Screening and Culture Condition Optimization of a Catalpol-Producing Brevundimonas olei
Abstract
1. Introduction
2. Materials and Methods
2.1. Experimental Materials and Media
2.2. Sample Processing and Endophyte Isolation
2.3. Screening by Vanillin–Sulfuric Acid Colorimetric Assay and Construction of the Catalpol Standard Curve
2.4. Catalpol Identification
2.4.1. HPLC Analysis
2.4.2. LC-MS Analysis
2.5. Strain Identification
2.6. Optimization of Culture Conditions
2.6.1. Single-Factor Cultivation Experiments
2.6.2. Response Surface Optimization
2.7. Analysis of Catalpol Production and pH Variation in the Culture Medium
2.8. Statistical Analysis
3. Results
3.1. Isolation and Preliminary Screening of Endophytic Bacteria from R. glutinosa
3.2. Identification by HPLC and LC-MS
3.3. Identification and Phylogenetic Analysis of Strain DH14
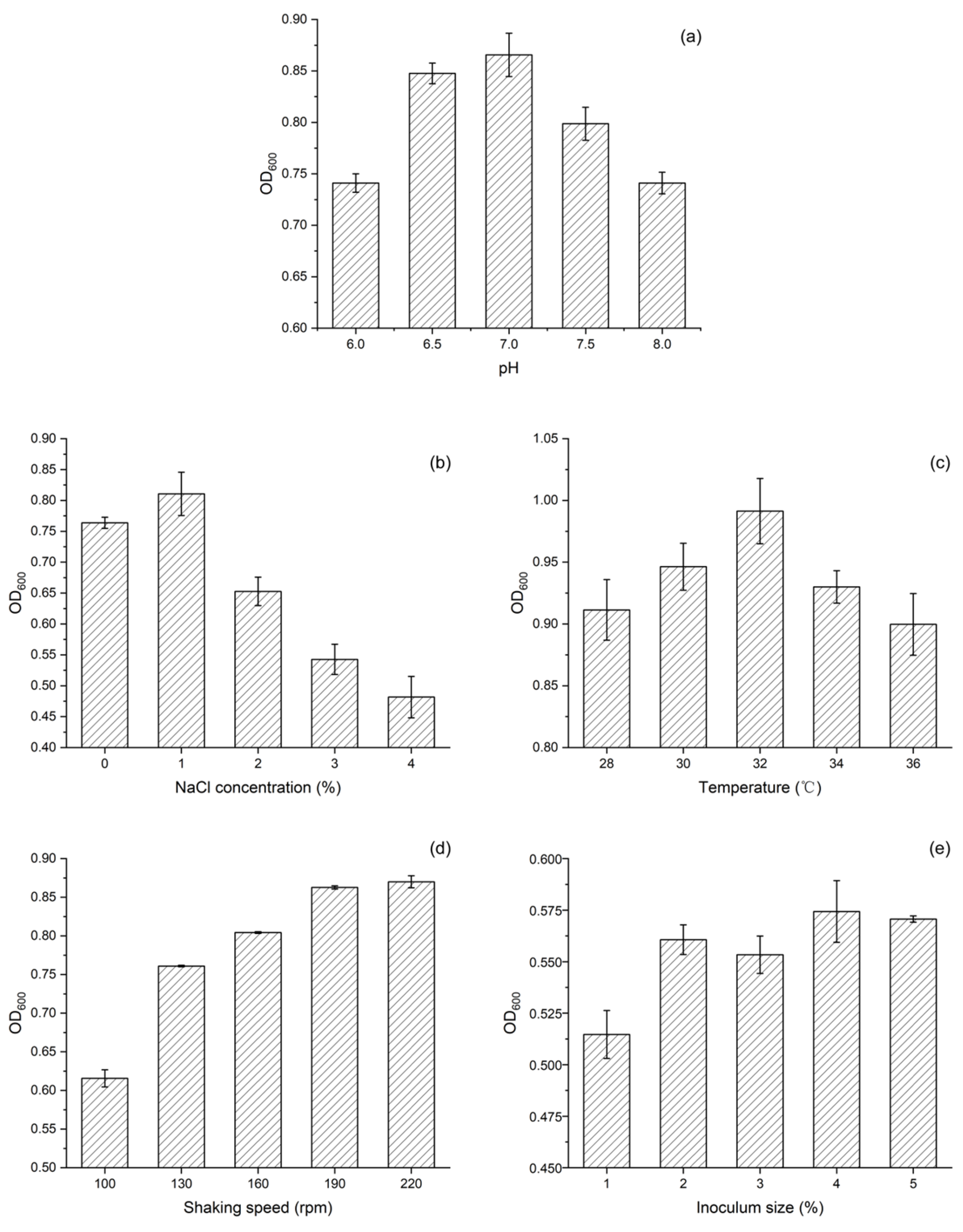
3.4. Optimization of Culture Conditions by Single-Factor Experiments
3.5. Response Surface Analysis
3.6. Correlation Between Catalpol Production and pH Variation of Fermentation Broth
4. Discussion
5. Conclusions
Author Contributions
Funding
Institutional Review Board Statement
Informed Consent Statement
Data Availability Statement
Conflicts of Interest
References
- Jia, J.; Chen, J.; Wang, G.; Li, M.; Zheng, Q.; Li, D. Progress of research into the pharmacological effect and clinical application of the traditional Chinese medicine Rehmanniae radix. Biomed. Pharmacother. 2023, 168, 115809. [Google Scholar] [CrossRef]
- Bhattamisra, S.K.; Koh, H.M.; Lim, S.Y.; Choudhury, H.; Pandey, M. Molecular and biochemical pathways of catalpol in alleviating diabetes mellitus and its complications. Biomolecules 2021, 11, 323. [Google Scholar] [CrossRef]
- Liu, J.; Liu, S.; Yu, M.; Li, J.; Xie, Z.; Gao, B.; Liu, Y. Anti-Inflammatory effect and mechanism of catalpol in various inflammatory diseases. Drug Dev. Res. 2023, 84, 1376–1394. [Google Scholar] [CrossRef]
- Zhang, Z.; Dai, Y.; Xiao, Y.; Liu, Q. Protective effects of catalpol on cardio-cerebrovascular diseases: A comprehensive review. J. Pharm. Anal. 2023, 13, 1089–1101. [Google Scholar] [CrossRef]
- Zheng, X.; Li, W.; Wang, M.; Gao, H.; Zhao, Y.; Dong, P.; Han, H. The anti-inflammatory effects of iridoid glycosides: A comprehensive review of mechanisms of action and structure-activity relationships. Med. Chem. Res. 2025, 34, 1833–1854. [Google Scholar] [CrossRef]
- Hassan, M.-A.M.; Fahmy, M.I.; Azzam, H.N.; Ebrahim, Y.M.; El-Shiekh, R.A.; Aboulmagd, Y.M. Multifaceted therapeutic potentials of catalpol, an iridoid glycoside: An updated comprehensive review. Inflammopharmacology 2025, 1–27. [Google Scholar] [CrossRef]
- Zhou, Y.; Mai, M.; Huang, Z.; Zhang, Y. Research progress on endophytic fungi of medicinal plants in natural drug development. Xiandai Hortic. 2022, 45, 170. [Google Scholar] [CrossRef]
- Hashem, A.H.; Attia, M.S.; Kandil, E.K.; Fawzi, M.M.; Abdelrahman, A.S.; Khader, M.S.; Khodaira, M.A.; Emam, A.E.; Goma, M.A.; Abdelaziz, A.M. Bioactive compounds and biomedical applications of endophytic fungi: A recent review. Microb. Cell Factories 2023, 22, 107. [Google Scholar] [CrossRef] [PubMed]
- Yuan, L.J. Research survey on the secondary metabolite of plant rhizosphere microbe. J. Anhui Agric. Sci. 2010, 38, 15471–15474. [Google Scholar] [CrossRef]
- Sharma, M.; Sood, G.; Chauhan, A. Bacterial endophytes of medicinal plants: Applications and recent developments. Curr. Microbiol. 2025, 82, 519. [Google Scholar] [CrossRef] [PubMed]
- Liang, X.; Zhou, K.; Li, P.; Wan, D.; Liu, J.; Yi, X.; Peng, Y. Characteristics of endophytic bacteria and active ingredients in the eucommiae cortex from different origins. Front. Microbiol. 2023, 14, 1164674. [Google Scholar] [CrossRef]
- Li, C.; Qiu, S.; Yang, C.; Zhou, R.; Yuan, Y. Endophytic microbes in dendrobium: Role in endophytic microbial function and accumulation of medicinal compounds. J. Sci. Food Agr. 2025, 105, 8380–8391. [Google Scholar] [CrossRef] [PubMed]
- Lata, R.; Gond, S.K. Antibacterial and Antioxidant Potentials, Detection of Host Origin Compounds, and Metabolic Profiling of Endophytic bacillus spp. Isolated from Rauvolfia serpentina (L.) Benth. Ex Kurz. Sci. Rep. 2025, 15, 2094. [Google Scholar] [CrossRef] [PubMed]
- Leng, M.C. Study on the Correlation of Endogenous Fungus and Itssecondary Metabolites in Rehmannia glutinosa Libosch. Doctoral Dissertation, Henan University of Traditional Chinese Medicine, Zhengzhou, China, 2014. Available online: https://kns.cnki.net/kcms2/article/abstract?v=jpN_MAf5WI7tRqvEpfNgBriNAwTuLezCE1Or4Uf-Wy4LqVszQIZbWFNmWXb-ndeafCb7FkPFqGQMVQ2tTO0biMrO4QF-bdBrOL-CksKKZ--6Kf6oydVBl91IrtAAJTzaJENKsysFVYgKCz7ueGJ6iGcmb97zTEqcoxz7BWV_EBkPQ0DQ7v2CiQ==&uniplatform=NZKPT&language=CHS (accessed on 6 February 2026).
- Martínez-Bonfil, B.P.; Salcedo-Morales, G.; López-Laredo, A.R.; Ventura-Zapata, E.; Evangelista-Lozano, S.; Trejo-Tapia, G. Shoot regeneration and determination of iridoid levels in the medicinal plant castilleja tenuiflora benth. Plant Cell Tissue Organ Cult. 2011, 107, 195–203. [Google Scholar] [CrossRef]
- Sun, P.; Ma, J.; Duan, C.; Fu, N.; Huang, Y.; Li, X. Determination of total iridoid glutinoside content of Rehmannia glutinosa by Sulfo-Phospho-Vanillin method. Hubei Agric. Sci. 2021, 60, 115–117. [Google Scholar] [CrossRef]
- Xu, J.Q.; Yu, Z.D.; Li, T.; Song, L.L.; Qiu, Z.D.; Huang, L.Q.; Chen, H.W.; Li, H. Combination of internal extractive electrospray ionization mass spectrometry and statistical analysis for high-throughput molecular differentiation of Rehmannia glutinosa samples. J. Am. Soc. Mass Spectrom. 2023, 34, 1342–1348. [Google Scholar] [CrossRef]
- Brito, M.G.; López, N.I.; Raiger Iustman, L.J. Unraveling the effects of polyhydroxyalkanoates accumulation in Pseudomonas extremaustralis growth and survival under different pH conditions. Extremophiles 2024, 29, 9. [Google Scholar] [CrossRef]
- Xu, Y.; You, G.X.; Zhang, M.R.; Peng, D.Y.; Jiang, Z.W.; Qin, S.T.; Yang, S.H.; Hou, J. Antibiotic resistance genes alternation in soils modified with neutral and alkaline salts: Interplay of salinity stress and response strategies of microbes. Sci. Total Environ. 2022, 809, 152246. [Google Scholar] [CrossRef]
- Vishwakarma, S.; Chaudhry, V.; Chand, S.; Sagar, K.; Gupta, K.K.; Bhardwaj, N.; Prasad, R.; Kumar, P.; Chandra, H. The potential of fungal endophytes in plants: Sources of bioactive compounds. Indian J. Microbiol. 2024, 65, 1813–1827. [Google Scholar] [CrossRef] [PubMed]
- Wang, E.J.; Zhang, Y.L.; Ma, X.H.; Gong, H.Q.; Xie, S.Y.; Zhang, G.S.; Jin, L. Research progress on interactions between medicinal plants and microorganisms. Chin. J. Chin. Mater. Med. 2025, 50, 3267–3280. [Google Scholar] [CrossRef]
- Hu, D.; Hu, L.Z.; Xiao, O.L.; Chen, J.Y.; Dai, X.F.; Sun, Y.W.; Kong, Z.Q. Bibliometric analysis of research trends and advancements in medicinal plant microbiome. Front. Plant Sci. 2024, 15, 1495198. [Google Scholar] [CrossRef]
- Huang, Z.; Yu, K.; Xiao, Y.; Wang, Y.L.; Xiao, D.; Wang, D.C. Comparative genomic analysis reveals potential pathogenicity and slow-growth characteristics of genus Brevundimonas and description of Brevundimonas pishanensis sp. nov. Microb. Spectr. 2022, 10, e0246821. [Google Scholar] [CrossRef] [PubMed]
- Pattanayak, S.; Chouhan, V.; Bashyal, B.M.; Mandal, P.K.; Kumar, M.; Gogoi, R.; Kumar, A. Exploring the endophytic microbiome of maize leaves: Roles in plant growth promotion and defense against Bipolaris maydis. Plant Soil 2025, 514, 2309–2333. [Google Scholar] [CrossRef]
- Bekkar, A.A.; Zaim, S. Newly isolated Brevundimonas naejangsanensis as a biocontrol agent against Fusarium redolens the causal of Fusarium yellows of chickpea. Folia Microbiol. 2024, 69, 835–846. [Google Scholar] [CrossRef] [PubMed]
- Chabbi, N.; Chafiki, S.; Telmoudi, M.; Labbassi, S.; Bouharroud, R.; Tahiri, A.; Mentag, R.; Amri, M.; Bendiab, K.; Hsissou, D.; et al. Plant-growth-promoting rhizobacteria improve seeds germination and growth of Argania spinosa. Plants 2024, 13, 2025. [Google Scholar] [CrossRef]
- Zhao, Y.; Xu, H.Y.; Xin, G.Q.; Wu, X.Y.; Gu, W. Isolation and identification of endophytic bacteria produced catalpol from rehmannia and studies on genetic stability. J. Pharm. Res. 2014, 33, 567–570, 577. [Google Scholar] [CrossRef]
- Zhang, T. Isolation Entophytes and Study on the Fermentation of Bacillus subtilis tjD7 from Rehmannia. Master’s Thesis, Henan Agricultural University, Zhengzhou, China, 2012. Available online: https://kns.cnki.net/kcms2/article/abstract?v=jpN_MAf5WI5ANRDOrZpPKB2Dc1iEzNY6fxVAYt-OFj4zmGh-A3b_JuEWdOqXkbdPey01oPRZqhjjq5vHtwmyTSk49lcjzDGupP9vKaqRMOKYvgcdMteRD5acm32x_bhXUV7iVbJ0vPOa54xl0PkN3SkF26GTnSPEiCkJfj3wMEFSYCZVi8Gogw==&uniplatform=NZKPT&language=CHS (accessed on 26 February 2026).
- Visser, F.M.W. Contribution of Enzymes from Rennet, Starter Bacteria and Milk to Proteolysis and Flavour Development in Gouda Cheese. Doctoral Dissertation, Wageningen University and Research, Wageningen, The Netherlands, 1977. [Google Scholar] [CrossRef]
- Paul, I.; Roy, A.; Sarkar, T.; Dutta, S.; Ray, S. An in silico vaccinomics strategy to develop multiepitope vaccine using essential hypothetical protein as a target against Brevundimonas subvibrioides: A combined subtractive proteomics and immunoinformatics approach. Microb. Pathog. 2025, 205, 107651. [Google Scholar] [CrossRef]





| Std | Run | Factor 1 | Factor 2 | Factor 3 | Factor 4 | Response |
|---|---|---|---|---|---|---|
| A:pH | B:NaCl (%) | Temperature (°C) | Shaking Speed (rpm) | OD600 | ||
| 17.00 | 1.00 | 6.00 | 1.50 | 28.00 | 190.00 | 0.63 |
| 12.00 | 2.00 | 8.00 | 1.50 | 32.00 | 250.00 | 0.73 |
| 1.00 | 3.00 | 6.00 | 0.00 | 32.00 | 190.00 | 0.73 |
| 24.00 | 4.00 | 7.00 | 3.00 | 32.00 | 250.00 | 0.71 |
| 16.00 | 5.00 | 7.00 | 3.00 | 36.00 | 190.00 | 0.69 |
| 9.00 | 6.00 | 6.00 | 1.50 | 32.00 | 130.00 | 0.65 |
| 22.00 | 7.00 | 7.00 | 3.00 | 32.00 | 130.00 | 0.59 |
| 8.00 | 8.00 | 7.00 | 1.50 | 36.00 | 250.00 | 0.72 |
| 27.00 | 9.00 | 7.00 | 1.50 | 32.00 | 190.00 | 0.69 |
| 5.00 | 10.00 | 7.00 | 1.50 | 28.00 | 130.00 | 0.63 |
| 3.00 | 11.00 | 6.00 | 3.00 | 32.00 | 190.00 | 0.67 |
| 15.00 | 12.00 | 7.00 | 0.00 | 36.00 | 190.00 | 0.71 |
| 11.00 | 13.00 | 6.00 | 1.50 | 32.00 | 250.00 | 0.73 |
| 13.00 | 14.00 | 7.00 | 0.00 | 28.00 | 190.00 | 0.71 |
| 26.00 | 15.00 | 7.00 | 1.50 | 32.00 | 190.00 | 0.68 |
| 19.00 | 16.00 | 6.00 | 1.50 | 36.00 | 190.00 | 0.65 |
| 21.00 | 17.00 | 7.00 | 0.00 | 32.00 | 130.00 | 0.71 |
| 25.00 | 18.00 | 7.00 | 1.50 | 32.00 | 190.00 | 0.70 |
| 6.00 | 19.00 | 7.00 | 1.50 | 36.00 | 130.00 | 0.64 |
| 23.00 | 20.00 | 7.00 | 0.00 | 32.00 | 250.00 | 0.74 |
| 18.00 | 21.00 | 8.00 | 1.50 | 28.00 | 190.00 | 0.64 |
| 2.00 | 22.00 | 8.00 | 0.00 | 32.00 | 190.00 | 0.72 |
| 10.00 | 23.00 | 8.00 | 1.50 | 32.00 | 130.00 | 0.67 |
| 20.00 | 24.00 | 8.00 | 1.50 | 36.00 | 190.00 | 0.68 |
| 14.00 | 25.00 | 7.00 | 3.00 | 28.00 | 190.00 | 0.56 |
| 4.00 | 26.00 | 8.00 | 3.00 | 32.00 | 190.00 | 0.65 |
| 7.00 | 27.00 | 7.00 | 1.50 | 28.00 | 250.00 | 0.68 |
| Source | Sum of Squares | df | Mean Square | F-Value | p-Value | Significance |
|---|---|---|---|---|---|---|
| Model | 0.0485 | 14 | 0.0035 | 12.45 | <0.0001 | significant |
| A-pH | 0.0001 | 1 | 0.0001 | 0.1823 | 0.677 | |
| B-NaCl (%) | 0.0165 | 1 | 0.0165 | 59.15 | <0.0001 | |
| C-Temperature (°C) | 0.0051 | 1 | 0.0051 | 18.18 | 0.0011 | |
| D- Shaking speed (rpm) | 0.0143 | 1 | 0.0143 | 51.35 | <0.0001 | |
| AB | 0.0001 | 1 | 0.0001 | 0.2398 | 0.6332 | |
| AC | 0.0001 | 1 | 0.0001 | 0.27 | 0.6128 | |
| AD | 0.0001 | 1 | 0.0001 | 0.5034 | 0.4916 | |
| BC | 0.0048 | 1 | 0.0048 | 17.2 | 0.0014 | |
| BD | 0.0018 | 1 | 0.0018 | 6.49 | 0.0255 | |
| CD | 0.0001 | 1 | 0.0001 | 0.3132 | 0.586 | |
| A2 | 0.0001 | 1 | 0.0001 | 0.4126 | 0.5327 | |
| B2 | 4.35 × 10−6 | 1 | 4.35 × 10−6 | 0.0156 | 0.9026 | |
| C2 | 0.0045 | 1 | 0.0045 | 16.23 | 0.0017 | |
| D2 | 0 | 1 | 0 | 0.0498 | 0.8272 | |
| Residual | 0.0033 | 12 | 0.0003 | |||
| Lack of Fit | 0.0031 | 10 | 0.0003 | 2.42 | 0.3276 | not significant |
| Pure Error | 0.0003 | 2 | 0.0001 | |||
| Cor Total | 0.0518 | 26 |
Disclaimer/Publisher’s Note: The statements, opinions and data contained in all publications are solely those of the individual author(s) and contributor(s) and not of MDPI and/or the editor(s). MDPI and/or the editor(s) disclaim responsibility for any injury to people or property resulting from any ideas, methods, instructions or products referred to in the content. |
© 2026 by the authors. Licensee MDPI, Basel, Switzerland. This article is an open access article distributed under the terms and conditions of the Creative Commons Attribution (CC BY) license.
Share and Cite
Liu, J.; Geng, M.; Chen, Y.; Wang, Z. Screening and Culture Condition Optimization of a Catalpol-Producing Brevundimonas olei. Microbiol. Res. 2026, 17, 60. https://doi.org/10.3390/microbiolres17030060
Liu J, Geng M, Chen Y, Wang Z. Screening and Culture Condition Optimization of a Catalpol-Producing Brevundimonas olei. Microbiology Research. 2026; 17(3):60. https://doi.org/10.3390/microbiolres17030060
Chicago/Turabian StyleLiu, Jianmin, Mingliang Geng, Yi Chen, and Zhenhui Wang. 2026. "Screening and Culture Condition Optimization of a Catalpol-Producing Brevundimonas olei" Microbiology Research 17, no. 3: 60. https://doi.org/10.3390/microbiolres17030060
APA StyleLiu, J., Geng, M., Chen, Y., & Wang, Z. (2026). Screening and Culture Condition Optimization of a Catalpol-Producing Brevundimonas olei. Microbiology Research, 17(3), 60. https://doi.org/10.3390/microbiolres17030060

