Antibiotic Effect of High-Power Blue Laser Radiation
Abstract
1. Introduction
2. Materials and Methods
2.1. Microorganisms and Their Cultivation
2.2. Irradiation Setup and Assessment of Photo Inactivation Effect
2.3. Spectroscopical and Temperature Measurement
2.4. Gene Expression Analyses Using RNA Microarray Technology
2.5. Chlorophyll Extraction
2.6. In Vitro Detection of Superoxide Radicals
3. Results and Discussion
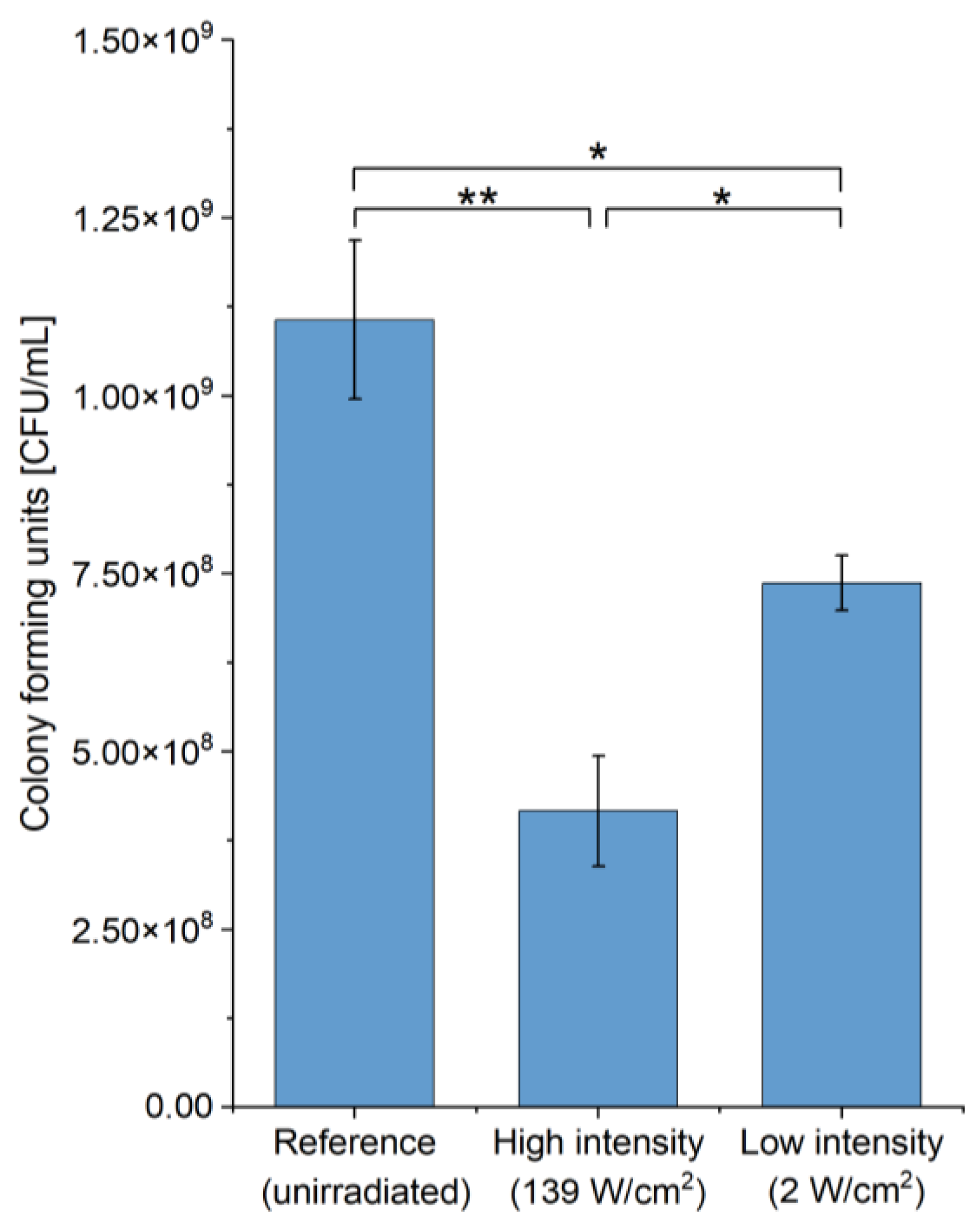
3.1. The Antibiotic Activity of High-Power Blue Laser
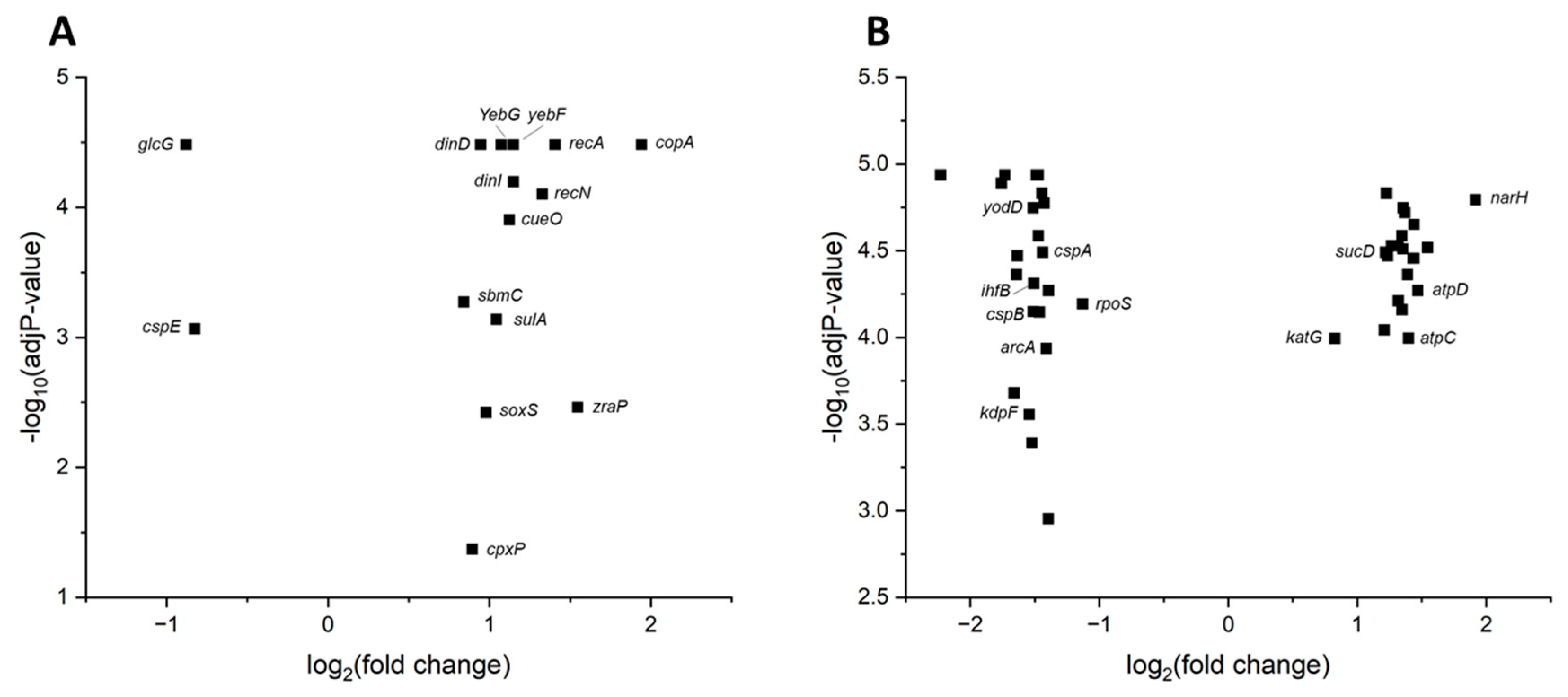
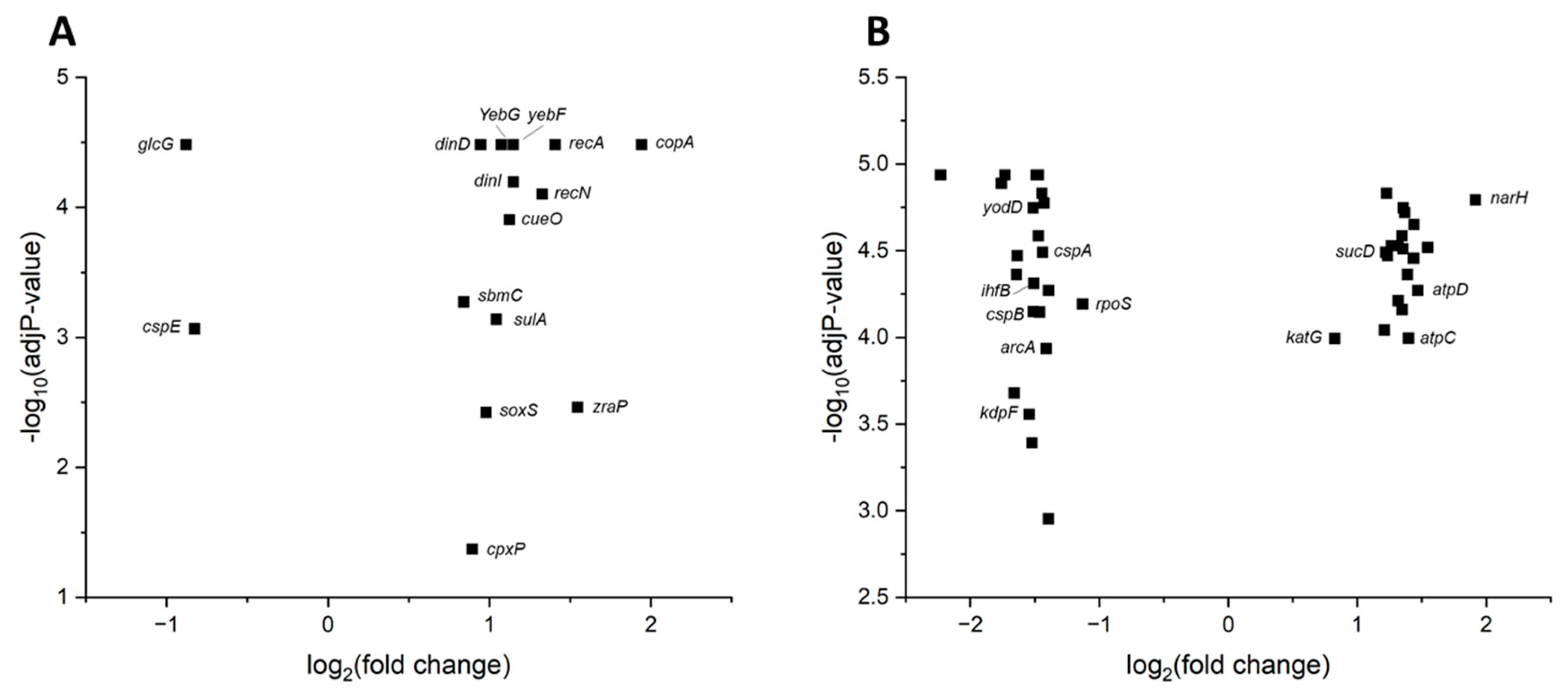
3.2. Transcriptome Analyses of High-Power Blue Laser Radiation Treated E. coli
3.3. Algicidal Effect of Blue Laser Treatment
3.4. Transmission Spectra of High-Power Blue Laser Radiation Treated Algae
3.5. Fluorescence Spectra of High-Power Blue Light Laser Irradiated Green and Red Algae
3.6. Heat Development during High-Power Blue Laser Radiation Treatment of Algae
3.7. ROS Development during High-Power Blue Laser Radiation Treatment of Algae
3.8. In Vitro Detection of ROS during Blue Light Irradiation of Chlorophyll and Riboflavin
3.9. Limitations of the Study and Outlook
4. Conclusions
Supplementary Materials
Author Contributions
Funding
Data Availability Statement
Acknowledgments
Conflicts of Interest
References
- Wahl, M. Marine epibiosis. I. Fouling and antifouling: Some basic aspects. Mar. Ecol. Prog. Ser. 1989, 58, 175–189. [Google Scholar] [CrossRef]
- Qian, P.-Y.; Cheng, A.; Wang, R.; Zhang, R. Marine biofilms: Diversity, interactions and biofouling. Nat. Rev. Microbiol. 2022, 20, 671–684. [Google Scholar] [CrossRef]
- Lewthwaite, J.C.; Molland, A.F.; Thomas, K.W. An investigation into the variation of ship skin frictional resistance with fouling. In Royal Institution of Naval Architects Transactions; Maritime Technical Information Facility: Evanston, WY, USA, 1985; ISSN 0035-8967. [Google Scholar]
- Shumway, S.E. (Ed.) Shellfish Safety and Quality; CRC Press: Boca Raton, FL, USA, 2009; ISBN 9781845691523. [Google Scholar]
- Matin, A.; Khan, Z.; Zaidi, S.; Boyce, M.C. Biofouling in reverse osmosis membranes for seawater desalination: Phenomena and prevention. Desalination 2011, 281, 1–16. [Google Scholar] [CrossRef]
- Molnar, J.L.; Gamboa, R.L.; Revenga, C.; Spalding, M.D. Assessing the global threat of invasive species to marine biodiversity. Front. Ecol. Environ. 2008, 6, 485–492. [Google Scholar] [CrossRef]
- Railkin, A.I. Marine Biofouling: Colonization Processes and Defenses; CRC Press: Boca Raton, FL, USA, 2004; ISBN 9780203503232. [Google Scholar]
- Alzieu, C.; Heral, M. Ecotoxicological effects of organotin compounds on oyster culture. In Ecotoxicological Testing for the Marine Environment; Persoone, G., Jaspers, E., Claus, C., Eds.; State University Ghent and Institute for Marine Scientific Research: Bredene, Belgium, 1984; Volume 2, pp. 187–196. [Google Scholar]
- Tamburri, M.N.; Davidson, I.C.; First, M.R.; Scianni, C.; Newcomer, K.; Inglis, G.J.; Georgiades, E.T.; Barnes, J.M.; Ruiz, G.M. In-Water Cleaning and Capture to Remove Ship Biofouling: An Initial Evaluation of Efficacy and Environmental Safety. Front. Mar. Sci. 2020, 7, 437. [Google Scholar] [CrossRef]
- Al-Shammary, A.A.K.; Mohd Ma’amor, N.A.A.; Chen, S.Q.; Lee, K.S.; Mohd Hanafiah, K. Bactericidal effects of in vitro 405 nm, 530 nm and 650 nm laser irradiation on methicillin-resistant Staphylococcus aureus, Pseudomonas aeruginosa and Mycobacterium fortuitum. J. Dent. Lasers 2020, 4, 111–121. [Google Scholar] [CrossRef]
- Hoenes, K.; Hess, M.; Vatter, P.; Spellerberg, B.; Hessling, M. 405 nm and 450 nm Photoinactivation of Saccharomyces cerevisiae. Eur. J. Microbiol. Immunol. 2018, 8, 142–148. [Google Scholar] [CrossRef]
- Leanse, L.G.; dos Anjos, C.; Mushtaq, S.; Dai, T. Antimicrobial blue light: A ‘Magic Bullet’ for the 21st century and beyond? Adv. Drug Deliv. Rev. 2022, 180, 114057. [Google Scholar] [CrossRef]
- Zupin, L.; Gratton, R.; Fontana, F.; Clemente, L.; Pascolo, L.; Ruscio, M.; Crovella, S. Blue photobiomodulation LED therapy impacts SARS-CoV-2 by limiting its replication in Vero cells. J. Biophotonics 2021, 14, e202000496. [Google Scholar] [CrossRef]
- Hessling, M.; Lau, B.; Vatter, P. Review of Virus Inactivation by Visible Light. Photonics 2022, 9, 113. [Google Scholar] [CrossRef]
- Kim, M.-J.; Mikš-Krajnik, M.; Kumar, A.; Ghate, V.; Yuk, H.-G. Antibacterial effect and mechanism of high-intensity 405 ± 5 nm light emitting diode on Bacillus cereus, Listeria monocytogenes, and Staphylococcus aureus under refrigerated condition. J. Photochem. Photobiol. B 2015, 153, 33–39. [Google Scholar] [CrossRef]
- Kumar, A.; Ghate, V.; Kim, M.-J.; Zhou, W.; Khoo, G.H.; Yuk, H.-G. Kinetics of bacterial inactivation by 405nm and 520nm light emitting diodes and the role of endogenous coproporphyrin on bacterial susceptibility. J. Photochem. Photobiol. B 2015, 149, 37–44. [Google Scholar] [CrossRef]
- Wu, J.; Chu, Z.; Ruan, Z.; Wang, X.; Dai, T.; Hu, X. Changes of Intracellular Porphyrin, Reactive Oxygen Species, and Fatty Acids Profiles During Inactivation of Methicillin-Resistant Staphylococcus aureus by Antimicrobial Blue Light. Front. Physiol. 2018, 9, 1658. [Google Scholar] [CrossRef]
- Amin, R.M.; Bhayana, B.; Hamblin, M.R.; Dai, T. Antimicrobial blue light inactivation of Pseudomonas aeruginosa by photo-excitation of endogenous porphyrins: In vitro and in vivo studies. Lasers Surg. Med. 2016, 48, 562–568. [Google Scholar] [CrossRef]
- Grinholc, M.; Rodziewicz, A.; Forys, K.; Rapacka-Zdonczyk, A.; Kawiak, A.; Domachowska, A.; Golunski, G.; Wolz, C.; Mesak, L.; Becker, K.; et al. Fine-tuning recA expression in Staphylococcus aureus for antimicrobial photoinactivation: Importance of photo-induced DNA damage in the photoinactivation mechanism. Appl. Microbiol. Biotechnol. 2015, 99, 9161–9176. [Google Scholar] [CrossRef]
- Biener, G.; Masson-Meyers, D.S.; Bumah, V.V.; Hussey, G.; Stoneman, M.R.; Enwemeka, C.S.; Raicu, V. Blue/violet laser inactivates methicillin-resistant Staphylococcus aureus by altering its transmembrane potential. J. Photochem. Photobiol. B 2017, 170, 118–124. [Google Scholar] [CrossRef]
- Plavskii, V.Y.; Mikulich, A.V.; Tretyakova, A.I.; Leusenka, I.A.; Plavskaya, L.G.; Kazyuchits, O.A.; Dobysh, I.I.; Krasnenkova, T.P. Porphyrins and flavins as endogenous acceptors of optical radiation of blue spectral region determining photoinactivation of microbial cells. J. Photochem. Photobiol. B 2018, 183, 172–183. [Google Scholar] [CrossRef]
- Dong, P.-T.; Mohammad, H.; Hui, J.; Leanse, L.G.; Li, J.; Liang, L.; Dai, T.; Seleem, M.N.; Cheng, J.-X. Photolysis of Staphyloxanthin in Methicillin-Resistant Staphylococcus aureus Potentiates Killing by Reactive Oxygen Species. Adv. Sci. 2019, 6, 1900030. [Google Scholar] [CrossRef] [PubMed]
- Jusuf, S.; Dong, P.-T.; Hui, J.; Ulloa, E.R.; Liu, G.Y.; Cheng, J.-X. Granadaene Photobleaching Reduces the Virulence and Increases Antimicrobial Susceptibility of Streptococcus agalactiae. Photochem. Photobiol. 2021, 97, 816–825. [Google Scholar] [CrossRef] [PubMed]
- Dos Anjos, C.; Leanse, L.G.; Ribeiro, M.S.; Sellera, F.P.; Dropa, M.; Arana-Chavez, V.E.; Lincopan, N.; Baptista, M.S.; Pogliani, F.C.; Dai, T.; et al. New Insights into the Bacterial Targets of Antimicrobial Blue Light. Microbiol. Spectr. 2023, 11, e0283322. [Google Scholar] [CrossRef] [PubMed]
- Cieplik, F.; Späth, A.; Leibl, C.; Gollmer, A.; Regensburger, J.; Tabenski, L.; Hiller, K.-A.; Maisch, T.; Schmalz, G. Blue light kills Aggregatibacter actinomycetemcomitans due to its endogenous photosensitizers. Clin. Oral Investig. 2014, 18, 1763–1769. [Google Scholar] [CrossRef]
- Ma, J.; Hiratsuka, T.; Etoh, T.; Akada, J.; Fujishima, H.; Shiraishi, N.; Yamaoka, Y.; Inomata, M. Anti-proliferation effect of blue light-emitting diodes against antibiotic-resistant Helicobacter pylori. J. Gastroenterol. Hepatol. 2018, 33, 1492–1499. [Google Scholar] [CrossRef]
- Lubart, R.; Lipovski, A.; Nitzan, Y.; Friedmann, H. A possible mechanism for the bactericidal effect of visible light. Laser Ther. 2011, 20, 17–22. [Google Scholar] [CrossRef]
- O’Donoghue, B.; NicAogáin, K.; Bennett, C.; Conneely, A.; Tiensuu, T.; Johansson, J.; O’Byrne, C. Blue-Light Inhibition of Listeria monocytogenes Growth Is Mediated by Reactive Oxygen Species and Is Influenced by σB and the Blue-Light Sensor Lmo0799. Appl. Environ. Microbiol. 2016, 82, 4017–4027. [Google Scholar] [CrossRef]
- Murdoch, L.E.; McKenzie, K.; Maclean, M.; MacGregor, S.J.; Anderson, J.G. Lethal effects of high-intensity violet 405-nm light on Saccharomyces cerevisiae, Candida albicans, and on dormant and germinating spores of Aspergillus niger. Fungal Biol. 2013, 117, 519–527. [Google Scholar] [CrossRef]
- Ramakrishnan, P.; Maclean, M.; MacGregor, S.J.; Anderson, J.G.; Grant, M.H. Cytotoxic responses to 405nm light exposure in mammalian and bacterial cells: Involvement of reactive oxygen species. Toxicol. Vitr. 2016, 33, 54–62. [Google Scholar] [CrossRef]
- Schmid, J.; Hoenes, K.; Vatter, P.; Hessling, M. Antimicrobial Effect of Visible Light-Photoinactivation of Legionella rubrilucens by Irradiation at 450, 470, and 620 nm. J. Antibiot. 2019, 8, 187. [Google Scholar] [CrossRef]
- Kotoku, Y.; Kato, J.; Akashi, G.; Hirai, Y.; Ishihara, K. Bactericidal effect of a 405-nm diode laser on Porphyromonas gingivalis. Laser Phys. Lett. 2009, 6, 388–392. [Google Scholar] [CrossRef]
- Murdoch, L.E.; Maclean, M.; Endarko, E.; MacGregor, S.J.; Anderson, J.G. Bactericidal effects of 405 nm light exposure demonstrated by inactivation of Escherichia, Salmonella, Shigella, Listeria, and Mycobacterium species in liquid suspensions and on exposed surfaces. Sci. World J. 2012, 2012, 137805. [Google Scholar] [CrossRef] [PubMed]
- de Sousa, N.T.A.; Santos, M.F.; Gomes, R.C.; Brandino, H.E.; Martinez, R.; de Jesus Guirro, R.R. Blue Laser Inhibits Bacterial Growth of Staphylococcus aureus, Escherichia coli, and Pseudomonas aeruginosa. Photomed. Laser Surg. 2015, 33, 278–282. [Google Scholar] [CrossRef] [PubMed]
- Pope, R.M.; Fry, E.S. Absorption spectrum (380–700 nm) of pure water. II. Integrating cavity measurements. Appl. Opt. 1997, 36, 8710–8723. [Google Scholar] [CrossRef]
- Zimbelmann, S.; Emde, B.; von Waldegge, T.H.; Stübing, D.; Baumann, M.; Hermsdorf, J. Interaction between laser radiation and biofouling for ship hull cleaning. Procedia CIRP 2022, 111, 705–710. [Google Scholar] [CrossRef]
- Zimbelmann, S.; Hermsdorf, J.; Emde, B. Disinfection of water by using laser radiation. Procedia CIRP 2022, 111, 766–769. [Google Scholar] [CrossRef]
- Chen, Y.-B.; Zehr, J.P.; Mellon, M. Growth and nitrogen fixation of the diazotrophic filamentous nonheterocystous cyanobacterium Trichodesmium sp. ims 101 in defined media: Evidence for a circadian rhythm1. J. Phycol. 1996, 32, 916–923. [Google Scholar] [CrossRef]
- Andersen, R.A. Algal Culturing Techniques; Elsevier Academic Press: Burlington, MA, USA, 2005; ISBN 9780080456508. [Google Scholar]
- Yang, Y.H.; Paquet, A.C. Preprocessing Two-Color Spotted Arrays. In Bioinformatics and Computational Biology Solutions Using R and Bioconductor; Springer: New York, NY, USA, 2005; pp. 49–69. [Google Scholar]
- Biedendieck, R.; Borgmeier, C.; Bunk, B.; Stammen, S.; Scherling, C.; Meinhardt, F.; Wittmann, C.; Jahn, D. Systems Biology of Recombinant Protein Production Using Bacillus megaterium. In Methods in Enzymology; Academic Press: Cambridge, MA, USA, 2011; pp. 165–195. [Google Scholar]
- Lichtenthaler, H.K. Chlorophyll Fluorescence Signatures of Leaves during the Autumnal Chlorophyll Breakdown. J. Plant Physiol. 1987, 131, 101–110. [Google Scholar] [CrossRef]
- Schultz, M.P. Effects of coating roughness and biofouling on ship resistance and powering. Biofouling 2007, 23, 331–341. [Google Scholar] [CrossRef]
- Ron, E.Z.; Davis, B.D. Growth rate of Escherichia coli at elevated temperatures: Limitation by methionine. J. Bacteriol. 1971, 107, 391–396. [Google Scholar] [CrossRef]
- Gao, B.; Liang, L.; Su, L.; Wen, A.; Zhou, C.; Feng, Y. Structural basis for regulation of SOS response in bacteria. Proc. Natl. Acad. Sci. USA 2023, 120, e2217493120. [Google Scholar] [CrossRef] [PubMed]
- Uranga, L.A.; Balise, V.D.; Benally, C.V.; Grey, A.; Lusetti, S.L. The Escherichia coli DinD protein modulates RecA activity by inhibiting postsynaptic RecA filaments. J. Biol. Chem. 2011, 286, 29480–29491. [Google Scholar] [CrossRef] [PubMed]
- Oh, T.J.; Jung, I.L.; Kim, I.G. The Escherichia coli SOS gene sbmC is regulated by H-NS and RpoS during the SOS induction and stationary growth phase. Biochem. Biophys. Res. Commun. 2001, 288, 1052–1058. [Google Scholar] [CrossRef] [PubMed]
- Oh, T.J.; Kim, I.G. Identification of genetic factors altering the SOS induction of DNA damage-inducible yebG gene in Escherichia coli. FEMS Microbiol. Lett. 1999, 177, 271–277. [Google Scholar] [CrossRef]
- Maslowska, K.H.; Makiela-Dzbenska, K.; Fijalkowska, I.J. The SOS system: A complex and tightly regulated response to DNA damage. Environ. Mol. Mutagen. 2019, 60, 368–384. [Google Scholar] [CrossRef]
- Fitzgerald, D.M.; Rosenberg, S.M. Biology before the SOS Response-DNA Damage Mechanisms at Chromosome Fragile Sites. Cells 2021, 10, 2275. [Google Scholar] [CrossRef]
- Klimova, A.N.; Sandler, S.J. An Epistasis Analysis of recA and recN in Escherichia coli K-12. J. Genet. 2020, 216, 381–393. [Google Scholar] [CrossRef]
- Bunnell, B.E.; Escobar, J.F.; Bair, K.L.; Sutton, M.D.; Crane, J.K. Zinc blocks SOS-induced antibiotic resistance via inhibition of RecA in Escherichia coli. PLoS ONE 2017, 12, e0178303. [Google Scholar] [CrossRef]
- Raro, O.H.F.; Poirel, L.; Nordmann, P. Effect of Zinc Oxide and Copper Sulfate on Antibiotic Resistance Plasmid Transfer in Escherichia coli. Microorganisms 2023, 11, 2880. [Google Scholar] [CrossRef]
- Rapacka-Zdonczyk, A.; Wozniak, A.; Kruszewska, B.; Waleron, K.; Grinholc, M. Can Gram-Negative Bacteria Develop Resistance to Antimicrobial Blue Light Treatment? Int. J. Mol. Sci. 2021, 22, 11579. [Google Scholar] [CrossRef]
- Liang, J.-Y.; Cheng, C.-W.; Yu, C.-H.; Chen, L.-Y. Investigations of blue light-induced reactive oxygen species from flavin mononucleotide on inactivation of E. coli. J. Photochem. Photobiol. B 2015, 143, 82–88. [Google Scholar] [CrossRef]
- Gu, M.; Imlay, J.A. The SoxRS response of Escherichia coli is directly activated by redox-cycling drugs rather than by superoxide. Mol. Microbiol. 2011, 79, 1136–1150. [Google Scholar] [CrossRef]
- Chang, R.L.; Stanley, J.A.; Robinson, M.C.; Sher, J.W.; Li, Z.; Chan, Y.A.; Omdahl, A.R.; Wattiez, R.; Godzik, A.; Matallana-Surget, S. Protein structure, amino acid composition and sequence determine proteome vulnerability to oxidation-induced damage. EMBO J. 2020, 39, e104523. [Google Scholar] [CrossRef]
- Dong, P.-T.; Zhan, Y.; Jusuf, S.; Hui, J.; Dagher, Z.; Mansour, M.K.; Cheng, J.-X. Photoinactivation of Catalase Sensitizes Candida albicans and Candida auris to ROS-Producing Agents and Immune Cells. Adv. Sci. 2022, 9, e2104384. [Google Scholar] [CrossRef]
- Schellhorn, H.E. Function, Evolution, and Composition of the RpoS Regulon in Escherichia coli. Front. Microbiol. 2020, 11, 560099. [Google Scholar] [CrossRef] [PubMed]
- Swinger, K.K.; Rice, P.A. IHF and HU: Flexible architects of bent DNA. Curr. Opin. Struct. Biol. 2004, 14, 28–35. [Google Scholar] [CrossRef]
- Pedersen, B.P.; Stokes, D.L.; Apell, H.-J. The KdpFABC complex—K+ transport against all odds. Mol. Membr. Biol. 2019, 35, 21–38. [Google Scholar] [CrossRef] [PubMed]
- Brown, A.N.; Anderson, M.T.; Bachman, M.A.; Mobley, H.L.T. The ArcAB Two-Component System: Function in Metabolism, Redox Control, and Infection. Microbiol. Mol. Biol. Rev. 2022, 86, e0011021. [Google Scholar] [CrossRef]
- Woodson, S.A.; Panja, S.; Santiago-Frangos, A. Proteins That Chaperone RNA Regulation. Microbiol. Spectr. 2018, 6, 385–397. [Google Scholar] [CrossRef]
- UniProt: The Universal Protein Knowledgebase in 2023. Nucleic Acids Res. 2023, 51, D523–D531. [CrossRef] [PubMed]
- Harris, E.H. Chlamydomonas as a model organism. Annu. Rev. Plant Physiol. Plant Mol. Biol. 2001, 52, 363–406. [Google Scholar] [CrossRef]
- Schulz-Raffelt, M.; Lodha, M.; Schroda, M. Heat shock factor 1 is a key regulator of the stress response in Chlamydomonas. Plant J. 2007, 52, 286–295. [Google Scholar] [CrossRef]
- Ben-Amotz, A.; Shaish, A.; Avron, M. Mode of Action of the Massively Accumulated beta-Carotene of Dunaliella bardawil in Protecting the Alga against Damage by Excess Irradiation. J. Plant Physiol. 1989, 91, 1040–1043. [Google Scholar] [CrossRef]
- Dos Anjos, C.; Sellera, F.P.; Gargano, R.G.; Lincopan, N.; Pogliani, F.C.; Ribeiro, M.G.; Jagielski, T.; Sabino, C.P. Algicidal effect of blue light on pathogenic Prototheca species. Photodiagn. Photodyn. Ther. 2019, 26, 210–213. [Google Scholar] [CrossRef] [PubMed]
- Krienitz, L.; Huss, V.A.R.; Bock, C. Chlorella: 125 years of the green survivalist. Trends Plant Sci. 2015, 20, 67–69. [Google Scholar] [CrossRef] [PubMed]
- Montezinos, D. A Cytological Model of Cellulose Biogenesis in the Alga Oocystis apiculata. In Cellulose and other Natural Polymer Systems: Biogenesis, Structure, and Degradation; Springer: Boston, MA, USA, 1982; pp. 3–21. [Google Scholar]
- Glazer, A.N. Light harvesting by phycobilisomes. Annu. Rev. Biophys. Biophys. Chem. 1985, 14, 47–77. [Google Scholar] [CrossRef] [PubMed]
- Davies-Colley, R.J.; Pridmore, R.D.; Hewitt, J.E. Optical properties of some freshwater phytoplanktonic algae. Hydrobiologia 1986, 133, 165–178. [Google Scholar] [CrossRef]
- Song, L.; Hennink, E.J.; Young, I.T.; Tanke, H.J. Photobleaching kinetics of fluorescein in quantitative fluorescence microscopy. Biophys. J. 1995, 68, 2588–2600. [Google Scholar] [CrossRef] [PubMed]
- Triantaphylidès, C.; Krischke, M.; Hoeberichts, F.A.; Ksas, B.; Gresser, G.; Havaux, M.; van Breusegem, F.; Mueller, M.J. Singlet oxygen is the major reactive oxygen species involved in photooxidative damage to plants. J. Plant Physiol. 2008, 148, 960–968. [Google Scholar] [CrossRef] [PubMed]
- Vass, I. Role of charge recombination processes in photodamage and photoprotection of the photosystem II complex. Physiol. Plant. 2011, 142, 6–16. [Google Scholar] [CrossRef] [PubMed]
- Gantt, E.; Lipschultz, C.A. Phycobilisomes of Porphyridium cruentum: Pigment analysis. Biochemistry 1974, 13, 2960–2966. [Google Scholar] [CrossRef]
- Israsena Na Ayudhya, T.; Posey, F.T.; Tyus, J.C.; Dingra, N.N. Using a Microscale Approach To Rapidly Separate and Characterize Three Photosynthetic Pigment Species from Fern. J. Chem. Educ. 2015, 92, 920–923. [Google Scholar] [CrossRef]
- Kalaji, H.M.; Schansker, G.; Brestic, M.; Bussotti, F.; Calatayud, A.; Ferroni, L.; Goltsev, V.; Guidi, L.; Jajoo, A.; Li, P.; et al. Frequently asked questions about chlorophyll fluorescence, the sequel. Photosynth. Res. 2017, 132, 13–66. [Google Scholar] [CrossRef]
- Csőgör, Z.; Kiessling, B.; Perner, I.; Fleck, P.; Posten, C. Growth and product formation of Porphyridium purpureum. J. Appl. Phycol. 2001, 13, 317–324. [Google Scholar] [CrossRef]
- Wild, A.; Urschel, B. Chlorophyll-Protein Complexes of Chlorella fusca. Z. Naturforschung C 1980, 35, 627–637. Available online: https://www.degruyter.com/document/doi/10.1515/znc-1980-7-815/xml (accessed on 12 December 2020). [CrossRef]
- Fork, D.C.; Öquist, G.; Hoch, G.E. Fluorescence emission from photosystem I at room temperature in the red alga Porphyra perforata. Plant Sci. Lett. 1982, 24, 249–254. [Google Scholar] [CrossRef]
- Mohanty, P.; Papageorgiou, G.; Govindjee. Fluorescence induction in the red alga Porphyridium cruentum. Photochem. Photobiol. 1971, 14, 667–682. [Google Scholar] [CrossRef]
- Rupel, K.; Zupin, L.; Ottaviani, G.; Bertani, I.; Martinelli, V.; Porrelli, D.; Vodret, S.; Vuerich, R.; da Passos Silva, D.; Bussani, R.; et al. Blue laser light inhibits biofilm formation in vitro and in vivo by inducing oxidative stress. NPJ Biofilms Microbiomes 2019, 5, 29. [Google Scholar] [CrossRef]







| Parameter | Value |
|---|---|
| Power density | 2–139 W/cm2 |
| Dose | 310 J/cm2 and 1240 J/cm2 |
| Irradiated area | 2 cm2 |
| Irradiation time | 3–600 s |
| Wavelength | 448 nm |
| Laser power | 1500 W |
| Sample volume | 2.5 mL |
| Gene | logFC | Adjusted p-Value | Function of the Corresponding Gene Product |
|---|---|---|---|
| copA | 1.94 | 3.29 × 10−5 | Copper-exporting P-type ATPase |
| zraP | 1.55 | 3.45 × 10−3 | Zinc resistance sensor/chaperone |
| recA | 1.41 | 3.29 × 10−5 | Recombinase |
| recN | 1.33 | 7.91 × 10−5 | DNA repair protein |
| dinI | 1.15 | 6.37 × 10−5 | DNA damage-inducible protein I |
| yebF | 1.14 | 4.04 × 10−8 | Unknown function, secreted |
| cueO | 1.12 | 1.24 × 10−4 | Multicopper oxidase |
| yebG | 1.07 | 3.29 × 10−5 | DNA damage-inducible protein |
| sulA | 1.04 | 7.27 × 10−4 | Cell division inhibitor |
| soxS | 0.98 | 3.78 × 10−3 | Superoxide response transcriptional regulator |
| dinD | 0.95 | 3.29 × 10−5 | DNA damage-inducible protein D |
| cpxP | 0.89 | 4.26 × 10−2 | Cell-envelope stress modulator |
| sbmC | 0.84 | 5.34 × 10−2 | DNA gyrase inhibitor |
| cspE | −0.83 | 8.58 × 10−4 | Transcription antiterminator/RNA stability regulator |
| glcG | −0.88 | 3.29 × 10−5 | Glycolate metabolism |
| Gene | logFC | Adjusted p-Value | Function of the Corresponding Gene Product | GO Term |
|---|---|---|---|---|
| narH | 1.92 | 1.61 × 10−5 | Nitrate reductase subunit beta | Anaerobic respiration |
| rplW | 1.55 | 3.03 × 10−5 | 50S ribosomal protein L23 | Cytoplasmatic translation |
| rpsC | 1.44 | 2.23 × 10−5 | 30S ribosomal protein S3 | Cytoplasmic translation |
| rplV | 1.43 | 3.50 × 10−5 | 50S ribosomal protein L22 | Cytoplasmic translation |
| rpsS | 1.39 | 4.35 × 10−5 | 30S ribosomal protein S19 | Cytoplasmic translation |
| rplC | 1.37 | 1.91 × 10−5 | 50S ribosomal protein L3 | Cytoplasmic translation |
| rpsD | 1.36 | 1.79 × 10−5 | 30S ribosomal protein S4 | Cytoplasmic translation |
| rplD | 1.35 | 3.09 × 10−5 | 50S ribosomal protein L4 | Cytoplasmic translation |
| rpsA | 1.35 | 2.59 × 10−5 | 30S ribosomal protein S1 | Cytoplasmic translation |
| rplB | 1.23 | 3.38 × 10−5 | 50S ribosomal protein L2 | Cytoplasmic translation |
| rplP | 1.23 | 1.48 × 10−5 | 50S ribosomal protein L16 | Cytoplasmic translation |
| rpmC | 1.21 | 9.07 × 10−5 | 50S ribosomal protein L29 | Cytoplasmic translation |
| rpsJ | 1.32 | 6.15 × 10−5 | 30S ribosomal protein S10 | Cytoplasmic translation, ribosome biogenesis |
| malQ | 1.35 | 6.91 × 10−5 | 4-alpha-glucanotransferase | Glycogen catabolic process |
| lamB | 1.32 | 2.96 × 10−5 | Maltoporin | Maltodextrin transmembrane transport, DNA damage response |
| tuf | 1.27 | 2.96 × 10−5 | Elongation factor Tu | Positive regulation of translation |
| atpD | 1.47 | 5.36 × 10−5 | F0F1 ATP synthase subunit beta | Proton motive force-driven ATP synthesis |
| atpC | 1.40 | 1.01 × 10−4 | F0F1 ATP synthase subunit epsilon | Proton motive force-driven ATP synthesis |
| katG | 0.83 | 1.01 × 10−4 | Catalase/peroxidase HPI | Response to reactive oxygen species |
| fusA | 1.44 | 3.50 × 10−5 | Elongation factor G | Translational elongation |
| sucD | 1.22 | 3.23 × 10−5 | Succinate-CoA ligase subunit alpha | Tricarboxylic acid cycle |
| ilvL | −1.43 | 1.68 × 10−5 | ilv operon leader peptide | Branched-chain amino acid biosynthetic process |
| ilvN | −1.44 | 1.48 × 10−5 | Acetolactate synthase small subunit | Branched-chain amino acid biosynthetic process |
| yodD | −1.51 | 1.79 × 10−5 | Peroxide/acid resistance protein | Cellular response to hydrogen peroxide |
| mgrB | −1.39 | 5.36 × 10−5 | PhoP/PhoQ regulator MgrB | cellular response to magnesium ion |
| iscS | −1.37 | 5.84 × 10−4 | IscS subfamily cysteine desulfurase | Detection of UV, iron–sulphur cluster assembly |
| glcD | −1.49 | 1.16 × 10−5 | Glycolate oxidase subunit | DNA damage response, glycolate catabolic process |
| ihfB | −1.51 | 4.88 × 10−5 | Integration host factor subunit beta | DNA-templated transcription |
| rpoS | −1.13 | 6.41 × 10−5 | RNA polymerase sigma factor RpoS | DNA-templated transcription initiation |
| fadB | −1.47 | 1.16 × 10−5 | Fatty acid oxidation complex subunit alpha | Fatty acid beta-oxidation |
| fadA | −1.76 | 1.29 × 10−5 | Acetyl-CoA C-acyltransferase | Fatty acid beta-oxidation |
| glcE | −1.64 | 3.38 × 10−5 | Glycolate oxidase subunit | Glycolate catabolic process |
| iscU | −1.52 | 4.06 × 10−4 | Fe-S cluster assembly scaffold | Iron–sulphur cluster assembly |
| iscA | −1.66 | 2.09 × 10−4 | Iron–sulphur cluster assembly protein | Iron–sulphur cluster assembly |
| kdpF | −1.54 | 2.78 × 10−4 | K(+)-transporting ATPase subunit F | Potassium ion transport |
| iscR | −1.39 | 1.11 × 10−3 | Fe-S cluster assembly transcriptional regulator | Regulation of DNA-templated transcription |
| arcA | −1.41 | 1.16 × 10−4 | Two-component system response regulator, aerobic respiration control protein | Regulation of DNA-templated transcription |
| cspA | −1.44 | 3.23 × 10−5 | RNA chaperone/antiterminator | Response to cold |
| cspB | −1.51 | 7.10 × 10−5 | Cold shock-like protein | Response to cold |
| kgtP | −1.46 | 7.13 × 10−5 | alpha-ketoglutarate permease | Solute monoatomic cation symporter activity |
| glcB | −1.73 | 1.16 × 10−5 | Malate synthase G | Tricarboxylic acid cycle |
| glcG | −2.23 | 1.16 × 10−5 | Glycolate metabolism | Unknown function (glycolate utilization operon) |
Disclaimer/Publisher’s Note: The statements, opinions and data contained in all publications are solely those of the individual author(s) and contributor(s) and not of MDPI and/or the editor(s). MDPI and/or the editor(s) disclaim responsibility for any injury to people or property resulting from any ideas, methods, instructions or products referred to in the content. |
© 2024 by the authors. Licensee MDPI, Basel, Switzerland. This article is an open access article distributed under the terms and conditions of the Creative Commons Attribution (CC BY) license (https://creativecommons.org/licenses/by/4.0/).
Share and Cite
Hintmann, M.; Zimbelmann, S.; Emde, B.; Biedendieck, R.; Jahn, D. Antibiotic Effect of High-Power Blue Laser Radiation. Photonics 2024, 11, 220. https://doi.org/10.3390/photonics11030220
Hintmann M, Zimbelmann S, Emde B, Biedendieck R, Jahn D. Antibiotic Effect of High-Power Blue Laser Radiation. Photonics. 2024; 11(3):220. https://doi.org/10.3390/photonics11030220
Chicago/Turabian StyleHintmann, Mattes, Stanislav Zimbelmann, Benjamin Emde, Rebekka Biedendieck, and Dieter Jahn. 2024. "Antibiotic Effect of High-Power Blue Laser Radiation" Photonics 11, no. 3: 220. https://doi.org/10.3390/photonics11030220
APA StyleHintmann, M., Zimbelmann, S., Emde, B., Biedendieck, R., & Jahn, D. (2024). Antibiotic Effect of High-Power Blue Laser Radiation. Photonics, 11(3), 220. https://doi.org/10.3390/photonics11030220

