Sign in to use this feature.

Years

Between: -

Subjects

remove_circle_outline
remove_circle_outline
remove_circle_outline
remove_circle_outline
remove_circle_outline
remove_circle_outline
remove_circle_outline
remove_circle_outline
remove_circle_outline

Journals

remove_circle_outline
remove_circle_outline
remove_circle_outline
remove_circle_outline
remove_circle_outline
remove_circle_outline
remove_circle_outline
remove_circle_outline
remove_circle_outline
remove_circle_outline
remove_circle_outline

Article Types

Countries / Regions

remove_circle_outline
remove_circle_outline
remove_circle_outline
remove_circle_outline
remove_circle_outline
remove_circle_outline

Search Results (742)

Search Parameters:
Keywords = the partial least squares regression (PLS)

Order results
Result details
Results per page
Select all
Export citation of selected articles as:
20 pages, 1405 KB  
Article
ESG Narrative Quality in Green Bond Disclosures: Implications for Risk Perception, Transparency, and Market Trust
by Parul Gaur, Mohammad Irfan, R Kanesaraj Ramasamy, Shakeeb Mohammad Mir and Parameswaran Subramanian
Risks 2026, 14(1), 1; https://doi.org/10.3390/risks14010001 - 22 Dec 2025
Abstract
This research evaluates the extent to which firms’ “green” bond disclosures create and convey a meaningful representation of their Environmental, Social, and Governance (“ESG”) commitments. Additionally, this research explores how investors distinguish between disclosures that represent genuine commitment to sustainability and those that [...] Read more.
This research evaluates the extent to which firms’ “green” bond disclosures create and convey a meaningful representation of their Environmental, Social, and Governance (“ESG”) commitments. Additionally, this research explores how investors distinguish between disclosures that represent genuine commitment to sustainability and those that may be indicative of “greenwashing,” and how such distinctions impact their assessment of an issuer’s credibility as well as the issuer’s performance subsequent to the issuance of a “green” bond. The methodology employed in this research employs a convergent mixed-methods approach that combines quantitative methods (Natural Language Processing (“NLP”), financial modeling, etc.) with qualitative methodologies (case studies, interviews). The NLP methodology employed in this research includes sentiment analysis, topic modeling, and ambiguity measurement in order to determine the tone, thematic content, and linguistic clarity of the disclosure texts. Subsequently, the results of the NLP methodologies are correlated with firm level outcomes using cross validated partial least squares regression (“PLS-R”), event study methodologies, and one way ANOVA to test for temporal and industrial variability. Finally, the results of the computational and financial methodologies are supplemented by qualitative case studies and interviews to provide context for the patterns identified in the computational and financial methodologies. In summary, the results of this research demonstrate that firms that communicate in a clear, balanced, and verifiable manner experience better market reaction and more favorable accounting results subsequent to the issuance of a “green” bond than do firms whose communications are vague, overly optimistic, or lacking in consistency. Conversely, the findings suggest that investors have become increasingly sensitive to potential “greenwashing” and therefore are less likely to respond favorably to communications characterized by the aforementioned characteristics. Full article
Show Figures

Figure 1

26 pages, 1894 KB  
Article
Biochemical Associations with Depression, Anxiety, and Stress in Hemodialysis: The Role of Albumin, Calcium, and β2-Microglobulin According to Gender
by Gloria M. Zaragoza Fernández, Elena Jiménez Mayor, Avinash Chandu Nanwani, Celia Rodríguez Tudero, José C. De La Flor and Rafael Fernández Castillo
Biomedicines 2025, 13(12), 3092; https://doi.org/10.3390/biomedicines13123092 - 15 Dec 2025
Viewed by 218
Abstract
Background: Psychological distress is common in hemodialysis patients and is linked to worse clinical outcomes and lower quality of life. Nutritional and inflammatory disturbances may impact emotional well-being. Gender likely acts as a biological and psychosocial modifier. This study examined the link [...] Read more.
Background: Psychological distress is common in hemodialysis patients and is linked to worse clinical outcomes and lower quality of life. Nutritional and inflammatory disturbances may impact emotional well-being. Gender likely acts as a biological and psychosocial modifier. This study examined the link between depression, anxiety, and stress in hemodialysis patients and a broad range of biochemical markers, focusing on gender as a main factor. Methods: A cross-sectional study included 54 adults on maintenance hemodialysis at a hospital in Madrid, Spain. Emotional distress was measured using the DASS-21. Predialysis biochemical markers assessed were β2-microglobulin, albumin, hemoglobin, hematocrit, phosphorus, potassium, iron, calcium, and vitamin D. Statistical analyses included Spearman correlations, HC3-robust regressions with Gender × Biomarker interactions, false discovery rate correction (q = 0.10), penalized regressions (ridge/LASSO), partial least squares structural equation modeling (PLS-SEM), and mixed-cluster analysis. Results: Women reported higher depression, anxiety, and stress, and had lower albumin, calcium, and vitamin D (p < 0.05). Depression was independently linked to female gender, lower calcium, and the Gender × β2-microglobulin interaction (adjusted R2 = 0.30). In PLS-SEM analysis, a latent global psychological distress measure was directly related to β2-microglobulin and inversely related to albumin and calcium (R2 = 0.47). Nutritional markers partly mediated the gender–distress link. Cluster analysis found three biopsychosocial profiles: metabolically balanced, catabolic–emotional, and resilient–compensated. Conclusions: Gender shapes the relationships among inflammation, nutrition, and psychological distress in hemodialysis. Including gender-sensitive emotional and nutritional assessments in nephrology nursing could foster more personalized and practical care. Findings highlight the value of gender-aware psycho-nutritional screening in dialysis. Full article
(This article belongs to the Section Cell Biology and Pathology)
Show Figures

Figure 1

18 pages, 2984 KB  
Article
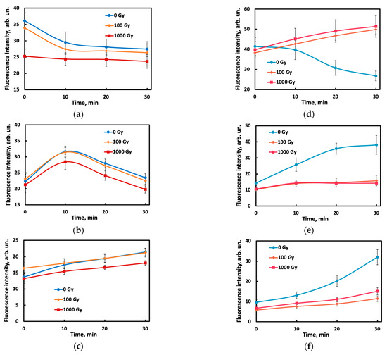
Determining Irradiation Dose in Potato Tubers During Storage Using Reaction-Based Pattern Recognition Method
by Yana V. Zubritskaya, Anna V. Shik, Irina A. Stepanova, Sergey A. Zolotov, Polina Yu. Borshchegovskaya, Ulyana A. Bliznyuk, Irina A. Ananieva, Alexander P. Chernyaev, Igor A. Rodin and Mikhail K. Beklemishev
Foods 2025, 14(24), 4285; https://doi.org/10.3390/foods14244285 - 12 Dec 2025
Viewed by 191
Abstract
Food irradiation is increasingly used to extend shelf life and control pests and diseases. Monitoring post-treatment doses typically relies on expensive, laborious instruments and may miss low doses. We previously proposed a chemical fingerprinting method that estimates dose based on indicator reaction rates, [...] Read more.
Food irradiation is increasingly used to extend shelf life and control pests and diseases. Monitoring post-treatment doses typically relies on expensive, laborious instruments and may miss low doses. We previously proposed a chemical fingerprinting method that estimates dose based on indicator reaction rates, but this approach was tested only on freshly irradiated samples. In this study, we investigated the feasibility of determining the order of magnitude of dose in irradiated raw potato tubers after several days of storage. A completely randomized experimental design was used. Water extracts of potatoes were assayed in oxidation–reduction and aggregation reactions in 96-well plates; reaction rates were tracked by absorbance and fluorescence and analyzed chemometrically. We could distinguish dose orders of magnitude (0, 100, 1000 Gy) after 0, 2, and 6 days of storage at 4 °C. The accuracy of dose recognition on day 6 was at least 97% by using SoftMax regression (SR) or linear discriminant analysis (LDA); irradiated and non-irradiated samples were confidently distinguished using partial least square–discriminant analysis (PLS-DA). The reaction-based method of dose assessment is simple, rapid, and does not require sophisticated equipment. Full article
(This article belongs to the Special Issue Analytical and Chemometrics Techniques in Food Quality and Safety)
Show Figures

Figure 1

22 pages, 1782 KB  
Article
Monitoring the Transformation of Organic Matter During Composting Using 1H NMR Spectroscopy and Chemometric Analysis
by Rubén Gonsálvez-Álvarez, Encarnación Martínez-Sabater, María Ángeles Bustamante, Mario Piccioli, José A. Saez-Tovar, Luciano Orden, Concepción Paredes, Raúl Moral and Frutos C. Marhuenda-Egea
Biomass 2025, 5(4), 76; https://doi.org/10.3390/biomass5040076 - 1 Dec 2025
Viewed by 282
Abstract
Composting is an effective biotechnological process for transforming agro-industrial residues into stabilized and nutrient-rich organic amendments. However, the molecular mechanisms underlying organic matter transformation remain poorly resolved. In this study, a mixture of winery by-products and poultry manure was composted under controlled aeration [...] Read more.
Composting is an effective biotechnological process for transforming agro-industrial residues into stabilized and nutrient-rich organic amendments. However, the molecular mechanisms underlying organic matter transformation remain poorly resolved. In this study, a mixture of winery by-products and poultry manure was composted under controlled aeration and monitored through high-field 1H NMR spectroscopy of the water-extractable organic matter (WEOM), followed by interval-based chemometric analysis. The NMR spectra revealed distinct compositional trends, including the rapid depletion of amino acids and carbohydrates, the transient accumulation of low-molecular-weight organic acids, and the gradual enrichment in aromatic and phenolic compounds associated with humification processes. Chemometric modeling using Partial Least Squares (PLS) regression and its interval variants (iPLS and biPLS) enabled accurate prediction of composting time (r ≈ 0.95) and identification of diagnostic spectral intervals corresponding to key metabolites. These findings demonstrate the capability of NMR-based molecular profiling, combined with multivariate modeling, to elucidate the biochemical pathways of composting and to provide quantitative indicators of compost stability and maturity. Full article
Show Figures

Figure 1

16 pages, 14493 KB  
Article
Serum Kynurenine Pathway Metabolites as Candidate Diagnostic Biomarkers for Pituitary Adenoma: A Case–Control Study
by Nur Düzen Oflas, Halil İbrahim Akbay, Murat Alay and Mehmet Erdem
Medicina 2025, 61(12), 2120; https://doi.org/10.3390/medicina61122120 - 28 Nov 2025
Viewed by 231
Abstract
Background and Objectives: Pituitary adenomas are common intracranial tumors lacking specific non-invasive biomarkers. This study aimed to determine whether key metabolites and enzymes of the kynurenine pathway—including indoleamine 2,3-dioxygenase (IDO), kynurenine (KYN), kynurenic acid (KYNA), kynurenine aminotransferase (KAT), quinolinic acid, and picolinic [...] Read more.
Background and Objectives: Pituitary adenomas are common intracranial tumors lacking specific non-invasive biomarkers. This study aimed to determine whether key metabolites and enzymes of the kynurenine pathway—including indoleamine 2,3-dioxygenase (IDO), kynurenine (KYN), kynurenic acid (KYNA), kynurenine aminotransferase (KAT), quinolinic acid, and picolinic acid—can serve as diagnostic biomarkers distinguishing patients with pituitary adenomas from healthy controls. Materials and Methods: We conducted a single-center, cross-sectional, case–control study with 50 patients with pituitary adenomas and 35 healthy controls. Serum levels of IDO, KYN, KYNA, KAT, quinolinic acid, and picolinic acid were measured via enzyme-linked immunosorbent assay (ELISA). Statistical analyses included group comparisons (t-test/Mann–Whitney U), multivariate logistic regression to identify independent predictors, receiver operating characteristic (ROC) curve analysis to evaluate diagnostic performance (area under the curve, AUC), and partial least squares discriminant analysis (PLS-DA) for multivariate metabolic profiling. Results: Serum kynurenine, kynurenic acid, 3-hydroxykynurenine, picolinic acid, IDO and kynureninase were significantly higher in the pituitary adenoma group than in healthy controls (p < 0.001), while tryptophan, kynurenine aminotransferase, anthranilic acid and quinolinic acid showed no significant differences. ROC analysis demonstrated excellent diagnostic accuracy, with KAT (AUC = 0.923) and KYNA (AUC = 0.901) showing the highest discrimination. Multivariate logistic regression identified IDO, KYN, and KYNA as independent predictors of pituitary adenoma (p < 0.05). PLS-DA of the combined metabolite data also demonstrated clear separation between patients and controls, confirming distinct metabolic profiles between the groups. Conclusions: Kynurenine pathway metabolites and enzymes show strong potential as non-invasive biomarkers for pituitary adenomas. In particular, elevated KAT and KYNA levels demonstrated high diagnostic performance. These findings suggest that a panel of kynurenine pathway metabolites could aid in the early, non-invasive detection of pituitary adenomas. Full article
(This article belongs to the Collection The Utility of Biomarkers in Disease Management Approach)
Show Figures

Figure 1

14 pages, 1078 KB  
Article
Modeling of Medical Waste Generation in Dental Clinics Affiliated to the Provincial Health Directorate in Kastamonu: PLS and Gradient Boosting Approaches
by Ergin Kalkan, İbrahim Budak, Gürkan Kaya and Elif Gül Aydın
Processes 2025, 13(12), 3820; https://doi.org/10.3390/pr13123820 - 26 Nov 2025
Viewed by 316
Abstract
Effective medical waste planning relies on the reliable estimation of waste volumes. As operational factors diversify, traditional linear regressions often fail to capture the underlying structure, whereas latent variable–based and ensemble approaches can better represent this complexity. In this study, fine-tuned Partial Least [...] Read more.
Effective medical waste planning relies on the reliable estimation of waste volumes. As operational factors diversify, traditional linear regressions often fail to capture the underlying structure, whereas latent variable–based and ensemble approaches can better represent this complexity. In this study, fine-tuned Partial Least Squares (PLS), scikit-learn–based Gradient Boosting regression (GBR), and a baseline Ordinary Least Squares (OLS) model were compared for estimating medical waste generation using 48 months (2021–2024) of approximate data from Dental Clinics affiliated with the Provincial Health Directorate in Kastamonu. The model inputs were the monthly procedure counts for endodontics, treatment, prosthetics, periodontology, orthodontics, pedodontics, and surgery. Performance was evaluated using Root Mean Square Error (RMSE), Mean Absolute Error (MAE) and R-squared (R2). All models produced accurate predictions; however, PLS provided the strongest fit (R2 = 0.979; MAE = 30.488; RMSE = 37.043), outperforming GBR (R2 = 0.962; MAE = 36.544; RMSE = 48.990) and the OLS baseline (R2 = 0.927; MAE = 41.762; RMSE = 59.013). The findings demonstrate that modern, data-driven waste-management planning is feasible in healthcare institutions and highlight PLS as a robust option, particularly under conditions of small sample size and collinearity. Full article
Show Figures

Figure 1

14 pages, 3004 KB  
Article
High-Throughput Analysis of Lignocellulosic Components in Miscanthus spp. Utilizing Near-Infrared Spectroscopy Integrated with Feature Selection Algorithms
by Bin Liu, Yu Huang, Lan Gu, Sheng Wang, Shuai Xue, Tongcheng Fu, Zili Yi, Jie Li, Xiaoyu Wang, Chaochen Tang and Meng Li
Agronomy 2025, 15(11), 2659; https://doi.org/10.3390/agronomy15112659 - 20 Nov 2025
Viewed by 396
Abstract
Rapid, non-destructive assessment of biomass composition is essential for advancing Miscanthus spp. breeding and bioenergy production. This study aimed to develop and validate high-throughput near-infrared spectroscopy (NIRS) models for key chemical components in Miscanthus biomass. A robust calibration set was constructed from 107 [...] Read more.
Rapid, non-destructive assessment of biomass composition is essential for advancing Miscanthus spp. breeding and bioenergy production. This study aimed to develop and validate high-throughput near-infrared spectroscopy (NIRS) models for key chemical components in Miscanthus biomass. A robust calibration set was constructed from 107 diverse samples by combining two key species, Miscanthus sacchariflorus and M. lutarioriparius, to enhance chemical variability and create broadly applicable models. Partial Least Squares (PLS) regression models were developed using this dataset, comparing full-spectrum performance against models optimized with three feature selection algorithms: CARS, VCPA-GA, and VCPA-IRIV. All feature selection methods significantly enhanced predictive accuracy. Notably, the CARS-PLS models yielded excellent performance for cellulose (R2v = 0.98; RPD = 7.38), hemicellulose (R2v = 0.95, RPD = 4.35), lignin (R2v = 0.96, RPD = 5.40), and moisture (R2v = 0.98, RPD = 7.18), while the VCPA-IRIV-PLS model was superior for ash content (R2v = 0.96, RPD = 5.13). Overall, NIRS coupled with advanced feature selection provides a powerful, rapid protocol for Miscanthus biomass analysis, poised to accelerate germplasm evaluation and industrial quality control in the bioenergy sector. Full article
Show Figures

Figure 1

19 pages, 2183 KB  
Article
Linking N2O Emission with AOB and nirK-Denitrifier in Paddy Fields of Karst and Non-Karst Areas
by Zhenjiang Jin, Weijian Chen, Wu Yuan, Yunlong Sun, Xiaoyi Xiao, Heyao Liang, Chengxi Yang and Bin Dong
Microorganisms 2025, 13(11), 2633; https://doi.org/10.3390/microorganisms13112633 - 20 Nov 2025
Viewed by 371
Abstract
Denitrification and nitrification are two pivotal microbial processes relating to N2O emissions. However, the difference in N2O emission fluxes and N2O-producing bacteria between a karst (KA) and non-karst area (NKA) remains unclear. The objective of this study [...] Read more.
Denitrification and nitrification are two pivotal microbial processes relating to N2O emissions. However, the difference in N2O emission fluxes and N2O-producing bacteria between a karst (KA) and non-karst area (NKA) remains unclear. The objective of this study is to compare the differences in soil N2O emissions, nitrifying bacteria, and denitrifying bacteria during the growth period of rice in KA and NKA, and to explore the mechanisms by which microorganisms and environmental factors drive N2O emissions. Here, N2O emission fluxes of paddy fields were collected using the static dark chamber and measured using gas chromatography at KA and NKA in the Maocun Karst Experimental Site in Guilin, China. The nitrifying bacteria (ammonia-oxidizing bacteria, AOB) and denitrifying bacteria (nirK-denitrifier) were determined using real-time PCR and high-throughput sequencing, respectively. Results showed that during the rice growth period, the N2O emission fluxes in KA was generally lower than that in NKA, with cumulative N2O emissions of −0.054 and 0.229 kg·hm−2 in KA and NKA, respectively. The absolute abundance of AOB in KA (8.91 × 106–2.68 × 107 copies·g−1) was significantly higher than that in NKA (1.57 × 106–6.48 × 106 copies·g−1), while the absolute abundance of nirK-denitrifier had no significant difference between the two areas. The composition and diversity of AOB and nirK-denitrifier differed significantly between KA and NKA. Results from partial least squares structural equation modeling (PLS-SEM) indicated that soil properties, carbon sources, and nitrogen sources had positive effects on AOB and nirK-denitrifier, while nirK-denitrifier had a negative effect on N2O emissions. Partial least squares regression (PLSR) predictions revealed that NO3-N, SOC, TN, Mg2+, Ca2+, and pH were the most important factors influencing N2O emission fluxes. This study highlights the critical role of the typical characteristics of KA soils in reducing N2O emissions from paddy fields by driving the evolution of AOB and nirK-denitrifier. Full article
Show Figures

Figure 1

9 pages, 2358 KB  
Proceeding Paper
Generation of Synthetic Hyperspectral Image Cube for Mapping Soil Organic Carbon Using Proximal Remote Sensing
by Rajan G. Rejith, Rabi N. Sahoo, Tarun Kondraju, Amrita Bhandari, Rajeev Ranjan and Ali Moursy
Environ. Earth Sci. Proc. 2025, 36(1), 3; https://doi.org/10.3390/eesp2025036003 - 18 Nov 2025
Viewed by 734
Abstract
The advent of hyperspectral remote sensing represented a breakthrough in the accurate, fast, and non-invasive estimation of important soil fertility parameters. The present study utilizes non-imaging hyperspectral data in the spectral range of 350–2500 nm for estimating soil organic carbon (SOC) content. When [...] Read more.
The advent of hyperspectral remote sensing represented a breakthrough in the accurate, fast, and non-invasive estimation of important soil fertility parameters. The present study utilizes non-imaging hyperspectral data in the spectral range of 350–2500 nm for estimating soil organic carbon (SOC) content. When partial least squares (PLS) scores were taken as independent variables, support vector machine (SVM) outperformed artificial neural network (ANN) and partial least squares regression (PLSR), achieving an R2 value of 0.83. After pre-processing, the proximal spectral values were spatially interpolated to construct a synthetic hyperspectral image of the experimental fields. By applying the regression model to this synthetic hyperspectral imagery, a high-resolution SOC map showing the variability of organic carbon content in the soil was generated. Full article
(This article belongs to the Proceedings of The 2nd International Electronic Conference on Land)
Show Figures

Figure 1

14 pages, 1232 KB  
Article
Predicting Porosity in Raw Cork Using Near-Infrared Spectroscopy
by Ana Alves, Joana Amaral Paulo, Diana I. Santos, José Graça and José Rodrigues
Forests 2025, 16(11), 1737; https://doi.org/10.3390/f16111737 - 18 Nov 2025
Viewed by 368
Abstract
The classification of cork planks as a raw material is traditionally performed through visual inspection of cork pores and defects, both in forest owners’ associations and industrial settings. This method introduces subjectivity and limits reproducibility. This study aimed to develop near-infrared spectroscopy (NIRS) [...] Read more.
The classification of cork planks as a raw material is traditionally performed through visual inspection of cork pores and defects, both in forest owners’ associations and industrial settings. This method introduces subjectivity and limits reproducibility. This study aimed to develop near-infrared spectroscopy (NIRS) models for predicting porosity in raw cork, distinguishing virgin, secondary, and mature cork types. A total of 156 cork samples representing the three cork types were analyzed. Spectra were collected on the transverse and radial surfaces using a Bruker MPA spectrophotometer. Partial Least Squares Regression (PLS-R) models were developed separately for each cork type, yielding cross-validated coefficients of determination (R2) between 0.48 and 0.64. Additionally, two global models were obtained using a random data split (60% for cross-validation and 40% for validation), differentiated by whether or not areas corresponding to insect galleries were included. The model incorporating insect galleries achieved R2 values of 0.63 (cross-validation) and 0.46 (validation), while the model excluding them yielded R2 values of 0.51 and 0.52, respectively. The final optimized model, based on all samples and using selected spectral regions (9500–7500 and 6100–5450 cm−1) with first derivative and vector normalization preprocessing, achieved an R2 of 0.61, RMSECV of 0.025, and RPD of 1.6 using five latent variables. This model was used to estimate porosity coefficients in visually classified secondary and mature cork. Results confirmed an inverse relationship between porosity and cork quality class: higher-quality classes (Q1, Q2) had lower porosity, with Q1 being the most homogeneous. Porosity increased from Q2 to Q6 in mature cork, expressing declining quality. Greater variability in lower-quality classes highlights porosity’s relevance for classification. These results demonstrate the potential of NIRS as a non-destructive tool for assessing cork porosity, offering a more objective and efficient alternative to conventional methods. Full article
(This article belongs to the Special Issue Wood Chemistry and Quality)
Show Figures

Figure 1

27 pages, 6904 KB  
Article
Quantitative Detection of Key Parameters and Authenticity Verification for Beer Using Near-Infrared Spectroscopy
by Yongshun Wei, Jinming Liu, Guiqing Xi and Yuhao Lu
Foods 2025, 14(22), 3936; https://doi.org/10.3390/foods14223936 - 17 Nov 2025
Viewed by 387
Abstract
Alcohol content and original wort concentration are key indicators of beer quality. The detection of these metrics and the authentication of beer authenticity are crucial for protecting consumer rights. To this end, this study investigates quantitative detection methods for beer alcohol content and [...] Read more.
Alcohol content and original wort concentration are key indicators of beer quality. The detection of these metrics and the authentication of beer authenticity are crucial for protecting consumer rights. To this end, this study investigates quantitative detection methods for beer alcohol content and original wort concentration based on near-infrared spectroscopy (NIRS), as well as authenticity verification methods for craft, industrial, and non-fermented beers. Convolutional neural networks combined with a long short-term memory networks (CNN-LSTM) feature extraction method was proposed for establishing multiple regression models and partial least squares discriminant analysis (PLS-DA) model. The results indicate that the CNN-LSTM combined with the support vector machine regression demonstrates optimal performance, with coefficients of determination exceeding 0.99 for the alcohol content calibration, validation, and independent test sets, and all relative root mean square errors below 2.67%. For original wort concentration, the coefficients of determination exceeded 0.97 across the calibration, validation, and independent test sets, with relative root mean square errors below 4.05%. The CNN-LSTM combined with the PLS-DA approach exhibited the lowest variable dimension while achieving 100% classification accuracy. This method offers rapid, non-destructive, and efficient advantages, making it suitable for beer quality control and market regulation. Full article
(This article belongs to the Section Food Analytical Methods)
Show Figures

Graphical abstract

23 pages, 4211 KB  
Article
Developing a Capacity Model for Roundabouts Using SIDRA Calibrated via Simulation-Based Optimization
by Duygu Erol and Ozgur Baskan
Sustainability 2025, 17(22), 10289; https://doi.org/10.3390/su172210289 - 17 Nov 2025
Viewed by 440
Abstract
Various intersection structures are utilized in city-wide traffic network infrastructure by local transportation authorities to handle the exponentially increasing traffic loads in developing countries. In this regard, numerous studies have considered the notable positive contribution of the modern roundabouts in intersection performance as [...] Read more.
Various intersection structures are utilized in city-wide traffic network infrastructure by local transportation authorities to handle the exponentially increasing traffic loads in developing countries. In this regard, numerous studies have considered the notable positive contribution of the modern roundabouts in intersection performance as a prominent method utilized widely in our contemporary world. Properly designed roundabouts are vital components of sustainable transportation planning, as they significantly influence traffic efficiency, safety, and environmental performance. Accurate estimation of roundabout capacity is essential to ensure that they can accommodate anticipated traffic volumes without causing congestion, thereby contributing to energy efficiency and reducing emissions. Moreover, sustainable roundabout design supports the development of safer and more inclusive transportation networks by improving accessibility for all road users, thus strengthening the overall sustainability of urban mobility. The SIDRA (version 8.0), a traffic simulation software, is frequently employed in performance analysis and determining the effects of possible outcomes of different scenarios of roundabouts in today’s world. On the other hand, driver behaviors are found to play a significant role in software performance during the analysis process of roundabout capacity and performance. Therefore, in order to optimize the environmental factor (EF) representing driver behaviors in the SIDRA software, a Differential Evolution Algorithm-Based Bi-Level Calibration Model (DEBCAM) was introduced. Observation data collected from eight different modern-structured roundabouts through drones were run into the SIDRA simulation software; the average delays obtained were employed to estimate optimum EF values through DEBCAM. Observed average delay values were taken into consideration with respect to the delay values obtained as a result of the SIDRA calibration by using the GEH statistics. GEH values indicate the consistency of vehicle delay data obtained via the DEBCAM with observed data. Acquired results clearly suggest that the SIDRA software needs to be calibrated so that it can represent drivers’ behaviors. After determination of the optimum values of the EF parameter for calibration of the SIDRA software, the regression analysis was conducted through the Partial Least Squares (PLS) method. As a result of the analysis, a capacity estimation model was developed, which displayed a significant conformity with the SIDRA capacity estimation results. Our findings suggested that the parameter requirement for the roundabout capacity estimation can be decreased by employing the appropriate EF value for the roundabout that needs to be analyzed. Full article
Show Figures

Figure 1

15 pages, 975 KB  
Article
Remote Americium Detection Using an Optical Sensor: A D-Optimal Strategy for Efficient PLS-Based Modeling
by Luke R. Sadergaski, Jeffrey D. Einkauf, Jennifer M. Pyles, Laetitia H. Delmau and Jonathan D. Burns
Sensors 2025, 25(22), 7022; https://doi.org/10.3390/s25227022 - 17 Nov 2025
Viewed by 379
Abstract
A fiber-optic visible–near-infrared absorption spectroscopy system in a glove box was demonstrated for remote quantification of Am(III) (0–500 µM) and HNO3 (0.1–9 M) using partial least squares regression (PLSR) models. The sensor platform, featuring a simple plug-and-play spectrophotometer, can enable noninvasive, real-time [...] Read more.
A fiber-optic visible–near-infrared absorption spectroscopy system in a glove box was demonstrated for remote quantification of Am(III) (0–500 µM) and HNO3 (0.1–9 M) using partial least squares regression (PLSR) models. The sensor platform, featuring a simple plug-and-play spectrophotometer, can enable noninvasive, real-time monitoring of actinide process solutions. To establish a flexible PLSR model calibration strategy, a D-optimal design developed using Nd(III) in previous studies was successfully extended to an actinide system with Am(III) to effectively minimize sample set size while maintaining robust prediction performance. The results suggest strong spectral similarities between Nd(III) and Am(III) and validate Nd(III) as an effective optical surrogate for trivalent actinide species. This work also supports the generalizability of a D-optimal training set selection approach for two-factor systems. The PLS1 models for Am(III) and HNO3 outperformed a PLS2 model and maintained reasonable performance in the presence of interfering U(VI). The resulting sensor system and multivariate approach provides a flexible and scalable solution for process monitoring, control, and safety in diverse nuclear applications. Full article
Show Figures

Figure 1

16 pages, 1925 KB  
Article
Determination of Total Anthocyanin Concentration in Barbera Red Wines by Raman Spectroscopy and Multivariate Statistical Methods
by Anna Lisa Gilioli, Alessio Sacco, Andrea Mario Giovannozzi, Simone Giacosa, Antonella Bosso, Loretta Panero, Lorenzo Ferrero, Silvia Raffaela Barera, Stefano Messina, Marco Lagori, Silvia Motta, Massimo Guaita, Ettore Vittone and Andrea Mario Rossi
Beverages 2025, 11(6), 161; https://doi.org/10.3390/beverages11060161 - 17 Nov 2025
Viewed by 668
Abstract
The quantity of anthocyanins plays a crucial role in wine quality, since these phenolic compounds significantly influence the color, mouthfeel and organoleptic properties of red wines. It is therefore important to define accurate and precise methodologies to monitor the concentration of total anthocyanins [...] Read more.
The quantity of anthocyanins plays a crucial role in wine quality, since these phenolic compounds significantly influence the color, mouthfeel and organoleptic properties of red wines. It is therefore important to define accurate and precise methodologies to monitor the concentration of total anthocyanins in wine. Currently, this analysis is carried out using Ultraviolet-Visible (UV–visible) spectrophotometry. This work aims to determine an alternative methodology that is equally fast, accurate and allows in situ measurements while opening the measurement of the concentrations of other molecules of interest. The method presented consists of Raman analysis of Barbera wine samples using a portable Raman spectroscopy system. Subsequently, the collected spectra were processed using an algorithm that applies partial least squares (PLS) regression, making it possible to determine the concentration of total anthocyanins for each sample. This approach is characterized by an accuracy and precision comparable to the methodology currently in use, i.e., UV–visible spectrophotometry. It is indeed characterized by an RMSE (root mean square error) and R2 (the coefficient of determination) on the validation set of 0.010 g/L and 0.88 and on the test data of 0.007 g/L and 0.93, respectively. Full article
Show Figures

Graphical abstract

14 pages, 1864 KB  
Article
Near-Infrared Spectroscopy for Oedema Quantification: An Ex Vivo Porcine Skin Model
by Mariana Castro-Montano, Meha Qassem and Panayiotis A. Kyriacou
Sensors 2025, 25(22), 6971; https://doi.org/10.3390/s25226971 - 14 Nov 2025
Viewed by 545
Abstract
Oedema is a common clinical finding in critically ill neonates and may reflect systemic illness such as congestive heart failure, hepatic cirrhosis, nephrotic syndrome, sepsis, and acute kidney injury. Oedema is characterised by tissue swelling due to water accumulation in the interstitial space. [...] Read more.
Oedema is a common clinical finding in critically ill neonates and may reflect systemic illness such as congestive heart failure, hepatic cirrhosis, nephrotic syndrome, sepsis, and acute kidney injury. Oedema is characterised by tissue swelling due to water accumulation in the interstitial space. Currently, the gold standard in clinical practice is visual assessment, which is subjective and limited in accuracy. Alternative methods, such as ultrasound and bioimpedance, have been explored; however, they are unsuitable in neonates and do not provide direct water quantification. Near-infrared spectroscopy (NIRS) is a non-invasive optical method that could measure water content through light interaction between near-infrared light and OH particles within the tissue. This study validated NIRS for oedema assessment using an ex vivo porcine skin model, where controlled oedema was induced by phosphate-buffered saline (PBS) injection. Continuous spectroscopic data were collected via optical fibres positioned perpendicularly and parallel to the tissue. Regression models were developed and evaluated using the spectral data, with partial least squares (PLS) regression outperforming ridge regression (RR) and support vector regression (SVR). Notably, spectra acquired in the parallel configuration yielded superior results (R2 = 0.97, RMSE = 0.15). These findings support the potential of NIRS as a reliable, quantitative tool for neonatal oedema assessment. Full article
(This article belongs to the Section Optical Sensors)
Show Figures

Figure 1

Back to TopTop