Sign in to use this feature.

Years

Between: -

Subjects

remove_circle_outline
remove_circle_outline
remove_circle_outline
remove_circle_outline
remove_circle_outline
remove_circle_outline
remove_circle_outline
remove_circle_outline

Journals

Article Types

Countries / Regions

Search Results (132)

Search Parameters:
Keywords = tetrapyrroles

Order results
Result details
Results per page
Select all
Export citation of selected articles as:
28 pages, 2883 KB  
Review
Natural Biomolecules and Light: Antimicrobial Photodynamic Strategies in the Fight Against Antibiotic Resistance
by Greta Amendola, Mariagrazia Di Luca and Antonella Sgarbossa
Int. J. Mol. Sci. 2025, 26(16), 7993; https://doi.org/10.3390/ijms26167993 - 19 Aug 2025
Viewed by 791
Abstract
The alarming increase in infections caused by antimicrobial-resistant bacteria is increasingly posing a critical threat to public health. For this reason, the scientific community is focusing on alternative therapeutic strategies, such as antimicrobial photodynamic therapy (aPDT). This review examined the use of natural [...] Read more.
The alarming increase in infections caused by antimicrobial-resistant bacteria is increasingly posing a critical threat to public health. For this reason, the scientific community is focusing on alternative therapeutic strategies, such as antimicrobial photodynamic therapy (aPDT). This review examined the use of natural photosensitizers (PSs) in aPDT, emphasizing how they may produce high yields of reactive oxygen species when activated by light and consequently inactivate a wide range of pathogens, including bacteria embedded in biofilms, efficiently. The main methodologies and several strategies of incorporation into cutting-edge nanotechnological delivery systems of the most prevalent natural PSs (curcuminoids, perylenequinones, tetrapyrrolic macrocycles, and flavins) have been analyzed. Although natural PSs have benefits in terms of environmental sustainability and biocompatibility, their clinical use is frequently constrained by low bioavailability and solubility, issues that are being addressed more and more through novel formulations and dual-mode treatments. Studies conducted both in vitro and in vivo highlight these compounds’ strong antibacterial and wound-healing properties. In conclusion, natural molecule-based aPDT is a flexible and successful strategy for combating antimicrobial resistance, deserving of more translational study and clinical advancement. Full article
(This article belongs to the Special Issue New Molecular Insights into Antimicrobial Photo-Treatments)
Show Figures

Graphical abstract

17 pages, 5777 KB  
Article
Coordinated cpSRP43 and cpSRP54 Abundance Is Essential for Tetrapyrrole Biosynthesis While cpSRP43 Is Independent of Retrograde Signaling
by Shuiling Ji, Huijiao Yao and Bernhard Grimm
Plants 2025, 14(12), 1745; https://doi.org/10.3390/plants14121745 - 6 Jun 2025
Viewed by 732
Abstract
The chloroplast signal recognition particle (cpSRP) components cpSRP43 and cpSRP54 not only form a complex with light-harvesting chlorophyll (Chl)-binding proteins to direct them to the thylakoid membrane, but also serve other functions. cpSRP43 independently acts as a chaperone for some tetrapyrrole biosynthesis (TBS) [...] Read more.
The chloroplast signal recognition particle (cpSRP) components cpSRP43 and cpSRP54 not only form a complex with light-harvesting chlorophyll (Chl)-binding proteins to direct them to the thylakoid membrane, but also serve other functions. cpSRP43 independently acts as a chaperone for some tetrapyrrole biosynthesis (TBS) enzymes, while cpSRP54 participates in the co-translational targeting of plastid-encoded proteins. However, it remains unclear to what extent the two cpSRP components are coregulated—despite their distinct functions—and whether both participate in genomes-uncoupled (GUN)-mediated retrograde signaling. Here, we demonstrate that cpSRP43 and cpSRP54 accumulation is strongly interdependently controlled: overexpression of one protein increases the level of the other, while a deficiency in one of the two proteins leads to a simultaneous decrease in the other component. Disruption of this balance, e.g., by combining the overexpression of one component with a knockout of the other, results in severe chlorosis, stunted growth, and reduced levels of Chl and tetrapyrrole intermediates. Moreover, cpSRP43 deficiency exacerbates the pale-green phenotype of gun4 and gun5 mutants, highlighting a synergistic impact on TBS; however, cpSRP43 overexpression fails to rescue these defects. Remarkably, loss of cpSRP43 does not affect the expression of nuclear-encoded photosynthetic genes under intrinsic plastid stress, clearly demonstrating that cpSRP43 is not involved in plastid-to-nucleus retrograde signaling. Overall, our findings underscore that the fine-tuned expression of cpSRP43 and cpSRP54 is crucial for proper chloroplast function and pigment biosynthesis, while cpSRP43 alone does not participate in the retrograde signaling pathway. Full article
(This article belongs to the Special Issue Advances in Plant Photobiology)
Show Figures

Figure 1

18 pages, 2424 KB  
Article
Transcriptome and Metabolome Analysis of the Leaf Colour Mutation Mechanism in a Light-Green Leaf Mutant of Maize
by Dan Li, Kuangzheng Qu, Dianrong Ma, Zhenxing Zhu and Xiaochun Lu
Agronomy 2025, 15(6), 1364; https://doi.org/10.3390/agronomy15061364 - 31 May 2025
Cited by 1 | Viewed by 667
Abstract
Leaf colour is a valuable morphological phenotype for studying plant metabolism and physiology. To elucidate the mutation mechanism of leaf colour variation in maize, we compared the ethyl methylsulfonate (EMS)-induced maize mutant zmpgl, which has light green leaves, with the wild-type maize [...] Read more.
Leaf colour is a valuable morphological phenotype for studying plant metabolism and physiology. To elucidate the mutation mechanism of leaf colour variation in maize, we compared the ethyl methylsulfonate (EMS)-induced maize mutant zmpgl, which has light green leaves, with the wild-type maize line B73. At the seedling stage, the zmpgl mutant presented distinct light green leaf colouration. Comprehensive analyses revealed that both the photosynthetic parameters and pigment contents of the mutant seedlings were significantly lower than those of the wild-type seedlings. Transmission electron microscopy of the mutant leaves revealed alterations in the chloroplast structure, which consequently impaired the photosynthetic efficiency and accumulation of organic matter. Through integrated transcriptomic and metabolomic profiling, we identified differentially expressed genes (DEGs) and differentially abundant metabolites associated with the zmpgl phenotype. These molecular components were associated with pathways related to plant metabolism, chloroplast structure-associated hormone signalling, and redox homeostasis. Further investigation revealed a significant differential expression of genes involved in several critical biological processes, including tetrapyrrole synthesis, lipid metabolism (related to leaf photosynthesis), amino acid metabolism (associated with chlorophyll synthesis and the light response), and abscisic acid (ABA) biosynthesis. These processes are crucial for plant photosynthesis, respiration, and catalytic functions. This study not only provides a valuable resource for further investigation of plant photosynthetic systems but also establishes a foundational framework for the comprehensive functional characterisation of genes involved in the leaf colour change in the zmpgl mutant. These findings contribute to our understanding of the molecular basis of leaf colour variation and its impact on photosynthetic performance in maize. Full article
(This article belongs to the Section Plant-Crop Biology and Biochemistry)
Show Figures

Figure 1

10 pages, 2043 KB  
Perspective
Photoproducts of Porphyrins with a Focus on Protoporphyrin IX
by Simone König
Photochem 2025, 5(2), 10; https://doi.org/10.3390/photochem5020010 - 14 Apr 2025
Viewed by 1099
Abstract
Porphyrins play important roles in biological systems including oxygen transport and catalysis. Due to their tetrapyrrole core structure, they exhibit exceptional photophysical and electrochemical properties and find many applications in both technical and life science fields, including photodynamic therapy and neurosurgery. The irradiation [...] Read more.
Porphyrins play important roles in biological systems including oxygen transport and catalysis. Due to their tetrapyrrole core structure, they exhibit exceptional photophysical and electrochemical properties and find many applications in both technical and life science fields, including photodynamic therapy and neurosurgery. The irradiation of porphyrins may cause modifications to their molecular structure or their degradation. Such photobleaching processes potentially affect the success and sensitivity of photosensitizer applications. While there have been many studies using fluorescence spectroscopy to investigate this phenomenon, reports about analytically validated structures of photoproducts are scarce. It is, however, necessary to know the individual contributions of different molecules to the fluorescence signal in order to evaluate it correctly. This review provides a summary of the current state of knowledge in this respect, discussing especially the validated hydroxyaldehyde and formyl photo-oxidation products of protoporphyrin IX. Full article
Show Figures

Figure 1

17 pages, 1530 KB  
Article
Novel Chlorin with a HYNIC: Synthesis, 99mTc-Radiolabeling, and Initial Preclinical Evaluation
by Alexander Popov, Nikita Suvorov, Mariia Larkina, Evgenii Plotnikov, Ruslan Varvashenya, Vitalina Bodenko, Gleb Yanovich, Petr Ostroverkhov, Maxim Usachev, Elena Filonenko, Mikhail Belousov and Mikhail Grin
Molecules 2025, 30(1), 117; https://doi.org/10.3390/molecules30010117 - 31 Dec 2024
Cited by 1 | Viewed by 1245
Abstract
The use of radiopharmaceuticals for diagnostics in oncology allows for the detection of the disease at an early stage. Among diagnostic radionuclides, 99mTc is a promising isotope that has been used to create several drugs for clinical use. One of the most [...] Read more.
The use of radiopharmaceuticals for diagnostics in oncology allows for the detection of the disease at an early stage. Among diagnostic radionuclides, 99mTc is a promising isotope that has been used to create several drugs for clinical use. One of the most effective 99mTc chelators is 6-hydrazinylnicotinic acid (HYNIC), which, when combined with various vector molecules, can be used for targeted delivery of radionuclides to tumor tissues. At the same time, it is known that tetrapyrrole macrocycles are capable of selective accumulation in tumors, and thus can be used to target radiopharmaceuticals with 99mTc. In this work, the conjugate of natural chlorin and HYNIC was obtained, and preliminary preclinical studies were carried out on its radiocomplex with 99mTc. Full article
(This article belongs to the Special Issue New Advances in Radiopharmaceutical Sciences)
Show Figures

Figure 1

18 pages, 5234 KB  
Article
High Fluorescence of Phytochromes Does Not Require Chromophore Protonation
by Sagie Katz, Hoang Trong Phan, Fabian Rieder, Franziska Seifert, Markus Pietzsch, Jan Laufer, Franz-Josef Schmitt and Peter Hildebrandt
Molecules 2024, 29(20), 4948; https://doi.org/10.3390/molecules29204948 - 19 Oct 2024
Cited by 1 | Viewed by 1532
Abstract
Fluorescing proteins emitting in the near-infrared region are of high importance in various fields of biomedicine and applied life sciences. Promising candidates are phytochromes that can be engineered to a small size and genetically attached to a target system for in vivo monitoring. [...] Read more.
Fluorescing proteins emitting in the near-infrared region are of high importance in various fields of biomedicine and applied life sciences. Promising candidates are phytochromes that can be engineered to a small size and genetically attached to a target system for in vivo monitoring. Here, we have investigated two of these minimal single-domain phytochromes, miRFP670nano3 and miRFP718nano, aiming at a better understanding of the structural parameters that control the fluorescence properties of the covalently bound biliverdin (BV) chromophore. On the basis of resonance Raman and time-resolved fluorescence spectroscopy, it is shown that in both proteins, BV is deprotonated at one of the inner pyrrole rings (B or C). This protonation pattern, which is unusual for tetrapyrroles in proteins, implies an equilibrium between a B- and C-protonated tautomer. The dynamics of the equilibrium are slow compared to the fluorescence lifetime in miRFP670nano3 but much faster in miRFP718nano, both in the ground and excited states. The different rates of proton exchange are most likely due to the different structural dynamics of the more rigid and more flexible chromophore in miRFP670nano3 and miRFP718nano, respectively. We suggest that these structural properties account for the quite different fluorescent quantum yields of both proteins. Full article
(This article belongs to the Special Issue Stimuli-Responsive Chromophores and Luminophores—Second Volume)
Show Figures

Graphical abstract

18 pages, 3664 KB  
Article
Uncovering Porphyrin Accumulation in the Tumor Microenvironment
by Swamy R. Adapa, Abdus Sami, Pravin Meshram, Gloria C. Ferreira and Rays H. Y. Jiang
Genes 2024, 15(7), 961; https://doi.org/10.3390/genes15070961 - 22 Jul 2024
Cited by 2 | Viewed by 2192
Abstract
Heme, an iron-containing tetrapyrrole, is essential in almost all organisms. Heme biosynthesis needs to be precisely regulated particularly given the potential cytotoxicity of protoporphyrin IX, the intermediate preceding heme formation. Here, we report on the porphyrin intermediate accumulation within the tumor microenvironment (TME), [...] Read more.
Heme, an iron-containing tetrapyrrole, is essential in almost all organisms. Heme biosynthesis needs to be precisely regulated particularly given the potential cytotoxicity of protoporphyrin IX, the intermediate preceding heme formation. Here, we report on the porphyrin intermediate accumulation within the tumor microenvironment (TME), which we propose to result from dysregulation of heme biosynthesis concomitant with an enhanced cancer survival dependence on mid-step genes, a process we recently termed “Porphyrin Overdrive”. Specifically, porphyrins build up in both lung cancer cells and stromal cells in the TME. Within the TME’s stromal cells, evidence supports cancer-associated fibroblasts (CAFs) actively producing porphyrins through an imbalanced pathway. Conversely, normal tissues exhibit no porphyrin accumulation, and CAFs deprived of tumor cease porphyrin overproduction, indicating that both cancer and tumor-stromal porphyrin overproduction is confined to the cancer-specific tissue niche. The clinical relevance of our findings is implied by establishing a correlation between imbalanced porphyrin production and overall poorer survival in more aggressive cancers. These findings illuminate the anomalous porphyrin dynamics specifically within the tumor microenvironment, suggesting a potential target for therapeutic intervention. Full article
(This article belongs to the Special Issue Genetics of Complex Human Disease 2024)
Show Figures

Figure 1

18 pages, 1537 KB  
Article
Integrating Proteomics and Metabolomics Approaches to Elucidate the Mechanism of Responses to Combined Stress in the Bell Pepper (Capsicum annuum)
by Brandon Estefano Morales-Merida, Jesús Christian Grimaldi-Olivas, Abraham Cruz-Mendívil, Claudia Villicaña, José Benigno Valdez-Torres, J. Basilio Heredia, Rubén Gerardo León-Chan, Luis Alberto Lightbourn-Rojas, Juan L. Monribot-Villanueva, José A. Guerrero-Analco, Eliel Ruiz-May and Josefina León-Félix
Plants 2024, 13(13), 1861; https://doi.org/10.3390/plants13131861 - 5 Jul 2024
Cited by 2 | Viewed by 2644
Abstract
Bell pepper plants are sensitive to environmental changes and are significantly affected by abiotic factors such as UV-B radiation and cold, which reduce their yield and production. Various approaches, including omics data integration, have been employed to understand the mechanisms by which this [...] Read more.
Bell pepper plants are sensitive to environmental changes and are significantly affected by abiotic factors such as UV-B radiation and cold, which reduce their yield and production. Various approaches, including omics data integration, have been employed to understand the mechanisms by which this crop copes with abiotic stress. This study aimed to find metabolic changes in bell pepper stems caused by UV-B radiation and cold by integrating omic data. Proteome and metabolome profiles were generated using liquid chromatography coupled with mass spectrometry, and data integration was performed in the plant metabolic pathway database. The combined stress of UV-B and cold induced the accumulation of proteins related to photosynthesis, mitochondrial electron transport, and a response to a stimulus. Further, the production of flavonoids and their glycosides, as well as affecting carbon metabolism, tetrapyrrole, and scopolamine pathways, were identified. We have made the first metabolic regulatory network map showing how bell pepper stems respond to cold and UV-B stress. We did this by looking at changes in proteins and metabolites that help with respiration, photosynthesis, and the buildup of photoprotective and antioxidant compounds. Full article
Show Figures

Graphical abstract

15 pages, 4506 KB  
Article
Transcriptome Analysis Reveals the Molecular Mechanism of the Leaf Yellowing in Allotriploid Cucumber
by Han Wang, Lei Xia, Jinfeng Chen and Chunyan Cheng
Genes 2024, 15(7), 825; https://doi.org/10.3390/genes15070825 - 21 Jun 2024
Cited by 1 | Viewed by 1818
Abstract
Yellowing leaves are ideal materials for studying the metabolic pathways of photosynthetic pigment chloroplast development, and the mechanism of photosynthetic systems. Here, we obtained a triploid material HCC (2n = 3x = 26), which was derived from hybridization between the artificial tetraploid Cucumis [...] Read more.
Yellowing leaves are ideal materials for studying the metabolic pathways of photosynthetic pigment chloroplast development, and the mechanism of photosynthetic systems. Here, we obtained a triploid material HCC (2n = 3x = 26), which was derived from hybridization between the artificial tetraploid Cucumis × hytivus (2n = 4x = 38, HHCC) and the cultivated cucumber Cucumis sativus (2n = 2x = 14, CC), and this triploid HCC showed obvious leaf yellowing characteristics. Phenotypic observation results showed that chloroplast development was impaired, the chlorophyll content decreased, and photosynthesis decreased in yellowing HCC leaves. The transcriptome results indicated that HCC-GLK is significantly downregulated in HCC and participates in the regulation of leaf yellowing. GO enrichment analysis revealed that differential genes were enriched in the heme binding and tetrapyrrole binding pathways related to leaf color. KEGG enrichment analysis revealed that differential genes were predominantly enriched in photosynthesis-related pathways. The experimental results of VIGS and yeast hybridization showed that silencing the GLK gene can induce leaf yellowing in cucumber plants, and the GLK protein can affect plant chloroplast development by interacting with the CAB3C protein (light-harvesting chlorophyll a/b binding) in the plant chlorophyll synthesis pathway. The current findings have not only enhanced our understanding of the regulatory mechanism of the GLK transcription factor in cucumber but also introduced novel insights and directions for investigating the molecular mechanism underlying polyploid leaf yellowing. Full article
(This article belongs to the Section Plant Genetics and Genomics)
Show Figures

Figure 1

18 pages, 1935 KB  
Review
Nutraceutical Features of the Phycobiliprotein C-Phycocyanin: Evidence from Arthrospira platensis (Spirulina)
by Valentina Citi, Serenella Torre, Lorenzo Flori, Luca Usai, Nazlim Aktay, Nurhan Turgut Dunford, Giovanni Antonio Lutzu and Paola Nieri
Nutrients 2024, 16(11), 1752; https://doi.org/10.3390/nu16111752 - 3 Jun 2024
Cited by 31 | Viewed by 6427
Abstract
Arthrospira platensis, commonly known as Spirulina, is a photosynthetic filamentous cyanobacterium (blue–green microalga) that has been utilized as a food source since ancient times. More recently, it has gained significant popularity as a dietary supplement due to its rich content of [...] Read more.
Arthrospira platensis, commonly known as Spirulina, is a photosynthetic filamentous cyanobacterium (blue–green microalga) that has been utilized as a food source since ancient times. More recently, it has gained significant popularity as a dietary supplement due to its rich content of micro- and macro-nutrients. Of particular interest is a water soluble phycobiliprotein derived from Spirulina known as phycocyanin C (C-PC), which stands out as the most abundant protein in this cyanobacterium. C-PC is a fluorescent protein, with its chromophore represented by the tetrapyrrole molecule phycocyanobilin B (PCB-B). While C-PC is commonly employed in food for its coloring properties, it also serves as the molecular basis for numerous nutraceutical features associated with Spirulina. Indeed, the comprehensive C-PC, and to some extent, the isolated PCB-B, has been linked to various health-promoting effects. These benefits encompass conditions triggered by oxidative stress, inflammation, and other pathological conditions. The present review focuses on the bio-pharmacological properties of these molecules, positioning them as promising agents for potential new applications in the expanding nutraceutical market. Full article
(This article belongs to the Special Issue Marine Nutraceuticals and Human Health: 2nd Edition)
Show Figures

Figure 1

17 pages, 4918 KB  
Article
Integrative Metabolome and Transcriptome Analyses Reveal the Pericarp Coloration Mechanisms in Bitter Melon (Momordica charantia L.)
by Liang Yang, Zhi Li, Ju Li, Yanqin Ma, Mingjun Miao, Haicheng Long, Yujie Zhou and Wei Chang
Horticulturae 2024, 10(3), 291; https://doi.org/10.3390/horticulturae10030291 - 18 Mar 2024
Cited by 2 | Viewed by 2453
Abstract
Pericarp colors are critical agronomic traits that affect the quality and economic values of fruits. Although a diversity of bitter melon pericarp (BMP) colors is available, the fruit pigmentation mechanisms remain elusive. Hence, this study aimed to unveil the key metabolites and molecular [...] Read more.
Pericarp colors are critical agronomic traits that affect the quality and economic values of fruits. Although a diversity of bitter melon pericarp (BMP) colors is available, the fruit pigmentation mechanisms remain elusive. Hence, this study aimed to unveil the key metabolites and molecular mechanisms underlying variation in BMP coloration through integrative metabolomics and transcriptomics analyses of four differently colored genotypes, including K1102 (grayish orange), 262 (grayish yellow), 1392 (very soft green), and K115 (dark grayish cyan). The four BMPs exhibited significant metabolite profile and transcriptional differences, as over 112 and 1865 DAMs (differentially accumulated metabolites) and DEGs (differentially expressed genes), respectively, were identified. The variation in the content of six anthocyanins, including malvidin 3-O-glucoside, petunidin 3-O-glucoside, rosinidin O-hexoside, cyanidin, cyanidin 3-p-hydroxybenzoylsophoroside-5-glucoside, and pelargonidin 3-O-beta-D-glucoside, might be the major driving factor of BMP color changes. Notably, malvidin 3-O-glucoside, rosinidin O-hexoside, and petunidin 3-O-glucoside are the dominant pigments in K115, while carotenoids and other flavonoids may contribute to other colors. Candidate flavonoid structural and regulatory (MYBs, NACs, MADSs, bHLHs, and bZIPs) genes were identified. Of them, gene13201 (anthocyanin reductase), gene8173 (polyphenol oxidase), gene2136 (NAC43), gene19593 (NAC104), and gene15171 (tetrapyrrole-binding protein) might play essential roles in K115 pericarp color development. Our findings deepen our understanding of BMP pigmentation and provide fundamental resources for higher-valued bitter melon breeding perspectives. Full article
Show Figures

Figure 1

20 pages, 3870 KB  
Article
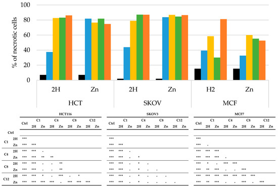
Could the Length of the Alkyl Chain Affect the Photodynamic Activity of 5,10,15,20-Tetrakis(1-alkylpyridinium-4-yl)porphyrins?
by Miryam Chiara Malacarne, Marzia Bruna Gariboldi, Emanuela Marras and Enrico Caruso
Molecules 2024, 29(6), 1285; https://doi.org/10.3390/molecules29061285 - 14 Mar 2024
Cited by 2 | Viewed by 1654
Abstract
Photodynamic therapy (PDT) is a minimally invasive treatment that uses the combination of a photosensitizing agent (PS) and light to selectively target solid tumors, as well as several non-neoplastic proliferating cell diseases. After systemic administration, PSs are activated by localized irradiation with visible [...] Read more.
Photodynamic therapy (PDT) is a minimally invasive treatment that uses the combination of a photosensitizing agent (PS) and light to selectively target solid tumors, as well as several non-neoplastic proliferating cell diseases. After systemic administration, PSs are activated by localized irradiation with visible light; in the presence of adequate concentrations of molecular oxygen, this causes the formation of reactive oxygen species (ROS) and subsequent tissue damage. In this study, two series of tetrakis(N-alkylpyridinium-4-yl)porphyrins were synthesized, differing in the presence or absence of a zinc ion in the tetrapyrrole nucleus, as well as in the N-alkyl chain length (from one to twelve carbon atoms). The compounds were chemically characterized, and their effect on cell viability was evaluated using a panel of three tumor cell lines to determine a possible relationship between photodynamic activity and Zn presence/alkyl chain length. The types of cell death mechanisms involved in the effect of the various PSs were also evaluated. The obtained results indicate that the most effective porphyrin is the Zn-porphyrin, with a pendant made up of eight carbon atoms (Zn-C8). Full article
Show Figures

Figure 1

15 pages, 5131 KB  
Article
Rational Design of Key Enzymes to Efficiently Synthesize Phycocyanobilin in Escherichia coli
by Ziwei Wang, Jingwen Zhou, Jianghua Li, Guocheng Du, Jian Chen and Xinrui Zhao
Biomolecules 2024, 14(3), 301; https://doi.org/10.3390/biom14030301 - 3 Mar 2024
Cited by 4 | Viewed by 2797
Abstract
Phycocyanobilin (PCB) is a natural blue tetrapyrrole chromophore that is found in phycocyanin and plays an essential role in photosynthesis. Due to PCB’s antioxidation, anti-inflammatory and anti-cancer properties, it has been utilized in the food, pharmaceutical and cosmetic industries. Currently, the extraction of [...] Read more.
Phycocyanobilin (PCB) is a natural blue tetrapyrrole chromophore that is found in phycocyanin and plays an essential role in photosynthesis. Due to PCB’s antioxidation, anti-inflammatory and anti-cancer properties, it has been utilized in the food, pharmaceutical and cosmetic industries. Currently, the extraction of PCB from Spirulina involves complex processes, which has led to increasing interest in the biosynthesis of PCB in Escherichia coli. However, the PCB titer remains low because of the poor activity of key enzymes and the insufficient precursor supply. Here, the synthesis of PCB was firstly improved by screening the optimal heme oxygenase (HO) from Thermosynechococcus elongatus BP-1(HOT) and PCB: ferredoxin oxidoreductase from Synechocystis sp. PCC6803 (PcyAS). In addition, based on a rational design and the infrared fluorescence method for high-throughput screening, the mutants of HOT(F29W/K166D) and PcyAS(D220G/H74M) with significantly higher activities were obtained. Furthermore, a DNA scaffold was applied in the assembly of HOT and PcyAS mutants to reduce the spatial barriers, and the heme supply was enhanced via the moderate overexpression of hemB and hemH, resulting in the highest PCB titer (184.20 mg/L) obtained in a 5 L fermenter. The strategies applied in this study lay the foundation for the industrial production of PCB and its heme derivatives. Full article
(This article belongs to the Section Synthetic Biology and Bioengineering)
Show Figures

Figure 1

18 pages, 2513 KB  
Article
Antibiotic Effect of High-Power Blue Laser Radiation
by Mattes Hintmann, Stanislav Zimbelmann, Benjamin Emde, Rebekka Biedendieck and Dieter Jahn
Photonics 2024, 11(3), 220; https://doi.org/10.3390/photonics11030220 - 28 Feb 2024
Cited by 7 | Viewed by 2461
Abstract
The development of sustainable alternatives to chemical and mechanical biofilm removal for submerged technical devices used in freshwater and marine environments represents a major technical challenge. In this context, the antibiotic impact of blue light with its low absorption underwater provides a potentially [...] Read more.
The development of sustainable alternatives to chemical and mechanical biofilm removal for submerged technical devices used in freshwater and marine environments represents a major technical challenge. In this context, the antibiotic impact of blue light with its low absorption underwater provides a potentially useful alternative. However, former technical limitations led to hours of treatment. Here, we applied high-power blue laser irradiation (1500 W) with a wavelength of 448 nm to demonstrate its strong antibiotic and algicidal effect on different bacteria and algae in seconds. High-power blue light treatment (139 W/cm2) for only 8.9 s led to the efficient deactivation of all tested organisms. Analyses of the underlying biological mechanisms revealed the absorption of the blue light by endogenous chromophores (flavins, tetrapyrroles) with the generation of reactive oxygen species (ROS). In agreement, Escherichia coli transcriptome analyses demonstrated a stress response at the level of DNA damage repair, respiration, and protein biosynthesis. Spectroscopic measurements of the irradiated algae indicated the irreversible damage of chlorophyll by photooxidation with the formation of singlet oxygen. In conclusion, high-power blue laser radiation provides a strong sustainable tool for the removal of biofouling in a very short time for applications in aquatic systems. Full article
Show Figures

Figure 1

15 pages, 1694 KB  
Article
Matrix Selection Strategies for MALDI-TOF MS/MS Characterization of Cyclic Tetrapyrroles in Blood and Food Samples
by Mariachiara Bianco, Giovanni Ventura, Cosima Damiana Calvano, Ilario Losito, Tommaso R. I. Cataldi and Antonio Monopoli
Molecules 2024, 29(4), 868; https://doi.org/10.3390/molecules29040868 - 15 Feb 2024
Viewed by 2907
Abstract
Cyclic tetrapyrrole derivatives such as porphyrins, chlorins, corrins (compounds with a corrin core), and phthalocyanines are a family of molecules containing four pyrrole rings usually coordinating a metal ion (Mg, Cu, Fe, Zn, etc.). Here, we report the characterization of some representative cyclic [...] Read more.
Cyclic tetrapyrrole derivatives such as porphyrins, chlorins, corrins (compounds with a corrin core), and phthalocyanines are a family of molecules containing four pyrrole rings usually coordinating a metal ion (Mg, Cu, Fe, Zn, etc.). Here, we report the characterization of some representative cyclic tetrapyrrole derivatives by MALDI-ToF/ToF MS analyses, including heme b and c, phthalocyanines, and protoporphyrins after proper matrix selection. Both neutral and acidic matrices were evaluated to assess potential demetallation, adduct formation, and fragmentation. While chlorophylls exhibited magnesium demetallation in acidic matrices, cyclic tetrapyrroles with Fe, Zn, Co, Cu, or Ni remained steadfast against demetallation across all conditions. Phthalocyanines and protoporphyrins were also detectable without a matrix using laser desorption ionization (LDI); however, the incorporation of matrices achieved the highest ionization yield, enhanced sensitivity, and negligible fragmentation. Three standard proteins, i.e., myoglobin, hemoglobin, and cytochrome c, were analyzed either intact or enzymatically digested, yielding heme b and heme c ions along with accompanying peptides. Furthermore, we successfully detected and characterized heme b in real samples, including blood, bovine and cod liver, and mussel. As a result, MALDI MS/MS emerged as a powerful tool for straightforward cyclic tetrapyrrole identification, even in highly complex samples. Our work paves the way for a more comprehensive understanding of cyclic tetrapyrroles in biological and industrial settings, including the geochemical field, as these compounds are a source of significant geological and geochemical information in sediments and crude oils. Full article
(This article belongs to the Special Issue Mass Spectrometry for Biomedical and Food Analysis)
Show Figures

Figure 1

Back to TopTop