Seasonal Training Adaptations in Adolescent Swimmers: Effects of Equal Load 12-Week Programs Across Two Annual Cycles
Abstract
1. Introduction
2. Materials and Methods
2.1. Participants
2.2. Study Design
2.3. Experimental Procedures
2.4. Statistical Analysis
3. Results
3.1. Biological Maturation, Training Distance, and Training Load
3.2. Changes in Swimming Performance, Tethered Swimming Force, Impulse, and Kinematic Variables
3.2.1. Swimming Performance
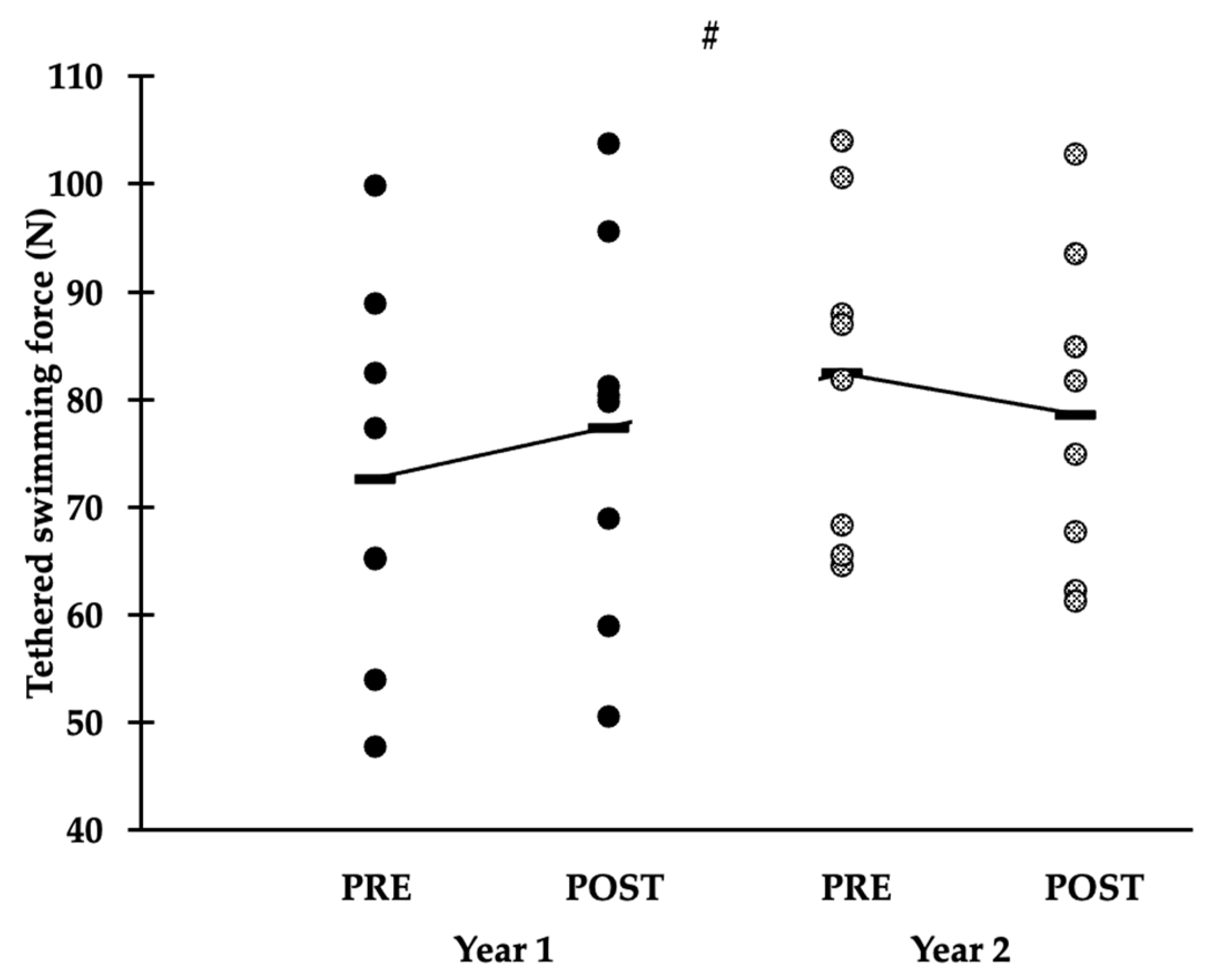
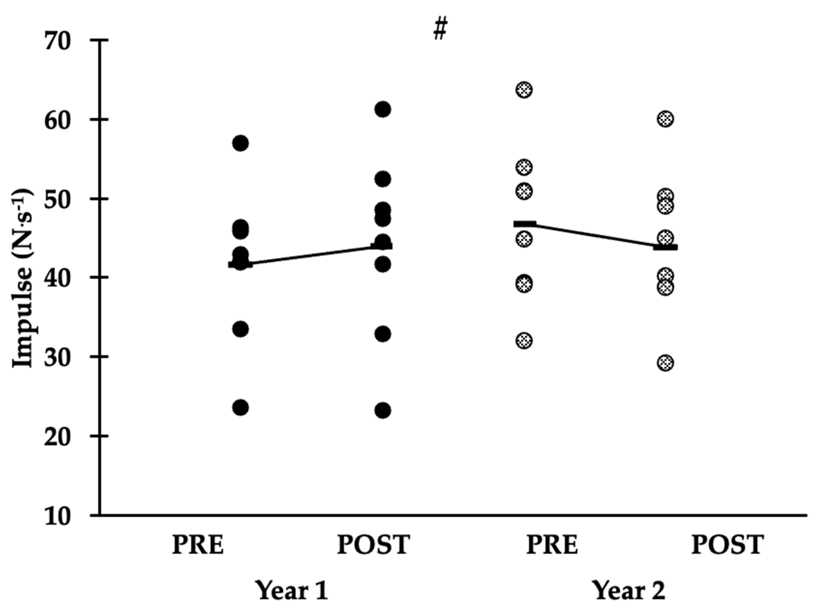
3.2.2. Tethered Swimming Force and Impulse
3.2.3. Kinematic Variables
3.3. Correlations
4. Discussion
5. Conclusions
Author Contributions
Funding
Institutional Review Board Statement
Informed Consent Statement
Data Availability Statement
Conflicts of Interest
Abbreviations
| TF | Tethered swimming force |
| TFmax | Maximum tethered force |
| TFmin | Minimum tethered force |
| IMP | Impulse |
| FI | Fatigue index |
| SR | Stroke rate |
| SL | Stroke length |
| SI | Stroke index |
References
- Barbosa, T.M.; Bragada, J.A.; Reis, V.M.; Marinho, D.A.; Carvalho, C.; Silva, A.J. Energetics and Biomechanics as Determining Factors of Swimming Performance: Updating the State of the Art. J. Sci. Med. Sport 2010, 13, 262–269. [Google Scholar] [CrossRef]
- Arsoniadis, G.; Botonis, P.; Bogdanis, G.C.; Terzis, G.; Toubekis, A. Acute and Long-Term Effects of Concurrent Resistance and Swimming Training on Swimming Performance. Sports 2022, 10, 29. [Google Scholar] [CrossRef]
- Sokołowski, K.; Bartolomeu, R.F.; Barbosa, T.M.; Strzała, M. VO2 Kinetics and Tethered Strength Influence the 200-m Front Crawl Stroke Kinematics and Speed in Young Male Swimmers. Front. Physiol. 2022, 13, 1045178. [Google Scholar] [CrossRef] [PubMed]
- Amara, S.; Chortane, O.G.; Negra, Y.; Hammami, R.; Khalifa, R.; Chortane, S.G.; Van Den Tillaar, R. Relationship between Swimming Performance, Biomechanical Variables and the Calculated Predicted 1-RM Push-up in Competitive Swimmers. Int. J. Environ. Res. Public Health 2021, 18, 11395. [Google Scholar] [CrossRef]
- Loturco, I.; Barbosa, A.; Nocentini, R.; Pereira, L.; Kobal, R.; Kitamura, K.; Abad, C.; Figueiredo, P.; Nakamura, F. A Correlational Analysis of Tethered Swimming, Swim Sprint Performance and Dry-Land Power Assessments. Int. J. Sports Med. 2015, 37, 211–218. [Google Scholar] [CrossRef]
- Santos, C.C.; Marinho, D.A.; Costa, M.J. Changes in Young Swimmers’ In-Water Force, Performance, Kinematics, and Anthropometrics over a Full Competitive Season. J. Hum. Kinet. 2024, 93, 5–15. [Google Scholar] [CrossRef]
- Dos Santos, K.; Pereira, G.; Papoti, M.; Bento, P.C.; Rodacki, A. Propulsive Force Asymmetry during Tethered-Swimming. Int. J. Sports Med. 2013, 34, 606–611. [Google Scholar] [CrossRef]
- Franken, M.; De Jesus, K.; De Souza Castro, F.A. Variables and Protocols of the Tethered Swimming Method: A Systematic Review. Sport Sci. Health 2024, 20, 535–575. [Google Scholar] [CrossRef]
- Morouço, P.; Marinho, D.A.; Keskinen, K.L.; Badillo, J.J.; Marques, M.C. Tethered Swimming Can Be Used to Evaluate Force Contribution for Short-Distance Swimming Performance. J. Strength Cond. Res. 2014, 28, 3093–3099. [Google Scholar] [CrossRef]
- Castro, F.A.D.S.; Oliveira, T.S.D.; Moré, F.C.; Mota, C.B. Relationship between 200m Front Crawl Stroke Performance and Tethered Swimming Test Kinetics Variables. Rev. Bras. Ciênc. Esporte 2010, 31, 161–176. [Google Scholar] [CrossRef]
- Kalva-Filho, C.; Zagatto, A.; Da Silva, A.; Castanho, M.; Gobbi, R.; Gobatto, C.; Papoti, M. Relationships among the Tethered 3-Min All-Out Test, MAOD and Swimming Performance. Int. J. Sports Med. 2017, 38, 353–358. [Google Scholar] [CrossRef]
- Chalkiadakis, I.; Arsoniadis, G.G.; Toubekis, A.G. Dry-Land Force–Velocity, Power–Velocity, and Swimming-Specific Force Relation to Single and Repeated Sprint Swimming Performance. J. Funct. Morphol. Kinesiol. 2023, 8, 120. [Google Scholar] [CrossRef]
- Ruiz-Navarro, J.J.; Gay, A.; Cuenca-Fernández, F.; López-Belmonte, Ó.; Morales-Ortíz, E.; López-Contreras, G.; Arellano, R. The Relationship between Tethered Swimming, Anaerobic Critical Velocity, Dry-Land Strength, and Swimming Performance. Int. J. Perform. Anal. Sport 2022, 22, 407–421. [Google Scholar] [CrossRef]
- Crowley, E.; Harrison, A.J.; Lyons, M. The Impact of Resistance Training on Swimming Performance: A Systematic Review. Sports Med. 2017, 47, 2285–2307. [Google Scholar] [CrossRef]
- Lätt, E.; Jürimäe, J.; Haljaste, K.; Cicchella, A.; Purge, P.; Jürimäe, T. Longitudinal Development of Physical and Performance Parameters during Biological Maturation of Young Male Swimmers. Percept. Mot. Skills 2009, 108, 297–307. [Google Scholar] [CrossRef]
- Lätt, E.; Jürimäe, J.; Mäestu, J.; Purge, P.; Rämson, R.; Haljaste, K.; Rodriguez, F.A.; Jürimäe, T. Physiological, Biomechanical and Anthropometrical Predictors of Sprint Swimming Performance in Adolescent Swimmers. J. Sports Sci. Med. 2010, 9, 398–404. [Google Scholar]
- Lobato, C.H.; De Lima Rocha, M.; De Almeida-Neto, P.F.; De Araújo Tinôco Cabral, B.G. Influence of Advancing Biological Maturation in Months on Muscle Power and Sport Performance in Young Swimming Athletes. Sport Sci. Health 2023, 19, 487–494. [Google Scholar] [CrossRef]
- Oliveira, M.; Henrique, R.S.; Queiroz, D.R.; Salvina, M.; Melo, W.V.; Moura Dos Santos, M.A. Anthropometric Variables, Propulsive Force and Biological Maturation: A Mediation Analysis in Young Swimmers. Eur. J. Sport Sci. 2021, 21, 507–514. [Google Scholar] [CrossRef]
- McKay, A.K.A.; Stellingwerff, T.; Smith, E.S.; Martin, D.T.; Mujika, I.; Goosey-Tolfrey, V.L.; Sheppard, J.; Burke, L.M. Defining Training and Performance Caliber: A Participant Classification Framework. Int. J. Sports Physiol. Perform. 2022, 17, 317–331. [Google Scholar] [CrossRef]
- Faul, F.; Erdfelder, E.; Lang, A.-G.; Buchner, A. G*Power 3: A Flexible Statistical Power Analysis Program for the Social, Behavioral, and Biomedical Sciences. Behav. Res. Methods 2007, 39, 175–191. [Google Scholar] [CrossRef]
- Mujika, I.; Busso, T.; Lacoste, L.; Barale, F.; Geyssant, A.; Chatard, J.-C. Modeled Responses to Training and Taper in Competitive Swimmers. Med. Sci. Sports Exerc. 1996, 28, 251–258. [Google Scholar] [CrossRef]
- Tanner, J.M.; Whitehouse, R.H. Clinical Longitudinal Standards for Height, Weight, Height Velocity, Weight Velocity, and Stages of Puberty. Arch. Dis. Child. 1976, 51, 170–179. [Google Scholar] [CrossRef] [PubMed]
- Tanner, J.M. The Measurement of Maturity. Trans. Eur. Orthod. Soc. 1975, 51, 45–60. [Google Scholar]
- Koopman-Verhoeff, M.E.; Gredvig-Ardito, C.; Barker, D.H.; Saletin, J.M.; Carskadon, M.A. Classifying Pubertal Development Using Child and Parent Report: Comparing the Pubertal Development Scales to Tanner Staging. J. Adolesc. Health 2020, 66, 597–602. [Google Scholar] [CrossRef]
- Toubekis, A.G.; Gourgoulis, V.; Tokmakidis, S.P. (Eds.) Tethered Swimming as an Evaluation Tool of Single Arm-Stroke Force. In Proceedings of the XIth International Symposium for Biomechanics and Medicine in Swimming, Oslo, Norway, 16–19 June 2010; Norwegian School of Sport Sciences: Oslo, Norway, 2010. [Google Scholar]
- Morouço, P.; Keskinen, K.L.; Vilas-Boas, J.P.; Fernandes, R.J. Relationship Between Tethered Forces and the Four Swimming Techniques Performance. J. Appl. Biomech. 2011, 27, 161–169. [Google Scholar] [CrossRef]
- Cohen, J. Statistical Power Analysis for the Behavioral Sciences, 2nd ed.; L. Erlbaum Associates: Hillsdale, NJ, USA, 1988; ISBN 978-0-8058-0283-2. [Google Scholar]
- Karabıyık, H.; Gülü, M.; Yapici, H.; Iscan, F.; Yagin, F.H.; Durmuş, T.; Gürkan, O.; Güler, M.; Ayan, S.; Alwhaibi, R. Effects of 12 Weeks of High-, Moderate-, and Low-Volume Training on Performance Parameters in Adolescent Swimmers. Appl. Sci. 2023, 13, 11366. [Google Scholar] [CrossRef]
- Arsoniadis, G.G.; Botonis, P.G.; Nikitakis, I.S.; Kalokiris, D.; Toubekis, A.G. Effects of Successive Annual Training on Aerobic Endurance Indices in Young Swimmers. Open Sports Sci. J. 2017, 10, 214–221. [Google Scholar] [CrossRef][Green Version]
- Machado, M.V.; Júnior, O.A.; Marques, A.C.; Colantonio, E.; Cyrino, E.S.; De Mello, M.T. Effect of 12 Weeks of Training on Critical Velocity and Maximal Lactate Steady State in Swimmers. Eur. J. Sport Sci. 2011, 11, 165–170. [Google Scholar] [CrossRef]
- Toubekis, A.G.; Tsami, A.P.; Smilios, I.G.; Douda, H.T.; Tokmakidis, S.P. Training-Induced Changes on Blood Lactate Profile and Critical Velocity in Young Swimmers. J. Strength Cond. Res. 2011, 25, 1563–1570. [Google Scholar] [CrossRef]
- Hebestreit, H.; Bar-Or, O. The Young Athlete. In Encyclopaedia of Sports Medicine; IOC Medical Commission, International Federation of Sports Medicine, Eds.; Blackwell Pub: Malden, MA, USA; Oxford, UK, 2008; ISBN 978-1-4051-5647-9. [Google Scholar]
- Costa, T.; Murara, P.; Vancini, R.; Lira, C.; Andrade, M. Influence of Biological Maturity on the Muscular Strength of Young Male and Female Swimmers. J. Hum. Kinet. 2021, 78, 67–77. [Google Scholar] [CrossRef]
- Dampney, R.A.L. Central Neural Control of the Cardiovascular System: Current Perspectives. Adv. Physiol. Educ. 2016, 40, 283–296. [Google Scholar] [CrossRef] [PubMed]
- Lloyd, R.S.; Oliver, J.L. The Youth Physical Development Model: A New Approach to Long-Term Athletic Development. Strength Cond. J. 2012, 34, 61–72. [Google Scholar] [CrossRef]
- Aspenes, S.; Kjendlie, P.-L.; Hoff, J.; Helgerud, J. Combined Strength and Endurance Training in Competitive Swimmers. J. Sports Sci. Med. 2009, 8, 357. [Google Scholar] [PubMed]
- Costill, D.L.; Thomas, R.; Robergs, R.A.; Pascoe, D.; Lambert, C.; Barr, S.; Fink, W.J. Adaptations to Swimming Training: Influence of Training Volume. Med. Sci. Sports Exerc. 1991, 23, 371–377. [Google Scholar] [CrossRef]
- Papoti, M.; Martins, L.E.B.; Cunha, S.A.; Zagatto, A.M.; Gobatto, C.A. Effects of Taper on Swimming Force and Swimmer Performance After an Experimental Ten-Week Training Program. J. Strength Cond. Res. 2007, 21, 538. [Google Scholar] [CrossRef]
- Lätt, E.; Jürimäe, J.; Haljaste, K.; Cicchella, A.; Purge, P.; Jürimäe, T. Physical Development and Swimming Performance During Biological Maturation in Young Female Swimmers. Coll. Antropol. 2009, 33, 117–122. [Google Scholar]
- Alberty, M.; Sidney, M.; Pelayo, P.; Toussaint, H.M. Stroking Characteristics during Time to Exhaustion Tests. Med. Sci. Sports Exerc. 2009, 41, 637–644. [Google Scholar] [CrossRef]
- Lomax, M.; Castle, S. Inspiratory Muscle Fatigue Significantly Affects Breathing Frequency, Stroke Rate, and Stroke Length during 200-m Front-Crawl Swimming. J. Strength Cond. Res. 2011, 25, 2691–2695. [Google Scholar] [CrossRef]
- Valkoumas, I.; Gourgoulis, V.; Aggeloussis, N.; Antoniou, P. The Influence of an 11-Week Resisted Swim Training Program on the Inter-Arm Coordination in Front Crawl Swimmers. Sports Biomech. 2023, 22, 940–952. [Google Scholar] [CrossRef]





| Variables | Year 1 | Year 2 | ||||
|---|---|---|---|---|---|---|
| PRE | POST | d | PRE | POST | d | |
| 50 m (s) | 32.6 ± 2.7 | 30.8 ± 1.4 * | 0.90 | 31.8 ± 2.3 | 31.0 ± 2.0 * | 0.38 |
| 200 m (s) | 159 ± 15.1 | 148 ± 11.4 * | 0.84 | 150 ± 11.2 | 147 ± 8.8 * | 0.31 |
| 400 m (s) | 324 ± 23.8 | 316 ± 30.2 * | 0.29 | 315 ± 20.4 | 307 ± 18.0 * | 0.41 |
| Variables | Year 1 | Year 2 | ||||
|---|---|---|---|---|---|---|
| PRE | POST | d | PRE | POST | d | |
| TFmax (N) | 103 ± 28.2 | 120 ± 28.2 *# | 0.64 | 132 ± 27.6 | 117 ± 23.7 *# | −0.58 |
| TFmin (N) | 44.6 ± 12.6 | 48.6 ± 12.2 | 0.32 | 54.0 ± 14.6 | 48.6 ± 10.2 | −0.43 |
| FI (%) | 56.8 ± 6.9 | 59.4 ± 6.3 | 0.39 | 58.3 ± 11.4 | 58.2 ± 6.1 | −0.02 |
| Variables | Year 1 | Year 2 | |||||
|---|---|---|---|---|---|---|---|
| PRE | POST | d | PRE | POST | d | ||
| 50 m | SR (cycles.min−1) | 51.8 ± 3.9 | 52.0 ± 5.2 | 0.04 | 48.0 ± 3.5 | 50.3 ± 4.1 | 0.61 |
| SL (m·cycle−1) | 1.83 ± 0.17 | 1.86 ± 0.26 | 0.10 | 1.98 ± 0.16 | 1.97 ± 0.19 | −0.05 | |
| SI (m2·s−1·cycle−1) | 2.91 ± 0.44 | 2.98 ± 0.56 | 0.19 | 3.14 ± 0.43 | 3.25 ± 0.46 | 0.25 | |
| 200 m | SR (cycles.min−1) | 43.9 ± 2.7 | 44.9 ± 4.2 | 0.28 | 42.8 ± 3.1 | 43.3 ± 5.1 | 0.11 |
| SL (m·cycle−1) | 1.75 ± 0.21 | 1.84 ± 0.26 * | 0.41 | 1.89 ± 0.22 | 1.94 ± 0.23 * | 0.19 | |
| SI (m2·s−1·cycle−1) | 2.24 ± 0.47 | 2.53 ± 0.53 * | 0.59 | 2.56 ± 0.49 | 2.69 ± 0.45 * | 0.27 | |
| 400 m | SR (cycles.min−1) | 42.6 ± 0.19 | 43.2 ± 2.8 | 0.22 | 41.3 ± 0.22 | 41.8 ± 3.2 | 0.13 |
| SL (m·cycle−1) | 1.75 ± 0.19 | 1.78 ± 0.25 | 0.12 | 1.86 ± 0.22 | 1.89 ± 0.19 | 0.14 | |
| SI (m2·s−1·cycle−1) | 2.16 ± 0.40 | 2.30 ± 0.52 * | 0.23 | 2.39 ± 0.43 | 2.48 ± 0.38 * | 0.24 | |
Disclaimer/Publisher’s Note: The statements, opinions and data contained in all publications are solely those of the individual author(s) and contributor(s) and not of MDPI and/or the editor(s). MDPI and/or the editor(s) disclaim responsibility for any injury to people or property resulting from any ideas, methods, instructions or products referred to in the content. |
© 2025 by the authors. Licensee MDPI, Basel, Switzerland. This article is an open access article distributed under the terms and conditions of the Creative Commons Attribution (CC BY) license (https://creativecommons.org/licenses/by/4.0/).
Share and Cite
Arsoniadis, G.G.; Nikitakis, I.S.; Chalkiadakis, I.; Toubekis, A.G. Seasonal Training Adaptations in Adolescent Swimmers: Effects of Equal Load 12-Week Programs Across Two Annual Cycles. Appl. Sci. 2025, 15, 11814. https://doi.org/10.3390/app152111814
Arsoniadis GG, Nikitakis IS, Chalkiadakis I, Toubekis AG. Seasonal Training Adaptations in Adolescent Swimmers: Effects of Equal Load 12-Week Programs Across Two Annual Cycles. Applied Sciences. 2025; 15(21):11814. https://doi.org/10.3390/app152111814
Chicago/Turabian StyleArsoniadis, Gavriil G., Ioannis S. Nikitakis, Ioannis Chalkiadakis, and Argyris G. Toubekis. 2025. "Seasonal Training Adaptations in Adolescent Swimmers: Effects of Equal Load 12-Week Programs Across Two Annual Cycles" Applied Sciences 15, no. 21: 11814. https://doi.org/10.3390/app152111814
APA StyleArsoniadis, G. G., Nikitakis, I. S., Chalkiadakis, I., & Toubekis, A. G. (2025). Seasonal Training Adaptations in Adolescent Swimmers: Effects of Equal Load 12-Week Programs Across Two Annual Cycles. Applied Sciences, 15(21), 11814. https://doi.org/10.3390/app152111814

