Sign in to use this feature.

Years

Between: -

Subjects

remove_circle_outline
remove_circle_outline
remove_circle_outline
remove_circle_outline

Journals

Article Types

Countries / Regions

Search Results (16)

Search Parameters:
Keywords = sulfonamide pyrazole

Order results
Result details
Results per page
Select all
Export citation of selected articles as:
5 pages, 932 KB  
Short Note
N-(3-(tert-Butyl)-1-methyl-1H-pyrazol-5-yl)-4-methyl-N-tosylbenzenesulfonamide
by Diana Becerra and Juan-Carlos Castillo
Molbank 2025, 2025(2), M1992; https://doi.org/10.3390/M1992 - 15 Apr 2025
Viewed by 5105
Abstract
N-(3-(tert-Butyl)-1-methyl-1H-pyrazol-5-yl)-4-methyl-N-tosylbenzenesulfonamide was efficiently synthesized in good yield through a triethylamine-mediated sulfonamidation reaction of 3-(tert-butyl)-1-methyl-1H-pyrazol-5-amine with 4-methylbenzenesulfonyl chloride in acetonitrile at room temperature. The pyrazole-based benzenesulfonamide was fully characterized using FT-IR, NMR, and HMRS techniques. Full article
(This article belongs to the Collection Heterocycle Reactions)
Show Figures

Figure 1

14 pages, 4194 KB  
Article
Improved Synthesis of Effective 3-(Indolin-6-yl)-4-(N-pyrazole-sulfonamide)-1H-pyrrolo[2,3-b]pyridine-Based Inhibitors of NADPH Oxidase 2
by Konstantin V. Potapov, Dmitry N. Platonov, Alexander Yu. Belyy, Maxim A. Novikov, Yury V. Tomilov, Anastasia A. Anashkina, Kristina A. Mukhina, Olga I. Kechko, Pavel N. Solyev, Roman A. Novikov, Alexander A. Makarov and Vladimir A. Mitkevich
Int. J. Mol. Sci. 2025, 26(8), 3647; https://doi.org/10.3390/ijms26083647 - 12 Apr 2025
Cited by 1 | Viewed by 1737
Abstract
NADPH oxidase enzymes (NOXs) are a family of enzymes generating superoxide, which form reactive oxygen species. NOX2 activity is a causative agent for the progression of many diseases: neurodegenerative, cardiovascular, immune dysregulations, and even hereditary diseases and cancer. Administering antioxidants helps in inhibiting [...] Read more.
NADPH oxidase enzymes (NOXs) are a family of enzymes generating superoxide, which form reactive oxygen species. NOX2 activity is a causative agent for the progression of many diseases: neurodegenerative, cardiovascular, immune dysregulations, and even hereditary diseases and cancer. Administering antioxidants helps in inhibiting NOX2 activity; however, the development of selective inhibitors may provide greater improvement in the therapy of diseases. Here, an optimized synthesis of two most promising NOX2 inhibitors based on the 3-(indolin-6-yl)-4-(N-pyrazole-sulfonamide)-1H-pyrrolo [2,3-b]pyridine structure, namely, GSK2795039 and NCATS-SM7270, and an isomeric derivative of the same class, IMBIOC-1, is reported. The new modified procedures simplify the isolation, reduce byproduct formation, and improve the yields in 0.1–1 g scale preparations. Molecular modeling of the structures of NOX2 complexes with inhibitors validated their binding at the same site as NADPH, with IMBIOC-1 forming the largest number of intermolecular interactions with the NOX2 active site. Testing the effects of the compounds on amyloid beta-induced oxidative stress and toxicity in HMC3 microglial cells showed that all three inhibitors completely prevented the pathological amyloid-beta effect. At the same time, NCATS-SM7270 and IMBIOC-1 provided a stronger protective effect on microglial cell survival than GSK2795039, which allowed us to assert the potential of those compounds as neuroprotective agents. Full article
(This article belongs to the Special Issue 25th Anniversary of IJMS: Advances in Biochemistry)
Show Figures

Figure 1

14 pages, 7720 KB  
Article
Development of Magnetic Lateral Flow and Direct Competitive Immunoassays for Sensitive and Specific Detection of Halosulfuron-Methyl Using a Novel Hapten and Monoclonal Antibody
by Ying Ying, Xueyan Cui, Hui Li, Lingyi Pan, Ting Luo, Zhen Cao and Jing Wang
Foods 2023, 12(14), 2764; https://doi.org/10.3390/foods12142764 - 20 Jul 2023
Cited by 3 | Viewed by 1899
Abstract
Halosulfuron-methyl (HM) is widely used for the removal of noxious weeds in corn, sugarcane, wheat, rice, and tomato fields. Despite its high efficiency and low toxicity, drift to nontarget crops and leaching of its metabolites to groundwater pose potential risks. Considering the instability [...] Read more.
Halosulfuron-methyl (HM) is widely used for the removal of noxious weeds in corn, sugarcane, wheat, rice, and tomato fields. Despite its high efficiency and low toxicity, drift to nontarget crops and leaching of its metabolites to groundwater pose potential risks. Considering the instability of HM, the pyrazole sulfonamide of HM was used to generate a hapten and antigen to raise a high-quality monoclonal antibody (Mab, designated 1A91H11) against HM. A direct competitive immunoassay (dcELISA) using Mab 1A91H11 achieved a half-maximal inhibitory concentration (IC50) of 1.5 × 10−3 mg/kg and a linear range of 0.7 × 10−3 mg/kg–10.7 × 10−3 mg/kg, which was 10 times more sensitive than a comparable indirect competitive ELISA (icELISA) and more simple to operate. A spiking recovery experiment performed in tomato and maize matrices with 0.01, 0.05, and 0.1 mg/kg HM had average recoveries within 78.9–87.9% and 103.0–107.4% and coefficients of variation from 1.1–6.8% and 2.7–6.4% in tomato and maize, respectively. In addition, a magnetic lateral flow immunoassay (MLFIA) was developed for quantitative detection of low concentrations of HM in paddy water. Compared with dcELISA, the MLFIA exhibited 3.3- to 50-fold higher sensitivity (IC50 0.21 × 10−3 mg/kg). The average recovery and RSD of the developed MLFIA ranged from 81.5 to 92.5% and 5.4 to 9.7%. The results of this study demonstrated that the developed dcELISA and MLFIA are suitable for rapid detection of HM residues in tomato and maize matrices and paddy water, respectively, with acceptable accuracy and precision. Full article
(This article belongs to the Special Issue Food Pesticide Residues Monitoring and Health Risk Assessment)
Show Figures

Figure 1

17 pages, 2862 KB  
Article
Carbonic Anhydrase Inhibition with Sulfonamides Incorporating Pyrazole- and Pyridazinecarboxamide Moieties Provides Examples of Isoform-Selective Inhibitors
by Andrea Angeli, Victor Kartsev, Anthi Petrou, Mariana Pinteala, Volodymyr Brovarets, Roman Vydzhak, Svitlana Panchishin, Athina Geronikaki and Claudiu T. Supuran
Molecules 2021, 26(22), 7023; https://doi.org/10.3390/molecules26227023 - 20 Nov 2021
Cited by 14 | Viewed by 3991
Abstract
A series of benzenesulfonamides incorporating pyrazole- and pyridazinecarboxamides decorated with several bulky moieties has been obtained by original procedures. The new derivatives were investigated for the inhibition of four physiologically crucial human carbonic anhydrase (hCA, EC 4.2.2.1.1) isoforms, hCA I and II (cytosolic [...] Read more.
A series of benzenesulfonamides incorporating pyrazole- and pyridazinecarboxamides decorated with several bulky moieties has been obtained by original procedures. The new derivatives were investigated for the inhibition of four physiologically crucial human carbonic anhydrase (hCA, EC 4.2.2.1.1) isoforms, hCA I and II (cytosolic enzymes) as well as hCA IX and XII (transmembrane, tumor-associated isoforms). Examples of isoform-selective inhibitors were obtained for all four enzymes investigated here, and a computational approach was employed for explaining the observed selectivity, which may be useful in drug design approaches for obtaining inhibitors with pharmacological applications useful as antiglaucoma, diuretic, antitumor or anti-cerebral ischemia drugs. Full article
Show Figures

Figure 1

12 pages, 2430 KB  
Communication
Design and Synthesis of a Novel NIR Celecoxib-Based Fluorescent Probe for Cyclooxygenase-2 Targeted Bioimaging in Tumor Cells
by Xinli Wang, Liye Wang, Lijun Xie, Zuoxu Xie, Li Li, Dinh Bui, Taijun Yin, Song Gao and Ming Hu
Molecules 2020, 25(18), 4037; https://doi.org/10.3390/molecules25184037 - 4 Sep 2020
Cited by 10 | Viewed by 3450
Abstract
Cyclooxygenase-2 (COX-2) imaging agents are potent tools for early cancer diagnosis. Almost all of the COX2 imaging agents using celecoxib as backbone were chemically modified in the position of N-atom in the sulfonamide group. Herein, a novel COX-2 probe (CCY-5) with high targeting [...] Read more.
Cyclooxygenase-2 (COX-2) imaging agents are potent tools for early cancer diagnosis. Almost all of the COX2 imaging agents using celecoxib as backbone were chemically modified in the position of N-atom in the sulfonamide group. Herein, a novel COX-2 probe (CCY-5) with high targeting ability and a near-infrared wavelength (achieved by attaching a CY-5 dye on the pyrazole ring of celecoxib using a migration strategy) was evaluated for its ability to probe COX-2 in human cancer cells. CCY-5 is expected to have high binding affinity for COX-2 based on molecular docking and enzyme inhibition assay. Meanwhile, CCY-5 caused stronger fluorescence imaging of COX-2 overexpressing cancer cells (Hela and SCC-9 cells) than that of normal cell lines (RAW 264.7 cells). Lipopolysaccharide (LPS) treated RAW264.7 cells revealed an enhanced fluorescence as LPS was known to induce COX-2 in these cells. In inhibitory studies, a markedly reduced fluorescence intensity was observed in cancer cells, when they were co-treated with a COX-2 inhibitor celecoxib. Therefore, CCY-5 may be a selective bioimaging agent for cancer cells overexpressing COX-2 and could be useful as a good monitoring candidate for effective diagnosis and therapy in cancer treatment. Full article
(This article belongs to the Section Bioorganic Chemistry)
Show Figures

Graphical abstract

14 pages, 1833 KB  
Article
Aryl-4,5-dihydro-1H-pyrazole-1-carboxamide Derivatives Bearing a Sulfonamide Moiety Show Single-digit Nanomolar-to-Subnanomolar Inhibition Constants against the Tumor-associated Human Carbonic Anhydrases IX and XII
by Priya Hargunani, Nikhil Tadge, Mariangela Ceruso, Janis Leitans, Andris Kazaks, Kaspars Tars, Paola Gratteri, Claudiu T. Supuran, Alessio Nocentini and Mrunmayee P. Toraskar
Int. J. Mol. Sci. 2020, 21(7), 2621; https://doi.org/10.3390/ijms21072621 - 9 Apr 2020
Cited by 7 | Viewed by 3443
Abstract
A series of new 3-phenyl-5-aryl-N-(4-sulfamoylphenyl)-4,5-dihydro-1H-pyrazole-1-carboxamide derivatives was designed here, synthesized, and studied for carbonic anhydrase (CAs, EC 4.2.1.1) inhibitory activity against the human (h) isozymes I, II, and VII (cytosolic, off-target isoforms), and IX and XII (anticancer drug targets). [...] Read more.
A series of new 3-phenyl-5-aryl-N-(4-sulfamoylphenyl)-4,5-dihydro-1H-pyrazole-1-carboxamide derivatives was designed here, synthesized, and studied for carbonic anhydrase (CAs, EC 4.2.1.1) inhibitory activity against the human (h) isozymes I, II, and VII (cytosolic, off-target isoforms), and IX and XII (anticancer drug targets). Generally, CA I was not effectively inhibited, whereas effective inhibitors were identified against both CAs II (KIs in the range of 5.2–233 nM) and VII (KIs in the range of 2.3–350 nM). Nonetheless, CAs IX and XII were the most susceptible isoforms to this class of inhibitors. In particular, compounds bearing an unsubstituted phenyl ring at the pyrazoline 3 position showed 1.3–1.5 nM KIs against CA IX. In contrast, a subset of derivatives having a 4-halo-phenyl at the same position of the aromatic scaffold even reached subnanomolar KIs against CA XII (0.62–0.99 nM). Docking studies with CA IX and XII were used to shed light on the derivative binding mode driving the preferential inhibition of the tumor-associated CAs. The identified potent and selective CA IX/XII inhibitors are of interest as leads for the development of new anticancer strategies. Full article
(This article belongs to the Special Issue Protease and Carbonic Anhydrase Inhibitors, II)
Show Figures

Figure 1

27 pages, 6868 KB  
Article
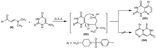
Rational Design and Synthesis of Diverse Pyrimidine Molecules Bearing Sulfonamide Moiety as Novel ERK Inhibitors
by Ahmed H. Halawa, Areej A. Eskandrani, Walid E. Elgammal, Saber M. Hassan, Ahmed H. Hassan, Hassan Y. Ebrahim, Ahmed B. M. Mehany, Ahmed M. El-Agrody and Rawda M. Okasha
Int. J. Mol. Sci. 2019, 20(22), 5592; https://doi.org/10.3390/ijms20225592 - 8 Nov 2019
Cited by 20 | Viewed by 3871
Abstract
Protein kinases orchestrate diverse cellular functions; however, their dysregulation is linked to metabolic dysfunctions, associated with many diseases, including cancer. Mitogen-Activated Protein (MAP) kinase is a notoriously oncogenic signaling pathway in human malignancies, where the extracellular signal-regulated kinases (ERK1/2) are focal serine/threonine kinases [...] Read more.
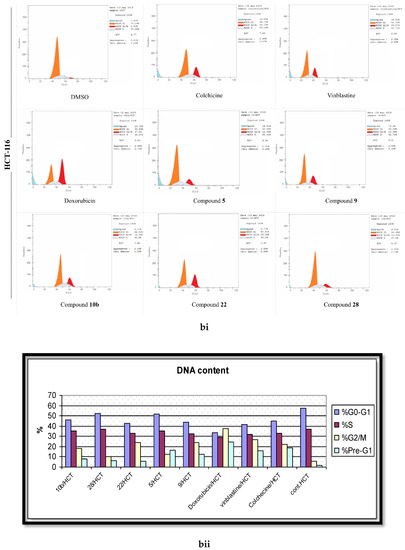
Protein kinases orchestrate diverse cellular functions; however, their dysregulation is linked to metabolic dysfunctions, associated with many diseases, including cancer. Mitogen-Activated Protein (MAP) kinase is a notoriously oncogenic signaling pathway in human malignancies, where the extracellular signal-regulated kinases (ERK1/2) are focal serine/threonine kinases in the MAP kinase module with numerous cytosolic and nuclear mitogenic effector proteins. Subsequently, hampering the ERK kinase activity by small molecule inhibitors is a robust strategy to control the malignancies with aberrant MAP kinase signaling cascades. Consequently, new heterocyclic compounds, containing a sulfonamide moiety, were rationally designed, aided by the molecular docking of the starting reactant 1-(4-((4-methylpiperidin-1-yl)sulfonyl)phenyl)ethan-1-one (3) at the ATP binding pocket of the ERK kinase domain, which was relying on the molecular extension tactic. The identities of the synthesized compounds (433) were proven by their spectral data and elemental analysis. The target compounds exhibited pronounced anti-proliferative activities against the MCF-7, HepG-2, and HCT-116 cancerous cell lines with potencies reaching a 2.96 μM for the most active compound (22). Moreover, compounds 5, 9, 10b, 22, and 28 displayed a significant G2/M phase arrest and induction of the apoptosis, which was confirmed by the cell cycle analysis and the flow cytometry. Thus, the molecular extension of a small fragment bounded at the ERK kinase domain is a valid tactic for the rational synthesis of the ERK inhibitors to control various human malignancies. Full article
(This article belongs to the Section Molecular Biology)
Show Figures

Graphical abstract

19 pages, 9550 KB  
Article
Synthesis, Fungicidal Activity and SAR of 2-Thiazolamide/Pyrazolamide-Cyclohexylsulfonamides against Botrytis cinerea
by Shen Zhang, Siqi Meng, Yong Xie, Yonggui Yang, Yumeng Zhang, Lu He, Kai Wang, Zhiqiu Qi, Mingshan Ji, Peiwen Qin and Xinghai Li
Molecules 2019, 24(14), 2607; https://doi.org/10.3390/molecules24142607 - 17 Jul 2019
Cited by 9 | Viewed by 3602
Abstract
In order to explore more efficient sulfonamides against Botrytis cinereal, 36 novel cyclohexylsulfonamides were synthesized by N-(3-dimethylaminopropyl)-N′-ethylcarbodiimide (EDCI) and 1-hydroxybenzotriazole (HOBt) condensation reaction using chesulfamide as a lead compound, introducing thiazole and pyrazole active groups. Their structures were characterized [...] Read more.
In order to explore more efficient sulfonamides against Botrytis cinereal, 36 novel cyclohexylsulfonamides were synthesized by N-(3-dimethylaminopropyl)-N′-ethylcarbodiimide (EDCI) and 1-hydroxybenzotriazole (HOBt) condensation reaction using chesulfamide as a lead compound, introducing thiazole and pyrazole active groups. Their structures were characterized by 1H-NMR, 13C-NMR, mass spectrum (MS), and elemental analysis. Compound III -31 was further confirmed by X-ray single crystal diffraction. The in vitro and in vivo fungicidal activities against B. cinerea were evaluated by three bioassay methods. The results of mycelial growth demonstrated that median effective concentration (EC50) values of nine compounds were close to boscalid (EC50 = 1.72 µg/mL) and procymidone (EC50 = 1.79 µg/mL) against B. cinerea (KZ-9). In the spore germination experiment, it was found that compounds III-19 and III-31 inhibited germination 93.89 and 98.00%, respectively; at 10 µg/mL, they approached boscalid (95.97%). In the tomato pot experiment, the control effects of two compounds (III-21 and III-27) were 89.80 and 87.90%, respectively, at 200 µg/mL which were significantly higher than boscalid (81.99%). The structure–activity relationship (SAR) was also discussed, which provided a valuable idea for developing new fungicides. Full article
(This article belongs to the Section Bioorganic Chemistry)
Show Figures

Figure 1

20 pages, 2407 KB  
Article
Synthesis of New Triarylpyrazole Derivatives Possessing Terminal Sulfonamide Moiety and Their Inhibitory Effects on PGE2 and Nitric Oxide Productions in Lipopolysaccharide-Induced RAW 264.7 Macrophages
by Mohammed S. Abdel-Maksoud, Mohammed I. El-Gamal, Mahmoud M. Gamal El-Din, Yunji Choi, Jungseung Choi, Ji-Sun Shin, Shin-Young Kang, Kyung Ho Yoo, Kyung-Tae Lee, Daejin Baek and Chang-Hyun Oh
Molecules 2018, 23(10), 2556; https://doi.org/10.3390/molecules23102556 - 7 Oct 2018
Cited by 12 | Viewed by 3363
Abstract
This article describes the design, synthesis, and in vitro anti-inflammatory screening of new triarylpyrazole derivatives. A total of 34 new compounds were synthesized containing a terminal arylsulfonamide moiety and a different linker between the sulfonamide and pyridine ring at position 4 of the [...] Read more.
This article describes the design, synthesis, and in vitro anti-inflammatory screening of new triarylpyrazole derivatives. A total of 34 new compounds were synthesized containing a terminal arylsulfonamide moiety and a different linker between the sulfonamide and pyridine ring at position 4 of the pyrazole ring. All the target compounds were tested for both cytotoxicity and nitric oxide (NO) production inhibition in lipopolysaccharide (LPS)-induced RAW 264.7 macrophages. Compounds 1b, 1d, 1g, 2a, and 2c showed the highest NO inhibition percentages and the lowest cytotoxic effect. The most potent derivatives were tested for their ability to inhibit prostaglandin E2 (PGE2) in LPS-induced RAW 264.7 macrophages. The IC50 for nitric oxide inhibition, PGE2 inhibition, and cell viability were determined. In addition, 1b, 1d, 1g, 2a, and 2c were tested for their inhibitory effect on LPS-induced inducible nitric oxide synthase (iNOS) and Cyclooxygenase 2 (COX-2) protein expression as well as iNOS enzymatic activity. Full article
(This article belongs to the Section Medicinal Chemistry)
Show Figures

Graphical abstract

14 pages, 2359 KB  
Article
A Chemical Genetics Strategy That Identifies Small Molecules Which Induce the Triple Response in Arabidopsis
by Keimei Oh, Tomoki Hoshi, Sumiya Tomio, Kenji Ueda and Kojiro Hara
Molecules 2017, 22(12), 2270; https://doi.org/10.3390/molecules22122270 - 19 Dec 2017
Cited by 8 | Viewed by 6496
Abstract
To explore small molecules with ethylene-like biological activity, we conducted a triple response-based assay system for chemical library screening. Among 9600 compounds, we found N-[(1,3,5-trimethyl-1H-pyrazol-4-yl)methyl]-N-methyl-2-naphthalenesulfonamide (EH-1) displayed promising biological activity on inducing a triple response in [...] Read more.
To explore small molecules with ethylene-like biological activity, we conducted a triple response-based assay system for chemical library screening. Among 9600 compounds, we found N-[(1,3,5-trimethyl-1H-pyrazol-4-yl)methyl]-N-methyl-2-naphthalenesulfonamide (EH-1) displayed promising biological activity on inducing a triple response in Arabidopsis seedlings. Chemical synthesis and structure–activity relationship (SAR) analysis of EH-1 analogues with different substitution patterns on the phenyl ring structure of the sulfonamide group indicated that 3,4-dichloro-N-methyl-N-(1,3,5-trimethyl-1H-pyrazol-4-yl-methyl)benzenesulfonamide (8) exhibits the most potent biological activity. To determine the mechanism of action, we conducted RNA sequencing (RNA-Seq) analysis of the effect of EH-1 and 1-aminocyclopropane-1-carboxylate (ACC), the precursor of ethylene biosynthesis, following the quantitative real-time polymerase chain reaction (RT-PCR) confirmation. Data obtained from RNA-Seq analysis indicated that EH-1 and ACC significantly induced the expression of 39 and 48 genes, respectively (above 20 fold of control), among which five genes are up-regulated by EH-1 as well as by ACC. We also found 67 and 32 genes that are significantly down-regulated, respectively, among which seven genes are in common. For quantitative RT-PCR analysis. 12 up-regulated genes were selected from the data obtained from RNA-Seq analysis. We found a good correlation of quantitative RT-PCR analysis and RNA-Seq analysis. Based on these results, we conclude that the action mechanism of EH-1 on inducing triple response in Arabidopsis is different from that of ACC. Full article
(This article belongs to the Special Issue Sulfonamides)
Show Figures

Figure 1

19 pages, 771 KB  
Article
Synthesis, Characterization, Antimicrobial Screening and Free-Radical Scavenging Activity of Some Novel Substituted Pyrazoles
by Nagwa Mohamed Mahrous Hamada and Nadia Yousef Megally Abdo
Molecules 2015, 20(6), 10468-10486; https://doi.org/10.3390/molecules200610468 - 8 Jun 2015
Cited by 41 | Viewed by 8918
Abstract
The present work deals with the synthesis of acetoxysulfonamide pyrazole derivatives, substituted 4,5-dihydropyrazole-1-carbothioamide and 4,5-dihydropyrazole-1-isonicotinoyl derivatives starting from substituted vanillin chalcones. Acetoxysulfonamide pyrazole derivatives were prepared from the reaction of chalcones with p-sulfamylphenylhydrazine followed by treatment with acetic anhydride. At the same [...] Read more.
The present work deals with the synthesis of acetoxysulfonamide pyrazole derivatives, substituted 4,5-dihydropyrazole-1-carbothioamide and 4,5-dihydropyrazole-1-isonicotinoyl derivatives starting from substituted vanillin chalcones. Acetoxysulfonamide pyrazole derivatives were prepared from the reaction of chalcones with p-sulfamylphenylhydrazine followed by treatment with acetic anhydride. At the same time 4,5-dihydropyrazole-1-carbothioamide and 4,5-dihydropyrazole-1-isonicotinoyl derivatives were prepared from the reaction of chalcones with either thiosemicarbazide or isonicotinic acid hydrazide, respectively. The synthesized compounds were structurally characterized on the basis of IR, 1H-NMR, 13C-NMR spectral data and microanalyses. All of the newly isolated compounds were tested for their antimicrobial activities. The antimicrobial screening using the agar well-diffusion method revealed that the chloro derivatives are the most active ones. Moreover, the antioxidant and anti-inflammatory activity of these chloro derivatives are also studied using the DPPH radical scavenging and NO radical scavenging methods, respectively. Full article
(This article belongs to the Collection Heterocyclic Compounds)
Show Figures

Graphical abstract

15 pages, 353 KB  
Article
Synthesis, Characterization and Anti-Breast Cancer Activity of New 4-Aminoantipyrine-Based Heterocycles
by Mostafa M. Ghorab, Marwa G. El-Gazzar and Mansour S. Alsaid
Int. J. Mol. Sci. 2014, 15(5), 7539-7553; https://doi.org/10.3390/ijms15057539 - 2 May 2014
Cited by 63 | Viewed by 8074
Abstract
4-Aminoantipyrine was utilized as key intermediate for the synthesis of pyrazolone derivatives bearing biologically active moieties. The newly synthesized compounds were characterized by IR, 1H- and 13C-NMR spectral and microanalytical studies. The compounds were screened as anticancer agents against a human [...] Read more.
4-Aminoantipyrine was utilized as key intermediate for the synthesis of pyrazolone derivatives bearing biologically active moieties. The newly synthesized compounds were characterized by IR, 1H- and 13C-NMR spectral and microanalytical studies. The compounds were screened as anticancer agents against a human tumor breast cancer cell line MCF7, and the results showed that (Z)-4-((3-amino-5-imino-1-phenyl-1H-pyrazol-4(5H)-ylidene)methylamino)-1,5-dimethyl-2-phenyl-1,2-dihydropyrazol-3-one 5, 3-(4-bromophenyl) -1-(1,5-dimethyl-3-oxo-2-phenyl-2,3-dihydro-1H-pyrazol-4-yl)-4-oxo-2-thioxo-1,2,3,4-tetrahydropyrimidine-5-carbonitrile 13, 1-(1,5-dimethyl-3-oxo-2-phenyl-2,3-dihydro-1H-pyrazol-4-yl)-3-(4-iodophenyl)-4-oxo-2-thioxo-1,2,3,4-tetrahydropyrimidine-5-carbonitrile 14, 3,3′-(4,4′-sulfonylbis(4,1-phenylene))bis(1-(1,5-dimethyl-3-oxo-2-phenyl-2,3-dihydro-1H-pyrazol-4-yl)-4-oxo-2-thioxo-1,2,3,4-tetrahydropyrimidine-5-carbonitrile) 16, (Z)-1- (1,5-dimethyl-3-oxo-2-phenyl-2,3-dihydro-1H-pyrazol-4-yl)-2-hydrazono-4-oxo-3-phenyl-1,2,3,4-tetrahydropyrimidine-5-carbonitrile 17, (Z)-1-(1,5-dimethyl-3-oxo-2-phenyl- 2,3-dihydro-1H-pyrazol-4-yl)-4-oxo-3-phenyl-2-(2-phenylhydrazono)-1,2,3,4-tetrahydro pyrimidine-5-carbonitrile 18, and (Z)-4-(3-amino-6-hydrazono-7-phenyl-6,7-dihydro pyrazolo[3,4-d]pyrimidin-5-yl)-1,5-dimethyl-2-phenyl-1,2-dihydropyrazol-3-one 19 were the most active compounds with IC50 values ranging from 30.68 to 60.72 µM compared with Doxorubicin as positive control with the IC50 value 71.8 µM. Full article
(This article belongs to the Special Issue Molecular Science for Drug Development and Biomedicine)
Show Figures

14 pages, 253 KB  
Article
Synthesis and Anti-Breast Cancer Evaluation of Novel N-(Guanidinyl)benzenesulfonamides
by Mostafa M. Ghorab, Marwa G. El-Gazzar and Mansour S. Alsaid
Int. J. Mol. Sci. 2014, 15(4), 5582-5595; https://doi.org/10.3390/ijms15045582 - 1 Apr 2014
Cited by 19 | Viewed by 6737
Abstract
A series of 4-(substituted)-N-(guanidinyl)benzenesulfonamides bearing biologically active pyrazole, pyrimidine and pyridine moieties were prepared and evaluated for their anticancer activity against human tumor breast cell line (MCF7). These sulfonamides showed promising activity with IC50 values ranging from 49.5 to 70.2 [...] Read more.
A series of 4-(substituted)-N-(guanidinyl)benzenesulfonamides bearing biologically active pyrazole, pyrimidine and pyridine moieties were prepared and evaluated for their anticancer activity against human tumor breast cell line (MCF7). These sulfonamides showed promising activity with IC50 values ranging from 49.5 to 70.2 μM. The structure-activity relationship of the synthesized compounds was studied. Interestingly, it was found that the most potent compounds in this study were the corresponding 2-cyanoacrylate 3, 3-oxobutanoate 4, pyrazole 6, pyridine 9 and pyrazole 13. Compounds 7 and 8 are nearly as active as Doxorubicin as reference drug with (IC50 values = 70.2, 68.1 μM), while compounds 5, 10 and 11 exhibited a moderate activity. Full article
(This article belongs to the Section Biochemistry)
Show Figures

18 pages, 300 KB  
Article
Synthesis and Antimicrobial Evaluation of Some Novel Thiazole, Pyridone, Pyrazole, Chromene, Hydrazone Derivatives Bearing a Biologically Active Sulfonamide Moiety
by Elham S. Darwish, Azza M. Abdel Fattah, Fawzy A. Attaby and Oqba N. Al-Shayea
Int. J. Mol. Sci. 2014, 15(1), 1237-1254; https://doi.org/10.3390/ijms15011237 - 17 Jan 2014
Cited by 62 | Viewed by 10143
Abstract
This study aimed for the synthesis of new heterocyclic compounds incorporating sulfamoyl moiety suitable for use as antimicrobial agents via a versatile, readily accessible N-[4-(aminosulfonyl)phenyl]-2-cyanoacetamide (3). The 2-pyridone derivatives were obtained via reaction of cyanoacetamide with acetylacetone or arylidenes malononitrile. [...] Read more.
This study aimed for the synthesis of new heterocyclic compounds incorporating sulfamoyl moiety suitable for use as antimicrobial agents via a versatile, readily accessible N-[4-(aminosulfonyl)phenyl]-2-cyanoacetamide (3). The 2-pyridone derivatives were obtained via reaction of cyanoacetamide with acetylacetone or arylidenes malononitrile. Cycloaddition reaction of cyanoacetamide with salicyaldehyde furnished chromene derivatives. Diazotization of 3 with the desired diazonium chloride gave the hydrazone derivatives 13ae. Also, the reactivity of the hydrazone towards hydrazine hydrate to give Pyrazole derivatives was studied. In addition, treatment of 3 with elemental sulfur and phenyl isothiocyanate or malononitrile furnished thiazole and thiophene derivatives respectively. Reaction of 3 with phenyl isothiocyanate and KOH in DMF afforded the intermediate salt 17 which reacted in situ with 3-(2-bromoacetyl)-2H-chromen-2-one and methyl iodide afforded the thiazole and ketene N,S-acetal derivatives respectively. Finally, reaction of 3 with carbon disulfide and 1,3-dibromopropane afforded the N-[4-(aminosulfonyl) phenyl]-2-cyano-2-(1,3-dithian-2-ylidene)acetamide product 22. All newly synthesized compounds were elucidated by considering the data of both elemental and spectral analysis. The compounds were evaluated for both their in vitro antibacterial and antifungal activities and showed promising results. Full article
Show Figures

20 pages, 336 KB  
Article
Synthesis and Characterization of Celecoxib Derivatives as Possible Anti-Inflammatory, Analgesic, Antioxidant, Anticancer and Anti-HCV Agents
by Ş. Güniz Küçükgüzel, İnci Coşkun, Sevil Aydın, Göknur Aktay, Şule Gürsoy, Özge Çevik, Özlem Bingöl Özakpınar, Derya Özsavcı, Azize Şener, Neerja Kaushik-Basu, Amartya Basu and Tanaji T. Talele
Molecules 2013, 18(3), 3595-3614; https://doi.org/10.3390/molecules18033595 - 21 Mar 2013
Cited by 49 | Viewed by 12509
Abstract
A series of novel N-(3-substituted aryl/alkyl-4-oxo-1,3-thiazolidin-2-ylidene)-4-[5-(4-methylphenyl)-3-(trifluoromethyl)-1H-pyrazol-1-yl]benzenesulfonamides 2ae were synthesized by the addition of ethyl a-bromoacetate and anhydrous sodium acetate in dry ethanol to N-(substituted aryl/alkylcarbamothioyl)-4-[5-(4-methylphenyl)-3-(trifluoro-methyl)-1H-pyrazol-1-yl]benzene sulfonamides 1ae, which were synthesized by the [...] Read more.
A series of novel N-(3-substituted aryl/alkyl-4-oxo-1,3-thiazolidin-2-ylidene)-4-[5-(4-methylphenyl)-3-(trifluoromethyl)-1H-pyrazol-1-yl]benzenesulfonamides 2ae were synthesized by the addition of ethyl a-bromoacetate and anhydrous sodium acetate in dry ethanol to N-(substituted aryl/alkylcarbamothioyl)-4-[5-(4-methylphenyl)-3-(trifluoro-methyl)-1H-pyrazol-1-yl]benzene sulfonamides 1ae, which were synthesized by the reaction of alkyl/aryl isothiocyanates with celecoxib. The structures of the isolated products were determined by spectral methods and their anti-inflammatory, analgesic, antioxidant, anticancer and anti-HCV NS5B RNA-dependent RNA polymerase (RdRp) activities evaluated. The compounds were also tested for gastric toxicity and selected compound 1a was screened for its anticancer activity against 60 human tumor cell lines. These investigations revealed that compound 1a exhibited anti-inflammatory and analgesic activities and further did not cause tissue damage in liver, kidney, colon and brain compared to untreated controls or celecoxib. Compounds 1c and 1d displayed modest inhibition of HCV NS5B RdRp activity. In conclusion, N-(ethylcarbamothioyl)-4-[5-(4-methylphenyl)-3-(trifluoromethyl)-1H-pyrazol-1-yl]benzenesulfonamide (1a) may have the potential to be developed into a therapeutic agent. Full article
(This article belongs to the Special Issue Anti-Inflammatory & Anti-Allergy Agents in Medicinal Chemistry)
Show Figures

Figure 1

Back to TopTop