Next Article in Journal
Perceptions and Potential: How Artisanal Food Businesses View Themselves in the Context of Food Upcycling
Previous Article in Journal
Utilizing Solar-Induced Chlorophyll Fluorescence for Drought Monitoring and Net Ecosystem Productivity Response in Northwest China
 
 
Font Type:
Arial Georgia Verdana
Font Size:
Aa Aa Aa
Line Spacing:
Column Width:
Background:
Article

Evaluation of Waste-Plastic Pyrolysis Oil as a Potential Feedstock for Lubricant Base Oil Production via Hydroprocessing

Clean Energy Conversion Center, Institute for Advances Engineering (IAE), 175-28 Goan-ro 51, Baegam-myen, Cheoin-gu, Yongin 17180, Republic of Korea
*
Author to whom correspondence should be addressed.
Sustainability 2026, 18(5), 2655; https://doi.org/10.3390/su18052655
Submission received: 6 January 2026 / Revised: 25 February 2026 / Accepted: 27 February 2026 / Published: 9 March 2026

Abstract

The environmental concerns associated with the excessive use and improper disposal of plastic waste have led to increased interest in chemical recycling methods such as pyrolysis. In this study, waste plastic pyrolysis oil (WPPO) was evaluated as a potential feedstock to produce high-quality feedstock for lubricant base oils through hydroprocessing. WPPO was obtained via the thermal degradation of waste plastic at 400 °C under a nitrogen atmosphere using a 2 t/day pyrolysis reactor. The physicochemical properties of WPPO were analyzed, including the sulfur, chlorine, and metal contents. A series of Pt-supported catalysts based on different acidic supports (SAPO-11, SAPO-34, and Zeolite Y100) was prepared using an incipient wetness impregnation method and characterized by BET, XRD, and TPD techniques. The hydroprocessing reactions were conducted under varying temperature and pressure conditions to evaluate conversion and optimize product selectivity. The catalysts exhibited different surface areas, pore structures, and acidity profiles, which directly impacted their hydroprocessing performance. The results demonstrate that Pt/Y-100 exhibited the best upgrading performance among the tested catalysts, achieving an olefin-to-paraffin conversion of over 88.65% with a dominant paraffinic hydrocarbon distribution in the C15–C25 range under optimal conditions (300 °C and 40 bar). The results demonstrate that the conversion of olefins to paraffins in WPPO can be effectively controlled by tuning the reaction conditions and catalyst.

1. Introduction

The indiscriminate use of plastic and its improper disposal have emerged as critical global environmental challenges. A large proportion of plastic waste is still disposed of in landfills worldwide, including in Europe and other major regions, leading to long-term environmental concerns [1]. The accumulation of plastic waste in landfills poses serious risks such as soil and groundwater contamination and the release of toxic substances [2,3]. Moreover, the production and disposal of plastics generate substantial greenhouse gas emissions, which are recognized as a significant contributor to climate change [4,5]. Consequently, the recycling of waste plastic has gained prominence not only as a solution to environmental issues but also as an essential strategy for achieving carbon neutrality [6].
In the Republic of Korea, policy measures have been implemented to expand the recycling of waste plastics. In 2022, the Ministry of Environment revised the Enforcement Rules of the Waste Control Act to include waste plastic pyrolysis oil (WPPO) as a recognized recycling type [7]. Subsequently, in July 2024, the Ministry of Trade, Industry and Energy amended petrochemical feedstock regulations to permit WPPO utilization in chemical processes, replacing the previous restriction to petroleum-derived feedstocks exclusively. To operationalize these regulatory changes, the Ministry of Environment established a national roadmap targeting an increase in the proportion of plastic waste treated via pyrolysis from 0.1% (2021) to 10% by 2030 [8].
Pyrolysis is a thermochemical decomposition process that converts plastic waste into liquid oil under oxygen-limited conditions at temperatures of approximately 400–600 °C [9]. This method enables the treatment of contaminated plastic waste that cannot be processed by other recycling technologies [1]. The resulting pyrolysis oil can serve as a feedstock for petrochemical synthesis and demonstrates significant potential for lubricant base oil production [10,11].
Lubricant base oils constitute the primary component (70–95%) of formulated lubricants such as engine oils, hydraulic fluids, and industrial lubricants, and their properties critically determine overall lubricant performance [12]. Conventionally, these base oils have been derived from petroleum-derived oil fractions through energy-intensive refining processes [13]. However, increasing concerns over resource depletion, greenhouse gas emissions, and environmental sustainability have driven efforts to identify alternative feedstocks and production routes for lubricant base oils [14].
Globally, increasing attention has been directed toward the production of high-value products, such as lubricant base oils, from waste plastic pyrolysis oil (WPPO). In Europe and North America, both academic and industrial sectors have actively investigated catalytic upgrading and hydroprocessing technologies to improve the quality of WPPO, driven by strict environmental regulations [15]. In the Republic of Korea, major petrochemical companies have actively pursued the development of technologies for producing lubricant base oils from WPPO. For instance, SK Innovation has leveraged its refining expertise to remove impurities from WPPO and successfully produced a prototype of Group III Plus grade high-quality lubricant base oil. Furthermore, the Korea Research Institute of Chemical Technology has developed specialized catalysts and reactors tailored for WPPO upgrading, overcoming the limitations of conventional commercial technologies, while the Korean Society of Environmental and Energy Engineering has conducted studies on continuous pyrolysis processes for lubricant base oil production.
Despite this progress, significant technical challenges remain in utilizing WPPO for lubricant base oil applications. WPPO exhibits considerable differences in physical and chemical properties compared to conventional petroleum-based feedstocks such as naphtha, including hydrocarbon distribution, olefin content, and impurity levels. Additionally, the quality of WPPO is highly dependent on the feedstock and pyrolysis conditions [1,16], and in many cases, oils produced by small-scale operators are of low quality and used primarily as fuel due to technological issues. WPPO typically contains a complex mixture of hydrocarbons along with substantial amounts of heteroatoms such as chlorine, sulfur, and nitrogen [17]. These impurities can deactivate catalysts and cause equipment corrosion, making their removal essential for downstream upgrading. Furthermore, lubricant base oils must meet stringent requirements, including high thermal stability, low-temperature fluidity, and oxidative stability [18]. To meet these specifications, the olefinic and branched components in WPPO must be converted into linear, saturated hydrocarbons through hydrogenation and isomerization reactions [1,19]. Therefore, hydroprocessing is employed to optimize the structural composition of the hydrocarbons in WPPO, enabling the production of high-quality lubricant base oils [20].
In this study, the physicochemical characteristics of WPPO were analyzed, and a hydroprocessing-based upgrading strategy was developed to convert WPPO into high-quality feedstocks for lubricant base oils. Specifically, the effects of boiling range separation, impurity removal, and structural transformation (via hydroisomerization and hydrogenation) were evaluated to achieve process conditions suitable for producing Group III or Group III Plus lubricant base oils. In particular, the influence of catalyst composition and hydroprocessing conditions on olefin-to-paraffin conversion efficiency, paraffin selectivity, and aromatic suppression in WPPO-derived products. The compositions and reaction conditions of Pt-supported catalysts (Pt/SAPO-11, Pt/SAPO-34, and Pt/Zeolite Y-100) were investigated to identify the optimal system for maximizing paraffin selectivity and minimizing olefins and aromatics.

2. Materials and Methods

WPPO was produced using a semi-commercial scale pyrolysis reactor with a processing capacity of 2 t per day. The plastic feedstock consisted of mixed, non-recyclable municipal waste plastics selectively collected and pretreated. The pyrolysis was conducted at 400 °C under a nitrogen atmosphere to ensure thermal decomposition of the plastic feedstock in an oxygen-free environment. The resulting condensable vapors were cooled and collected as liquid pyrolysis oil, which was stored in nitrogen-purged containers to prevent oxidative degradation prior to analysis.
Two distinct WPPO samples were utilized in this study. The first sample, referred to as the raw WPPO (SS1), was obtained directly after condensation without any post-treatment. The second sample, referred to as the distilled WPPO (SS1-D200), was produced by subjecting the raw oil to vacuum distillation at 200 °C. This distillation step aimed to remove light and volatile components, thereby enriching the heavy hydrocarbon fraction suitable for lubricant base oil production.
The physicochemical properties of both WPPO samples were characterized to evaluate their suitability for catalytic upgrading. The sulfur content was determined according to KS M ISO 8754:2003 [21], and the water content was measured using the Karl Fischer titration method in accordance with KS M ISO 3733:1999 [22]. The chlorine content was analyzed by KS M 2457:2003 [23], and density measurements were conducted following ASTM D4052-22 [24]. Metal impurities, including Cd, Cr, Pb, and As, were quantified via inductively coupled plasma atomic emission spectroscopy (ICP-AES, OPTIMA 7300 DV, Perkin-Elmer, Waltham, MA, USA) to assess their potential impact on catalyst activity and deactivation. The SS1-D200 sample was also identified using a GC-MS (6890N/5975C, Agilent Technologies, Santa Clara, CA, USA) instrument to determine the composition.
For the hydroprocessing experiments, a series of 1 wt % platinum-supported catalysts were prepared using the incipient wetness impregnation method. Aqueous chloroplatinic acid solution was impregnated onto acidic supports, including Pt/SAPO-11, SAPO-34, and zeolite Y with Si/Al ratios of 100 (Visionchemical Co., Ltd., Seongnam-si, Republic of Korea). The catalysts were dried at 120 °C for 12 h, calcined at 500 °C for 4 h in air, and subsequently reduced under a hydrogen stream at 350 °C.
The structural and acidic properties of the catalysts were analyzed using various characterization techniques. The surface area, pore volume, and pore size distribution were evaluated by N2 physisorption at 77 K using the Brunauer–Emmett–Teller (BET) and Barrett–Joyner–Halenda (BJH) methods. Acidity profiles were obtained via ammonia temperature-programmed desorption (NH3-TPD), and crystallinity was confirmed by X-ray diffraction (XRD).
Hydroprocessing reactions were carried out in a fixed-bed tubular reactor loaded with 2~20 g of catalyst. The WPPO feedstock was pumped at a liquid hourly space velocity (LHSV) of 1~2 h−1. The reaction conditions were varied, with temperatures ranging from 250 to 350 °C and hydrogen pressure maintained between 5 and 8 MPa. Hydrogen was supplied continuously at a volumetric H2/feed ratio of 500:1. Liquid products were collected after reaching steady-state operation.
The reaction conditions for hydroprocessing were systematically selected based on the physicochemical characteristics of WPPO and the catalytic requirements for olefin saturation and isomerization. The reaction temperature range (250–350 °C) was chosen to cover both the low-temperature hydrogenation and higher-temperature isomerization of long-chain hydrocarbons, while minimizing thermal cracking and coke formation. The hydrogen pressure was maintained between 5 and 8 MPa to promote the deep hydrogenation of unsaturated compounds and suppress catalyst deactivation. A liquid hourly space velocity (LHSV) of 1–2 h−1 was adopted to ensure sufficient residence time for catalytic transformation, considering the medium acidity of SAPO-based catalysts and the need to balance reaction extent and selectivity. The H2-to-oil ratio was fixed at 500:1 to provide excess hydrogen, facilitating complete olefin saturation and preventing coke accumulation on catalyst surfaces. These conditions reflect industrially relevant ranges and were optimized to evaluate the performance of each catalyst under realistic upgrading scenarios.
The feedstock (SS1-D200) and reaction products analyses were conducted using gas chromatography with a flame ionization detector (GC-FID, iGC7200A, DS Science, Gwangju-si, Republic of Korea) to quantify the olefin and paraffin contents [25]. In addition, thermogravimetric analysis (TGA, TGA N-1000, Scinco, Seoul, Republic of Korea) was used to assess the volatility and thermal stability of the WPPO samples before and after hydroprocessing. Approximately 50 mg of each sample was heated from 30 °C to 600 °C at a rate of 10 °C/min under a nitrogen flow (15 mL/min), and the resulting weight loss profiles were analyzed to infer the hydrocarbon distribution and boiling range characteristics.

3. Results and Discussion

3.1. Characterization of WPPO

In the experiment of converting WPPO into lubricating oil via a hydroprocessing catalyst reaction, the basic physicochemical analysis of the pyrolysis oil is an essential step. The physical and chemical properties of pyrolysis oil—such as sulfur content, metal content, water, chlorine content, density, distillation temperature, and chemical composition—directly influence catalytic efficiency and lubricating oil quality. These properties can vary depending on the type of plastic feedstock and the production process, which in turn significantly influence the performance and stability of the final product. Therefore, it is necessary to accurately determine the characteristics of the pyrolysis oil through basic physicochemical analysis.

3.1.1. Basic Property

Table 1 compares the properties of two types of WPPO samples: SS1 and SS1-D200. SS1 is the crude oil obtained directly from pyrolysis, while SS1-D200 is the heavy fraction collected after the vacuum distillation of SS1 at 200 °C, removing light volatiles and enriching heavier components. The analysis reveals significant differences in compositional profiles between the two samples. Notably, SS1-D200 exhibits a markedly higher initial boiling point (165.5 °C) and higher density (827.0 kg/m3) compared to the SS1 (IBP: 35.6 °C; density: 799.3 kg/m3), indicating a shift towards higher-molecular-weight constituents. The chlorine content is substantially reduced from 916 mg/kg to 197 mg/kg after distillation, suggesting effective separation of volatile, chlorine-containing compounds. These changes emphasize the impact of distillation on enhancing the suitability of feedstock for catalytic upgrading, particularly in applications such as lubricant base oil production, where thermal stability and metal-free characteristics are crucial.

3.1.2. TGA

As shown in Figure 1, the thermogravimetric analysis (TGA) curves of SS1 and SS1-D200 are presented. TGA analysis revealed that SS1 exhibited a significant weight loss starting at approximately 100 °C, indicating the presence of light and volatile components. In contrast, SS1-D200 showed a more stable thermal profile with major weight loss commencing above 200 °C. The remaining weights of SS1 and SS1-D200 at 200 °C were 47.1% and 85.7%, respectively. This enhanced thermal stability of SS1-D200 confirms the effective removal of low-boiling compounds through distillation and indicates its greater suitability as a feedstock for lubricant base oil production.

3.1.3. GC-MS Analysis

To evaluate the chemical composition relevant to downstream hydroprocessing, gas chromatography–mass spectrometry (GC-MS) analysis was performed. Based on the identified compounds, a structural classification was conducted, and the recalculated area percentages were summarized by compound type.
Table 2 shows the GC-MS-based structural composition of SS1-D200. The GC-MS analysis revealed that SS1-D200 predominantly consists of normal paraffins (63.00%), with smaller fractions of naphthenes (15.17%), olefins (12.84%), and isoparaffins (7.55%), and a trace fraction of other compounds (1.46%). The predominance of normal paraffins indicates a high potential for producing linear hydrocarbon chains, which are desirable for lubricant base oil applications due to their favorable viscosity and thermal stability characteristics.
The presence of olefins suggests that additional saturation through catalytic hydroprocessing is necessary to improve oxidative stability and achieve the target paraffin-rich composition [27]. The relatively high content of naphthenes also contributes to enhancing the viscosity index of the final product.

3.2. Characterization of Catalyst

3.2.1. BET Adsorption and Desorption Isotherms

The textural properties of the prepared catalysts were evaluated using nitrogen adsorption–desorption isotherms at 77 K. The Brunauer–Emmett–Teller (BET) method was employed to determine the specific surface area (BET), while the Barrett–Joyner–Halenda (BJH) model was used to calculate the pore volume and pore size distribution from the desorption branch of the isotherms.
The results revealed distinct differences in surface and pore characteristics among the catalysts (see Table 3). Pt/Y-100 exhibited the highest specific surface area of 628.7 m2/g, followed by SAPO-34 (517.96 m2/g). Pt/SAPO-11 and Pt/SAPO-34 showed lower total pore volumes (0.27 cm3/g and 0.26 cm3/g, respectively), with Pt/SAPO-34 exhibiting a strong microporous character as indicated by a high Vmicro value of 0.18 cm3/g.
In terms of pore size, Pt/SAPO-11 demonstrated the largest average pore diameter (19.6 nm), suggesting its suitability for larger molecule diffusion during catalytic reactions. Conversely, Pt/SAPO-34 and Pt/Y-100 presented smaller pore sizes of 10.1 nm and 9.7 nm, respectively, reflecting their predominantly microporous structures. These textural characteristics significantly influence the catalytic behavior of each material, particularly in reactions involving bulky hydrocarbon molecules such as those present in WPPO.

3.2.2. NH3-TPD Analysis

The acidity profiles of the Pt-supported catalysts were analyzed by NH3-temperature programmed desorption (NH3-TPD) to determine the quantity and strength of acid sites, which play a critical role in hydroprocessing reactions. The desorption peaks were categorized into two regions—weak acid sites (desorption below ~250 °C) and strong acid sites (desorption above ~250 °C)—corresponding to physically and chemically adsorbed ammonia, respectively (see Table 4).
Pt/SAPO-34 exhibited the highest total acidity among all the tested catalysts (0.970 mmol/g), largely attributed to its abundant strong acid sites (0.578 mmol/g at 417 °C). This suggests a potential for high reactivity, particularly in cracking and isomerization reactions. Pt/SAPO-11 demonstrated relatively moderate acidity (0.433 mmol/g) compared to the strongly acidic Pt/SAPO-34.
Among the Y-type zeolites, Zeolite Y(30) exhibited greater acidity than Y(100), both in weak (0.094 vs. 0.038 mmol/g) and strong acid sites (0.249 vs. 0.177 mmol/g), indicating that the Si/Al ratio significantly affects the acid site density. These variations in acidity are expected to influence catalytic performance in olefin hydrogenation and cracking reactions during the hydroprocessing of WPPO.

3.2.3. XRD Analysis

X-ray diffraction (XRD) analysis was conducted to investigate the crystalline structure and phase integrity of the Pt-supported catalysts. The XRD patterns revealed characteristic diffraction peaks corresponding to the parent zeolite and SAPO frameworks, confirming that the metal impregnation and thermal treatment processes did not alter the crystallinity of the supports (see Figure 2).
Pt/SAPO-11 exhibited distinct peaks at 2θ = 13.6°, 19.2°, and 23.9°, which are consistent with its AEL framework [28]. Pt/SAPO-34 showed diffraction peaks near 2θ = 9.5°, 16.1°, and 24.2°, typical of its CHA-type microporous structure [29]. Pt/Y-100 displayed characteristic peaks around 2θ = 6.2°, 15.5°, 23.6°, and 31.0°, attributed to their FAU-type structure [30].

3.3. Hydroprocessing Results

3.3.1. Hydroprocessing of SS1-D200 Using Pt/SAPO-11 Catalyst

Hydroprocessing reactions were conducted using a Pt/SAPO-11 catalyst under a constant hydrogen pressure of 60 bar and a fixed liquid hourly space velocity (LHSV) of 2 h−1, with reaction temperatures ranging from 300 °C to 400 °C. The oil yield remained high (>95%) across all temperatures, with a slight decrease observed at higher temperatures. This result suggests minimal hydrocracking loss and high catalytic stability of Pt/SAPO-11 under the applied conditions (see Table 5).
A peak yield of 98% was maintained at 300 °C and 330 °C, indicating that these conditions are optimal for maximizing product recovery while avoiding excessive thermal degradation. At 400 °C, a slight decrease in yield was noted (95.9%), potentially due to light gas formation or coke deposition.
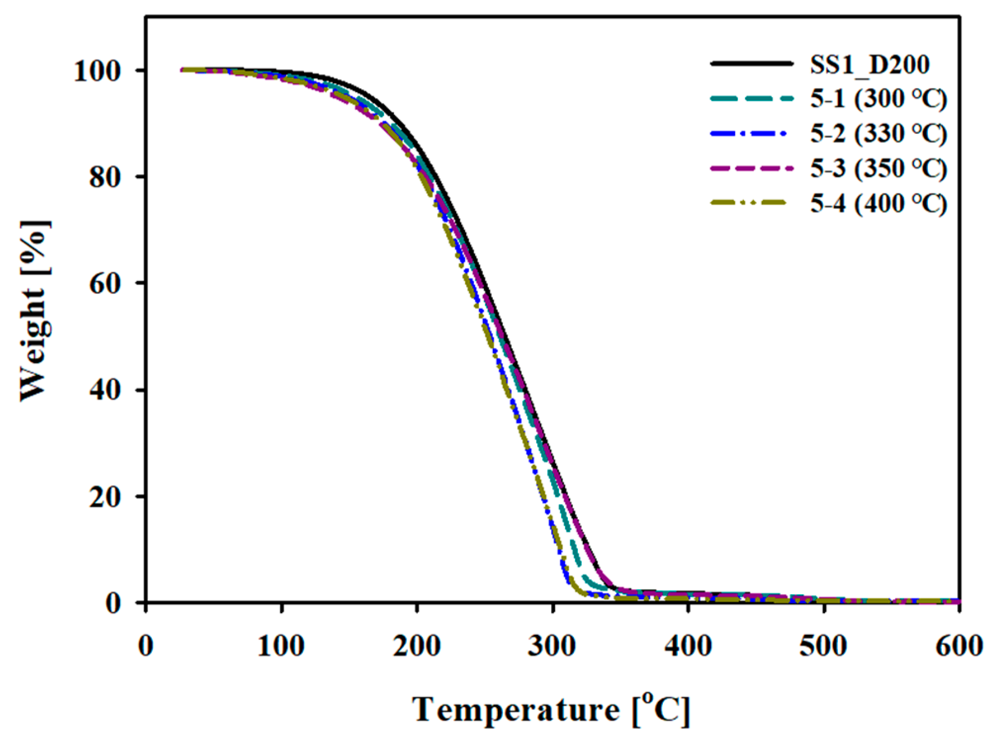
The TGA results confirm the enhancement in the thermal stability of the hydroprocessed oil. As shown in Figure 3, the Pt/SAPO-11-treated oil exhibited a delayed onset of weight loss, with major volatilization starting above 250 °C. This indicates effective conversion of light olefins into more thermally stable paraffinic hydrocarbons.
Compared to the SS1-D200, for which significant weight loss began near 100 °C, the Pt/SAPO-11-treated sample demonstrates a broadened and elevated boiling range, suggesting improved suitability for lubricant base oil production (see Figure 4). This thermal behavior is consistent with the compositional shift toward higher-molecular-weight paraffins as identified in the GC-MS results.
Gas chromatography with flame ionization detection (GC-FID) was used to quantify the hydrocarbon group composition of the liquid products obtained from hydroprocessing reactions using the Pt/SAPO-11 catalyst. This analysis enables the assessment of olefin saturation efficiency and the extent of paraffin formation, which are critical for determining the quality of the lubricant base oil [31].
The GC-FID chromatograms revealed a significant shift in hydrocarbon distribution after hydroprocessing. SS1-D200 exhibited a broad range of peaks corresponding to olefinic and unsaturated hydrocarbons, particularly in the C10–C20 range. In contrast, the hydroprocessed oil demonstrated a noticeable reduction in olefin peaks and a marked increase in saturated paraffinic hydrocarbons, especially within the C15–C25 range. This compositional change clearly indicates effective catalytic hydrogenation of olefins into paraffins, contributing to improved oxidative and thermal stability of the final product [32]. The degree of olefin conversion was found to increase with reaction temperature, consistent with the trends observed in TGA and product yield measurements.

3.3.2. Hydroprocessing of WPPO Using Pt/SAPO-34 Catalyst

Hydroprocessing experiments using the Pt/SAPO-34 catalyst were conducted at a constant hydrogen pressure of 40 bar and LHSV of 2 h−1, with reaction temperatures ranging from 250 °C to 330 °C. The yield of liquid product ranged from 86.7% to 89.8%, which is slightly lower than that of Pt/SAPO-11 under similar conditions (see Table 6).
The highest oil yield was observed at 250 °C, suggesting that Pt/SAPO-34 operates more efficiently at lower temperatures, likely due to its strong acidity and microporous nature. As the temperature increased to 330 °C, a minor decrease in yield was recorded, indicating potential cracking into light gases or increased coke formation.
Compared to Pt/SAPO-11, Pt/SAPO-34 exhibited a higher total acidity as measured by NH3-TPD, which may contribute to enhanced cracking and isomerization. This makes Pt/SAPO-34 particularly suitable for adjusting hydrocarbon chain structure, although care must be taken to prevent excessive yield loss.
Figure 5 displays the GC-FID chromatograms of the hydroprocessed oil produced using the Pt/SAPO-34 catalyst. Similar to the Pt/SAPO-11 results, a significant decrease in olefin content and an increased distribution of paraffinic hydrocarbons in the C15–C25 range were observed. Specifically, unsaturated hydrocarbons were converted into saturated paraffinic hydrocarbons through olefin hydrogenation under comparable reaction conditions.
However, compared to Pt/SAPO-11, Pt/SAPO-34-treated oil showed a slightly broader peak distribution, suggesting a more diverse range of hydrocarbon structures. This is consistent with the higher acidity and pore confinement effects of Pt/SAPO-34, facilitating complex transformations during hydroprocessing.

3.3.3. Hydroprocessing of WPPO Using Pt/Y-100 Catalyst

Hydroprocessing reactions using the Pt/Y-100 catalyst were performed at a constant hydrogen pressure of 40 bar and an LHSV of 2 h−1, with reaction temperatures ranging from 250 to 400 °C (see Figure 6). Overall, the Pt/Y-100 catalyst exhibited excellent liquid product yields under all conditions, with notably high values of 98.1% and 100% at 250 °C and 400 °C, respectively (see Table 7).
The Pt/Y-100 catalyst consistently facilitated high paraffin formation across all the tested temperatures. The highest yield of normal paraffins (88.65%) was observed at 300 °C, exceeding those obtained using Pt/SAPO-11 and Pt/SAPO-34 under similar conditions. Aromatics and olefins were nearly eliminated (<0.59%), suggesting effective hydrogenation and suppression of unsaturated hydrocarbons. This characteristic is advantageous for enhancing the oxidative and thermal stability of the final lubricant base oil product.
As the reaction temperature increased, the content of isoparaffins and cycloparaffins also showed a gradual rise, with values reaching 7.52% and 7.02%, respectively, at 400 °C. These shifts indicate the occurrence of isomerization and cyclization reactions at elevated temperatures, reflecting the flexible acid site activity and pore structure of the USY framework.
The GC-FID chromatograms revealed a significant transformation in hydrocarbon composition after hydroprocessing with the Pt/Y-100 catalyst. Compared to the raw pyrolysis oil (SS1-D200), the hydroprocessed sample displayed near-complete elimination of olefinic peaks and a pronounced enrichment of saturated hydrocarbons, especially in the C15–C25 range. These results indicate that Pt/Y-100 exhibited high hydrogenation activity, with effective olefin conversion and paraffin formation observed under the tested conditions.
In conclusion, while SAPO-11 demonstrated strong thermal stability and product retention, and Pt/SAPO-34 offered enhanced isomerization capabilities due to its higher acidity, the Pt/Y-100 catalyst achieved the highest degree of olefin saturation and minimal aromatic retention, making it a highly promising candidate for high-quality feedstocks for lubricant base oil production from WPPO. Additional upgrading steps, such as isomerization and distillation, are expected to be necessary in future work to meet the specifications required for actual lubricant base oil applications.

4. Conclusions

This study evaluated the applicability of hydroprocessing for converting WPPO into high-quality feedstock for lubricant base oils. The distilled WPPO exhibited improved feed characteristics, with the initial boiling point increasing from 35.6 °C to 165.5 °C, density rising from 799.3 kg/m3 to 827.0 kg/m3, and chlorine content significantly reduced from 916 mg/kg to 197 mg/kg. These changes indicate enhanced suitability for catalytic upgrading.
Hydroprocessing was conducted using Pt-supported catalysts—Pt/SAPO-11, Pt/SAPO-34, and Pt/Y-100—under reaction temperatures ranging from 250 °C to 400 °C. The catalytic performance varied by catalyst type and temperature, affecting olefin saturation, isomerization, and cyclization behaviors. Among them, Pt/Y-100 exhibited the best performance, achieving 88.65% normal paraffins and near-complete removal of aromatics and olefins (<0.01%) at 300 °C, indicating its high selectivity toward saturated hydrocarbons.
Oil yields were maintained between 86.7% and 100.0% across all conditions, and TGA confirmed improved thermal stability, with the 10% weight-loss temperature shifting above 250 °C after hydroprocessing. GC-FID analysis further revealed that paraffinic hydrocarbons became the dominant product components.
These results demonstrate the technical feasibility of converting WPPO into feedstocks for lubricant base oils through catalytic hydroprocessing. The findings contribute to the development of value-added recycling pathways for plastic waste and offer a foundation for catalyst optimization and process scale-up for industrial applications.

Author Contributions

Conceptualization, S.H.K.; Validation, H.S.J.; Formal analysis, J.H.K. and H.S.J.; Investigation, J.H.J. and H.J.K.; Data curation, H.J.K. and J.E.L.; Writing—original draft, J.H.J.; Writing—review and editing, J.E.L.; Visualization, J.H.K.; Supervision, S.H.K. All authors have read and agreed to the published version of the manuscript.

Funding

This work was supported by the Korea Environment Industry & Technology Institute (KEITI) through the Technology Development Project for Producing Material and Fuel of Waste Plastic Program funded by the Korea Ministry of Climate, Energy and Environment (MCEE) (2022003490004).

Institutional Review Board Statement

Not applicable.

Informed Consent Statement

Not applicable.

Data Availability Statement

The dataset is available on request from the authors.

Conflicts of Interest

The authors declare no conflicts of interest.

References

  1. Kusenberg, M.; Zayoud, A.; Roosen, M.; Thi, H.D.; Abbas-Abadi, M.S.; Eschenbacher, A.; Kresovic, U.; De Meester, S.; Van Geem, K.M. A Comprehensive Experimental Investigation of Plastic Waste Pyrolysis Oil Quality and Its Dependence on the Plastic Waste Composition. Fuel Process. Technol. 2022, 227, 107090. [Google Scholar] [CrossRef]
  2. Redko, V.; Wolska, L.; Potrykus, M.; Olkowska, E.; Cieszyńska-Semenowicz, M.; Tankiewicz, M. Environmental Impacts of 5-Year Plastic Waste Deposition on Municipal Waste Landfills: A Follow-up Study. Sci. Total Environ. 2024, 906, 167710. [Google Scholar] [CrossRef]
  3. Kumar, R.; Verma, A.; Shome, A.; Sinha, R.; Sinha, S.; Jha, P.K.; Kumar, R.; Kumar, P.; Shubham; Das, S.; et al. Impacts of Plastic Pollution on Ecosystem Services, Sustainable Development Goals, and Need to Focus on Circular Economy and Policy Interventions. Sustainability 2021, 13, 9963. [Google Scholar] [CrossRef]
  4. Sharma, S.; Sharma, V.; Chatterjee, S. Contribution of Plastic and Microplastic to Global Climate Change and Their Conjoining Impacts on the Environment—A Review. Sci. Total Environ. 2023, 875, 162627. [Google Scholar] [CrossRef]
  5. Kittithammavong, V.; Khanitchaidecha, W.; Thongsanit, P. CO2 Emissions from Plastic Consumption Behaviors in Thailand. Sustainability 2023, 15, 12135. [Google Scholar] [CrossRef]
  6. Gabisa, E.W.; Ratanatamskul, C.; Gheewala, S.H. Recycling of Plastics as a Strategy to Reduce Life Cycle GHG Emission, Microplastics and Resource Depletion. Sustainability 2023, 15, 11529. [Google Scholar] [CrossRef]
  7. Amendment to the Enforcement Rules of the Waste Control Act. Available online: https://www.mcee.go.kr/home/web/board/read.do;jsessionid=Z_3HEjjNgeK7IWKGsB6vKGUzXvuIXvFlkCSmLW0M.mehome2?pagerOffset=4000&maxPageItems=10&maxIndexPages=10&searchKey=&searchValue=&menuId=10525&orgCd=&boardId=1511680&boardMasterId=1&boardCategoryId=&decorator= (accessed on 20 February 2026).
  8. National Strategy for Waste Plastic Pyrolysis Activation. Available online: https://mcee.go.kr/home/web/board/read.do;jsessionid=FRyW2je2AFTWanXXA9yWC7GIFqHXrrzCDzpo9NiN.mehome1?pagerOffset=150&maxPageItems=10&maxIndexPages=10&searchKey=title&searchValue=&menuId=286&orgCd=&condi-tion.createDeptName=%EB%85%B9%EC%83%89%EC%82%B0%EC%97%85&boardMasterId=1&boardCategoryId=&boardId=1498660&decorator= (accessed on 20 February 2026).
  9. Koti, A.; Khongprom, P.; Ratanawilai, S. Catalytic Pyrolysis Oil from Landfilled Plastics Through Ni/HZSM-5 and Co/HZSM-5 Catalysts. ACS Omega 2025, 10, 5744–5755. [Google Scholar] [CrossRef]
  10. Rahman, M.H.; Bhoi, P.R.; Menezes, P.L. Pyrolysis of Waste Plastics into Fuels and Chemicals: A Review. Renew. Sustain. Energy Rev. 2023, 188, 113799. [Google Scholar] [CrossRef]
  11. Karaba, A.; Le, T.A.; Patera, J.; Suková, M.; Suchopa, R.; Herink, T.; Zámostný, P. Waste Plastic Pyrolysis Oils Are Promising Feedstock for Sustainable Monomers Production via Steam Cracking Process. J. Anal. Appl. Pyrolysis. 2025, 186, 106950. [Google Scholar] [CrossRef]
  12. Goculdas, T.; Yuliu, Z.; Sadula, S.; Zheng, W.; Saha, B.; Nanduri, A.; Ierapetritou, M.; Vlachos, D.G. Process Intensified Lauric Acid Self-Ketonization and Its Economic and Environmental Impact on Biolubricant Base Oil Production. Green Chem. 2024, 26, 8818–8830. [Google Scholar] [CrossRef]
  13. Nowak, P.; Kucharska, K.; Kaminski, M.A. The New Test Procedure for Group-Type Composition of Base Oils of Lubricating Oils, Especially Emitted into the Environment. Energies 2020, 13, 3772. [Google Scholar] [CrossRef]
  14. Pichler, J.; Maria Eder, R.; Besser, C.; Pisarova, L.; Dörr, N.; Marchetti-Deschmann, M.; Frauscher, M. A Comprehensive Review of Sustainable Approaches for Synthetic Lubricant Components. Green Chem. Lett. Rev. 2023, 16, 2185547. [Google Scholar] [CrossRef]
  15. Chang, S.H. Plastic Waste as Pyrolysis Feedstock for Plastic Oil Production: A Review. Sci. Total Environ. 2023, 877, 162719. [Google Scholar] [CrossRef] [PubMed]
  16. Kusenberg, M.; Eschenbacher, A.; Djokic, M.R.; Zayoud, A.; Ragaert, K.; De Meester, S.; Van Geem, K.M. Opportunities and Challenges for the Application of Post-Consumer Plastic Waste Pyrolysis Oils as Steam Cracker Feedstocks: To Decontaminate or Not to Decontaminate? Waste Manag. 2022, 138, 83–115. [Google Scholar] [CrossRef]
  17. Hao, Q.; Yang, Z.; Wu, B.; Zhu, J.; Li, Z.; Liu, J.; Ma, L. Study on the Deactivation of Ni-Based Catalyst in the Hydrotreating Process of Waste Plastic Pyrolysis Oil. J. Anal. Appl. Pyrolysis 2022, 168, 105789. [Google Scholar] [CrossRef]
  18. Erhan, S.Z.; Sharma, B.K.; Perez, J.M. Oxidation and Low Temperature Stability of Vegetable Oil-Based Lubricants. Ind. Crops Prod. 2006, 24, 292–299. [Google Scholar] [CrossRef]
  19. Prasannakumar, P.; Sankarannair, S.; Prasad, G.; Hari Krishna, P.H.; Pranav, S.; Vivek, P.; Sidharth, S.; Shanmugam, R. Bio-Based Additives in Lubricants: Addressing Challenges and Leveraging for Improved Performance Toward Sustainable Lubrication. Biomass Convers. Biorefin. 2025, 15, 17969–17997. [Google Scholar] [CrossRef]
  20. Ilyin, S.O.; Makarova, V. V Bio-Oil: Production, Modification, and Application. Chem. Technol. Fuels Oils 2022, 58, 29–44. [Google Scholar] [CrossRef]
  21. KS M ISO 8754:2003; Petroleum Products—Determination of Sulfur Content—Energy Dispersive X-Ray Fluorescence Method. Korean Standards Association: Seoul, Republic of Korea, 2003.
  22. KS M ISO 3733:1999; Petroleum Products and Bituminous Materials—Determination of Water—Distillation Method. Korean Standards Association: Seoul, Republic of Korea, 1999.
  23. KS M ISO 2457:2003; Test Method for Chlorine Content of Light and Middle Distillates by Oxidative Microcoulometry. Korean Standards Association: Seoul, Republic of Korea, 2003.
  24. ASTM D4052-22; Standard Test Method for Density and Relative Density of Liquids by Digital Density Meter. ASTM International: West Conshohocken, PA, USA, 2022.
  25. Lee, J.E.; Jang, H.S.; Yun, Y.J.; Han, G.B.; Park, Y.K.; Yang, Y.C.; Jang, J.H. Application of the Hydrodeoxygenation of Black Soldier Fly Larvae Lipids in Green Diesel Production. Sustainability 2024, 16, 584. [Google Scholar] [CrossRef]
  26. ASTM D2887-22; Standard Test Method for Boiling Range Distribution of Petroleum Fractions by Gas Chromatography. ASTM International: West Conshohocken, PA, USA, 2022.
  27. Abbas, H.A.; Pour, Z.A.; Alnafisah, M.S.; Cortes, P.G.; El Hariri El Nokab, M.; Elshewy, A.; Sebakhy, K.O. Enhanced Catalytic Hydrogenation of Olefins in Sulfur-Rich Naphtha Using Molybdenum Carbide Supported on γ-Al2O3 Spheres under Steam Conditions: Simulating the Hot Separator Stream Process. Materials 2024, 17, 2278. [Google Scholar] [CrossRef]
  28. Mériaudeau, P.; Tuan, V.A.; Lefebvre, F.; Nghiem, V.T.; Naccache, C. Isomorphous Substitution of Silicon in the AlPO4 Framework with AEL Structure: N-Octane Hydroconversion 1. Microporous Mesoporous Mater. 1998, 22, 435–449. [Google Scholar] [CrossRef]
  29. Nawaz, Z.; Tang, X.; Zhang, Q.; Wang, D.; Fei, W. SAPO-34 Supported Pt-Sn-Based Novel Catalyst for Propane Dehydrogenation to Propylene. Catal. Commun. 2009, 10, 1925–1930. [Google Scholar] [CrossRef]
  30. Kim, M.R.; Kim, S. Enhanced Catalytic Oxidation of Toluene over Hierarchical Pt/Y Zeolite. Catalysts 2022, 12, 622. [Google Scholar] [CrossRef]
  31. Lee, S.; Palacio Lozano, D.C.; Jones, H.E.; Shin, K.; Barrow, M.P. Characterization of Mineral and Synthetic Base Oils by Gas Chromatography-Mass Spectrometry and Fourier Transform Ion Cyclotron Resonance Mass Spectrometry. Energy Fuels 2022, 36, 13518–13525. [Google Scholar] [CrossRef] [PubMed]
  32. Murru, C.; Badía-Laíño, R.; Díaz-García, M.E. Oxidative Stability of Vegetal Oil-Based Lubricants. ACS Sustain. Chem. Eng. 2021, 9, 1459–1476. [Google Scholar] [CrossRef] [PubMed]
Figure 1. TGA curves of SS1 and SS1-D200. The dashed line indicates the point where rapid weight loss occurs (200 °C).
Figure 1. TGA curves of SS1 and SS1-D200. The dashed line indicates the point where rapid weight loss occurs (200 °C).
Sustainability 18 02655 g001
Figure 2. X-ray diffraction (XRD) patterns of Pt-supported catalysts.
Figure 2. X-ray diffraction (XRD) patterns of Pt-supported catalysts.
Sustainability 18 02655 g002
Figure 3. Thermogravimetric analysis (TGA) profiles of SS1-D200 and hydroprocessed oil produced using Pt/SAPO-11.
Figure 3. Thermogravimetric analysis (TGA) profiles of SS1-D200 and hydroprocessed oil produced using Pt/SAPO-11.
Sustainability 18 02655 g003
Figure 4. GC-FID chromatograms of SS1-D200 and hydroprocessed oil produced using Pt/SAPO-11 catalyst.
Figure 4. GC-FID chromatograms of SS1-D200 and hydroprocessed oil produced using Pt/SAPO-11 catalyst.
Sustainability 18 02655 g004
Figure 5. GC-FID chromatograms of pyrolysis oil (SS1-D200) and hydroprocessed oil produced using Pt/SAPO-34 catalyst.
Figure 5. GC-FID chromatograms of pyrolysis oil (SS1-D200) and hydroprocessed oil produced using Pt/SAPO-34 catalyst.
Sustainability 18 02655 g005
Figure 6. GC-FID chromatograms of pyrolysis oil (SS1-D200) and hydroprocessed oil produced using Pt/Y-100 catalyst.
Figure 6. GC-FID chromatograms of pyrolysis oil (SS1-D200) and hydroprocessed oil produced using Pt/Y-100 catalyst.
Sustainability 18 02655 g006
Table 1. Physicochemical properties of SS1 and SS1-D200.
Table 1. Physicochemical properties of SS1 and SS1-D200.
Test ItemUnitResultTest Method
SS1SS1-D200
Sulfur Content(m/m)%<0.030<0.030KS M ISO 8754:2003 [21]
Cdmg/kg<1<1ICP-AES (OPTIMA 7300 DV, Perkin-Elmer: Waltham, MA, USA)
Crmg/kg<1<1
Pbmg/kg<1<1
Asmg/kg<1<1
Water Content(v/v)%<0.1<0.1KS M ISO 3733:1999 [22]
Chlorine Contentmg/kg916197KS M 2457:2003 [23]
Density (15 °C)kg/m3799.3827.0ASTM D4052-22 [24]
Initial Boiling Point (IBP)°C35.6165.5ASTM D2887-22 [26]
5% Recovery Temperature°C70.5235.4
10% Recovery Temperature°C100.2250.9
20% Recovery Temperature°C135.7270.2
30% Recovery Temperature°C161.9284
40% Recovery Temperature°C195.7296.8
50% Recovery Temperature°C231.6308.5
60% Recovery Temperature°C267.4320.3
70% Recovery Temperature°C302.8337.9
80% Recovery Temperature°C344.1357.2
90% Recovery Temperature°C390.8384.9
95% Recovery Temperature°C422.2412.6
Final Boiling Point (FBP)°C483.4491.0
Table 2. Structural classification of SS1-D200 based on GC-MS analysis.
Table 2. Structural classification of SS1-D200 based on GC-MS analysis.
Structure CategoryRecalculated Area Pct (%)
Normal Paraffins63.00
Isoparaffins7.55
Olefins12.84
Naphthenes15.17
Others1.46
Note 1: Area percentages were recalculated by excluding hexane (solvent) and normalizing the sum of remaining components to 100%. Note 2: The structural category is based on GC-MS library matching, which makes it semi-quantitative, especially when distinguishing between olefins and paraffins.
Table 3. Textural properties of Pt-supported catalysts determined by BET and BJH methods.
Table 3. Textural properties of Pt-supported catalysts determined by BET and BJH methods.
CatalystSBET
(m2/g)
Sext
(m2/g)
Vtotal
(cm3/g)
Vmicro(cm3/g)Vmeso
(cm3/g)
DBJH
(nm)
Pt/SAPO-11310.645.30.270.100.1719.6
Pt/SAPO-34517.9641.90.260.180.0810.1
Pt/Y-100628.7103.90.460.200.269.7
SBET: specific surface area; Sext: external surface area; Vtotal: total pore volume; Vmicro: micropore volume; Vmeso: mesopore volume; DBJH: average pore diameter.
Table 4. Acidity profiles of Pt-supported catalysts as measured by NH3-TPD. Acid sites are categorized by desorption temperature ranges representing weak and strong acidity.
Table 4. Acidity profiles of Pt-supported catalysts as measured by NH3-TPD. Acid sites are categorized by desorption temperature ranges representing weak and strong acidity.
Weak Acid Sites
(mmol/g (°C))
Strong Acid Sites
(mmol/g (°C))
Total Acidity
(mmol/g)
Pt/SAPO-110.238 (212)0.195 (451)0.433
Pt/SAPO-340.392 (190)0.578 (417)0.970
Pt/Y-1000.038 (190)0.177 (334)0.215
Table 5. Hydroprocessing results for SS1-D200 using Pt/SAPO-11 catalyst under various reaction temperatures.
Table 5. Hydroprocessing results for SS1-D200 using Pt/SAPO-11 catalyst under various reaction temperatures.
Pressure (bar)LHSV
(h−1)
Temperature (°C)Oil Yield (%)Composition (%)
Normal
Paraffins
IsoparaffinsCycloparaffinsAromaticsOlefinsEtc.
602.030098.088.933.486.980.62<0.01<0.01
602.033098.086.685.007.550.77<0.01<0.01
602.035096.387.743.777.461.03<0.01<0.01
602.040095.988.133.336.630.99<0.010.92
Table 6. Hydroprocessing results of WPPO produced using Pt/SAPO-34 catalyst under various reaction temperatures.
Table 6. Hydroprocessing results of WPPO produced using Pt/SAPO-34 catalyst under various reaction temperatures.
Pressure (bar)LHSV
(h−1)
Temperature (°C)Oil Yield (%)Composition (%)
Normal
Paraffins
IsoparaffinsCycloparaffinsAromaticsOlefinsEtc.
402.025089.872.967.025.970.91<0.0113.13
402.030086.786.846.335.831.00<0.01<0.01
402.033087.582.144.175.340.947.41<0.01
Table 7. Hydroprocessing results of WPPO produced using Pt/Y-100 catalyst under various reaction conditions.
Table 7. Hydroprocessing results of WPPO produced using Pt/Y-100 catalyst under various reaction conditions.
Pressure (bar)LHSV
(h−1)
Temperature (°C)Oil Yield (%)Composition (%)
Normal ParaffinsIsoparaffinsCycloparaffinsAromaticsOlefinsEtc.
402.025098.186.764.856.290.00<0.012.10
402.030094.088.655.156.200.00<0.01<0.01
402.035099.186.256.635.600.59<0.010.93
402.0400100.084.877.527.020.59<0.01<0.01
Disclaimer/Publisher’s Note: The statements, opinions and data contained in all publications are solely those of the individual author(s) and contributor(s) and not of MDPI and/or the editor(s). MDPI and/or the editor(s) disclaim responsibility for any injury to people or property resulting from any ideas, methods, instructions or products referred to in the content.

Share and Cite

MDPI and ACS Style

Jang, J.H.; Kim, H.J.; Kim, J.H.; Lee, J.E.; Jang, H.S.; Kang, S.H. Evaluation of Waste-Plastic Pyrolysis Oil as a Potential Feedstock for Lubricant Base Oil Production via Hydroprocessing. Sustainability 2026, 18, 2655. https://doi.org/10.3390/su18052655

AMA Style

Jang JH, Kim HJ, Kim JH, Lee JE, Jang HS, Kang SH. Evaluation of Waste-Plastic Pyrolysis Oil as a Potential Feedstock for Lubricant Base Oil Production via Hydroprocessing. Sustainability. 2026; 18(5):2655. https://doi.org/10.3390/su18052655

Chicago/Turabian Style

Jang, Jung Hee, Hyun Ji Kim, Jin Ho Kim, Ji Eun Lee, Hyun Sung Jang, and Suk Hwan Kang. 2026. "Evaluation of Waste-Plastic Pyrolysis Oil as a Potential Feedstock for Lubricant Base Oil Production via Hydroprocessing" Sustainability 18, no. 5: 2655. https://doi.org/10.3390/su18052655

APA Style

Jang, J. H., Kim, H. J., Kim, J. H., Lee, J. E., Jang, H. S., & Kang, S. H. (2026). Evaluation of Waste-Plastic Pyrolysis Oil as a Potential Feedstock for Lubricant Base Oil Production via Hydroprocessing. Sustainability, 18(5), 2655. https://doi.org/10.3390/su18052655

Note that from the first issue of 2016, this journal uses article numbers instead of page numbers. See further details here.

Article Metrics

Back to TopTop