Sign in to use this feature.

Years

Between: -

Subjects

remove_circle_outline
remove_circle_outline
remove_circle_outline
remove_circle_outline
remove_circle_outline
remove_circle_outline
remove_circle_outline
remove_circle_outline
remove_circle_outline

Journals

remove_circle_outline
remove_circle_outline
remove_circle_outline
remove_circle_outline
remove_circle_outline
remove_circle_outline
remove_circle_outline
remove_circle_outline
remove_circle_outline
remove_circle_outline
remove_circle_outline
remove_circle_outline
remove_circle_outline

Article Types

Countries / Regions

remove_circle_outline
remove_circle_outline
remove_circle_outline
remove_circle_outline
remove_circle_outline

Search Results (987)

Search Parameters:
Keywords = sustainable use of pesticides

Order results
Result details
Results per page
Select all
Export citation of selected articles as:
21 pages, 1775 KB  
Article
Solar-Driven Photocatalytic Degradation of Clothianidin Using Green NiO-GO Composite
by Atta ul Haq, Rageh K. Hussein, Sandeep Panchal, Muhammad Saeed, Hafiz Muhammad Abubakar and Sharif Abu Alrub
Catalysts 2025, 15(11), 1078; https://doi.org/10.3390/catal15111078 - 13 Nov 2025
Viewed by 109
Abstract
The extensive use of clothianidin pesticide poses significant risks to non-target organisms and water resources. In this study, NiO-GO is reported as an effective photocatalyst for the degradation of clothianidin in aqueous medium. Nickel oxide (NiO) nanoparticles were synthesized by a green method [...] Read more.
The extensive use of clothianidin pesticide poses significant risks to non-target organisms and water resources. In this study, NiO-GO is reported as an effective photocatalyst for the degradation of clothianidin in aqueous medium. Nickel oxide (NiO) nanoparticles were synthesized by a green method using Pisum sativum (pea) peel extract, which serves as a natural reducing and stabilizing agent, and subsequently integrated with graphene oxide (GO) through ultrasonication to form a NiO-GO composite in a 1:1 ratio. The materials were characterized by various techniques. Photocatalytic degradation of clothianidin under natural sunlight was systematically investigated, assessing the effects of pH, catalyst dosage, initial pollutant concentration, and agitation speed. The NiO-GO composite exhibited superior photocatalytic performance (96% degradation at pH 3 within 60 min) compared to pristine NiO and GO, with a rate constant 4.4 and 3.3 times higher, respectively. The as-prepared NiO-GO photocatalyst exhibited nearly consistent degradation efficiency over two successive cycles, demonstrating its excellent structural stability and reusability. The enhanced performance is attributed to improved charge separation afforded by GO support. This low-cost, green, and efficient NiO-GO photocatalyst demonstrates promising potential for sustainable pesticide remediation in aqueous environments. Full article
(This article belongs to the Special Issue Advanced Catalysis for Energy and a Sustainable Environment)
Show Figures

Figure 1

39 pages, 3494 KB  
Review
Iron Redox Cycling in Persulfate Activation: Strategic Enhancements, Mechanistic Insights, and Environmental Applications—A Review
by Zutao Zhang, Fengyang Du, Hongliang Shi, Huanzheng Du and Peiyuan Xiao
Nanomaterials 2025, 15(22), 1712; https://doi.org/10.3390/nano15221712 - 12 Nov 2025
Viewed by 285
Abstract
Iron-based catalysts for peroxymonosulfate (PMS) and peroxydisulfate (PDS) activation represent a cornerstone of advanced oxidation processes (AOPs) in environmental remediation, prized for their cost-effectiveness, environmental compatibility, and high catalytic potential. These catalysts, including zero-valent iron, iron oxides, and iron-organic frameworks, activate PMS/PDS through [...] Read more.
Iron-based catalysts for peroxymonosulfate (PMS) and peroxydisulfate (PDS) activation represent a cornerstone of advanced oxidation processes (AOPs) in environmental remediation, prized for their cost-effectiveness, environmental compatibility, and high catalytic potential. These catalysts, including zero-valent iron, iron oxides, and iron-organic frameworks, activate PMS/PDS through heterogeneous and homogeneous pathways to generate reactive species such as sulfate radicals (SO4) and hydroxyl radicals (•OH). However, their large-scale implementation is constrained by inefficient iron cycling, characterized by sluggish Fe3+/Fe2+ conversion and significant iron precipitation, leading to catalyst passivation and oxidant wastage. This comprehensive review systematically dissects innovative strategies to augment iron cycling efficiency, encompassing advanced material design through elemental doping, heterostructure construction, and defect engineering; system optimization via reductant incorporation, bimetallic synergy, and pH modulation; and external field assistance using light, electricity, or ultrasound. We present a mechanistic deep-dive into these approaches, emphasizing facilitated electron transfer, suppression of iron precipitation, and precise regulation of radical versus non-radical pathways. The performance in degrading persistent organic pollutants—including antibiotics, per- and polyfluoroalkyl substances (PFASs), and pesticides—in complex environmental matrices is critically evaluated. We further discuss practical challenges related to scalability, long-term stability, and secondary environmental risks. Finally, forward-looking directions are proposed, focusing on rational catalyst design, integration of sustainable processes, and scalable implementation, thereby providing a foundational framework for developing next-generation iron-persulfate catalytic systems. Full article
Show Figures

Figure 1

24 pages, 1975 KB  
Review
Bridging Microbial Biocontrol and Phytochemical Biopesticides: Synergistic Approaches for Sustainable Crop Protection
by Younes Rezaee Danesh, Jose Miguel Mulet and Rosa Porcel
Plants 2025, 14(22), 3453; https://doi.org/10.3390/plants14223453 - 12 Nov 2025
Viewed by 361
Abstract
The increasing prevalence of pests and diseases in agriculture necessitates innovative strategies for crop protection that mitigate environmental impacts. This review paper investigates the synergistic potential of combining microbial biocontrol agents and phytochemical biopesticides as sustainable alternatives to chemical pesticides. Through a comprehensive [...] Read more.
The increasing prevalence of pests and diseases in agriculture necessitates innovative strategies for crop protection that mitigate environmental impacts. This review paper investigates the synergistic potential of combining microbial biocontrol agents and phytochemical biopesticides as sustainable alternatives to chemical pesticides. Through a comprehensive review of recent literature, we analyze the mechanisms by which beneficial microbes (e.g., Trichoderma, Bacillus, and Pseudomonas) enhance plant resilience and suppress pathogens, and how plant-derived phytochemicals such as essential oils, alkaloids, and flavonoids contribute to pest deterrence and disease resistance. The integration of these bio-based resources forms an actionable framework for sustainable crop protection—enabling reduced chemical dependence, improved soil health, and enhanced biodiversity. Examples of synergistic success, such as the combined use of Bacillus thuringiensis with neem extract and Trichoderma with lemongrass oil, illustrate their field potential. Future research should prioritize the formulation of stable microbial–phytochemical consortia, field validation of synergistic efficacy, and optimization of delivery systems to support commercial-scale adoption. Ultimately, this study promotes a paradigm shift toward eco-efficient pest management, bridging fundamental research and applied innovation for resilient agroecosystems. Full article
(This article belongs to the Special Issue Biopesticides for Plant Protection)
Show Figures

Figure 1

30 pages, 877 KB  
Article
Fractional Optimal Control of Anthroponotic Cutaneous Leishmaniasis with Behavioral and Epidemiological Extensions
by Asiyeh Ebrahimzadeh, Amin Jajarmi and Mehmet Yavuz
Math. Comput. Appl. 2025, 30(6), 122; https://doi.org/10.3390/mca30060122 - 6 Nov 2025
Viewed by 131
Abstract
Sandflies spread the neglected vector-borne disease anthroponotic cutaneous leishmaniasis (ACL), which only affects humans. Despite decades of control, asymptomatic carriers, vector pesticide resistance, and low public awareness prevent eradication. This study proposes a fractional-order optimal control model that integrates biological and behavioral aspects [...] Read more.
Sandflies spread the neglected vector-borne disease anthroponotic cutaneous leishmaniasis (ACL), which only affects humans. Despite decades of control, asymptomatic carriers, vector pesticide resistance, and low public awareness prevent eradication. This study proposes a fractional-order optimal control model that integrates biological and behavioral aspects of ACL transmission to better understand its complex dynamics and intervention responses. We model asymptomatic human illnesses, insecticide-resistant sandflies, and a dynamic awareness function under public health campaigns and collective behavioral memory. Four time-dependent control variables—symptomatic treatment, pesticide spraying, bed net use, and awareness promotion—are introduced under a shared budget constraint to reflect public health resource constraints. In addition, Caputo fractional derivatives incorporate memory-dependent processes and hereditary effects, allowing for epidemic and behavioral states to depend on prior infections and interventions; on the other hand, standard integer-order frameworks miss temporal smoothness, delayed responses, and persistence effects from this memory feature, which affect optimal control trajectories. Next, we determine the optimality conditions for fractional-order systems using a generalized Pontryagin’s maximum principle, then solve the state–adjoint equations numerically with an efficient forward–backward sweep approach. Simulations show that fractional (memory-based) dynamics capture behavioral inertia and cumulative public response, improving awareness and treatment efforts. Furthermore, sensitivity tests indicate that integer-order models do not predict the optimal allocation of limited resources, highlighting memory effects in epidemiological decision-making. Consequently, the proposed method provides a realistic and flexible mathematical basis for cost-effective and sustainable ACL control plans in endemic settings, revealing how memory-dependent dynamics may affect disease development and intervention efficiency. Full article
(This article belongs to the Special Issue Mathematics and Applied Data Science)
Show Figures

Figure 1

48 pages, 2978 KB  
Review
Biological Management of Soil-Borne Pathogens Through Tripartite Rhizosphere Interactions with Plant Growth-Promoting Fungi
by Md. Motaher Hossain, Farjana Sultana, Mahabuba Mostafa, Md. Tanbir Rubayet, Nusrat Jahan Mishu, Imran Khan and Mohammad Golam Mostofa
Appl. Microbiol. 2025, 5(4), 123; https://doi.org/10.3390/applmicrobiol5040123 - 5 Nov 2025
Viewed by 697
Abstract
Soil-borne plant pathogens pose a serious threat to global food security by causing extensive yield losses and compromising crop quality. Conventional chemical-based control methods often prove inadequate, environmentally harmful, and disruptive to beneficial soil microbiota, highlighting the urgent need for sustainable alternatives. Plant [...] Read more.
Soil-borne plant pathogens pose a serious threat to global food security by causing extensive yield losses and compromising crop quality. Conventional chemical-based control methods often prove inadequate, environmentally harmful, and disruptive to beneficial soil microbiota, highlighting the urgent need for sustainable alternatives. Plant growth-promoting fungi (PGPF) have emerged as effective biocontrol agents capable of suppressing diverse soil-borne pathogens while simultaneously enhancing plant growth and resilience. This review synthesizes current knowledge on the tripartite interactions among plants, pathogens, and PGPF within the rhizosphere, with emphasis on their roles in disease suppression, rhizosphere competence, and plant health promotion. The findings highlight that PGPF such as Trichoderma, Penicillium, Aspergillus, non-pathogenic Fusarium, hypovirulent binucleate Rhizoctonia and sterile fungi can significantly reduce diseases caused by fungi, oomycetes, bacteria, nematodes, and protists through mechanisms including antibiosis, hyperparasitism, competition, and induction of systemic resistance. Evidence also indicates that consortium approaches and bioformulations enhance field efficacy compared to single-strain applications. Despite this progress, challenges such as variability in field performance, limited shelf life of inoculants, and gaps in understanding ecological interactions constrain large-scale use. Overall, the review underscores that PGPF-based strategies represent a promising and sustainable alternative to chemical pesticides, with strong potential for integration into holistic crop disease management under changing climatic conditions. Full article
Show Figures

Figure 1

19 pages, 2213 KB  
Article
Land-Based Tank Cultivation of Ulva spp. (Chlorophyta) from Charleston, South Carolina: A Pilot Aquaculture Study for Seasonal Biomass Production and Potential Anthropogenic Bioremediation
by Menny M. Benjamin, Christopher J. Carbon, Heather L. Spalding, Aaron Watson, George S. Hanna and Laura M. Kasman
Aquac. J. 2025, 5(4), 23; https://doi.org/10.3390/aquacj5040023 - 4 Nov 2025
Viewed by 272
Abstract
The lack of an established seaweed aquaculture industry in the Atlantic Southeast reflects the persistent challenges in identifying macroalgal species that can consistently produce year-round under regional environmental conditions. As a result, in this study, locally abundant Charlestonian Ulva spp. were selected as [...] Read more.
The lack of an established seaweed aquaculture industry in the Atlantic Southeast reflects the persistent challenges in identifying macroalgal species that can consistently produce year-round under regional environmental conditions. As a result, in this study, locally abundant Charlestonian Ulva spp. were selected as sustainable algal candidates for a pilot investigation, due to their resilience to abiotic (e.g., seasonal changes in temperature and nutrients) and biotic (e.g., predation and epiphytes) factors, thus allowing for practical land-based aquaculture. Ulva spp. were analyzed for their seasonal biomass and potential bioremediation applications using the existing land-based aquaculture infrastructure of the SCDNR in Charleston, South Carolina. The biomass of tank-cultivated Ulva spp. was monitored on a biweekly basis for 16 months and was found to be highest (31.8 kg) in the spring, increasing by 22% in just two weeks as water temperatures rose. A synthetic nutrient fertilizer was incorporated into aquaculture at the latter stages of this study to observe the effects on algal biomass while simulating an anthropogenic event. Interestingly, inorganic supplementation did not induce growth but was absorbed by the algal tissue, significantly lowering the δ15N to <7‰. Additionally, Vibrio spp. bacteria proliferated following the inorganic nutrient spike, while coliform populations decreased. Biochemical composition analyses comparing tank-cultivated and wild in situ Ulva spp. revealed variations in essential trace element (e.g., potassium: tank—19,530; wild—5520 mg/kg) concentrations, yet shared similar trace metal (e.g., arsenic: tank—4.47; wild—4.52 mg/kg) and pesticide (e.g., DEET: tank—0.048; wild—0.040 mg/kg) concentrations. This is the first reported macroalgal aquaculture research in South Carolina and serves as a pilot study for future research or commercialization in the Lowcountry and the greater southeastern coastal communities of the United States. Full article
Show Figures

Figure 1

20 pages, 2659 KB  
Article
Pulsed Light as a Physical Defense Elicitor in Tomato cv. Marmande: Enhancing Defense Responses and Reducing Botrytis Infection
by Issoufou Maino, Fabrice Dupuy, Laure Sandoval, Vincent Gloaguen and Céline Faugeron Girard
Horticulturae 2025, 11(11), 1331; https://doi.org/10.3390/horticulturae11111331 - 4 Nov 2025
Viewed by 448
Abstract
The trade-off between reducing pesticide use and ensuring effective crop protection is a key challenge for sustainable agriculture. Stimulating the plant’s natural defense mechanisms represents a promising alternative. In this study, we evaluated the potential of pulsed light as a physical elicitor in [...] Read more.
The trade-off between reducing pesticide use and ensuring effective crop protection is a key challenge for sustainable agriculture. Stimulating the plant’s natural defense mechanisms represents a promising alternative. In this study, we evaluated the potential of pulsed light as a physical elicitor in tomato (Solanum lycopersicum). This technology is based on the emission of brief but intense light flashes, covering a broad spectrum (from UV-C to infrared), capable of simultaneous activation of multiple signaling pathways. Tomato plants were treated using a standard protocol and subjected to biochemical, transcriptional, physiological, and pathological analyses. The treatment significantly increased the activity of defense-related and antioxidant enzymes, the accumulation of phenolic compounds and callose, and the expression of key immunity-related genes. Upon Botrytis cinerea inoculation, pretreated tomato plants showed enhanced defense responses and a significant reduction in disease severity, indicating a priming effect. The standard protocol did not impair photosynthesis, growth, or yield. These findings highlight pulsed light as an innovative technology for integrated crop protection. Full article
Show Figures

Figure 1

14 pages, 1785 KB  
Article
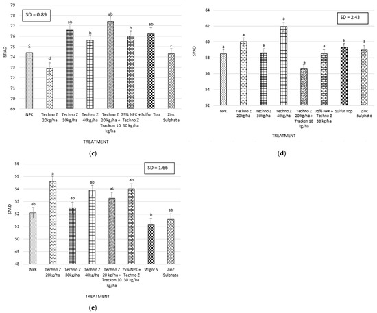
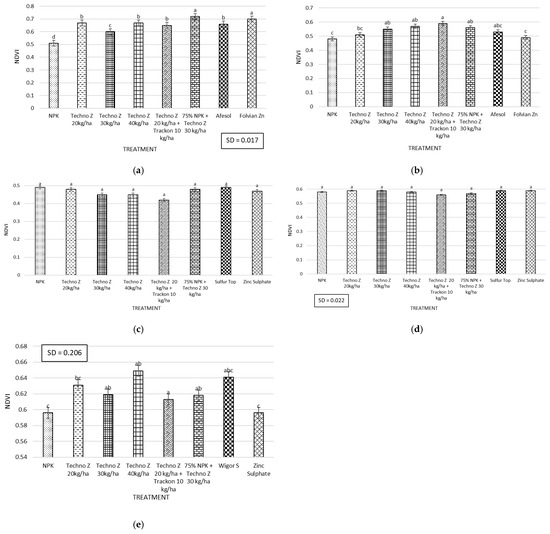
Effect of Sulphur/Zinc Fertilizer Application on Selected Tomato Parameters in Poland, Spain and Italy
by Dariusz Pańka, Joanna Kocięcka, Małgorzata Jeske, Aleksander Łukanowski, Jean De Dieu Muhire, Niladri Pati, Komal Shah Bhukhanwala and Ferenc Pál-Fám
Sustainability 2025, 17(21), 9764; https://doi.org/10.3390/su17219764 - 1 Nov 2025
Viewed by 354
Abstract
Modern, technologically advanced fertilizers that increase the efficiency of the plant’s use of macro and microelements while reducing the doses used are one of the most important elements of sustainable plant production. Current European Union policy, especially the from-farm-to-fork strategy, which is part [...] Read more.
Modern, technologically advanced fertilizers that increase the efficiency of the plant’s use of macro and microelements while reducing the doses used are one of the most important elements of sustainable plant production. Current European Union policy, especially the from-farm-to-fork strategy, which is part of the European Green Deal and sustainable agriculture, requires producers to seek new solutions that will ensure higher yields while reducing the number and volume of fertilizers and pesticides introduced into the environment. The aim of conducted research was to determine the effect of the application of Techno Z (sulphur 67% + zinc 14%), an advanced microgranular sulphur/zinc fertilizer with patented ORT technology on greenhouse-grown tomato, one of the most popular vegetables grown worldwide. Consumption is constantly growing, and demand is much higher in many countries than domestic production. Therefore, measures aimed at increasing yields, such as more effective, sustainable fertilization, are extremely important. Full article
(This article belongs to the Special Issue Sustainable Management: Plant, Biodiversity and Ecosystem)
Show Figures

Figure 1

32 pages, 1289 KB  
Review
Soil Pollution Mapping Across Africa: Potential Tool for Soil Health Monitoring
by Georges K. Kome, Caroline A. Kundu, Michael A. Okon, Roger K. Enang, Samuel A. Mesele, Julius Opio, Eric Asamoah and Chrow Khurshid
Pollutants 2025, 5(4), 38; https://doi.org/10.3390/pollutants5040038 - 1 Nov 2025
Viewed by 500
Abstract
There is an urgent need for an updated and relevant soil information system (SIS) to sustainably use and manage the land across Africa. Accurate data on soil pollution is essential for effective decision-making in soil health monitoring and management. Unfortunately, the data and [...] Read more.
There is an urgent need for an updated and relevant soil information system (SIS) to sustainably use and manage the land across Africa. Accurate data on soil pollution is essential for effective decision-making in soil health monitoring and management. Unfortunately, the data and information are not usually presented in formats that can easily guide decision-making. The objectives of this work were to (i) assess the availability of soil pollution maps, (ii) evaluate the methodologies used in creating these maps, (iii) explore the role of soil pollution maps in soil health monitoring, and (iv) identify gaps and challenges in soil pollution mapping in Africa. Soil pollution maps across Africa are created on a local scale, with highly variable sampling size and low sampling density. The most used mapping techniques include spatial interpolation (kriging and inverse distance weighting). Among the types of soil pollutants mapped, heavy metals have received priority, while pesticides and persistent organic pollutants have received less attention. Soil pollution mapping is not incorporated within the SIS framework due to lack of reliable spatially comprehensive data and technological and institutional barriers. Current efforts remain fragmented, site-specific, and methodologically inconsistent, resulting in significant data gaps that hinder reliable monitoring and limit progress in soil pollution mapping. Full article
(This article belongs to the Special Issue The Effects of Global Anthropogenic Trends on Ecosystems, 2025)
Show Figures

Graphical abstract

32 pages, 2473 KB  
Article
In Vitro Evaluation of the Antifungal Activity of Trigonella foenum-graecum Seed Extract and Its Potential Application in Plant Protection
by Stelica Cristea, Alina Perisoara, Bianca-Maria Tihauan, Manuela Diana Ene, Mariana Constantin, Alexandru-Mihai Florea, Elena Ştefania Ivan, Relu Cristinel Zala, Bogdan Purcăreanu, Dan Eduard Mihaiescu and Lucia Pirvu
Plants 2025, 14(21), 3320; https://doi.org/10.3390/plants14213320 - 31 Oct 2025
Viewed by 604
Abstract
In the context of promoting ecological alternatives to synthetic pesticides, this study investigates the antifungal activity of Trigonella foenum-graecum L. seed extract and its potential application in plant protection. The extract, obtained by maceration in 40% ethanol, was analysed using UV-Vis spectrophotometric methods [...] Read more.
In the context of promoting ecological alternatives to synthetic pesticides, this study investigates the antifungal activity of Trigonella foenum-graecum L. seed extract and its potential application in plant protection. The extract, obtained by maceration in 40% ethanol, was analysed using UV-Vis spectrophotometric methods to assess its phytochemical composition, including phenolic compounds, reducing sugars, and soluble proteins, as well as antioxidant activity in acellular system (ABTS, DPPH, TEAC, and CUPRAC) and CAT, SOD, peroxidase, and lipid peroxidation in planting material lysate. Additionally, the extract was qualitatively analysed using ATR-FT-IR and FT-ICR-MS methods. The antifungal activity was tested in vitro against three fungal strains, revealing significant inhibitory effects, especially on Fusarium graminearum and Monilinia laxa. Following the biogermination study on wheat seeds, it was highlighted that the extract obtained from fenugreek seeds manifested a strong inhibitory effect, especially at the highest concentration (1.50%) studied, probably due to the high content of phenols and presence of steroidal saponins (diosgenin and precursor diosgenin–protodiosgenin) and pyridine alkaloids (trigonelline). These findings suggest that Trigonella foenum-graecum seed extract possesses potent antifungal properties, making it a promising candidate for the development of biofungicides in sustainable agriculture. Full article
(This article belongs to the Special Issue Natural Compounds for Controlling Plant Pathogens)
Show Figures

Figure 1

38 pages, 3011 KB  
Review
Harnessing Beneficial Microbes and Sensor Technologies for Sustainable Smart Agriculture
by Younes Rezaee Danesh
Sensors 2025, 25(21), 6631; https://doi.org/10.3390/s25216631 - 29 Oct 2025
Viewed by 1102
Abstract
The integration of beneficial microorganisms with sensor technologies represents a transformative advancement toward sustainable smart agriculture. This review synthesizes recent progress in combining microbial bioinoculants with sensor-based monitoring systems to enhance crop productivity, resource-use efficiency, and environmental resilience. Beneficial bacteria and fungi improve [...] Read more.
The integration of beneficial microorganisms with sensor technologies represents a transformative advancement toward sustainable smart agriculture. This review synthesizes recent progress in combining microbial bioinoculants with sensor-based monitoring systems to enhance crop productivity, resource-use efficiency, and environmental resilience. Beneficial bacteria and fungi improve nutrient cycling, stress tolerance, and soil fertility thereby reducing the reliance on chemical fertilizers and pesticides. In parallel, sensor networks—including soil moisture, nutrient, environmental, and remote-sensing platforms—enable real-time, data-driven management of agroecosystems. Integrated microbe–sensor approaches have demonstrated 10–25% yield increases and up to 30% reductions in agrochemical inputs under optimized field conditions. We propose an integrative Microbe–Sensor Closed Loop (MSCL) framework in which microbial activity and sensor feedback interact dynamically to optimize inputs, monitor plant–soil interactions, and sustain productivity. Key applications include precision fertilization, stress diagnostics, and early detection of nutrient or pathogen imbalances. The review also highlights barriers to large-scale adoption, such as variable field performance of inoculants, high sensor costs, and limited interoperability of data systems. Addressing these challenges through standardization, cross-disciplinary collaboration, and farmer training will accelerate the transition toward climate-smart, self-regulating agricultural systems. Collectively, the integration of biological and technological innovations provides a clear pathway toward resilient, resource-efficient, and ecologically sound food production. Full article
Show Figures

Figure 1

14 pages, 2233 KB  
Article
Wing Shape Fluctuating Asymmetry in Flies: Insights into Environmental and Public Health Risk
by Hugo A. Benítez, Rocío Oróstica-Pinochet, Manuel J. Suazo, Laura M. Pérez, Jordan Hernández-Martelo, Cristian Valdes, María Teresa Muñoz-Quezada and Margarita Correa
Animals 2025, 15(21), 3124; https://doi.org/10.3390/ani15213124 - 28 Oct 2025
Viewed by 289
Abstract
The widespread but often poorly regulated use of pesticides has triggered urgent debates on their hidden effects beyond resistance in target pests. This study investigates the morphological effects of pesticide exposure, specifically the organophosphate chlorpyrifos, using geometric morphometrics to assess fluctuating asymmetry (FA) [...] Read more.
The widespread but often poorly regulated use of pesticides has triggered urgent debates on their hidden effects beyond resistance in target pests. This study investigates the morphological effects of pesticide exposure, specifically the organophosphate chlorpyrifos, using geometric morphometrics to assess fluctuating asymmetry (FA) in wing shapes of houseflies. Developmental stability (DS), the capacity of an organism to maintain an optimal phenotype under stress, serves as a key indicator of environmental and genetic stress. Flies collected from pesticide-exposed areas in rural areas in Chile (Arbolillo) exhibited significantly higher wing asymmetry than those from less exposed zones, reflecting developmental disturbances caused by chlorpyrifos. These findings emphasize the potential of FA as a biomarker for pesticide-related environmental stress. By linking pesticide exposure to measurable phenotypic disruption, this study calls for urgent integration of morphometric and genomic tools to better understand resistance mechanisms, while also promoting sustainable pest management practices. Our findings demonstrate that even a common insect like the housefly can serve as a biological sentinel, warning of broader ecological and public health risks in pesticide-dominated landscapes. Full article
Show Figures

Figure 1

14 pages, 1037 KB  
Article
Adulticidal Activity of the Insect Growth Regulators Methoprene and Cyromazine in House Flies (Musca domestica L.): Evidence from Feeding Trials
by Gökhan Erdoğan
Biology 2025, 14(11), 1495; https://doi.org/10.3390/biology14111495 - 26 Oct 2025
Viewed by 491
Abstract
House flies (Musca domestica L.) are major vectors of numerous pathogens affecting both humans and animals. The global distribution of house flies has been steadily increasing the expansion of human settlements, increased waste production, and the growth of livestock farms established to [...] Read more.
House flies (Musca domestica L.) are major vectors of numerous pathogens affecting both humans and animals. The global distribution of house flies has been steadily increasing the expansion of human settlements, increased waste production, and the growth of livestock farms established to meet the demand for animal-derived products. Frequent exposure to intensive pesticide applications in agricultural and livestock areas has accelerated the development of insecticide resistance, posing a serious challenge to sustainable control efforts. The widespread and repeated use of conventional chemical insecticides has contributed to rapid resistance evolution in many populations worldwide. In this study, the acute toxic effects of two insect growth regulators (IGRs)—cyromazine and methoprene—commonly used in the larval stages of house flies were evaluated against adult flies. Treatments were applied (3 replicates) orally via 40% sugar-water solutions containing 1%, 5%, and 10% concentrations, and bioassays were conducted on eight distinct house fly populations. The results showed that cyromazine caused average adult mortalities of 76.35%, 81.00%, and 84.50% within 48 h, while methoprene produced 70.62%, 99.37%, and 100% mortality at the same concentrations. At 10%, methoprene achieved 100% mortality across all populations, whereas cyromazine induced mortality ranging from 44.28% to 100%. These findings suggest that IGRs can be effective alternatives to conventional insecticides and can be integrated into IPM/IVM programs to reduce chemical use and delay resistance. Full article
Show Figures

Figure 1

18 pages, 4218 KB  
Article
Evaluation of the Insecticidal Potential of Lysinibacillus fusiformis Against Drosophila suzukii Larvae
by Maristella Mastore, Elisa Broggio, Davide Banfi, Ricardo A. R. Machado, Aashaq Hussain Bhat, Sadreddine Kallel, Marcella Reguzzoni, Silvia Quadroni and Maurizio F. Brivio
Insects 2025, 16(11), 1090; https://doi.org/10.3390/insects16111090 - 24 Oct 2025
Viewed by 622
Abstract
The increase in the world population and consequent rise in food demand have led to the extensive use of chemical pesticides, causing environmental and health concerns. In response, biological control methods, particularly those involving microbial agents, have emerged as sustainable alternatives within integrated [...] Read more.
The increase in the world population and consequent rise in food demand have led to the extensive use of chemical pesticides, causing environmental and health concerns. In response, biological control methods, particularly those involving microbial agents, have emerged as sustainable alternatives within integrated pest management. This study highlights the potential of Lysinibacillus fusiformis as a biocontrol agent against the dipteran Drosophila suzukii (Matsumura) (Diptera: Drosophilidae), a pest responsible for damaging soft-skinned fruits. Experimental treatments using vegetative cells, spores, and secondary metabolites of L. fusiformis on D. suzukii larvae demonstrated significant larvicidal effects, accompanied by observable changes in gut morphology under microscopy. Moreover, preliminary immunological assays showed the interference of this bacterium with the host immune system. All the results indicate the suitability of L. fusiformis for its possible integration into sustainable agricultural practices, although additional research is required to understand its applicability in the field. Full article
Show Figures

Graphical abstract

22 pages, 2967 KB  
Article
Influence of a Greenhouse Adapted to the Ecuadorian Coastal Climate on Pest Dynamics in Tomato Crops
by Maria Esmeralda Cuzco, Amalia Marisol Vera, Jenny Patricia Quiñonez, Lenin Francisco Mera and Maria Teresa Lao
Horticulturae 2025, 11(11), 1279; https://doi.org/10.3390/horticulturae11111279 - 24 Oct 2025
Viewed by 602
Abstract
Integrated pest management (IPM) in tomato (Solanum lycopersicum L.) on the Ecuadorian coast represents a critical challenge, given that pest persistence has led producers to abandon the crop, generating significant losses. This study compared pest population fluctuations in greenhouse and open field [...] Read more.
Integrated pest management (IPM) in tomato (Solanum lycopersicum L.) on the Ecuadorian coast represents a critical challenge, given that pest persistence has led producers to abandon the crop, generating significant losses. This study compared pest population fluctuations in greenhouse and open field conditions under realistic management conditions and free infestation, considering the influence of environmental factors and applications of biorational, semisynthetic, and synthetic pesticides. In open fields, infestations were high and sustained, exceeding treatment thresholds, while in greenhouses, levels were lower, attributable to the protection of the aphid netting. Product efficacy depended on the pest and the level of infestation: Azadirachta indica, Bacillus thuringiensis, and Beauveria bassiana were effective in low infestations; spinetoram and abamectin reached efficacies between 80 and 100% in moderate infestations; neonicotinoids had variable efficacy, ranging from 47.8% to 89.9%. Since the system determines the type of pest and the level of infestation, monitoring becomes a key tool for timely decision-making. The findings show that the greenhouse limits the entry of the main pest, Prodiplosis longifila. While it does not prevent the presence of smaller pests, such as thrips and white mites, the combination of physical barriers and low-toxicity pesticides significantly reduces populations, minimizing the number of applications and the use of more toxic insecticides. The proposed strategy provides solid evidence for the effective implementation of a greenhouse to reduce pest pressure and promote IPM in protected coastal systems in Ecuador. Full article
(This article belongs to the Special Issue Pest Diagnosis and Control Strategies for Fruit and Vegetable Plants)
Show Figures

Figure 1

Back to TopTop