB  
Article
Height-Dependent Inter-Array Temperature Difference and Position-Dependent Intra-Array Temperature Gradient
by Akash Kumar, Nijanth Kothandapani, Sai Tatapudi, Sagar Bhoite and GovindaSamy TamizhMani
Energies 2026, 19(1), 111; https://doi.org/10.3390/en19010111 - 25 Dec 2025
Viewed by 172
Abstract
This study investigates the influence of array height, irradiance, and wind speed on temperature difference and thermal gradients in photovoltaic (PV) arrays operating in hot, arid conditions. A field experiment was conducted in Mesa, Arizona (latitude 33° N), using two fixed-tilt PV module [...] Read more.
This study investigates the influence of array height, irradiance, and wind speed on temperature difference and thermal gradients in photovoltaic (PV) arrays operating in hot, arid conditions. A field experiment was conducted in Mesa, Arizona (latitude 33° N), using two fixed-tilt PV module arrays installed at different elevations—one at 1 m and the other at 2 m above ground level. Each array comprised seven monocrystalline PV modules arranged in a single row with an 18° tilt angle optimized for summer performance. Data were collected between June and September 2025, and the analysis was restricted to 10:00–13:00 h to avoid shading and ensure uniform irradiance exposure on both arrays. Measurements included module backsheet temperatures at the center and edge modules, ambient temperature, plane-of-array (POA) irradiance, and wind speed. By maintaining identical orientation, tilt, and exposure conditions across all PV configurations, the influence of array height was isolated by comparing module operating temperatures between the 1-m and 2-m installations (inter-array comparison). Under the same controlled conditions, the setup also enabled an examination of how the intra-array comparison affects temperature gradients along the PV modules themselves, thereby revealing edge-center thermal non-uniformities. Results indicate that the 2 m array consistently operated 1–3 °C cooler than the 1 m array, confirming the positive impact of elevation on convective cooling. This reduction corresponds to a 0.4–0.9% improvement in module efficiency or power based on standard temperature coefficients of crystalline silicon modules. The 1 m array exhibited a mean edge–center intra-array temperature gradient of −1.54 °C, while the 2 m array showed −2.47 °C, indicating stronger edge cooling in the elevated configuration. The 1 m array displayed a broader temperature range (−7 °C to +3 °C) compared to the 2 m array (−5 °C to +2 °C), reflecting greater variability and weaker convective uniformity near ground level. The intra-array temperature gradient became more negative as irradiance increased, signifying intensified edge cooling under higher solar loading. Conversely, wind speed inversely affected ΔT, mitigating thermal gradients at higher airflow velocities. These findings highlight the importance of array height (inter-array), string length (intra-array), irradiance, and wind conditions in optimizing PV system thermal and electrical performance. Full article
(This article belongs to the Special Issue Solar Energy and Resource Utilization—2nd Edition)
Show Figures

Figure 1

23 pages, 3569 KB  
Article
Performance Assessment and Heat Loss Analysis of Anaerobic Digesters in Wastewater Treatment Plants—Case Study
by Ewelina Stefanowicz, Agnieszka Chmielewska and Małgorzata Szulgowska-Zgrzywa
Energies 2026, 19(1), 106; https://doi.org/10.3390/en19010106 - 24 Dec 2025
Viewed by 301
Abstract
This study investigates the energy performance of anaerobic digesters in a municipal wastewater treatment plant by integrating empirical data from two tanks located at different distances from the heat source with simulation results. The analysis of measurements enabled the determination of heat transferred [...] Read more.
This study investigates the energy performance of anaerobic digesters in a municipal wastewater treatment plant by integrating empirical data from two tanks located at different distances from the heat source with simulation results. The analysis of measurements enabled the determination of heat transferred to the raw sludge, total heat losses of both systems, and provided input data for an hourly simulation of the thermal balance of the digester envelope. An analytical model was developed, including separate equations for the sludge and biogas phases, considering heat losses caused by mass transfer, conduction, convection, and radiation, as well as solar heat gains. The results show that the temperature difference between sludge and biogas exhibits seasonal variation, with a maximum value of 10.5 K, while the desired operational temperature of sludge fermentation is maintained at 38 °C. The total annual heat balance of the anaerobic digester in 2024 was estimated at 202.8 MWh, with the following structure: aboveground walls 46%, ground-contact partitions 30%, and dome 24%. Model validation using data from one of the digesters indicated a total system energy demand of 1812.0 MWh, distributed as follows: heat transferred to raw sludge 88.6%, heat transfer losses 0.2%, and digester envelope balance 11.2%. Replacing the thermal insulation of the aboveground section could reduce heat losses by 70.7 MWh, decreasing the total energy demand of the system by 3.9%. Comparison with the second digester revealed an energy gap of 166.3 MWh, which may be attributed to higher transmission losses or degradation of the insulation layer. Full article
(This article belongs to the Section J: Thermal Management)
Show Figures

Figure 1

38 pages, 8925 KB  
Article
Simulation-Based Hybrid Analysis of Eco-Friendly Wall Coatings Using LODECI, MAXC and DEPART Methods for Energy-Efficient Buildings
by Figen Balo, Alptekin Ulutaş, İlknur Arı, Dillip Kumar Das and Željko Stević
Buildings 2026, 16(1), 19; https://doi.org/10.3390/buildings16010019 - 19 Dec 2025
Viewed by 254
Abstract
Thermal insulation is essential in lowering the energy consumption of buildings. However, many fossil-based insulation and exterior cladding materials are derived from petrochemical components, which often have adverse ecological impacts. This study explores the effectiveness of integrating sustainable thermal insulation solutions into building [...] Read more.
Thermal insulation is essential in lowering the energy consumption of buildings. However, many fossil-based insulation and exterior cladding materials are derived from petrochemical components, which often have adverse ecological impacts. This study explores the effectiveness of integrating sustainable thermal insulation solutions into building design to reduce energy consumption and minimize ecological impact. Focusing on an energy-efficient breakfast house located in Van, Turkey, the project was modeled using Autodesk-Revit software (2023). A comprehensive analysis was conducted by generating eighty alternative scenarios, combining two distinct wall structures, eight fiber-based natural insulation materials, and five wood-based exterior cladding materials. The energy performance of each scenario was evaluated using IES-VE software (2024.1), focusing on annual total energy consumption and CO2 emissions, while accounting for regional climatic conditions and targeted indoor comfort levels. To further refine the selection of optimal materials, a hybrid evaluation was performed using multi-attribute decision approaches, including LODECI, MAXC, and DEPART. These methods provided a systematic framework for comparing the performance of wood-based insulation materials across multiple criteria. In order to verify the accuracy of the proposed multi-attribute decision models, a comparative analysis has been undertaken with other multi-attribute decision methods (COPRAS, ARAS and WASPAS). The study highlights the technical feasibility of incorporating cost-effective, eco-friendly fiber-based and wood-based materials into building envelopes, demonstrating their potential to significantly enhance energy efficiency and reduce environmental impact. By combining advanced simulation tools with robust decision-making methodologies, this research offers a scientifically grounded approach to sustainable architectural design, providing important outputs for future applications in energy-efficient construction. Full article
(This article belongs to the Section Building Energy, Physics, Environment, and Systems)
Show Figures

Figure 1

16 pages, 1259 KB  
Article
Impact and Detection of Coil Asymmetries in a Permanent Magnet Synchronous Generator with Parallel Connected Stator Coils
by Nikolaos Gkiolekas, Alexandros Sergakis, Marios Salinas, Markus Mueller and Konstantinos N. Gyftakis
Machines 2026, 14(1), 6; https://doi.org/10.3390/machines14010006 - 19 Dec 2025
Viewed by 251
Abstract
Permanent magnet synchronous generators (PMSGs) are suitable for offshore applications due to their high efficiency and power density. Inter-turn short circuits (ITSCs) stand as one of the most critical faults in these machines due to their rapid evolution in phase or ground short [...] Read more.
Permanent magnet synchronous generators (PMSGs) are suitable for offshore applications due to their high efficiency and power density. Inter-turn short circuits (ITSCs) stand as one of the most critical faults in these machines due to their rapid evolution in phase or ground short circuits. It is therefore necessary to detect ITSCs at an early stage. In the literature, ITSC detection is often based on current signal processing methods. One of the challenges that these methods face is the presence of imperfections in the stator coils, which also affects the three-phase symmetry. Moreover, when the stator coils are connected in parallel, this type of fault becomes important, as circulating currents will flow between the parallel windings. This, in turn, increases the thermal stress on the insulation and the permanent magnets, while also exacerbating the vibrations of the generator. In this study, a finite-element analysis (FEA) model has been developed to simulate a dual-rotor PMSG under conditions of coil asymmetry. To further investigate the impact of this asymmetry, mathematical modeling has been conducted. For fault detection, negative-sequence current (NSC) analysis and torque monitoring have been used to distinguish coil asymmetry from ITSCs. While both methods demonstrate potential for fault identification, NSC induced small amplitudes and the torque analysis was unable to detect ITSCs under low-severity conditions, thereby underscoring the importance of developing advanced strategies for early-stage ITSC detection. The innovative aspect of this work is that, despite these limitations, the combined use of NSC phase-angle tracking and torque harmonic analysis provides, for the first time in a core-less PMSG with parallel-connected coils, a practical way to distinguish ITSC from coil asymmetry, even though both faults produce almost identical signatures in conventional current-based indices. Full article
(This article belongs to the Special Issue Fault Diagnostics and Fault Tolerance of Synchronous Electric Drives)
Show Figures

Figure 1

19 pages, 2166 KB  
Article
A Modified Ampacity Calculation Method for High-Voltage Cables Considering Grounding Modes
by Qianqiu Shao, Songhai Fan, Zongxi Zhang, Fenglian Liu, Jinkui Lu, Zhengzheng Fu and Pinlei Lv
Appl. Sci. 2025, 15(24), 13071; https://doi.org/10.3390/app152413071 - 11 Dec 2025
Viewed by 319
Abstract
To address the limitation of the IEC 60287 standard in accurately representing the electrothermal characteristics of cables under different grounding conditions, this study proposes a modified equivalent thermal resistance method, using a YJLW03-Z 64/110 1 × 1200 mm2 high-voltage single-core cable as [...] Read more.
To address the limitation of the IEC 60287 standard in accurately representing the electrothermal characteristics of cables under different grounding conditions, this study proposes a modified equivalent thermal resistance method, using a YJLW03-Z 64/110 1 × 1200 mm2 high-voltage single-core cable as a case study to analyze three typical grounding modes, namely two-end solid bonding, segmented solid bonding, and semiconductive outer sheath. Equivalent circuit models are established to calculate the induced current, voltage, and losses of the metallic sheath and armor. Based on these results, the equivalent thermal resistance model is modified, and correction formulas for cable ampacity considering grounding effects are derived. The proposed model is validated through numerical simulations under typical laying conditions and field tests conducted in Zhoushan, Zhejiang Province. Results show that grounding modes significantly influence the electromagnetic losses and temperature distribution of cables. Segmented solid bonding effectively reduces sheath losses and increases ampacity, while its enhancement tends to stabilize beyond two bonding sections. The semiconductive outer sheath improves electric field distribution and thermal stability with limited ampacity gain. This study provides theoretical guidance and engineering reference for optimizing grounding designs, ampacity evaluation, and digital operation of high-voltage cable systems. Full article
(This article belongs to the Section Electrical, Electronics and Communications Engineering)
Show Figures

Figure 1

28 pages, 6534 KB  
Article
Multi-Parameter and Multi-Layer Observations of Electromagnetic Precursors to a Huge Hokkaido Earthquake (M = 6.7) on 5 September, 2018, and Lithosphere–Atmosphere–Ionosphere Coupling Channel
by Masashi Hayakawa, Maria Solovieva, Galina Kopylova, Shinji Hirooka, Sudipta Sasmal, Kousik Nanda, Shih-Sian Yang, Koichiro Michimoto and Hide’aki Hinata
Atmosphere 2025, 16(12), 1372; https://doi.org/10.3390/atmos16121372 - 3 Dec 2025
Viewed by 404
Abstract
A series of multi-parameter, multi-layer observations was conducted to study possible electromagnetic precursors associated with the M 6.7 earthquake that struck Iburi, Hokkaido, Japan, at 18:07:59 UT on 5 September 2018. The most significant observation is seismogenic lower-ionospheric perturbations in the propagation anomalies [...] Read more.
A series of multi-parameter, multi-layer observations was conducted to study possible electromagnetic precursors associated with the M 6.7 earthquake that struck Iburi, Hokkaido, Japan, at 18:07:59 UT on 5 September 2018. The most significant observation is seismogenic lower-ionospheric perturbations in the propagation anomalies of sub-ionospheric VLF/LF signals recorded in Japan and Russia. Other substantial observations include the GIM-TEC irregularities, the intensification of stratospheric atmospheric gravity waves (AGWs), and the satellite and ground monitoring of air temperature (T), relative humidity (RH), atmospheric chemical potential (ACP), and surface latent heat flux (SLHF). We have found that there were very remarkable VLF/LF anomalies indicative of lower-ionospheric perturbations observed on 4 and 5 September just before the EQ date and even after it from the observations in Japan and Russia. In particular, the anomaly was detected for a particular propagation path from the JJY transmitter (Fukushima) to a VLF station at Wakkanai one day before the EQ, i.e., on 4 September, and is objectively confirmed by machine/deep learning analysis. An anomaly in TEC occurred only on 5 September, but it is unclear whether it is related to a pre-EQ effect or a minor geomagnetic storm. We attempted to determine whether any seismo-related atmospheric gravity wave (AGW) activity occurred in the stratosphere. Although numerous anomalies were detected, they are most likely associated with convective weather phenomena, including a typhoon. Finally, the Earth’s surface parameters based on satellite monitoring seem to indicate some anomalies from 29 August to 3, 4, and 5 September, a few days prior to EQ data, but the ground-based observation close to the EQ epicenter has indicated a clear T/RH and ACP on 2 September with fair weather, but no significant data on subsequent days because of severe meteorological activities. By integrating multi-layer observations, the LAIC (lithosphere–atmosphere–ionosphere coupling) process for the Hokkaido earthquake appears to follow a slow diffusion-type channel, where ionospheric perturbations arise a few days after ground thermal anomalies. This study also provides integrated evidence linking concurrent lower-ionospheric, atmospheric, and surface thermal anomalies, emphasizing the diagnostic value of such multi-parameter observations in understanding EQ-associated precursor signatures. Full article
Show Figures

Figure 1

31 pages, 37241 KB  
Article
DEM-Based UAV Geolocation of Thermal Hotspots on Complex Terrain
by Lucile Rossi, Frédéric Morandini, Antoine Burglin, Jean Bertrand, Clément Wandon, Aurélien Tollard and Antoine Pieri
Remote Sens. 2025, 17(23), 3911; https://doi.org/10.3390/rs17233911 - 2 Dec 2025
Viewed by 672
Abstract
Reliable geolocation of thermal hotspots, such as smoldering embers that can reignite after vegetation fire suppression, deep-seated peat fires, or underground coal seam fires, is critical to prevent fire resurgence, limit prolonged greenhouse gas emissions, and mitigate environmental and health impacts. This study [...] Read more.
Reliable geolocation of thermal hotspots, such as smoldering embers that can reignite after vegetation fire suppression, deep-seated peat fires, or underground coal seam fires, is critical to prevent fire resurgence, limit prolonged greenhouse gas emissions, and mitigate environmental and health impacts. This study develops and tests an algorithm to estimate the GPS positions of thermal hotspots detected in infrared images acquired by an unmanned aerial vehicle (UAV), designed to operate over flat and mountainous terrain. Its originality lies in a reformulated Bresenham traversal of the digital elevation model (DEM), combined with a lightweight, ray-tracing-inspired strategy that efficiently detects the intersection of the optical ray with the terrain by approximating the ray altitude at the cell level. UAV flight experiments in complex terrain were conducted, with thermal image acquisitions performed at 60 m and 120 m above ground level and simulated hotspots generated using controlled heat sources. The tests were carried out with two thermal cameras: a Zenmuse H20T mounted on a Matrice 300 UAV flown both with and without Real-Time Kinematic (RTK) positioning, and a Matrice 30T UAV without RTK. The implementation supports both real-time and post-processed operation modes. The results demonstrated robust and reliable geolocation performance, with mean positional errors consistently below 4.2 m for all the terrain configurations tested. A successful real-time operation in the test confirmed the suitability of the algorithm for time-critical intervention scenarios. Since July 2024, the post-processed version of the method has been in operational use by the Corsica fire services. Full article
Show Figures

Graphical abstract

27 pages, 5944 KB  
Article
Street Canyon Microclimate Effect on Thermal Comfort at Entrances and Exits of Underground Commercial Streets: Measured and ENVI-Met Simulation
by Dongqing Zhong, Yancui Gao, Lingxiang Wei, Xingqing Gu, Tian Li, Jingnan Xu, Lei Yao and Ziye Liu
Buildings 2025, 15(22), 4147; https://doi.org/10.3390/buildings15224147 - 18 Nov 2025
Viewed by 997
Abstract
In response to the demand for high-density urban renewal and quality enhancement, the microclimate of street canyon spaces has become a critical factor influencing pedestrian experience and public space vitality. As key nodes connecting above-ground and underground spaces, the entrances and exits of [...] Read more.
In response to the demand for high-density urban renewal and quality enhancement, the microclimate of street canyon spaces has become a critical factor influencing pedestrian experience and public space vitality. As key nodes connecting above-ground and underground spaces, the entrances and exits of underground commercial streets are particularly sensitive to temperature, humidity, and wind conditions. This study examined a semi-open street canyon adjacent to Entrance No. 11 of the Jianjun Road Underground Commercial Street in Yancheng City as a case study. Through continuous field measurements and numerical simulations using ENVI-met v5.5.1, we conducted a comprehensive analysis. Five monitoring points were established at a height of 1.5 m to simultaneously record the air temperature, relative humidity, wind speed, and thermal radiation images. The results indicate that ventilation acceleration zones form near openings and channel constrictions, whereas leeward sides and corners are prone to stagnant airflow and heat accumulation. During afternoon periods with strong solar radiation and low wind speeds, the predicted mean vote (PMV) values near the entrance increased significantly. The simulation results were in good agreement with the field observations in terms of both the trend and spatial distribution. On the basis of these findings, optimization strategies are proposed including controlling enclosure ratios and local height-to-width ratios, utilizing ventilation corridors and side openings to guide airflow, and incorporating shading devices and low-emissivity materials to improve pedestrian thermal comfort and accessibility. Full article
(This article belongs to the Special Issue Built Environment and Thermal Comfort)
Show Figures

Figure 1

31 pages, 6735 KB  
Article
Comparison of Vegetation Indices from Sentinel-2 on Table Grape Plastic-Covered Vineyards: Utilisation of Spectral Correction and Correlation with Yield
by Giuseppe Roselli, Giovanni Gentilesco, Antonio Serra and Antonio Coletta
Horticulturae 2025, 11(11), 1385; https://doi.org/10.3390/horticulturae11111385 - 17 Nov 2025
Viewed by 709
Abstract
Climate change represents a critical challenge for viticulture worldwide, primarily through increased heat stress, more frequent and severe drought periods, and unseasonal rainfall events. There is increasing evidence of its negative effects on both thermal regimes—potentially leading to accelerated phenology and unbalanced sugar-to-acid [...] Read more.
Climate change represents a critical challenge for viticulture worldwide, primarily through increased heat stress, more frequent and severe drought periods, and unseasonal rainfall events. There is increasing evidence of its negative effects on both thermal regimes—potentially leading to accelerated phenology and unbalanced sugar-to-acid ratios—and hydric regimes—causing water stress that impacts berry development and final yield. The use of plastic covering in vineyards is a widespread technique, particularly in regions with high climatic variability such as the Mediterranean Basin (e.g., Southern Italy, Spain, Greece), aimed at protecting both vegetation and grapes from external factors such as hail, heavy rainfall, wind, and extreme solar radiation, which can cause physical damage, promote fungal diseases, and lead to berry sunburn. This study explores the impact of six distinct commercial plastic films, with varying optical properties, on the retrieval and accuracy of vegetation indices derived from Sentinel-2 imagery in a mid-season table grape vineyard (Autumn Crisp®) in Southern Italy during the 2024 growing season. Laboratory spectroradiometric analyses were conducted to measure film-specific transmittance and reflectance factors from 200 to 1500 nm, enabling the development of a first-order linear spectral correction model applied to Sentinel-2 imagery. Vegetation indices (NDVI, CVI, GNDVI, LWCI) were corrected for plastic interference and analysed through univariate statistics and Principal Component Analysis. Results showed that after applying the spectral correction model, film T2 displayed the higher NDVI value (0.73). Films T3 and T4—characterised by high visible light transmittance (>39%) and low reflectance (<11% in the Red/NIR)—resulted in lower vine vigour and photosynthetic activity, with mean corrected NDVI values equal to 0.70, though still significantly higher than those of films T1 (0.65) and T5 (0.67). Films T6 and T1 were associated with greater water conservation, as indicated by the highest mean LWCI values (T6: 0.59; T1: 0.52), but lower chlorophyll-related signals, evidenced by the lowest mean CVI values (T6: 1.31; T1: 1.74) and GNDVI values (T6: 0.46; T1: 0.48). Among the corrected indices, NDVI demonstrated strong positive correlations with yield (r = 0.900) and total soluble solids per vine (TSS*vine, in kg), a key quality parameter representing the total sugar yield (r = 0.883), supporting its suitability as an index for vine productivity and fruit quality. The proposed correction method significantly improves the reliability of remote sensing in covered vineyards, as demonstrated by the strong correlations between corrected NDVI and yield (R2 = 0.810) and sugar content (R2 = 0.779), relationships that were not analysable with the uncorrected data; may guide film selection—opting for high-transmittance films (e.g., T2, T3) for yield or water-conserving films (e.g., T6) for stress mitigation—and irrigation strategies, such as using the corrected LWCI for precision scheduling. Future efforts should include angular effects and ground-truth validation to enhance correction accuracy and operational relevance. Full article
(This article belongs to the Section Fruit Production Systems)
Show Figures

Figure 1

18 pages, 6097 KB  
Article
Impact Characteristic Analysis of Tower Foundation Under Concealed Conductive Paths with Grounding Grid Based on a Scaled Model
by Ziheng Pu, Ruize Qin, Peng Li and Tian Wu
Appl. Sci. 2025, 15(22), 12143; https://doi.org/10.3390/app152212143 - 16 Nov 2025
Viewed by 310
Abstract
Concealed conductive connections between a transmission tower’s grounding grid and its foundation can cause a portion of the lightning strike current to enter the foundation and concentrate at the concealed conduction locations, thereby increasing the risk of foundation deterioration. To investigate the impact [...] Read more.
Concealed conductive connections between a transmission tower’s grounding grid and its foundation can cause a portion of the lightning strike current to enter the foundation and concentrate at the concealed conduction locations, thereby increasing the risk of foundation deterioration. To investigate the impact characteristics of such currents on the foundation under this operating condition, this study first establishes an electro-thermal-mechanical coupled finite-element model of the tower foundation that incorporates a subsurface concealed conductive loop, and compares the foundation’s temperature rise and mechanical characteristics under lightning currents and under power-frequency follow currents. The results indicate that power-frequency follow current poses a substantially greater hazard to the foundation than lightning current. Based on similarity theory, scaling laws for the foundation subjected to the impacts of power-frequency follow current are then derived. Considering that the intrinsic electro-thermal properties of the foundation cannot be altered in the scaled model, a parameter correction method is proposed according to quasi-similarity criteria. The corrected scaled-model results are compared with those of the prototype in simulation, and principal indicators exhibit deviations within 3%. A physical scaled model was subsequently designed and fabricated for impact testing, and ultrasonic inspection was used to assess potential damage in the concealed conduction region. The results show that under the action of power-frequency follow currents, the maximum temperature at the concealed conductive region reaches 124 °C, with deviations of 2.83% from the prototype simulation and 3.58% from the scaled-model simulation. The tower foundation was subjected to 20 power-frequency follow current impacts. After each impact and subsequent cooling, ultrasonic measurements of wave propagation velocity at the concealed conduction center decreased from 3.797 km/s to 3.571 km/s. The observed reduction in wave speed indicates a loss of local concrete structural integrity and suggests the risk of performance degradation and initiation of microcracks. These findings provide a reference basis for assessing the safety of tower foundations under concealed conduction conditions. Full article
Show Figures

Figure 1

Back to TopTop