Sign in to use this feature.

Years

Between: -

Subjects

remove_circle_outline
remove_circle_outline
remove_circle_outline
remove_circle_outline
remove_circle_outline
remove_circle_outline
remove_circle_outline

Journals

Article Types

Countries / Regions

Search Results (43)

Search Parameters:
Keywords = supercapacitor module design

Order results
Result details
Results per page
Select all
Export citation of selected articles as:
43 pages, 2226 KB  
Article
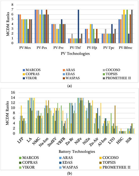
Sustainable Component-Level Prioritization of PV Panels, Batteries, and Converters for Solar Technologies in Hybrid Renewable Energy Systems Using Objective-Weighted MCDM Models
by Swapandeep Kaur, Raman Kumar and Kanwardeep Singh
Energies 2025, 18(20), 5410; https://doi.org/10.3390/en18205410 - 14 Oct 2025
Viewed by 187
Abstract
Data-driven prioritization of photovoltaic (PV), battery, and converter technologies is crucial for achieving sustainability, efficiency, and cost-effectiveness in the increasingly complex domain of hybrid renewable energy systems (HRES). Conducting an in-depth and systematic ranking of these components for solar-based HRESs necessitates a comprehensive [...] Read more.
Data-driven prioritization of photovoltaic (PV), battery, and converter technologies is crucial for achieving sustainability, efficiency, and cost-effectiveness in the increasingly complex domain of hybrid renewable energy systems (HRES). Conducting an in-depth and systematic ranking of these components for solar-based HRESs necessitates a comprehensive multi-criteria decision-making (MCDM) framework. This study develops as the most recent and integrated approach available in the literature. To ensure balanced and objective weighting, five quantitative weighting techniques, Entropy, Standard Deviation, CRITIC, MEREC, and CILOS, were aggregated through the Bonferroni operator, thereby minimizing subjective bias while preserving robustness. The final ranking was executed using the measurement of alternatives and ranking according to compromise solution method (MARCOS). Subsequently, comparative validation was conducted across eight additional MCDM methods, supplemented by correlation and sensitivity analysis to evaluate the consistency and reliability of the obtained results. The results revealed that thin-film PV modules (0.7108), hybrid supercapacitor batteries (0.6990), and modular converters (1.1812) emerged as the top-performing technologies, reflecting optimal trade-offs among technical, economic, and environmental performance criteria. Correlation analysis (ρ > 0.9 across nine MCDM methods) confirmed the stability of the rankings. The results establish a reproducible decision-support framework for designing sustainable hybrid systems. These technologies demonstrated superior thermal stability, cycling endurance, and system scalability, respectively, thus laying a foundation for more sustainable and resilient hybrid energy system deployments. The proposed framework provides a reproducible, transparent, and resilient decision-support tool designed to assist engineers, researchers, and policy-makers in developing reliable low-carbon components for the realization of future carbon-neutral energy infrastructures. Full article
(This article belongs to the Section A2: Solar Energy and Photovoltaic Systems)
Show Figures

Figure 1

10 pages, 5722 KB  
Article
Plant–Soil Bioelectrochemical System-Based Crop Growth Environment Monitoring System
by Xiangyi Liu, Dong Wang, Han Wu, Xujun Chen, Longgang Ma and Xinqing Xiao
Energies 2025, 18(18), 4989; https://doi.org/10.3390/en18184989 - 19 Sep 2025
Viewed by 377
Abstract
This study presents the design and implementation of a crop environmental monitoring system powered by a plant–soil bioelectrochemical energy source. The system integrates a Cu–Zn electrode power unit, a boost converter, a supercapacitor-based energy management module, and a wireless sensing node for real-time [...] Read more.
This study presents the design and implementation of a crop environmental monitoring system powered by a plant–soil bioelectrochemical energy source. The system integrates a Cu–Zn electrode power unit, a boost converter, a supercapacitor-based energy management module, and a wireless sensing node for real-time monitoring of environmental parameters. Unlike conventional plant microbial fuel cells (PMFCs), the output current originates partly from the galvanic effect of Cu–Zn electrodes and is further regulated by rhizosphere conditions and microbial activity. Under the optimal external load (900 Ω), the system achieved a maximum output power of 0.477 mW, corresponding to a power density of 0.304 mW·cm−2. Stability tests showed that with the boost converter and supercapacitor, the system maintained a stable operating voltage sufficient to power the sensing node. Soil moisture strongly influenced performance, with higher water content increasing power by about 35%. Theoretical calculations indicated that Zn corrosion alone would limit the anode lifetime to ~66 days; however, stable output during the experimental period suggests contributions from plant–microbe interactions. Overall, this work demonstrates a feasible self-powered crop monitoring system and provides new evidence for the potential of plant–soil bioelectrochemical power sources in low-power applications. Full article
Show Figures

Figure 1

20 pages, 2354 KB  
Article
MineVisual: A Battery-Free Visual Perception Scheme in Coal Mine
by Ming Li, Zhongxu Bao, Shuting Li, Xu Yang, Qiang Niu, Muyu Yang and Shaolong Chen
Sensors 2025, 25(17), 5486; https://doi.org/10.3390/s25175486 - 3 Sep 2025
Viewed by 747
Abstract
The demand for robust safety monitoring in underground coal mines is increasing, yet traditional methods face limitations in long-term stability due to inadequate energy supply and high maintenance requirements. To address the critical challenges of high computational demand and energy constraints in this [...] Read more.
The demand for robust safety monitoring in underground coal mines is increasing, yet traditional methods face limitations in long-term stability due to inadequate energy supply and high maintenance requirements. To address the critical challenges of high computational demand and energy constraints in this resource-limited environment, this paper proposes MineVisual, a battery-free visual sensing scheme specifically designed for underground coal mines. The core of MineVisual is an optimized lightweight deep neural network employing depthwise separable convolution modules to enhance computational efficiency and reduce energy consumption. Crucially, we introduce an energy-aware dynamic pruning network (EADP-Net) ensuring a sustained inference accuracy and energy efficiency across fluctuating power conditions. The system integrates supercapacitor buffering and voltage regulation for stable operation under wind intermittency. Experimental validation demonstrates that MineVisual achieves high accuracy (e.g., 91.5% Top-1 on mine-specific tasks under high power) while significantly enhancing the energy efficiency (reducing inference energy to 6.89 mJ under low power) and robustness under varying wind speeds. This work provides an effective technical pathway for intelligent safety monitoring in complex underground environments and conclusively proves the feasibility of battery-free deep learning inference in extreme settings like coal mines. Full article
(This article belongs to the Section Electronic Sensors)
Show Figures

Figure 1

27 pages, 1324 KB  
Article
Optimal Design and Cost–Benefit Analysis of a Solar Photovoltaic Plant with Hybrid Energy Storage for Off-Grid Healthcare Facilities with High Refrigeration Loads
by Obu Samson Showers and Sunetra Chowdhury
Energies 2025, 18(17), 4596; https://doi.org/10.3390/en18174596 - 29 Aug 2025
Viewed by 790
Abstract
This paper presents the optimal design and cost–benefit analysis of an off-grid solar photovoltaic system integrated with a hybrid energy storage system for a Category 3 rural healthcare facility in Elands Bay, South Africa. The optimal configuration, designed in Homer Pro, consists of [...] Read more.
This paper presents the optimal design and cost–benefit analysis of an off-grid solar photovoltaic system integrated with a hybrid energy storage system for a Category 3 rural healthcare facility in Elands Bay, South Africa. The optimal configuration, designed in Homer Pro, consists of a 16.1 kW solar PV array, 10 kW lithium-ion battery, 23 supercapacitor strings (2 modules per string), 50 kW fuel cell, 50 kW electrolyzer, 20 kg hydrogen tank, and 10.8 kW power converter. The daily energy consumption for the selected healthcare facility is 44.82 kWh, and peak demand is 9.352 kW. The off-grid system achieves 100% reliability (zero unmet load) and zero CO2 emissions, compared to the 24,128 kg/year of CO2 emissions produced by the diesel generator. Economically, it demonstrates strong competitiveness with a levelized cost of energy (LCOE) of ZAR24.35/kWh and a net present cost (NPC) of ZAR6.05 million. Sensitivity analysis reveals the potential for a further 20–40% reduction in LCOE by 2030 through anticipated declines in component costs. Hence, it is established that the proposed model is a reliable and viable option for off-grid rural healthcare facilities. Full article
(This article belongs to the Section A1: Smart Grids and Microgrids)
Show Figures

Figure 1

21 pages, 5680 KB  
Article
Polyvinylpyrrolidone-Functionalized NiCo2O4 Electrodes for Advanced Asymmetric Supercapacitor Application
by Rutuja U. Amate, Mrunal K. Bhosale, Pritam J. Morankar, Aviraj M. Teli and Chan-Wook Jeon
Polymers 2025, 17(13), 1802; https://doi.org/10.3390/polym17131802 - 28 Jun 2025
Cited by 1 | Viewed by 692
Abstract
Designing advanced electrode architectures with tailored morphology and redox synergy is essential for achieving high-performance supercapacitive energy storage. In this study, a PVP-assisted hydrothermal approach was employed to synthesize binder-free NiCo2O4 nanostructured electrodes directly on nickel foam substrates. By modulating [...] Read more.
Designing advanced electrode architectures with tailored morphology and redox synergy is essential for achieving high-performance supercapacitive energy storage. In this study, a PVP-assisted hydrothermal approach was employed to synthesize binder-free NiCo2O4 nanostructured electrodes directly on nickel foam substrates. By modulating the PVP concentration (0.5–2 wt%), hierarchical flower-like nanosheets were engineered, with the NiCo-P1 sample (1 wt% PVP) exhibiting an optimized structure, superior electroactive surface area, and enhanced ion accessibility. Comprehensive electrochemical analysis revealed that NiCo-P1 delivered an outstanding areal capacitance of 36.5 F/cm2 at 10 mA/cm2, along with excellent cycling stability over 15,000 cycles with 80.97% retention. Kinetic studies confirmed dominant diffusion-controlled redox behavior with high OH diffusion coefficients and minimal polarization. An asymmetric pouch-type supercapacitor device (NiCo-P1//AC) exhibited a wide operating window of 1.5 V, achieving a remarkable areal capacitance of 187 mF/cm2, energy density of 0.058 mWh/cm2, and capacitive retention of 78.78% after 5000 cycles. The superior performance is attributed to the synergistic integration of mixed-valence Ni and Co species, engineered nanosheet morphology, and low interfacial resistance. This work underscores the significance of surfactant-directed design in advancing cost-effective, high-performance electrodes for next-generation flexible energy storage technologies. Full article
(This article belongs to the Section Polymer Applications)
Show Figures

Figure 1

26 pages, 3971 KB  
Article
Design of a Controller for Supercapacitor’s Bidirectional High-Gain Interleaved Converter
by Jessica C. A. Sousa, Thiago M. Soares, Jonathan M. Tabora and Hugo G. Lott
Energies 2025, 18(10), 2605; https://doi.org/10.3390/en18102605 - 17 May 2025
Viewed by 1227
Abstract
This study focuses on the mathematical modeling, control design, and analysis of an interleaved bidirectional high-voltage-gain DC-DC converter for energy management in supercapacitors. The state of the art is reviewed, with an emphasis on research related to DC-DC converters and energy storage systems. [...] Read more.
This study focuses on the mathematical modeling, control design, and analysis of an interleaved bidirectional high-voltage-gain DC-DC converter for energy management in supercapacitors. The state of the art is reviewed, with an emphasis on research related to DC-DC converters and energy storage systems. The characteristics and modeling of the supercapacitors are thoroughly analyzed. The converter’s operation in both buck and boost modes is described, detailing its operating stages, design parameters, and component sizing. The modeling accounts for the dynamics of the converter in both operational modes. PI controllers and compensation techniques were implemented to ensure the desired performance and meet the design criteria. Simulations were conducted using PSIM software, version 2023.1, with a power flow of 1 kW, a 48 V DC bus (buck mode), and a 162 V supercapacitor module (boost mode), operating at 500 kHz. The performance of the controllers was evaluated during both the charging and discharging processes of the supercapacitor, analyzing the dynamic response and behavior in the continuous mode, even in the presence of system disturbances. Full article
(This article belongs to the Special Issue Energy, Electrical and Power Engineering: 4th Edition)
Show Figures

Figure 1

25 pages, 8244 KB  
Article
Sustainable Energy Storage Systems: Polypyrrole-Filled Polyimide-Modified Carbon Nanotube Sheets with Remarkable Energy Density
by Andekuba Andezai and Jude O. Iroh
Energies 2025, 18(9), 2158; https://doi.org/10.3390/en18092158 - 23 Apr 2025
Cited by 1 | Viewed by 738
Abstract
Organic hybrid materials are gaining traction as electrode candidates for energy storage due to their structural tunability and environmental compatibility. This study investigates polyimide/carbon nanotube/polypyrrole (PI/CNTs/PPy) hybrid nanocomposites, focusing on the correlation between thermal imidization temperature, polypyrrole deposition time, and the resulting electrochemical [...] Read more.
Organic hybrid materials are gaining traction as electrode candidates for energy storage due to their structural tunability and environmental compatibility. This study investigates polyimide/carbon nanotube/polypyrrole (PI/CNTs/PPy) hybrid nanocomposites, focusing on the correlation between thermal imidization temperature, polypyrrole deposition time, and the resulting electrochemical properties. By modulating PI processing temperatures (90 °C, 180 °C, 250 °C) and PPy deposition durations (60–700 s), this research uncovers critical structure–function relationships governing charge storage behavior. Scanning electron microscopy and electrochemical impedance spectroscopy reveal that low-temperature imidization preserves porosity and enables ion-accessible pathways, while moderate PPy deposition enhances electrical conductivity without blocking pore networks. The optimized composite, processed at 90 °C with 60 s PPy deposition, demonstrates superior specific capacitance (850 F/g), high redox contribution (~70% of total charge), low charge transfer resistance, and enhanced energy/power density. In contrast, high-temperature processing and prolonged PPy deposition result in structural densification, increased resistance, and diminished performance. These findings highlight a synergistic design approach that leverages partial imidization and controlled doping to balance ionic diffusion, electron transport, and redox activity. The results provide a framework for developing scalable, high-performance, and sustainable electrode materials for next-generation lithium-ion batteries and supercapacitors. Full article
Show Figures

Figure 1

22 pages, 2223 KB  
Article
RMS Modeling and Control of a Grid-Forming E-STATCOM for Power System Stability in Isolated Grids
by José Luis Rodriguez-Amenedo, Miguel E. Montilla-DJesus, Santiago Arnaltes and Francisco Arredondo
Appl. Sci. 2025, 15(6), 3014; https://doi.org/10.3390/app15063014 - 11 Mar 2025
Cited by 4 | Viewed by 3025
Abstract
This paper presents a comprehensive RMS-based phasorial model of an E-STATCOM with grid-forming (GFM) control, designed to improve power system stability in isolated grids. Unlike previous approaches, this model integrates a governor with an internal power system stabilizer (PSS) and an active current [...] Read more.
This paper presents a comprehensive RMS-based phasorial model of an E-STATCOM with grid-forming (GFM) control, designed to improve power system stability in isolated grids. Unlike previous approaches, this model integrates a governor with an internal power system stabilizer (PSS) and an active current limiter (ACL) to enhance frequency regulation and mitigate oscillations. Additionally, an exciter with a nonlinear modulation function is introduced to optimize voltage regulation and reactive power support. A detailed conventional supercapacitor (SC) model is also incorporated, enabling dynamic DC-voltage control based on active power variations, improving frequency stability. The proposed E-STATCOM RMS model includes algebraic equations, dynamic governor and exciter models, supercapacitor-based energy storage control, and an advanced current-limiting strategy. Simulations are conducted on the Fuerteventura–Lanzarote (Canary Islands, Spain) power system, comparing the E-STATCOM with a synchronous condenser (SynCon) in frequency response, voltage regulation, and fault performance. The results show that the E-STATCOM improves frequency stabilization and energy efficiency while complying with grid codes. This study introduces a novel RMS-based modeling approach for GFM E-STATCOMs, bridging the gap between theoretical phasorial analysis and real-world applications. The findings confirm that E-STATCOMs are a viable alternative to SynCons, enhancing grid stability in high-renewable-penetration systems. Full article
(This article belongs to the Special Issue Energy and Power Systems: Control and Management)
Show Figures

Figure 1

25 pages, 9795 KB  
Article
Research on the Integrated Converter and Its Control for Fuel Cell Hybrid Electric Vehicles with Three Power Sources
by Yuang Ma and Wenguang Luo
Electronics 2025, 14(1), 29; https://doi.org/10.3390/electronics14010029 - 25 Dec 2024
Cited by 1 | Viewed by 1466
Abstract
Separate DC-DC converters for each energy source are typically configured in fuel-cell hybrid vehicles. This results in a complex control structure of the powertrain system, low energy density of the converter, and high cost due to the large number of components. Conducting research [...] Read more.
Separate DC-DC converters for each energy source are typically configured in fuel-cell hybrid vehicles. This results in a complex control structure of the powertrain system, low energy density of the converter, and high cost due to the large number of components. Conducting research on DC-DC converters with good energy flow management and high integration is a trend to solve such problems. Based on the analysis of the basic functional structure of the converter, this paper designs a buffering unit circuit with energy collection and distribution functions and appropriately connects it with the pulse unit circuit of the converter. Through device optimization reuse and power transmission path integration, a class of non-isolated four-port DC-DC converters is constructed, which consists of an auxiliary energy charging module, input energy source control module, braking energy feedback module and forward bootstrap boost circuit. This converter has two bi-directional ports, a uni-directional input and a bi-directional output, for separate connection to the power batteries, supercapacitors, fuel cells and DC bus. It can adapt to the fluctuation of the vehicle’s driving condition while achieving dynamic and flexible regulation of power flow and can flexibly allocate power according to the load current and voltage level of energy. It can realize a total of 14 operation modes, including six output power supply operation modes, five auxiliary power charging operation modes, and three braking energy regeneration operation modes. Furthermore, the mathematical model of this converter is constructed using the state-average method and the small-signal modeling method in order to achieve the responsiveness and stability of switching multiple operating modalities. The PI control parameters are optimized using the particle swarm optimization algorithm to achieve optimized control of the converter. The simulation system is set up using MATLAB R2024a to verify that the proposed converter topology and algorithm can dynamically allocate appropriate current paths to manipulate the power flow under various operating conditions, effectively improving the utilization rate and efficiency of energy. The converter has the characteristics of high gain and high power density, which is suitable for three-energy fuel cell hybrid electric vehicles. Full article
Show Figures

Figure 1

18 pages, 8868 KB  
Article
Design of a Supercapacitor Module and Control Algorithm for Practical Verification of a Hybrid Energy Storage System
by Patrik Resutík, Slavomír Kaščák and Michal Praženica
Appl. Sci. 2024, 14(22), 10357; https://doi.org/10.3390/app142210357 - 11 Nov 2024
Viewed by 1240
Abstract
This paper presents an approach to designing a supercapacitor (SC) module according to defined power profiles and providing a control algorithm for sharing the energy from the SC module and accumulator in a hybrid energy storage system (HESS). This paper also presents a [...] Read more.
This paper presents an approach to designing a supercapacitor (SC) module according to defined power profiles and providing a control algorithm for sharing the energy from the SC module and accumulator in a hybrid energy storage system (HESS). This paper also presents a view of a printed circuit board (PCB) of the SC module and an interconnection board between the bidirectional converter, accumulator, and SC module. The practical part of the paper presents the measurement of the voltages and currents on the SC module, accumulator, and output of the DC/DC converter to visualize the energy flow between them. Full article
(This article belongs to the Special Issue Trends, Research and Development in DC–DC Power Converters)
Show Figures

Figure 1

19 pages, 4186 KB  
Article
Comparison of Configurable Modular Two-Level and Three-Level Isolated Bidirectional DC–DC Converters for Super-Capacitor Charging in DC Shore Power Systems
by Wenqiang Xie, Mingming Shi, Yuying He, Chenyu Zhang and Ruihuang Liu
Energies 2024, 17(18), 4630; https://doi.org/10.3390/en17184630 - 15 Sep 2024
Cited by 1 | Viewed by 1284
Abstract
Compared to the AC counterpart, the DC shore power system provides a significant advantage of efficient power supply from renewable sources to ships and onshore loads. Super-capacitors serve as key energy storage units in such a system to buffer the power fluctuations and [...] Read more.
Compared to the AC counterpart, the DC shore power system provides a significant advantage of efficient power supply from renewable sources to ships and onshore loads. Super-capacitors serve as key energy storage units in such a system to buffer the power fluctuations and collect the regenerative energy. However, the ultra-wide voltage range of super-capacitors imposes a significant challenge in the topology selection and efficiency optimization of the interfacing isolated bidirectional DC–DC converter. To tackle this challenge, this paper analyzes and compares two promising converter topologies, which are a configurable modular two-level dual-active bridge (CM-2L-DAB) and a three-level dual-active bridge (3L-DAB). To facilitate an ultra-wide voltage range, extended phase-shift (EPS) modulation in conjunction with the topology reconfiguration is analyzed for the CM-2L-DAB, while a hybrid modulation scheme is proposed for the 3L-DAB. A unified design approach is provided for both topologies, which also yields to the power loss modeling. On this basis, the CM-2L-DAB and 3L-DAB are thoroughly compared in terms of the modulation schemes, current stress, soft-switching operation, power conversion efficiency, material usage, closed-loop control scheme, and reliability. A prominent conclusion can be drawn that the CM-2L-DAB provides a higher efficiency than the 3L-DAB over the whole voltage range, but it relies on additional relays to reconfigure its topology which results in lower reliability and dynamic performance than the 3L-DAB. Full article
(This article belongs to the Special Issue Optimization of DC Power Converter and the Applications)
Show Figures

Figure 1

14 pages, 1807 KB  
Article
Batch-to-Batch Variation in Laser-Inscribed Graphene (LIG) Electrodes for Electrochemical Sensing
by Yifan Tang, Geisianny A. Moreira, Diana Vanegas, Shoumen P. A. Datta and Eric S. McLamore
Micromachines 2024, 15(7), 874; https://doi.org/10.3390/mi15070874 - 30 Jun 2024
Cited by 5 | Viewed by 4594
Abstract
Laser-inscribed graphene (LIG) is an emerging material for micro-electronic applications and is being used to develop supercapacitors, soft actuators, triboelectric generators, and sensors. The fabrication technique is simple, yet the batch-to-batch variation of LIG quality is not well documented in the literature. In [...] Read more.
Laser-inscribed graphene (LIG) is an emerging material for micro-electronic applications and is being used to develop supercapacitors, soft actuators, triboelectric generators, and sensors. The fabrication technique is simple, yet the batch-to-batch variation of LIG quality is not well documented in the literature. In this study, we conduct experiments to characterize batch-to-batch variation in the manufacturing of LIG electrodes for applications in electrochemical sensing. Numerous batches of 36 LIG electrodes were synthesized using a CO2 laser system on polyimide film. The LIG material was characterized using goniometry, stereomicroscopy, open circuit potentiometry, and cyclic voltammetry. Hydrophobicity and electrochemical screening (cyclic voltammetry) indicate that LIG electrode batch-to-batch variation is less than 5% when using a commercial reference and counter electrode. Metallization of LIG led to a significant increase in peak current and specific capacitance (area between anodic/cathodic curve). However, batch-to-batch variation increased to approximately 30%. Two different platinum electrodeposition techniques were studied, including galvanostatic and frequency-modulated electrodeposition. The study shows that formation of metallized LIG electrodes with high specific capacitance and peak current may come at the expense of high batch variability. This design tradeoff has not been discussed in the literature and is an important consideration if scaling sensor designs for mass use is desired. This study provides important insight into the variation of LIG material properties for scalable development of LIG sensors. Additional studies are needed to understand the underlying mechanism(s) of this variability so that strategies to improve the repeatability may be developed for improving quality control. The dataset from this study is available via an open access repository. Full article
Show Figures

Figure 1

14 pages, 3496 KB  
Article
Synergy of Oxygen Vacancy and Surface Modulation Endows Hollow Hydrangea-like MnCo2O4.5 with Enhanced Capacitive Performance
by Gaofeng Li, Yanyan Li, Pengfei Wang, Lingling Chen, Longfei Li, Chen Bao, Jianfei Tu and Dianbo Ruan
Int. J. Mol. Sci. 2024, 25(10), 5075; https://doi.org/10.3390/ijms25105075 - 7 May 2024
Cited by 2 | Viewed by 1382
Abstract
Surface chemistry and bulk structure jointly play crucial roles in achieving high-performance supercapacitors. Here, the synergistic effect of surface chemistry properties (vacancy and phosphorization) and structure-derived properties (hollow hydrangea-like structure) on energy storage is explored by the surface treatment and architecture design of [...] Read more.
Surface chemistry and bulk structure jointly play crucial roles in achieving high-performance supercapacitors. Here, the synergistic effect of surface chemistry properties (vacancy and phosphorization) and structure-derived properties (hollow hydrangea-like structure) on energy storage is explored by the surface treatment and architecture design of the nanostructures. The theoretical calculations and experiments prove that surface chemistry modulation is capable of improving electronic conductivity and electrolyte wettability. The structural engineering of both hollow and nanosheets produces a high specific surface area and an abundant pore structure, which is favorable in exposing more active sites and shortens the ion diffusion distance. Benefiting from its admirable physicochemical properties, the surface phosphorylated MnCo2O4.5 hollow hydrangea-like structure (P-MnCoO) delivers a high capacitance of 425 F g−1 at 1 A g−1, a superior capability rate of 63.9%, capacitance retention at 10 A g−1, and extremely long cyclic stability (91.1% after 10,000 cycles). The fabricated P-MnCoO/AC asymmetric supercapacitor achieved superior energy and power density. This work opens a new avenue to further improve the electrochemical performance of metal oxides for supercapacitors. Full article
(This article belongs to the Special Issue Emerging Nanomaterials for New Energy Applications)
Show Figures

Figure 1

34 pages, 9430 KB  
Review
Part II: State-of-the-Art Technologies of Solar-Powered DC Microgrid with Hybrid Energy Storage Systems: Converter Topologies
by Dogga Raveendhra, Rajana Poojitha, Beeramangalla Lakshminarasaiah Narasimharaju, Alexander Domyshev, Aliona Dreglea, Minh Hien Dao, Mukesh Pathak, Fang Liu and Denis Sidorov
Energies 2023, 16(17), 6194; https://doi.org/10.3390/en16176194 - 25 Aug 2023
Cited by 8 | Viewed by 1980
Abstract
Over the past few years, there have been significant advancements in Microgrid (MG) systems, particularly in the field of power electronics. These advancements aim to address the needs of the grid and loads, while integrating low-voltage, non-linear, and highly sensitive power sources, such [...] Read more.
Over the past few years, there have been significant advancements in Microgrid (MG) systems, particularly in the field of power electronics. These advancements aim to address the needs of the grid and loads, while integrating low-voltage, non-linear, and highly sensitive power sources, such as solar PV modules, batteries, and supercapacitors. It is crucial to select the appropriate converter configuration and power converters in MG systems, as they greatly impact their optimal performance. To achieve the best results, numerous architectures and converter configurations have been suggested for integrating different energy sources. As a result, a considerable number of research articles have been published, necessitating a thorough review. This article continues studies of Part I and presents a comprehensive overview of various architectures based on the arrangement of different sources and provides a detailed analysis and discussion of these architectures. This article covers thirty-three different categories of DC-DC converters, both isolated and non-isolated. These converters are divided into subcategories, such as conventional type, switched-capacitor type, soft-switching type, multi-phase type, and multilevel type. The article also evaluates the suitability of these topologies based on factors such as high conversion gain, power decoupling, efficiency, isolation, power handling capabilities, and compact design. The critical examination and comparative study presented in this work can be valuable for industry professionals and academics in selecting the most suitable architectural and power converter topologies for optimal performance. Full article
(This article belongs to the Section A1: Smart Grids and Microgrids)
Show Figures

Figure 1

8 pages, 1246 KB  
Proceeding Paper
Current Density-Voltage (J-V) Characterization of Monolithic Nanolaminate Capacitors
by Zeinab Mousavi Karimi and Jeffrey A. Davis
Mater. Proc. 2023, 14(1), 54; https://doi.org/10.3390/IOCN2023-14590 - 12 Jun 2023
Viewed by 1834
Abstract
In a world of miniaturized electronics, there is a rapidly increasing need for reliable, efficient, and compact energy storage systems with low-loss dielectrics. To address this need, this work proposes the development of compact, micro-capacitive energy storage devices compatible with IC processing so [...] Read more.
In a world of miniaturized electronics, there is a rapidly increasing need for reliable, efficient, and compact energy storage systems with low-loss dielectrics. To address this need, this work proposes the development of compact, micro-capacitive energy storage devices compatible with IC processing so that they can be integrated monolithically on-chip. There are two main approaches to the fabrication of integrated on-chip micro-supercapacitor energy storage devices: interdigitated electrode (IDE) devices and parallel plate electrode (PPE) devices. As part of the design of such systems, this study aims to investigate the behavior of current density-voltage (J-V) in homogeneous and heterogeneous IDE and PPE devices to determine whether the anomalies between the interfaces of dielectric materials in such structures affect their leakage current. The ultimate goal is to design a solid-state capacitor energy storage module with low-loss dielectrics, high energy densities, and improved areal capacitance density that can offer a high number of charge/discharge cycles for portable power electronics. An understanding of J-V characteristics is crucial in achieving this objective. Specifically, this paper will explore and investigate nanolaminate, solid-state PPE, and IDE capacitive energy storage “modules” fabricated using nanolithographic techniques. The dielectric layers in these structures are composed of alternating nanolaminate layers of thin higher-k Al2O3 and lower-k SiO2. Recent findings have shown that capacitive energy storage devices made from a large number of these on-chip multilayer nanolaminate energy storage PPE (MNES-PPE) structures that utilize the interfacial anomalies of thin high-k/SiO2 nanolaminates could have the potential to overcome many of the limitations of current compact energy storage technologies. Preliminary projections indicate that these high-density nanolaminate capacitors with laminate thicknesses around 5 nm could produce devices with high volumetric energy densities (290 J/cm3) that are significantly higher than conventional supercapacitors (20 J/cm3). Full article
(This article belongs to the Proceedings of The 4th International Online Conference on Nanomaterials)
Show Figures

Figure 1

Back to TopTop