Novel Chlorin with a HYNIC: Synthesis, 99mTc-Radiolabeling, and Initial Preclinical Evaluation
Abstract
1. Introduction
2. Results
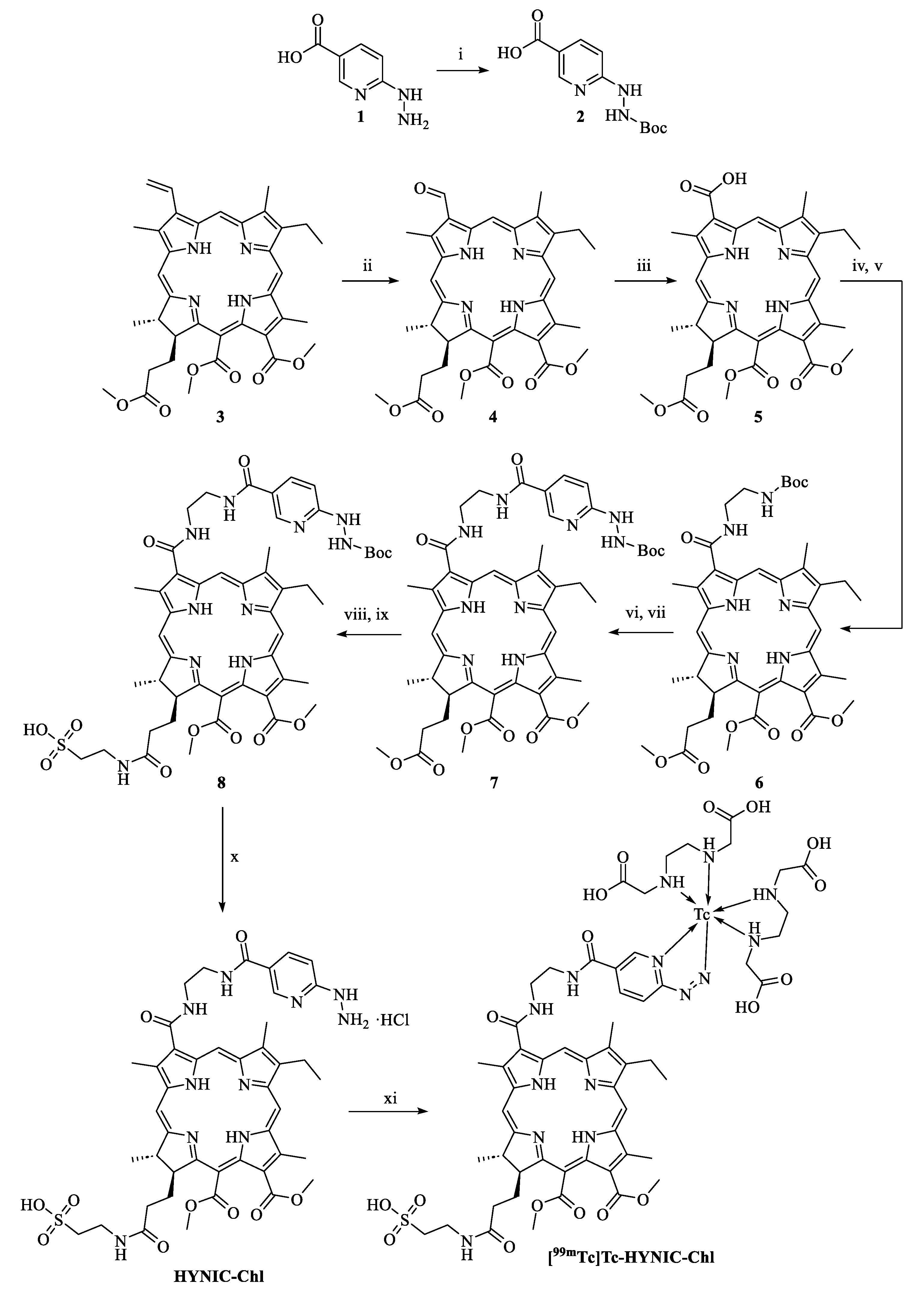
2.1. Synthesis of HYNIC-Chl
2.2. Radiolabeling of HYNIC-Chl
2.3. In Vitro Studies/In Vitro Binding and Cellular Uptake Experiments
2.4. Biodistribution Study
3. Discussion
4. Materials and Methods
4.1. Synthesis of HYNIC-Chl
4.1.1. 3-Devinyl-3-formylchlorin p6 trimethyl ester (4)
4.1.2. 3-Devinyl-3-carboxylchlorin p6 trimethyl ester (5)
4.1.3. 3-Devinyl-3-((2-((tert-butoxycarbonyl)amino)ethyl)carbamoyl)chlorin p6 trimethyl ester (6)
4.1.4. 3-Devinyl-3-((2-(6-(2-(tert-butoxycarbonyl)hydrazinyl)nicotinamido)ethyl)carbamoyl)chlorin p6 trimethyl ester (7)
4.1.5. 3-Devinyl-3-((2-(6-(2-(tert-butoxycarbonyl)hydrazinyl)nicotinamido)ethyl)carbamoyl)-173-((2-sulfoethyl)carbamoyl)chlorin p6 131,151-dimethyl ester (8)
4.1.6. 3-Devinyl-3-((2-(6-hydrazinylnicotinamido)ethyl)carbamoyl)-173-((2-sulfoethyl)carbamoyl)chlorin p6 131,151-dimethyl ester (9)
4.2. Radiolabeling Optimization
4.3. In Vitro Studies/In Vitro Binding and Cellular Uptake Experiments
4.4. In Vivo Studies
4.5. Statistical Analysis
5. Conclusions
Supplementary Materials
Author Contributions
Funding
Institutional Review Board Statement
Informed Consent Statement
Data Availability Statement
Acknowledgments
Conflicts of Interest
References
- Dhoundiyal, S.; Srivastava, S.; Kumar, S.; Singh, G.; Ashique, S.; Pal, R.; Mishra, N.; Taghizadeh-Hesary, F. Radiopharmaceuticals: Navigating the Frontier of Precision Medicine and Therapeutic Innovation. Eur. J. Med. Res. 2024, 29, 26. [Google Scholar] [CrossRef] [PubMed]
- Lewis, J.S.; Windhorst, A.D.; Zeglis, B.M. (Eds.) Radiopharmaceutical Chemistry; Springer International Publishing: Cham, Switzerland, 2019; ISBN 978-3-319-98946-4. [Google Scholar]
- Zanzonico, P. Principles of Nuclear Medicine Imaging: Planar, SPECT, PET, Multi-Modality, and Autoradiography Systems. Radiat. Res. 2012, 177, 349–364. [Google Scholar] [CrossRef] [PubMed]
- Hicks, R.J.; Hofman, M.S. Is There Still a Role for SPECT–CT in Oncology in the PET–CT Era? Nat. Rev. Clin. Oncol. 2012, 9, 712–720. [Google Scholar] [CrossRef] [PubMed]
- Lanteigne, D.; Hnatowich, D.J. The Labeling of DTPA-Coupled Proteins with 99mTc. Int. J. Appl. Radiat. Isot. 1984, 35, 617–621. [Google Scholar] [CrossRef]
- Fritzberg, A.R.; Kasina, S.; Eshima, D.; Johnson, D.L. Synthesis and Biological Evaluation of Technetium-99m MAG3 as a Hippuran Replacement. J. Nucl. Med. 1986, 27, 111. [Google Scholar]
- Abrams, M.J.; Juweid, M.; TenKate, C.I.; Schwartz, D.A.; Hauser, M.M.; Gaul, F.E.; Fuccello, A.J.; Rubin, R.H.; Strauss, H.W.; Fischman, A.J. Technetium-99m-Human Polyclonal IgG Radiolabeled via the Hydrazino Nicotinamide Derivative for Imaging Focal Sites of Infection in Rats. J. Nucl. Med. 1990, 31, 2022–2028. [Google Scholar]
- Bolzati, C.; Salvarese, N.; Spolaore, B.; Vittadini, A.; Forrer, D.; Brunello, S.; Ghiani, S.; Maiocchi, A. Water-Soluble [Tc(N)(PNP)] Moiety for Room-Temperature99m Tc Labeling of Sensitive Target Vectors. Mol. Pharm. 2022, 19, 876–894. [Google Scholar] [CrossRef]
- Saleh Farghaly, H.; Mohamed Sayed, M. Technetium-99m Dimercaptosuccinic Acid Scan in Evaluation of Renal Cortical Scarring: Is It Mandatory to Do Single Photon Emission Computerized Tomography? Indian J. Nucl. Med. 2015, 30, 26. [Google Scholar] [CrossRef]
- Karacavus, S.; Intepe, Y.S. The Role of T C-99m DTPA Aerosol Scintigraphy in the Differential Diagnosis of COPD and Asthma. Clin. Respir. J. 2015, 9, 189–195. [Google Scholar] [CrossRef]
- Papagiannopoulou, D. Technetium-99m Radiochemistry for Pharmaceutical Applications. Label. Comp. Radiopharm. 2017, 60, 502–520. [Google Scholar] [CrossRef]
- Liu, S.; Chakraborty, S. 99mTc-Centered One-Pot Synthesis for Preparation of 99mTc Radiotracers. Dalton Trans. 2011, 40, 6077. [Google Scholar] [CrossRef] [PubMed]
- Guleria, M.; Das, T.; Vats, K.; Amirdhanayagam, J.; Mathur, A.; Sarma, H.D.; Dash, A. Preparation and Evaluation of 99m Tc-Labeled Porphyrin Complexes Prepared Using PNP and HYNIC Cores: Studying the Effects of Core Selection on Pharmacokinetics and Tumor Uptake in a Mouse Model. Med. Chem. Commun. 2019, 10, 606–615. [Google Scholar] [CrossRef] [PubMed]
- Li, B.; Duan, L.; Shi, J.; Han, Y.; Wei, W.; Cheng, X.; Cao, Y.; Kader, A.; Ding, D.; Wu, X.; et al. Diagnostic Performance of 99mTc-HYNIC-PSMA SPECT/CT for Biochemically Recurrent Prostate Cancer after Radical Prostatectomy. Front. Oncol. 2022, 12, 1072437. [Google Scholar] [CrossRef] [PubMed]
- Maurin, M.; Wyczółkowska, M.; Sawicka, A.; Sikora, A.E.; Karczmarczyk, U.; Janota, B.; Radzik, M.; Kłudkiewicz, D.; Pijarowska-Kruszyna, J.; Jaroń, A.; et al. [99mTc]Tc-PSMA-T4—Novel SPECT Tracer for Metastatic PCa: From Bench to Clinic. Molecules 2022, 27, 7216. [Google Scholar] [CrossRef]
- Decristoforo, C.; Faintuch-Linkowski, B.; Rey, A.; Von Guggenberg, E.; Rupprich, M.; Hernandez-Gonzales, I.; Rodrigo, T.; Haubner, R. [99mTc]HYNIC-RGD for Imaging Integrin Avβ3 Expression. Nucl. Med. Biol. 2006, 33, 945–952. [Google Scholar] [CrossRef]
- Osterloh, J.; Vicente, M.G.H. Mechanisms of Porphyrinoid Localization in Tumors. J. Porphyr. Phthalocyanines 2002, 06, 305–324. [Google Scholar] [CrossRef]
- Mironov, A.F.; Grin, M.A.; Pantushenko, I.V.; Ostroverkhov, P.V.; Ivanenkov, Y.A.; Filkov, G.I.; Plotnikova, E.A.; Karmakova, T.A.; Starovoitova, A.V.; Burmistrova, N.V.; et al. Synthesis and Investigation of Photophysical and Biological Properties of Novel S-Containing Bacteriopurpurinimides. J. Med. Chem. 2017, 60, 10220–10230. [Google Scholar] [CrossRef]
- Sharonov, G.V.; Karmakova, T.A.; Kassies, R.; Pljutinskaya, A.D.; Grin, M.A.; Refregiers, M.; Yakubovskaya, R.I.; Mironov, A.F.; Maurizot, J.-C.; Vigny, P.; et al. Cycloimide Bacteriochlorin p Derivatives: Photodynamic Properties and Cellular and Tissue Distribution. Free Radic. Biol. Med. 2006, 40, 407–419. [Google Scholar] [CrossRef]
- Hamblin, M.R.; Luke Newman, E. New Trends in Photobiology. J. Photochem. Photobiol. B Biol. 1994, 23, 3–8. [Google Scholar] [CrossRef]
- Iyer, A.K.; Greish, K.; Seki, T.; Okazaki, S.; Fang, J.; Takeshita, K.; Maeda, H. Polymeric Micelles of Zinc Protoporphyrin for Tumor Targeted Delivery Based on EPR Effect and Singlet Oxygen Generation. J. Drug Target. 2007, 15, 496–506. [Google Scholar] [CrossRef]
- Grin, M.; Suvorov, N.; Ostroverkhov, P.; Pogorilyy, V.; Kirin, N.; Popov, A.; Sazonova, A.; Filonenko, E. Advantages of Combined Photodynamic Therapy in the Treatment of Oncological Diseases. Biophys. Rev. 2022, 14, 941–963. [Google Scholar] [CrossRef] [PubMed]
- Chilakamarthi, U.; Giribabu, L. Photodynamic Therapy: Past, Present and Future. Chem. Rec. 2017, 17, 775–802. [Google Scholar] [CrossRef] [PubMed]
- Kirin, N.S.; Ostroverkhov, P.V.; Usachev, M.N.; Birin, K.P.; Grin, M.A. Platinum(II) Complexes Based on Derivatives of Natural Chlorins with Pyridine-Containing Chelate Groups as Prototypes of Drugs for Combination Therapy in Oncology. Fine Chem. Technol. 2024, 19, 310–326. [Google Scholar] [CrossRef]
- Chin, W.; Heng, P.; Thong, P.; Bhuvaneswari, R.; Hirt, W.; Kuenzel, S.; Soo, K.; Olivo, M. Improved Formulation of Photosensitizer Chlorin E6 Polyvinylpyrrolidone for Fluorescence Diagnostic Imaging and Photodynamic Therapy of Human Cancer. Eur. J. Pharm. Biopharm. 2008, 69, 1083–1093. [Google Scholar] [CrossRef] [PubMed]
- Kessel, D.; Woodburn, K. Biodistribution of Photosensitizing Agents. Int. J. Biochem. 1993, 25, 1377–1383. [Google Scholar] [CrossRef]
- Drogat, N.; Barrière, M.; Granet, R.; Sol, V.; Krausz, P. High Yield Preparation of Purpurin-18 from Spirulina Maxima. Dye. Pigment. 2011, 88, 125–127. [Google Scholar] [CrossRef]
- Shliakhtsin, S.V.; Trukhachova, T.V.; Isakau, H.A.; Istomin, Y.P. Pharmacokinetics and Biodistribution of Photolon® (Fotolon®) in Intact and Tumor-Bearing Rats. Photodiagnosis Photodyn. Ther. 2009, 6, 97–104. [Google Scholar] [CrossRef]
- Ciaffaglione, V.; Waghorn, P.A.; Exner, R.M.; Cortezon-Tamarit, F.; Godfrey, S.P.; Sarpaki, S.; Quilter, H.; Dondi, R.; Ge, H.; Kociok-Kohn, G.; et al. Structural Investigations, Cellular Imaging, and Radiolabeling of Neutral, Polycationic, and Polyanionic Functional Metalloporphyrin Conjugates. Bioconjugate Chem. 2021, 32, 1374–1392. [Google Scholar] [CrossRef]
- Sanad, M.H.; Farag, A.B.; Saleh, G.M. Radiosynthesis and Biological Evaluation of 188Re-5,10,15,20-Tetra(4-Pyridyl)-21H,23H-Porphyrin Complex as a Tumor-Targeting Agent. Radiochemistry 2019, 61, 347–351. [Google Scholar] [CrossRef]
- Fazaeli, Y.; Jalilian, A.R.; Amini, M.M.; Ardaneh, K.; Rahiminejad, A.; Bolourinovin, F.; Moradkhani, S.; Majdabadi, A. Development of a 68Ga-Fluorinated Porphyrin Complex as a Possible PET Imaging Agent. Nucl. Med. Mol. Imaging 2012, 46, 20–26. [Google Scholar] [CrossRef]
- Ma, B.; Li, G.; Kanter, P.; Lamonica, D.; Grossman, Z.; Pandey, R.K. Bifunctional HPPH–N2S2-99m Tc Conjugates as Tumor Imaging Agents: Synthesis and Biodistribution Studies. J. Porphyr. Phthalocyanines 2003, 7, 500–507. [Google Scholar] [CrossRef]
- Travis, B.R.; Narayan, R.S.; Borhan, B. Osmium Tetroxide-Promoted Catalytic Oxidative Cleavage of Olefins: An Organometallic Ozonolysis. J. Am. Chem. Soc. 2002, 124, 3824–3825. [Google Scholar] [CrossRef] [PubMed]
- Chen, Y.K.; Lurain, A.E.; Walsh, P.J. A General, Highly Enantioselective Method for the Synthesis of d and l α-Amino Acids and Allylic Amines. J. Am. Chem. Soc. 2002, 124, 12225–12231. [Google Scholar] [CrossRef] [PubMed]
- Yang, D.; Zhang, C. Ruthenium-Catalyzed Oxidative Cleavage of Olefins to Aldehydes. J. Org. Chem. 2001, 66, 4814–4818. [Google Scholar] [CrossRef]
- Lemieux, R.U.; Rudloff, E.V. Periodate–Permanganate Oxidations: I. Oxidation of Olefins. Can. J. Chem. 1955, 33, 1701–1709. [Google Scholar] [CrossRef]
- Sam, D.J.; Simmons, H.E. Crown Polyether Chemistry. Potassium Permanganate Oxidations in Benzene. J. Am. Chem. Soc. 1972, 94, 4024–4025. [Google Scholar] [CrossRef]
- Pappo, R.; Allen, D., Jr.; Lemieux, R.; Johnson, W. Osmium Tetroxide-Catalyzed Periodate Oxidation of Olefinic Bonds. J. Org. Chem. 1956, 21, 478–479. [Google Scholar] [CrossRef]
- Bal, B.S.; Childers, W.E.; Pinnick, H.W. Oxidation of α,β-Un Saturated Aldehydes. Tetrahedron 1981, 37, 2091–2096. [Google Scholar] [CrossRef]
- Dalcanale, E.; Montanari, F. Selective Oxidation of Aldehydes to Carboxylic Acids with Sodium Chlorite-Hydrogen Peroxide. J. Org. Chem. 1986, 51, 567–569. [Google Scholar] [CrossRef]
- Surfraz, M.B.-U.; King, R.; Mather, S.J.; Biagini, S.C.G.; Blower, P.J. Trifluoroacetyl-HYNIC Peptides: Synthesis and 99m Tc Radiolabeling. J. Med. Chem. 2007, 50, 1418–1422. [Google Scholar] [CrossRef]
- Decristoforo, C.; Mather, S.J. 99m-Technetium-Labelled Peptide-HYNIC Conjugates: Effects of Lipophilicity and Stability on Biodistribution. Nucl. Med. Biol. 1999, 26, 389–396. [Google Scholar] [CrossRef] [PubMed]
- Torabizadeh, S.; Hosseinimehr, S. The Influence of Co-Ligands on Improving Tumor Targeting of 99m Tc-HYNIC Conjugated Peptides. MRMC 2016, 17, 86–94. [Google Scholar] [CrossRef] [PubMed]
- Brandis, A.S.; Kozyrev, A.N.; Mironov, A.F. Synthesis and Study of Chlorin and Porphyrin Dimers with Ether Linkage. Tetrahedron 1992, 48, 6485–6494. [Google Scholar] [CrossRef]




| Temperature, °C | Radiochemical Yield *, % | Isolated Yield *, % | Radiochemical Purity *, % | Maximum Molar Activity, MBq/nmol | ||
|---|---|---|---|---|---|---|
| Time, min | ||||||
| 15 | 30 | 60 | ||||
| 60 | 66.0 ± 0.7 | 70.7 ± 0.5 | 71.7 ± 0.6 | 42.1 | 94.6 ± 0.1 | 0.55 |
| 85 | 82.3 ± 0.3 | 74.5 ± 0.4 | 69.7 ± 0.5 | 49.8 | 94.9 ± 0.5 | 0.62 |
| 95 | 68.8 ± 0.4 | 63.3 ± 0.9 | 40.1 ± 0.8 | 42.6 | 92.3 ± 1.5 | 0.42 |
Disclaimer/Publisher’s Note: The statements, opinions and data contained in all publications are solely those of the individual author(s) and contributor(s) and not of MDPI and/or the editor(s). MDPI and/or the editor(s) disclaim responsibility for any injury to people or property resulting from any ideas, methods, instructions or products referred to in the content. |
© 2024 by the authors. Licensee MDPI, Basel, Switzerland. This article is an open access article distributed under the terms and conditions of the Creative Commons Attribution (CC BY) license (https://creativecommons.org/licenses/by/4.0/).
Share and Cite
Popov, A.; Suvorov, N.; Larkina, M.; Plotnikov, E.; Varvashenya, R.; Bodenko, V.; Yanovich, G.; Ostroverkhov, P.; Usachev, M.; Filonenko, E.; et al. Novel Chlorin with a HYNIC: Synthesis, 99mTc-Radiolabeling, and Initial Preclinical Evaluation. Molecules 2025, 30, 117. https://doi.org/10.3390/molecules30010117
Popov A, Suvorov N, Larkina M, Plotnikov E, Varvashenya R, Bodenko V, Yanovich G, Ostroverkhov P, Usachev M, Filonenko E, et al. Novel Chlorin with a HYNIC: Synthesis, 99mTc-Radiolabeling, and Initial Preclinical Evaluation. Molecules. 2025; 30(1):117. https://doi.org/10.3390/molecules30010117
Chicago/Turabian StylePopov, Alexander, Nikita Suvorov, Mariia Larkina, Evgenii Plotnikov, Ruslan Varvashenya, Vitalina Bodenko, Gleb Yanovich, Petr Ostroverkhov, Maxim Usachev, Elena Filonenko, and et al. 2025. "Novel Chlorin with a HYNIC: Synthesis, 99mTc-Radiolabeling, and Initial Preclinical Evaluation" Molecules 30, no. 1: 117. https://doi.org/10.3390/molecules30010117
APA StylePopov, A., Suvorov, N., Larkina, M., Plotnikov, E., Varvashenya, R., Bodenko, V., Yanovich, G., Ostroverkhov, P., Usachev, M., Filonenko, E., Belousov, M., & Grin, M. (2025). Novel Chlorin with a HYNIC: Synthesis, 99mTc-Radiolabeling, and Initial Preclinical Evaluation. Molecules, 30(1), 117. https://doi.org/10.3390/molecules30010117

