Sign in to use this feature.

Years

Between: -

Subjects

remove_circle_outline
remove_circle_outline
remove_circle_outline
remove_circle_outline
remove_circle_outline
remove_circle_outline
remove_circle_outline
remove_circle_outline
remove_circle_outline

Journals

remove_circle_outline

Article Types

Countries / Regions

Search Results (122)

Search Parameters:
Keywords = tethered force

Order results
Result details
Results per page
Select all
Export citation of selected articles as:
21 pages, 4199 KB  
Article
Using Electrodynamic Tethers to Create Artificial Sun-Synchronous Orbits and De-Orbit Remote Sensing Satellites
by Antonio F. B. A. Prado and Vladimir Razoumny
Universe 2026, 12(4), 102; https://doi.org/10.3390/universe12040102 - 2 Apr 2026
Viewed by 285
Abstract
This paper has the goal of exploring the potential of electromagnetic propulsion systems based on tethers to create artificial Sun-synchronous orbits for remote sensing satellites, as well as performing station-keeping maneuvers and de-orbiting of the satellite after the end of its useful life. [...] Read more.
This paper has the goal of exploring the potential of electromagnetic propulsion systems based on tethers to create artificial Sun-synchronous orbits for remote sensing satellites, as well as performing station-keeping maneuvers and de-orbiting of the satellite after the end of its useful life. To create artificial Sun-synchronous orbits, the force is applied to keep the longitude of the ascending node with the same angular velocity of the apparent motion of the Sun around the Earth, which is the definition of a Sun-synchronous orbit. These orbits are very important for remote sensing satellites, because in these orbits the satellite passes by a given point at the same time, helping in analyzing the data collected. The use of electrodynamic tethers can extend the regions of Sun-synchronous orbits, both in terms of inclination and semi-major axis. To perform the de-orbiting of the satellite, the same tether can apply a force in the opposite direction of the motion of the satellite, so reducing its energy and decreasing the semi-major axis until the satellite crashes into the atmosphere of the Earth. This is very important to avoid increasing the presence of space debris in space, a very serious problem nowadays. For the station-keeping maneuvers, we just need to use the appropriate control laws, from time to time, to correct any errors in the Keplerian elements. A significant advantage of employing an electrodynamic tether over traditional thrusters is that it does not require consumption of fuel. The study assumes that a current can flow in both directions through the tether, so interacting with the magnetic field of the Earth to create the Lorentz force. The possibility of using electrodynamic tethers with autonomous charge generation, to avoid dependence on plasma densities and other external factors, is considered. The results presented here help in space and planetary science, since they give more options for remote sensing satellites, which are a key element in planetary science. Full article
Show Figures

Figure 1

16 pages, 515 KB  
Article
Mandatory Tethered Caps on Plastic Beverage Bottles: Croatian Consumer Perception and Acceptance Pre- and Post-Implementation of the EU Single-Use Plastic Directive
by Jasenka Gajdoš Kljusurić and Jasna Čačić
Beverages 2026, 12(4), 43; https://doi.org/10.3390/beverages12040043 - 2 Apr 2026
Viewed by 523
Abstract
The mandatory introduction of tethered caps on plastic beverage bottles under European Directive (EU) 2019/904 aims to reduce plastic litter and improve the collection efficiency of packaging waste. This regulatory change introduced a packaging design modification that directly affects consumer interaction. Consumer acceptance [...] Read more.
The mandatory introduction of tethered caps on plastic beverage bottles under European Directive (EU) 2019/904 aims to reduce plastic litter and improve the collection efficiency of packaging waste. This regulatory change introduced a packaging design modification that directly affects consumer interaction. Consumer acceptance of this packaging innovation, however, remains uncertain. Drawing on research suggesting that product experience is shaped not only by physical interaction but also by expectations and value-based framing, this study examines whether the environmental intent of tethered caps is reflected in consumer perceptions over time. We analyze changes in consumer attitudes toward tethered caps before and after the legal obligation came into force, based on survey data collected in 2024 and 2025. Results indicate that overall consumer perceptions remained predominantly negative in both years, with a slight increase in negative responses following mandatory implementation. Although reported awareness of single-use plastic issues was higher in 2025, this did not correspond to improved evaluations of usability. Skepticism regarding the actual impact on waste reduction, along with ergonomic concerns and discomfort during drinking, were consistently identified as key barriers to acceptance. Socio-demographic analysis showed that age and employment status significantly influenced attitudes, whereas gender and place of residence did not. Contrary to expectations, younger respondents showed a shift toward more negative perceptions after implementation. Overall, the results suggest that the EU Single-Use Plastics Directive, although primarily aimed at achieving positive environmental outcomes, did not produce a comparable effect on consumer perception, as the environmental rationale did not significantly increase the acceptability of the tethered cap among users. This highlights the limits to value-based acceptance of sustainability-driven packaging measures and underscores the importance of integrating user-centered evaluation into regulatory design and communication strategies. These insights contribute to the broader discussion on the effectiveness of regulatory packaging interventions in the beverage sector. Full article
Show Figures

Graphical abstract

20 pages, 13742 KB  
Article
The Influence of Pectoral Fin Bending Morphology on the Gliding Performance of Manta Ray-like UUVs
by Yonghui Cao, Xinyu Lei, Cheng Xing, Minhui Zhang, Xiaoyang Wu and Guang Pan
J. Mar. Sci. Eng. 2026, 14(5), 406; https://doi.org/10.3390/jmse14050406 - 24 Feb 2026
Viewed by 379
Abstract
Inspired by observations of manta ray gliding, this study designed and evaluated a more biologically accurate pectoral fin bending model. We assessed its hydrodynamic performance using six-degrees-of-freedom (6-DoF) Computational Fluid Dynamics (CFD) simulations, which were validated by tethered water tunnel experiments. Key findings [...] Read more.
Inspired by observations of manta ray gliding, this study designed and evaluated a more biologically accurate pectoral fin bending model. We assessed its hydrodynamic performance using six-degrees-of-freedom (6-DoF) Computational Fluid Dynamics (CFD) simulations, which were validated by tethered water tunnel experiments. Key findings reveal that symmetric bending significantly impacts longitudinal stability, increasing the pitch angle to nearly twice that of the flat-wing model (80° model) but compromising gliding efficiency. During this symmetric motion, the lift-to-drag ratio (K) minimum point is significantly delayed as the bending angle increases, following a negative quadratic trend. Conversely, asymmetric bending triggers a sharp 3.5-fold increase in the roll angle (80° vs. 30° model) and produces significant lateral displacement. Importantly, “roll-induced yaw” was confirmed as the dominant mechanism for lateral control, contributing up to 88.5% of the lateral force in the 80° model, despite minimal changes in the yaw angle. These findings reveal the intrinsic trade-offs between fin deformation, gliding efficiency, and attitude control, providing a theoretical basis for active configuration optimization and control strategies for bionic gliders. Full article
(This article belongs to the Special Issue Overall Design of Underwater Vehicles)
Show Figures

Figure 1

18 pages, 7763 KB  
Article
Effect of Varying Child Restraint System Seatback Angle on Spinal Loading of 1.5 YO and 3 YO PIPER Human Body Models in Frontal Impacts
by Sophia K. Tushak, Manuel Valdano, Jason R. Kerrigan and Francisco J. Lopez-Valdes
Eng 2026, 7(2), 61; https://doi.org/10.3390/eng7020061 - 1 Feb 2026
Viewed by 696
Abstract
This computational study examined how variations in the seatback angle of two generic child restraint systems (CRSs) affect spinal loading in young occupants (1.5 YO and 3 YO) during frontal impacts, performed according to the specifications included in UNECE R129. CRS seatback angle [...] Read more.
This computational study examined how variations in the seatback angle of two generic child restraint systems (CRSs) affect spinal loading in young occupants (1.5 YO and 3 YO) during frontal impacts, performed according to the specifications included in UNECE R129. CRS seatback angle dictates torso recline, which in turn influences head, chest, and spine kinematics and loading. While manufacturers typically recommend 30–45° for rear-facing CRSs and an upright position for forward-facing CRSs, little is known about the biomechanical implications of deviating from these guidelines. Using PIPER human body models representing a 1.5-year-old in a rear-facing CRS and a 3-year-old in a forward-facing CRS, simulations were performed under UN-R129 frontal impact conditions. The seatbacks were rotated 5° and 10° more upright or reclined relative to the nominal angle, with occupants restrained by a five-point harness and CRSs secured with ISOFIX, top tether, or three-point belt. The results showed that reclined configurations generally increased the predictions of spinal loading (forces and/or moments) given by the PIPER model, while nominal or more upright angles reduced loads, particularly in the lumbar spine of the 3-year-old model. Overall, the study highlights how computational tools can guide CRS design improvements to optimize spinal protection and enhance child safety beyond current regulatory requirements. Full article
Show Figures

Figure 1

13 pages, 1976 KB  
Review
Three-Dimensional Behaviors of Protein Molecules and Bacteria near Model Organic Surfaces in Real Crowding Conditions
by Tomohiro Hayashi, Glenn Villena Latag and Evan Angelo Quimada Mondarte
Appl. Nano 2026, 7(1), 4; https://doi.org/10.3390/applnano7010004 - 29 Jan 2026
Viewed by 695
Abstract
The interface between synthetic materials and biological systems is a critical determinant of performance in medical devices and biosensors. This review examines the evolution of biointerface science through the lens of self-assembled monolayers (SAMs) of thiols on gold, a model system that offers [...] Read more.
The interface between synthetic materials and biological systems is a critical determinant of performance in medical devices and biosensors. This review examines the evolution of biointerface science through the lens of self-assembled monolayers (SAMs) of thiols on gold, a model system that offers atomic-level control over surface chemistry. We trace the field from the foundational structural characterization to the establishment of empirical design rules for bio-inertness. While early theoretical models attributed protein resistance to steric repulsion forces in polymer brushes, contemporary understanding has shifted toward the “water barrier” hypothesis, which posits that tightly bound interfacial water prevents direct biomolecular contact. We highlight recent studies that extend these concepts into “realistic” crowded biological environments. Their work reveals that fouling surfaces in crowded media generate a “viscous interphase layer” (VIL) that extends tens of nanometers into solution, whereas zwitterionic surfaces maintain a robust hydration shell that prevents this accumulation. Furthermore, this hydration barrier is shown to fundamentally alter bacterial mechanics, forcing microorganisms into a reversible, tethered “hovering” state at a significant biological interaction distance (>100 nm) from the surface, effectively precluding biofilm nucleation. These insights underscore that the future of antifouling material design lies in the precise engineering of interfacial hydration structures. Full article
(This article belongs to the Collection Review Papers for Applied Nano Science and Technology)
Show Figures

Figure 1

16 pages, 4642 KB  
Article
Back Squat Post-Activation Performance Enhancement on Parameters of a 3-Min All-Out Running Test: A Complex Network Analysis Perspective
by Maria Carolina Traina Gama, Fúlvia Barros Manchado-Gobatto and Claudio Alexandre Gobatto
Complexities 2026, 2(1), 1; https://doi.org/10.3390/complexities2010001 - 14 Jan 2026
Viewed by 440
Abstract
This study investigated the impact of post-activation performance enhancement (PAPE) on the parameters of the 3 min all-out test (3MT) in non-motorized tethered running, applying the concept of complex networks for integrative analysis. Ten recreational runners underwent anthropometric assessments, a one-repetition maximum test [...] Read more.
This study investigated the impact of post-activation performance enhancement (PAPE) on the parameters of the 3 min all-out test (3MT) in non-motorized tethered running, applying the concept of complex networks for integrative analysis. Ten recreational runners underwent anthropometric assessments, a one-repetition maximum test (1RM), a running ramp test, and 3MT trials under both PAPE and CONTROL conditions across five separate sessions. The conditioning activity consisted of two sets of six back squats at 60% 1RM. For each scenario, complex network graphs were constructed and analyzed using Degree, Eigenvector, PageRank, and Betweenness centrality metrics. In the PAPE condition, anthropometric parameters and parameters related to aerobic efficiency exhibited greater centrality, ranking among the top five nodes. Paired Student’s t-tests (p ≤ 0.05) revealed significant differences between conditions for end power (EP-W) (CONTROL: 407.83 ± 119.30 vs. PAPE: 539.33 ± 177.10 (effect size d = −0.84)) and end power relativized by body mass (rEP-W·kg−1) (CONTROL: 5.38 ± 1.70 vs. PAPE: 6.91 ± 2.00 (effect size d = −0.76)), as well as for the absolute and relative values of peak output power, mean output power, peak force, and mean force. These findings suggest that PAPE alters the configuration of complex networks, increasing network density, and may enhance neuromuscular function and running economy. Moreover, PAPE appears to modulate both aerobic and anaerobic contributions to performance. These results highlight the importance of network-based approaches for advancing exercise science and providing individualized strategies for training and performance optimization. Full article
Show Figures

Figure 1

10 pages, 1266 KB  
Article
Comparison of the Hydrodynamic Profile Between Competitive Triathletes and Swimmers
by Lawinya Assíria-Costa, Marta L. Machado, Catarina C. Santos and Mário J. Costa
J. Funct. Morphol. Kinesiol. 2026, 11(1), 10; https://doi.org/10.3390/jfmk11010010 - 26 Dec 2025
Viewed by 676
Abstract
Objectives: This study aimed to compare the hydrodynamic profile between triathletes and competitive swimmers and to establish associations with short- and middle-distance performance. Methods: A total of 18 male athletes, including 10 swimmers and 8 triathletes, all registered in their respective federations, underwent [...] Read more.
Objectives: This study aimed to compare the hydrodynamic profile between triathletes and competitive swimmers and to establish associations with short- and middle-distance performance. Methods: A total of 18 male athletes, including 10 swimmers and 8 triathletes, all registered in their respective federations, underwent assessments of passive drag, active drag and power, tethered swimming force, kinematics, and performance over a 200 m and 25 m front crawl. Group comparisons were performed using either Student’s t-test or the Mann–Whitney U test at a significance level of p ≤ 0.05. Results: The triathletes presented higher passive drag and lower levels of force and power to overcome drag. Correlation analysis showed that, among the triathletes, both times at 200 m and 25 m were associated with mean passive drag (r = 0.68 to 0.86) and power (r = −0.58 to −0.80), whereas in swimmers, the mean in-water force was the single variable associated with time at 25 m (r = −0.51). Conclusions: There is a clear hydrodynamic superiority of swimmers compared to triathletes, reflecting their higher mean swimming velocity due to a greater ability to apply force. This suggests that specific technical interventions for triathletes, focusing on drag reduction and improvements in propulsive power, are needed to close this gap with swimmers. Full article
(This article belongs to the Special Issue Innovative Approaches in Monitoring Individual Sports)
Show Figures

Figure 1

12 pages, 873 KB  
Article
Seasonal Training Adaptations in Adolescent Swimmers: Effects of Equal Load 12-Week Programs Across Two Annual Cycles
by Gavriil G. Arsoniadis, Ioannis S. Nikitakis, Ioannis Chalkiadakis and Argyris G. Toubekis
Appl. Sci. 2025, 15(21), 11814; https://doi.org/10.3390/app152111814 - 5 Nov 2025
Viewed by 1238
Abstract
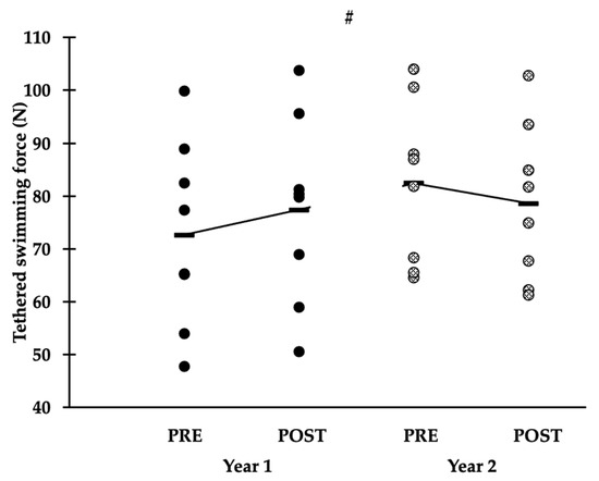
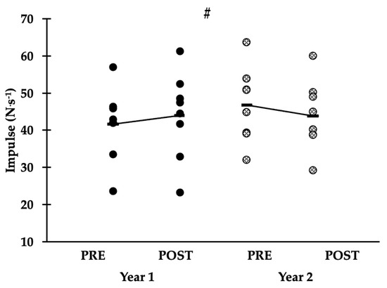
Background: This study aimed to examine changes in force, impulse, and kinematic variables in relation to swimming performance during two equal load twelve-week training programs across two annual cycles. Methods: Eight national-level adolescent swimmers participated in two twelve-week training cycles across Year 1 [...] Read more.
Background: This study aimed to examine changes in force, impulse, and kinematic variables in relation to swimming performance during two equal load twelve-week training programs across two annual cycles. Methods: Eight national-level adolescent swimmers participated in two twelve-week training cycles across Year 1 and Year 2. The swimmers underwent performance tests (50 m, 200 m, 400 m), and stroke rate (SR), stroke length (SL), and stroke index (SI) were assessed. A 30 s tethered swimming test was applied to evaluate tethered force (TF) and impulse (IMP) before and after each training cycle. The training load was assessed during the twelve weeks across Year 1 and Year 2. Results: The training load was similar in Year 1 and Year 2 (d = 0.51–0.52, p = 0.09). The performance in 50, 200, and 400 m front crawl tests was improved following the 12-week training period in both years (d = 0.29–0.90, p = 0.01–0.04). The mean TF and maximal TF increased in Year 1 (d = 0.64, p = 0.01), while IMP was decreased in Year 2 (Year 1: +4.3 ± 6.8% vs. Year 2: −6.8 ± 4.5%, d = 1.28, p = 0.01). SR remained unchanged, but SL was increased in the 200 m (d = 0.19–0.41, p = 0.01), and SI improved in both 200 (d = 0.27–0.59, p = 0.01) and 400 m tests (d = 0.23–0.24, p = 0.01). Significant correlations were found in Year 1 between IMP and SR (r = −0.74, 95%CI: −0.08, −0.95, p = 0.01), and between IMP and both SL (r = 0.94, 95%CI: 0.98, 0.68, p = 0.01) and SI in the 400 m test (r = 0.87, 95%CI: 0.97, 0.44, p = 0.01). Conclusions: An equal load twelve-week swimming training period improved performance and kinematic parameters across Year 1 and Year 2. Changes in the tethered swimming force and impulse were observed only in the first year, highlighting the importance of targeted strength interventions for enhancing swimming performance. Full article
Show Figures

Figure 1

12 pages, 1148 KB  
Article
Acute Effect of Dryland Maximum Strength Training Session on Sport-Specific Performance Tests in Female Water Polo Players
by Ioannis Malliaros, Gavriil G. Arsoniadis, Petros G. Botonis, Gerasimos Terzis, Theodoros Platanou and Argyris G. Toubekis
Sports 2025, 13(11), 378; https://doi.org/10.3390/sports13110378 - 3 Nov 2025
Viewed by 1660
Abstract
Background: The study evaluated the acute effect of dryland maximum strength (MS) training on water polo performance. Methods: Twelve female players (20.3 ± 1.4 years) underwent initial assessments, including a head-out 20 m swim and a one-repetition maximum (1RM) strength test in three [...] Read more.
Background: The study evaluated the acute effect of dryland maximum strength (MS) training on water polo performance. Methods: Twelve female players (20.3 ± 1.4 years) underwent initial assessments, including a head-out 20 m swim and a one-repetition maximum (1RM) strength test in three exercises: bench press, seated pull row, and half squat. These exercises were used as the experimental (EXP) condition. During the main testing sessions, participants completed the EXP and a control (CON) condition. In the EXP, players completed MS training (three sets of six repetitions at 80% 1RM), followed 15 min later by in-water testing. In the CON, only the in-water tests were performed. These included a 10 s tethered swim to measure force, a 20 m head-out swim at maximum intensity to measure performance time, ten goal-targeted throws to reach the highest accuracy and throwing velocity, and three in-water vertical jumps as high as possible. Results: The performance time in the head-out 20 m swim (EXP: 14.21 ± 0.4, CON: 14.18 ± 0.5 s), tethered swimming force (EXP: 86.85 ± 14.82, CON: 89.58 ± 15.92 N), shooting velocity (EXP: 14.67 ± 1.19, CON: 14.91 ± 0.32 m·s−1), shooting accuracy (EXP: 16.5 ± 5.4, CON: 19.0 ± 5.1 points), and in-water vertical jump height (EXP: 51.7 ± 5.6, CON: 52.9 ± 4.2 cm) were no different between conditions (p > 0.05). Conclusions: Dryland maximum strength training performed with high loads (80% 1RM) does not impair subsequent performance during sport-specific testing in female water polo players. These findings suggest that such MS training can be safely implemented 15 min prior to in-water training sessions. Full article
(This article belongs to the Special Issue Science and Medicine in Swimming)
Show Figures

Figure 1

17 pages, 1444 KB  
Article
Self-Consistent Field Modeling of Bottle-Brush with Aggrecan-like Side Chain
by Ivan V. Mikhailov, Ivan V. Lukiev, Ekaterina B. Zhulina and Oleg V. Borisov
Biomimetics 2025, 10(10), 694; https://doi.org/10.3390/biomimetics10100694 - 14 Oct 2025
Viewed by 684
Abstract
Bottle-brush polymers with aggrecan-like side chains represent a class of biomimetic macromolecules that replicate key structural and functional features of natural complexes of aggrecans with hyaluronic acid (HA) which are the major components of articular cartilage. In this study, we employ numerical self-consistent [...] Read more.
Bottle-brush polymers with aggrecan-like side chains represent a class of biomimetic macromolecules that replicate key structural and functional features of natural complexes of aggrecans with hyaluronic acid (HA) which are the major components of articular cartilage. In this study, we employ numerical self-consistent field (SCF) modeling combined with analytical theory to investigate the conformational properties of cylindrical molecular bottle-brushes composed of aggrecan-like double-comb side chains tethered to the main chain (the backbone of the bottle-brush). We demonstrate that the architecture of the brush-forming double-comb chains and, in particular, the distribution of polymer mass between the root and peripheral domains significantly influences the spatial distribution of primary side chain ends, leading to formation of a “dead” zone near the backbone of the bottle-brush and non-uniform density profiles. The axial stretching force imposed by grafted double-combs in the main chain, as well as normal force acting at the junction point between the bottle-brush backbone and the double-comb side chain are shown to depend strongly on the side-chain architecture. Furthermore, we analyze the induced bending rigidity and persistence length of the bottle-brush, revealing that while the overall scaling behavior follows established power laws, the internal structure can be finely tuned without altering the backbone stiffness. These theoretical findings provide valuable insights into relations between architecture and properties of bottle-brush-like supra-biomolecular structures, such as aggrecan-hyaluronan complexes. Full article
(This article belongs to the Special Issue Design and Fabrication of Biomimetic Smart Materials)
Show Figures

Figure 1

11 pages, 2677 KB  
Article
Changes in Biomechanical Profile of an Artistic Swimming Duet over a Training Macrocycle: A Case Study
by Mário J. Costa, Sílvia Pinto and Catarina C. Santos
Appl. Sci. 2025, 15(19), 10346; https://doi.org/10.3390/app151910346 - 24 Sep 2025
Viewed by 1438
Abstract
This study aimed to monitor the biomechanical development of an artistic swimming duet across a macrocycle through an individualised training approach. Two swimmers (17.5 ± 0.5 years), members of the Los Angeles 2028 National Olympic Project, were assessed in December 2023 (M1) and [...] Read more.
This study aimed to monitor the biomechanical development of an artistic swimming duet across a macrocycle through an individualised training approach. Two swimmers (17.5 ± 0.5 years), members of the Los Angeles 2028 National Olympic Project, were assessed in December 2023 (M1) and April 2024 (M2), corresponding to the beginning and the end of the macrocycle. Maximal (Fmax) and mean (Fmean) force in the prone sculling and kick pull action were measured using a 20 s tethered test. Split velocity (vSplit) was assessed in free format based on video recording. Dry-land strength included assessments of internal (IR) and external (ER) shoulder rotation strength of the dominant (D) and non-dominant (ND) limbs, and countermovement jump (CMJ) power. The standard duet choreography was analysed in competition at both time points. Percentage variation (∆%) between swimmers was calculated for M1 vs. M2. Results showed convergence (M1 vs. M2) in Fmean of the sculling (21.6% vs. 9.9%) and kick pull (45.1% vs. 29.1%), accompanied by greater similarity in vSplit (15.9% vs. 15.5%). Further convergence was observed in IRND (33.7% vs. 13.9%), ERD (11.6% vs. 4.4%) and CMJ (7.4% vs. 3.6%). The duet’s competition score increased from 168.9943 to 190.7183 points. It can be concluded that individualised training was useful for the duet to become more homogeneous in in-water strength, in-water kinematics and dryland strength, resulting in improved competitive performance. Full article
(This article belongs to the Special Issue Biomechanical Analysis for Sport Performance)
Show Figures

Figure 1

14 pages, 3088 KB  
Article
CAF-Driven Mechanotransduction via Collagen Remodeling Accelerates Tumor Cell Cycle Progression
by Yating Xiao, Yingying Jiang, Ting Bao, Xin Hu, Xiang Wang, Xiaoning Han and Linhong Deng
Gels 2025, 11(8), 642; https://doi.org/10.3390/gels11080642 - 13 Aug 2025
Cited by 3 | Viewed by 2314
Abstract
Cancer-associated fibroblasts (CAFs) restructure collagen hydrogels via actomyosin-driven fibril bundling and crosslinking, increasing polymer density to generate mechanical stress that accelerates tumor proliferation. Conventional hydrogel models lack spatial heterogeneity, thus obscuring how localized stiffness gradients regulate cell cycle progression. To address this, we [...] Read more.
Cancer-associated fibroblasts (CAFs) restructure collagen hydrogels via actomyosin-driven fibril bundling and crosslinking, increasing polymer density to generate mechanical stress that accelerates tumor proliferation. Conventional hydrogel models lack spatial heterogeneity, thus obscuring how localized stiffness gradients regulate cell cycle progression. To address this, we developed a collagen hydrogel-based microtissue platform integrated with programmable microstrings (single/double tethering), enabling real-time quantification of gel densification mechanics and force transmission efficiency. Using this system combined with FUCCI cell cycle biosensors and molecular perturbations, we demonstrate that CAF-polarized contraction increases hydrogel stiffness (350 → 775 Pa) and reduces pore diameter (5.0 → 1.9 μm), activating YAP/TAZ nuclear translocation via collagen–integrin–actomyosin cascades. This drives a 2.4-fold proliferation increase and accelerates G1/S transition in breast cancer cells. Pharmacological inhibition of YAP (verteporfin), actomyosin (blebbistatin), or collagen disruption (collagenase) reversed mechanotransduction and proliferation. Partial rescue upon CYR61 knockdown revealed compensatory effector networks. Our work establishes CAF-remodeled hydrogels as biomechanical regulators of tumor growth and positions gel-based mechanotherapeutics as promising anti-cancer strategies. Full article
Show Figures

Figure 1

27 pages, 20103 KB  
Article
Dynamics and Staged Deployment Strategy for a Spinning Tethered Satellite System
by Yue Zhang, Kai Chen, Jiawen Guo and Cheng Wei
Aerospace 2025, 12(7), 611; https://doi.org/10.3390/aerospace12070611 - 7 Jul 2025
Cited by 3 | Viewed by 1830
Abstract
This paper investigates flexible multibody dynamic modeling and a staged deployment strategy for large-scale spinning tethered satellite systems, targeting deployment instability, inefficiencies, and tension-induced fracture risks. A nonlinear flexible multibody model is constructed using the absolute nodal coordinate formulation within an arbitrary Lagrangian–Eulerian [...] Read more.
This paper investigates flexible multibody dynamic modeling and a staged deployment strategy for large-scale spinning tethered satellite systems, targeting deployment instability, inefficiencies, and tension-induced fracture risks. A nonlinear flexible multibody model is constructed using the absolute nodal coordinate formulation within an arbitrary Lagrangian–Eulerian framework, enabling accurate large-deformation modeling of the tether with geometric nonlinearity. This model surpasses traditional massless/rigid rod models by integrating tether mass distribution, flexible dynamics, and satellite attitude dynamics. A two-stage deployment strategy is proposed based on tether safe tension thresholds. Stage 1 optimizes deployment velocity to eliminate libration angles, ensuring stability while maintaining deployment efficiency. Stage 2 employs dynamic angular velocity tracking and torque compensation to reduce tether tension, prioritizing deployment safety. Numerical simulations validate the model’s accuracy and the strategy’s effectiveness, showing significant tension reduction compared to the single-stage strategy and suppressing libration angle oscillations within ±0.5°. The impact of space environmental forces on deployment stability across different orientations is analyzed, highlighting the necessity of force compensation for parallel-to-ground configurations. This research integrates dynamics and control, providing a practical solution for safe and efficient deployment of the spinning tethered satellite system. Full article
(This article belongs to the Section Astronautics & Space Science)
Show Figures

Figure 1

10 pages, 786 KB  
Article
Relationship Between Front Crawl Trunk Incline and Lower Limbs’ Biomechanics in Non-Expert Swimmers
by Mário J. Costa, Marta L. Machado, Paul-Adrien Pserchia, Alain Hamaoui and Catarina C. Santos
Appl. Sci. 2025, 15(12), 6676; https://doi.org/10.3390/app15126676 - 13 Jun 2025
Viewed by 1520
Abstract
This study examined the relationship between front crawl trunk incline and the lower limbs’ biomechanics in non-expert swimmers. Eighteen male participants (19.22 ± 1.11 years) were recorded in the sagittal plane performing 2 × 25 m of front crawl at maximum intensity to [...] Read more.
This study examined the relationship between front crawl trunk incline and the lower limbs’ biomechanics in non-expert swimmers. Eighteen male participants (19.22 ± 1.11 years) were recorded in the sagittal plane performing 2 × 25 m of front crawl at maximum intensity to analyze their trunk incline (TI), maximum knee angle (KneeMax), minimum knee angle (KneeMin), knee range of motion (KneeROM), kicking duration (KickDur), descendent phase duration (DurDesc), and ascendant phase duration (DurAsc). They also performed towing for passive drag measurements and a 20 s lower limbs’ tethered test while connected to an electromechanical device and grabbing a floating board to collect the maximum (Fmax) and mean (Fmean) kicking forces. Pearson’s correlation coefficient (r) was used to compute the relationships between all variables. For kinematics, a negative association was found between the TI and v (r = −0.64), KneeMin (r = −0.68), KneeRoM (r = −0.74), and SI (r = −0.52). Regarding kinetics, a single association was found between TI and Fmean (r = −0.52). The results indicate that a greater TI in non-expert swimmers may be a consequence of weaker knee action, which compromises their mean force application and negatively affects velocity and efficiency. Full article
(This article belongs to the Special Issue Advances in Sports Science and Biomechanics)
Show Figures

Figure 1

19 pages, 1302 KB  
Article
Exo70 Protects Against Memory and Synaptic Impairments Following Mild Traumatic Brain Injury
by Matías Lira, Jorge Abarca, Rodrigo G. Mira, Pedro Zamorano and Waldo Cerpa
Antioxidants 2025, 14(6), 640; https://doi.org/10.3390/antiox14060640 - 26 May 2025
Viewed by 1147
Abstract
Mild traumatic brain injury (mTBI), a leading cause of disability in young adults, often results from external forces that damage the brain. Cellularly, mTBI induces oxidative stress, characterized by excessive reactive oxygen species (ROS) and diminished antioxidant capacity. This redox imbalance disrupts hippocampal [...] Read more.
Mild traumatic brain injury (mTBI), a leading cause of disability in young adults, often results from external forces that damage the brain. Cellularly, mTBI induces oxidative stress, characterized by excessive reactive oxygen species (ROS) and diminished antioxidant capacity. This redox imbalance disrupts hippocampal glutamatergic transmission and synaptic plasticity, where NMDA receptors (NMDARs) are crucial. The exocyst, a vesicle tethering complex, is implicated in glutamate receptor trafficking. We previously showed that Exo70, a key exocyst subunit, redistributes within synapses and increases its interaction with the NMDAR subunit GluN2B following mTBI, suggesting a role in GluN2B distribution from synaptic to extrasynaptic sites. This study investigated whether Exo70 could mitigate mTBI pathology by modulating NMDAR trafficking under elevated oxidative stress. Using a modified Maryland mTBI mouse model, we overexpressed Exo70 in CA1 pyramidal neurons via lentiviral transduction. Exo70 overexpression prevented mTBI-induced cognitive impairment, assessed by the Morris water maze. Moreover, these mice exhibited basal and NMDAR-dependent hippocampal synaptic transmission comparable to sham animals, preventing mTBI-induced deterioration. Preserved long-term potentiation, abundant synaptic GluN2B-containing NMDARs, and downstream signaling indicated that Exo70 overexpression prevented mTBI-related alterations. Our findings highlight Exo70’s crucial role in NMDAR trafficking, potentially counteracting oxidative stress effects. The exocyst complex may be a critical component of the machinery regulating NMDAR distribution in health and disease, particularly in pathologies featuring oxidative stress and NMDAR dysfunction, like mTBI. Full article
(This article belongs to the Special Issue Oxidative Stress in Brain Function—2nd Edition)
Show Figures

Figure 1

Back to TopTop