Abstract
This article describes the design, synthesis, and in vitro anti-inflammatory screening of new triarylpyrazole derivatives. A total of 34 new compounds were synthesized containing a terminal arylsulfonamide moiety and a different linker between the sulfonamide and pyridine ring at position 4 of the pyrazole ring. All the target compounds were tested for both cytotoxicity and nitric oxide (NO) production inhibition in lipopolysaccharide (LPS)-induced RAW 264.7 macrophages. Compounds 1b, 1d, 1g, 2a, and 2c showed the highest NO inhibition percentages and the lowest cytotoxic effect. The most potent derivatives were tested for their ability to inhibit prostaglandin E2 (PGE2) in LPS-induced RAW 264.7 macrophages. The IC50 for nitric oxide inhibition, PGE2 inhibition, and cell viability were determined. In addition, 1b, 1d, 1g, 2a, and 2c were tested for their inhibitory effect on LPS-induced inducible nitric oxide synthase (iNOS) and Cyclooxygenase 2 (COX-2) protein expression as well as iNOS enzymatic activity.
1. Introduction
Inflammation is one of the most important and complicated defense mechanisms. Inflammation participates in vital pathological and physiological processes like infection and wound healing [1]. As a result of tissue damage, many chemical intermediates are released in the damaged area. The chemical intermediates (such as E, L, and P-selectin and chemokines) initiate activation and migration of white blood cells to the damaged area. Eosinophils and neutrophils are the first leucocytes that migrate to the affected area followed by macrophages that release a number of cytokines and growth factors that affect the surrounding tissues [2,3,4,5]. Inflammation can be acute, occurring as part of a healing process, or chronic inflammation, which arises from the over response of the immune system and can lead to tissue damage. Chronic inflammation contributes to several physiological disorders such as neurodegenerative diseases [6], cancer [7], inflammatory bowel disease [8], and arteriosclerosis [9].
At the inflammation site, monocytes are converted to macrophages that release a large amount of nitric oxide (NO). Nitric oxide is produced as a result of oxidation of l-arginine by one of the nitric oxide synthase family members: endothelial nitric oxide synthase (eNOS), neuronal NOS (nNOS), which is a calcium-dependent enzyme, and inducible NOS (iNOS), which is calcium-independent enzyme) [10,11]. The presence of pro-inflammatory and chemical stimuli, such as lipopolysaccharide (LPS), leads to over-expression of iNOS [12]. Successful NO production inhibitory agents act through inhibition of iNOS protein expression and/or inhibition of iNOS enzymatic activity.
In addition to nitric oxide, prostaglandins are another important inflammation phospholipid by-product [13]. Prostaglandin E2 (PGE2) plays an important role in most inflammation conditions [14], such as glomerulonephritis, which may lead to renal failure [15]. The production of PGE2 is initiated by membrane phospholipids that are converted to arachidonic acid under the effect of the phospholipases enzyme. Arachidonic acid is transformed first to prostaglandin H2, which finally produces PGE2 [16]. The increase in both prostaglandin E2 and nitric oxide in chronic inflammation cases can lead to severe complicated physiological disorders [17,18]. So, the inhibition of both PGE2 and nitric oxide could result in the discovery of new anti-inflammatory drug candidates.
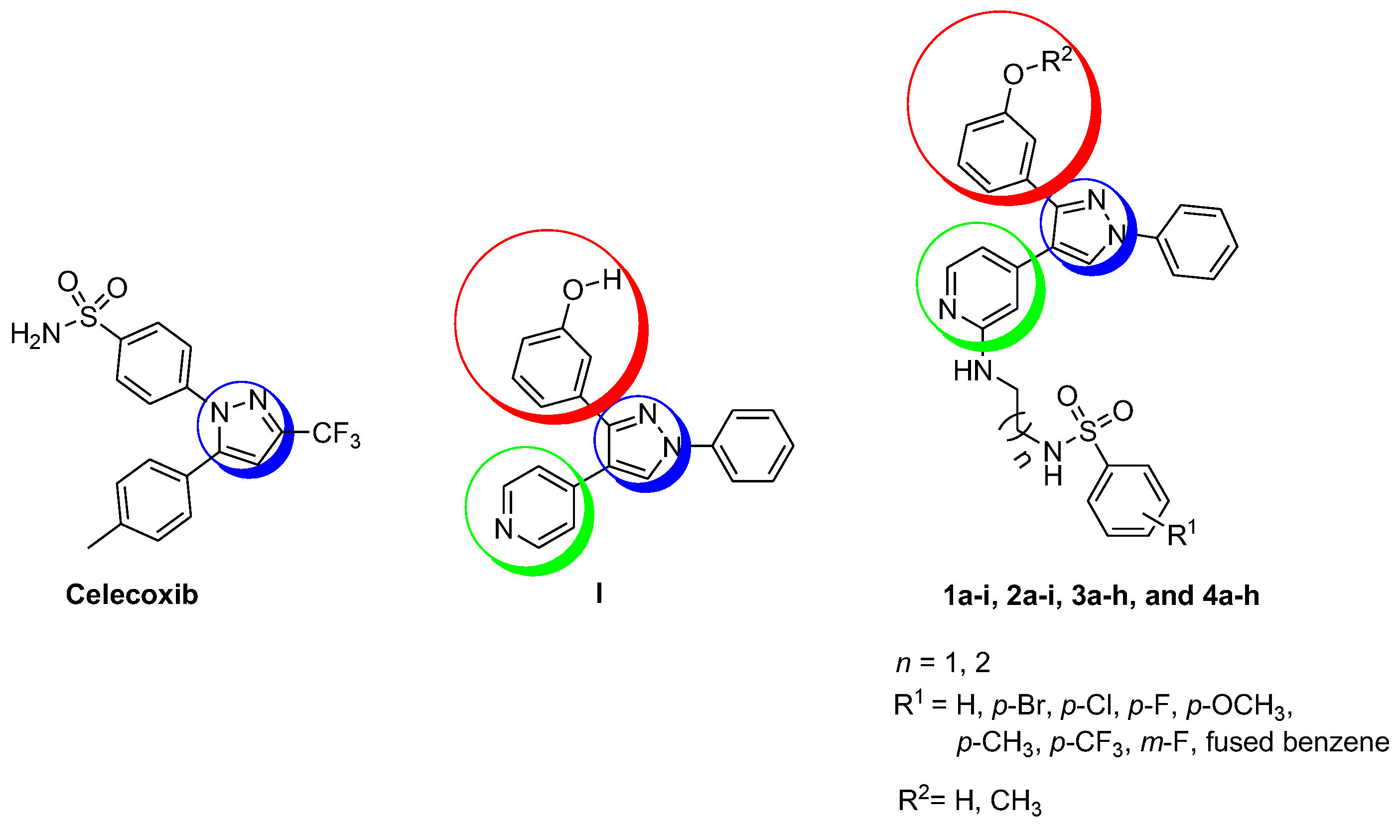
Several scaffolds have been investigated for their antiinflammatory activity, such as thiadiazole [19,20,21], chromones [22,23], triazoles [24], imidazole [25], and pyrazole. Many compounds with a pyrazole backbone have been proven to exhibit both anticancer [26,27,28,29,30,31] and antiinflammatory effects [32,33,34,35]. Celecoxib is an anti-inflammatory drug that contains diarylpyrazole as a back bone and works through inhibition of the COX-2 enzyme [36,37]. Previously, we reported the synthesis of a series of triarylpyrazoles [38,39,40,41], from which compound I (Figure 1) showed the highest activity for both nitric oxide and PGE2 production inhibition [40]. In the current work and based on our previous work, we synthesized a new series of triarylpyrazole derivatives. The new series contains 2-substituted pyridine at position 4 of the pyrazole ring. The substitutions contain a terminal sulfonamide moiety and a different linker between the sulfonamide and pyridine ring. The linker we used to investigate the effect of linker length on the activity was either ethylene or propylene. The new series was screened for its ability to inhibit nitric oxide; their cytotoxicity on RAW 264.7 macrophages was also investigated. The most potent compounds were tested for their inhibitory effect on PGE2 and iNOS expression.
Figure 1.
General structures of the target compounds, Celecoxib, and previously-reported pyrazole compound [40].
2. Results and Discussion
2.1. Chemistry
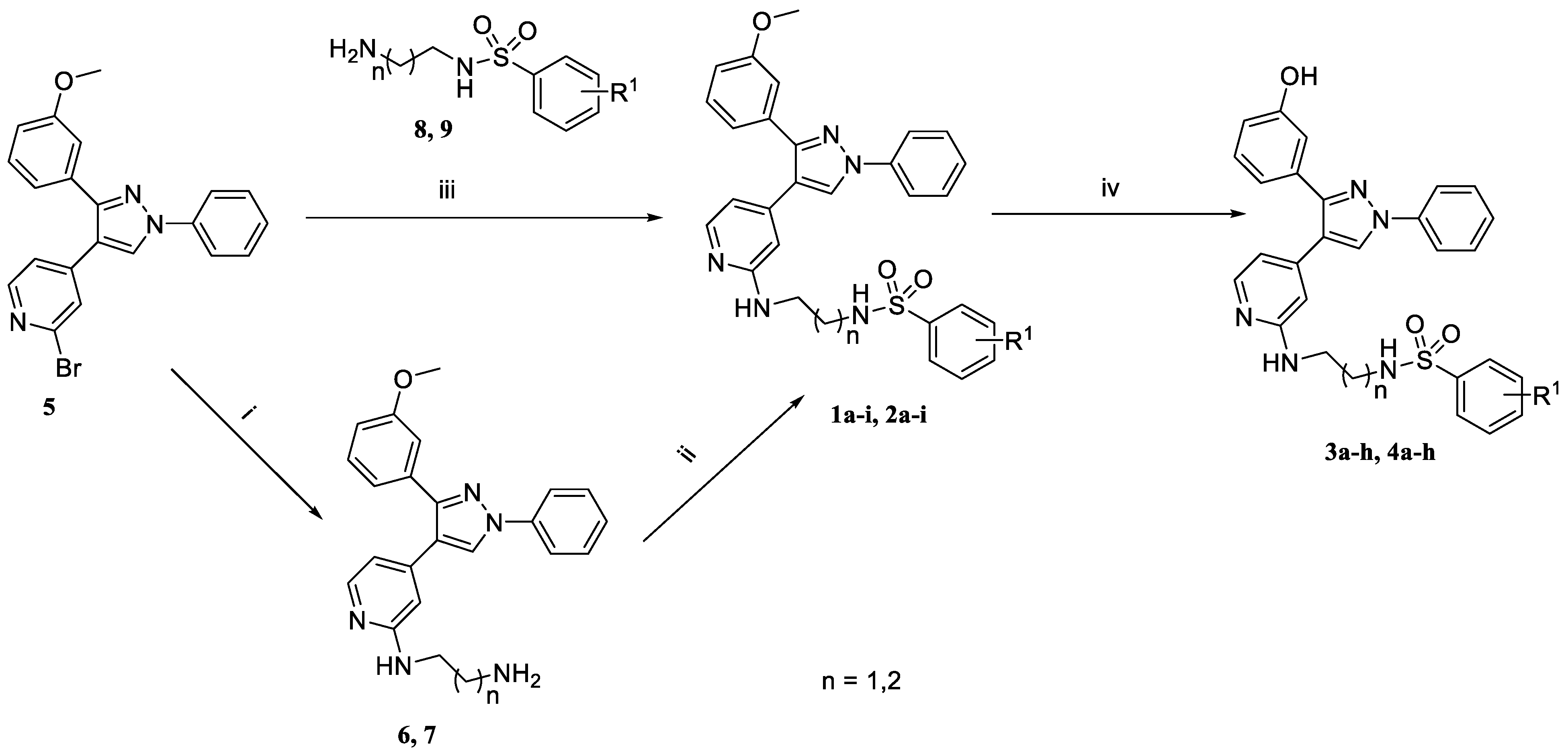
The synthesis of the final target compounds 1a–i, 2a–i, 3a–h, and 4a–h was achieved by adopting the synthetic strategy illustrated in Scheme 1. We first synthesized the side chains 8a–i and 9a–i. The main intermediate 5 was synthesized according to previously reported procedures [42,43]. Eventually, the target compounds 1a–i and 2a–i were obtained by coupling compound 5 with 8a–i and 9a–i using pyridine as a solvent and refluxing for 12 h. Another pathway to obtain 1a–i and 2a–i was refluxing 5 with 1,2-ethylenediamine or 1,3-propylenediamine to produce 6 and 7, which, upon reaction with the appropriate arylsulfonyl chloride in the presence of triethylamine, produced the desired final compounds 1a–i and 2a–i. Demethylation of compounds 1 and 2 using boron tribromide produced the hydroxyl final analogues 3a–h and 4a–h (Scheme 1). The structures of the final target compounds and their yields are represented in Table 1.
Scheme 1.
Synthesis of final target compounds 1a–i, 2a–i, 3a–h, and 4a–h. Reagents and conditions: (i) 1,2-ethylenediamine or 1,3-propylenediamine, reflux 8 h; (ii) appropriate aryl sulfonyl chloride, Triethylamine, Dichloromethane, 0 °C, overnight; (iii) pyridine, 8a–i or 9a–i, reflux 12 h; and (vii) BBr3, DCM, −78 °C; 0 °C, overnight.
Table 1.
Structures and yields of the final target compounds.
2.2. Biology
The ability of a certain molecule to inhibit the production of inflammatory mediator(s) is one of successful approach to treatment both chronic and acute inflammation. The final target compounds 1a–i, 2a–i, 3a–h, and 4a–h were tested for their ability to inhibit NO release in LPS-induced RAW 264.7 macrophages at three different concentrations (Table 2).
Table 2.
Nitric oxide production inhibition of the final target compounds at different dose levels.
The tested derivatives exhibited diverse activity for NO production inhibition. All compounds inhibited NO release in a dose-dependent manner. For series 1a–i, most of the compounds inhibited the production of NO by 50% or more at 10 µM. Compound 1b (p-bromo) showed the highest inhibition at 68.66% followed by 1d (p-flouro) with inhibition of 61.28%, then 1g (p-CF3) with inhibition 60.80%. Compound 1a, 1f, and 1i had moderate activity with 52.93%, 53.09%, and 51.51% inhibition, respectively. Regarding compounds 2a–i, the highest inhibition was obtained from compounds 2a (62.76%), 2c (59.09%), 2g (56.03%), 2d (55.00%), and 2b (52.44%). Generally for methoxy series, derivatives with ethylene bridges were more active compared to compounds with propylene bridges. In addition, compounds with electron-withdrawing groups were more potent compared to compounds with electron-donating groups, and para substitutions were slightly more active than meta substitutions. The electronic nature and the position of the substituents were other important factors that confer optimum affinity to the receptor site.
Derivatives containing hydroxyl group, 3a–h and 4a–h, were less active compared to methoxy derivatives. The highest percent inhibition for 3a–h was exhibited by 3a (48.97%). Series 4a–h showed good inhibition with the highest demonstrated by compound 4b (63.85%) followed by 4e (59.69%), 4a (59.25%), 4f (53.82%), and 4g (51.15%), as illustrated in Table 2. The methoxy group is more hydrophobic and bulkier than hydroxyl, and this might affect the activity by enhancing the molecule’s ability to cross the cell membrane and/or increasing the affinity with the target receptor site. Furthermore, the most active compounds (e.g., 1b) were more active than the lead compound possessing no tether on the pyridyl ring [33]. So, this side chain is an important contributor to the inhibition activity, which could improve the molecular affinity to its receptor site.
In addition to NO inhibition, the cytotoxic activity of compounds 1a–i, 2a–i, 3a–h, and 4a–h in RAW 264.7 macrophages were measured using the 3-(4,5-dimethylthiazol-2-yl)-2,5-diphenyltetrazolium bromide (MTT) assay to check whether the effects on the production of NO was caused by nonspecific cytotoxicity. The IC50 values for both nitric oxide inhibition and cell viability are presented in Table 3.
Table 3.
IC50 (μM) for nitric oxide production and cell viability of final target compounds.
Compounds 1a–i and 2a–i had high IC50 values in the cell viability test and all compounds had an IC50 of more than 169 μM. The IC50 for nitric oxide production inhibition was less than 14 μM. The most potent compound among the methoxy derivatives was 1b with an IC50 of 7.90 μM followed by 2a, 1d, and 2c with IC50 values of 8.04, 8.2, and 8.68 μM, respectively. These most potent molecules showed extreme safety expressed by very high IC50 values as cytotoxic agents. This means that their inhibitory effect against NO production is not due to the cytotoxic effect. Compounds 3a–h and 4a–h showed cytotoxic effects at low doses and the IC50s for nitric oxide inhibition were close to the IC50s of the cell viability test. From Table 3, it can be predicted that the inhibitory effect of hydroxyl-containing compounds is due to the cytotoxic effect.
Compounds 1b, 1d, 1g, 2a, and 2c, which exhibited the highest activities regarding nitric oxide inhibition and the highest IC50 values in the cell viability test, were investigated for their ability to inhibit PGE2 production in LPS-induced RAW 264.7 macrophages at 1, 5, and 10 µM. The investigation results are shown in Table 4. Compounds 1b, 1g, 2a, and 2c were able to inhibit more than 50% of the prostaglandin production at a dose 5 μM. The five compounds were able to reduce PGE2 production by over 75% at a dose of 10 μM. Compound 1g was the most potent compound with an IC50 of 4.55 μM followed by 2c, 1b, 2a, and 1d with IC50 values of 4.68, 4.72, 4.87, and 5.06 μM, respectively.
Table 4.
Inhibitory effect and IC50 values of compounds 1b, 1d, 1g, 2a, and 2c on prostaglandin E2 (PGE2) production.
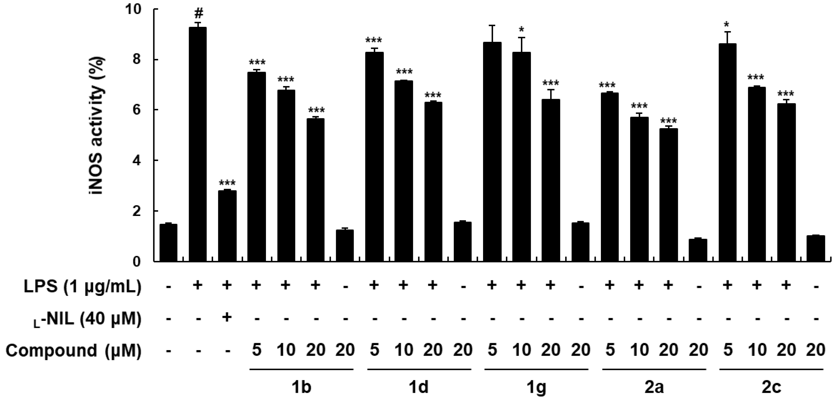
The cumulative activities of compounds 1b, 1d, 1g, 2a, and 2c are illustrated in Figure 2 using N-(2-cyclohexyloxy-4-nitrophenyl)methanesulfonamide (NS398) and N6-(1-Iminoethyl)-l-lysine (l-NIL) as standard compounds for PGE2 production inhibition and NO production inhibition, respectively. The tested compounds showed low cytotoxic activity in the viability test. A significant reduction in both nitric oxide and PGE2 production was observed starting from 5 μM. At 20 μM, the production of both inflammatory mediators was restored to normal levels.

Figure 2.
(A) In vitro cytotoxicity, (B) nitric oxide inhibition, and (C) prostaglandin E2 inhibition of compounds 1b, 1d, 1g, 2a, and 2c. Data are presented as the means ± SD of three independent experiments. # p < 0.05 versus the control cells; *** p < 0.001 versus lipopolysaccharide-stimulated cells; ** p < 0.05 versus lipopolysaccharide-stimulated cells; * statistical significances were compared using ANOVA and Dunnett’s post hoc test.
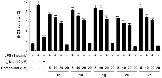
As a result of their activity against both NO and PGE2 production and low cellular toxicity, compounds 1b, 1d, 1g, 2a, and 2c were tested for their inhibitory effect on the expression of both iNOS and COX-2. The cellular lysates were prepared from the with- and without-pretreatment tested compounds (5, 10, 20 μM) for one hour and then with LPS (1 μg/mL) for 24 h, using β-actin as a reference. The results are shown in Figure 3. Compound 1g, possessing an ethylene spacer, 3-methoxyphenyl at position 3 of the pyrazole ring, and a p-(trifluoromethyl)phenyl terminal ring, showed complete inhibition of iNOS expression at 20 µM. Compounds 1b and 1d exhibited a partial inhibitory effect against iNOS at the same concentration (Figure 3 and Figure 4). Compound 1g might express its inhibitory effect on NO production mainly through inhibition of iNOS protein expression and partially through inhibition of iNOS enzyme activity.
Figure 3.
Inhibitory activity of compounds 1b, 1d, 1g, 2a, and 2c on inducible nitric oxide synthase (iNOS) and Cyclooxygenase 2 (COX-2) Cellular lysates were prepared from the with/without pretreatment tested compound (5, 10, and 20 μM) for one hour and then with LPS (1 μg/mL) for 24 h. Total cellular proteins were resolved by sodium dodecyl sulphate-polyacrylamide gel electrophoresis (SDS-PAGE), transferred to Polyvinylidene fluoride (PVDF) membranes, and detected with specific iNOS and COX-2 antibodies. β-actin was used as an internal control.
Figure 4.
Effect of compounds 1b, 1d, 1g, 2a, and 2c on iNOS activity. Following pretreatment with lipopolysaccharide (LPS, 1 µg/mL) for 12 h and wash with phosphate buffer solution (PBS), cells were treated with 1g (5, 10, or 20 μM) for 12 h N6-(1-Iminoethyl)-l-lysine. (l-NIL) (40 μM) was used as the positive control in the assay. Levels of NO in culture media were quantified using the Griess reaction assay. Data are presented as the means ± SD of three independent experiments. # p < 0.05 versus the control cells; *** p < 0.001 versus LPS-stimulated cells; * statistical significances were compared using ANOVA and Dunnett’s post hoc test.
3. Materials and Methods
3.1. General
All chemicals were commercially available and used with no further purification. The final compounds and intermediates were purified by column chromatography using silica gel (0.040–0.063 mm, 230–400 mesh) and technical grade solvents. Analytical thin layer chromatography (TLC) was adopted on silica gel 60 F254 plates from Merck (Merck, Massachusetts, MA, USA). Purity percentages of the target compounds were confirmed to be more than 96% by liquid chromatography-mass spectrometry (LC-MS). Proton nuclear magnetic resonance (1H-NMR) and carbon NMR (13C-NMR) spectra were recorded on a Bruker Avance 400 or 300 spectrometer (Massachusetts, MA, USA) using tetramethylsilane as an internal standard and signals are described as s (singlet), d (doublet), t (triplet), q (quartet), p (pentet), m (multiplet), brs (broad singlet), or dd (doublet of doublets). LC-MS analysis was carried out using the following system: Waters 2998 photodiode array detector, Waters 3100 mass detector, Waters SFO system fluidics organizer, Waters 2545 binary gradient module, Waters reagent manager, Waters 2767 sample manager, Waters 2998 photodiode and Sunfire™ C18 column (4.6 × 50 mm, 5 μm particle size) (Waters, Massachusetts, MA, USA). The solvent gradient = 95% A at 0 min, 1% A at 5 min. Solvent A was 0.035% trifluoroacetic acid (TFA) in water, solvent B was 0.035% TFA in CH3OH, and the flow rate was 3.0 mL/min. The area under the curve (AUC) was calculated using Waters MassLynx 4.1 Waters, Massachusetts, MA, USA) software. Solvents and liquid reagents were transferred using hypodermic syringes. Melting points were obtained on a Walden Precision Apparatus Electro thermal 9300 apparatus (Stone, Staffordshire, England) and were uncorrected.
3.2. Synthesis of N-(2-aminoethyl)benzenesulfonamide (8a), N-(2-aminoethyl)substituted benzenesulfonamides (8b–i), N-(3-aminopropyl)benzenesulfonamide (9a), and N-(3-aminopropyl)benzenesulfonamides (9b–i).
These compounds were synthesized performing the six-step procedure reported in the literature [42].
3.3. Synthesis of 2-bromo-4-(3-(3-methoxyphenyl)-1-phenyl-1H-pyrazol-4-yl)pyridine (5)
This compound was synthesized performing the four-step procedure reported in the literature [40].
3.4. Synthesis of N1-(4-(3-(3-Methoxyphenyl)-1-phenyl-1H-pyrazol-4-yl)pyridin-2-yl) ethane1,2-diamine (6) and N1-(4-(3-(3-Methoxyphenyl)-1-phenyl-1H-pyrazol-4-yl)pyridin-2-yl) propane-1,3-diamine (7)
These compounds were synthesized utilizing the five-step procedure reported in the literature [43]. The detailed procedures are mentioned in the supplementary file.
3.5. General Procedure for Synthesis of the Target Compounds N-(2-((4-(3-(3-methoxyphenyl)-1-phenyl-1H-pyrazol-4-yl)pyridin-2-yl)amino)ethyl)arylsulfonamides (1a–i) and N-(3-((4-(3-(3-methoxyphenyl)-1-phenyl-1H-pyrazol-4-yl)pyridin-2-yl)amino)propyl)arylsulfonamides (2a–i).
3.5.1. Method A
To a solution of compound 6 or 7 (0.2 mmol) in anhydrous dichloromethane (5 mL), triethylamine (50.5 mg, 0.5 mmol) was added at 0 °C. A solution appropriate arylsulfonyl chloride (0.21 mmol) in anhydrous dichloromethane (1 mL) was added dropwise. The reaction mixture was stirred at room temperature for 24 h. When the reaction was finished, the solvent was removed in vacuo, and the residue was partitioned between ethyl acetate (5 mL) and water (5 mL). The organic layer was separated and the aqueous layer was extracted with ethyl acetate (3 × 10 mL). The combined organic layer was washed with saturated saline (2 × 5 mL) and the organic solvent was evaporated under reduced pressure. The residue was purified by column chromatography (silica gel, hexane-ethyl acetate 4:1 v/v) to produce the required product.
3.5.2. Method B
A mixture of compound 5 (81 mg, 0.2 mmol) and compound 8 or 9 (0.2 mmol) in pyridine was heated at 100 °C for 24 h. After complete reaction, monitored by thin-layer chromatograph (TLC), pyridine was removed under reduced pressure. The residue was partitioned between water (50 mL) and ethylacetate (50 mL). The organic layer was separated and washed three times with distilled water (3 × 50 mL) and dried over Na2SO4. The organic layer was evaporated and the residue was purified using column chromatography.
N-(2-((4-(3-(3-Methoxyphenyl)-1-phenyl-1H-pyrazol-4-yl)pyridin-2-yl)amino)ethyl)benzenesulfonamide (1a); White solid (65%); mp 104–106 °C; 1H-NMR (300 MHz, CDCl3) δ 7.93 (s, 1H, Ar-H), 7.86–7.79 (m, 4H, Ar-H), 7.51–7.40 (m, 3H, Ar-H), 7.25–7.21 (m, 5H, Ar-H), 6.92–6.88 (m, 1H, Ar-H), 6.77 (d, J = 9.0 Hz, 1H, Ar-H), 6.70 (s, 1H, Ar-H), 6.42 (d, J = 6.0 Hz, 1H, Ar-H), 6.24 (s, 1H, Ar-H), 4.98 (brs, 1H, NH), 3.65 (s, 3H, OCH3), 3.32 (d, J = 3.0 Hz, 2H, CH2), 3.09 (d, J = 6.0 Hz, 2H, CH2); 13C-NMR (75 MHz, CDCl3) δ 159.6, 158.6, 147.4, 141.9, 140.1, 140.1, 139.5, 139.4, 132.4, 131.0, 130.0, 129.9, 128.9, 128.8, 127.6, 126.9, 125.1, 122.7, 120.0, 115.8, 114.7, 112.4, 105.9 (Ar-C), 55.3 (OCH3), 43.9 (CH2), 41.6 (CH2); LC-MS (m/z) calculated for C29H27N5O3S: 525.18, found: 526.0 (M + 1)+.
4-Bromo-N-(2-((4-(3-(3-methoxyphenyl)-1-phenyl-1H-pyrazol-4-yl)pyridin-2-yl)amino)ethyl)benzenesulfonamide (1b); White solid (61%); mp 136–138 °C; 1H-NMR (300 MHz, CDCl3) δ 7.96 (s, 1H, Ar-H), 7.89 (d, J = 6.0 Hz, 1H, Ar-H), 7.64 (d, J = 9 Hz, 2H, Ar-H), 7.58–7.55 (m, 2H, Ar-H), 7.31–7.28 (m, 6H, Ar-H), 6.93 (d, J = 6.0 Hz, 1H, Ar-H), 6.81 (d, J = 9.0 Hz, 1H, Ar-H), 6.72 (s, 1H, Ar-H), 6.48 (d, J = 6.0 Hz, 1H, Ar-H), 6.24 (s, 1H, Ar-H), 4.81 (brs, 1H, NH), 3.69 (s, 3H, OCH3), 3.36 (brs, 2H, CH2), 3.12 (brs, 2H, CH2); 13C-NMR (75 MHz, CDCl3) δ 159.7, 158.5, 147.2, 142.2, 140.2, 139.5, 139.3, 139.2, 132.6, 132.6, 132.1, 131.0, 130.0, 128.8, 128.5, 127.6, 127.1, 125.1, 122.7, 119.8, 115.8, 114.8, 112.6, 106.1 (Ar-C), 55.3 (OCH3), 44.4 (NH-CH2), 41.6 (CH2-NH); LC-MS (m/z) calculated for C29H26BrN5O3S: 603.09, found: 605.0 (M + 2)+.
4-Chloro-N-(2-((4-(3-(3-methoxyphenyl)-1-phenyl-1H-pyrazol-4-yl)pyridin-2-yl)amino)ethyl)benzenesulfonamide (1c); White solid (60%); mp 132–134 °C; 1H-NMR (300 MHz, CDCl3) δ 7.94 (s, 1H, Ar-H), 7.85 (d, J = 6.0 Hz, 1H, Ar-H), 7.72–7.69 (m, 2H, Ar-H), 7.54-7.51 (m, 2H, Ar-H), 7.39–7.22 (m, 6H, Ar-H), 6.91 (d, J = 9.0 Hz, 1H, Ar-H), 6.78 (d, J = 9.0 Hz, 1H, Ar-H), 6.70 (s, 1H, Ar-H), 6.43 (d, J = 3.0 Hz, 1H, Ar-H), 6.24 (s, 1H, Ar-H), 4.95 (brs, 1H, NH), 3.66 (s, 3H, OCH3), 3.33 (d, J = 3.0 Hz, 2H, NH-CH2), 3.09 (d, J = 3.0 Hz, 2H, -CH2-NH); 13C-NMR (75 MHz, CDCl3) δ 159.6, 158.5, 147.3, 142.0, 140.1, 139.5, 139.3, 138.6, 131.0, 129.9, 129.1, 128.8, 127.6, 125.1, 122.7, 119.9, 115.8, 114.7, 112.5, 106.9 (Ar-C), 55.2 (OCH3), 44.1 (NH-CH2), 41.5 (-CH2-NH).; LC-MS (m/z) calculated for C29H26ClN5O3S: 559.14, found: 560.0 (M + 1)+.
4-Fluoro-N-(2-((4-(3-(3-methoxyphenyl)-1-phenyl-1H-pyrazol-4-yl)pyridin-2-yl)amino)ethyl)benzenesulfonamide (1d); White solid (67%); mp 155–156 °C; 1H-NMR (400 MHz, CDCl3) δ 7.83 (s, 1H, Ar-H), 7.71–7.67 (m, 3H, Ar-H), 7.19–7.15 (m, 5H, Ar-H), 6.99 (t, J = 8.4 Hz, 2H, Ar-H), 6.80 (d, J = 8.4 Hz, 1H, Ar-H), 6.67 (d, J = 8.8 Hz, 1H, ar-H), 6.59 (s, 1H, Ar-H), 6.34 (d, J = 5.2 Hz, 1H, Ar-H), 6.13 (s, 1H, Ar-H), 4.85 (brs, NH), 3.56 (s, 3H, OCH3), 3.23 (s, 2H, NH-CH2), 2.98 (d, J = 4.4 Hz, 2H, -CH2-NH); 13C-NMR (100 MHz, CDCl3) δ 159.7, 158.6, 147.1, 142.2, 140.1, 139.5, 139.3, 136.1, 130.9, 130.0, 129.7, 129.6, 129.5, 128.9, 128.7, 125.2, 125.0, 122.7, 119.8, 116.0, 115.0, 112.5, 105.9 (Ar-C), 55.3 (OCH3), 44.2 (CH2), 41.6 (CH2); LC-MS (m/z) calculated for C29H26FN5O3S: 543.17, found: 544.0 (M + 1)+.
4-Methoxy-N-(2-((4-(3-(3-methoxyphenyl)-1-phenyl-1H-pyrazol-4-yl)pyridin-2-yl)amino)ethyl)benzenesulfonamide (1e); White solid (62%); mp 144–146 °C; 1H-NMR (400 MHz, CDCl3) δ 7.94 (s, 1H, Ar-H), 7.88 (d, J = 4.0 Hz, 1H, Ar-H), 7.74 (d, J = 8.0 Hz, 2H, Ar-H), 7.33–7.23 (m, 6H, Ar-H), 6.91 (d, J = 8.0 Hz, 3H, Ar-H), 6.79–6.77 (m, 1H, Ar-H), 6.70–6.69 (m, 1H, Ar-H), 6.43 (dd, J = 8.0, J =4.0 Hz, 1H, Ar-H), 6.23 (s, 1H, Ar-H), 4.85 (s, NH), 3.83 (s, 3H, OCH3), 3.67 (s, 3H, OCH3), 3.34 (t, J = 8.0 Hz, 2H, NH-CH2-), 3.08 (t, J = 8.0 Hz, 2H, -CH2-NH); 13C-NMR (100 MHz, CDCl3) δ 162.6, 159.6, 158.6, 147.5, 141.9, 140.1, 139.5, 139.4, 131.6, 131.0, 129.9, 129.1, 128.8, 127.6, 125.1, 122.7, 120.0, 115.7, 114.7, 114.1, 112.4, 105.9 (Ar-C), 55.5 (OCH3), 55.3 (OCH3), 43.8 (CH2), 41.5 (CH2); LC-MS (m/z) calculated for C30H29N5O4S: 555.19, found: 556.0 (M + 1)+.
N-(2-((4-(3-(3-Methoxyphenyl)-1-phenyl-1H-pyrazol-4-yl)pyridin-2-yl)amino)ethyl)-4-methyl benzenesulfonamide (1f); White solid (69%); mp 150–152 °C; 1H-NMR (300 MHz, CDCl3) δ 7.97 (s, 1H, Ar-H), 7.91 (d, J = 6.0 Hz, 1H), 7.71 (d, J = 9.0 Hz, 2H, Ar-H), 7.32–7.26 (m, 7H), 6.94 (d, J = 9.0 Hz, 1H, Ar-H), 6.81 (d, J = 6.0 Hz, 1H, Ar-H), 6.72 (s, 1H, Ar-H), 6.49 (d, J = 3.0 Hz, 1H, Ar-H), 6.26 (s, 1H, Ar-H), 4.97 (brs, 1H, NH), 3.70 (s, 3H, OCH3), 3.36 (brs, 2H, NH-CH2-), 3.12 (t, J = 6.0 Hz, 2H, -CH2-NH), 2.43 (s, 3H, CH3); 13C-NMR (75 MHz, CDCl3) δ 159.7, 158.5, 147.4, 143.1, 142.1, 140.1, 139.6, 139.3, 137.1, 131.1, 129.9, 129.5, 128.8, 127.6, 127.0, 125.1, 122.7, 120.0, 115.7, 114.7, 112., 105.5 (Ar-C), 55.3 (OCH3), 44.0 (CH2), 41.7 (CH2), 21.4 (CH3); LC-MS (m/z) calculated for C30H29N5O3S: 539.20, found: 540.0 (M + 1)+.
N-(2-((4-(3-(3-Methoxyphenyl)-1-phenyl-1H-pyrazol-4-yl)pyridin-2-yl)amino)ethyl)-4-(trifluoromethyl)benzenesulfonamide (1g); White solid (74%); mp 132–134 °C; 1H-NMR (300 MHz, CDCl3) δ 7.91 (d, J = 9.0 Hz, 4H, Ar-H), 7.71 (s, 1H, Ar-H), 7.30 (brs, 6H, Ar-H), 6.93 (s, 1H, Ar-H), 6.80 (s, 1H, Ar-H), 6.71 (s, 2H, Ar-H), 6.48 (s, 1H, Ar-H), 6.25 (s, 1H, Ar-H), 4.87 (brs, 1H, NH), 3.67 (s, 3H, OCH3), 3.37 (s, 2H, NH-CH2-), 3.14 (s, 2H, -CH2-NHSO2); 13C-NMR (75 MHz, CDCl3) δ 159.7, 158.5, 147.1, 147.0, 143.8, 142.4, 139.5, 139.4, 139.2, 134.1, 133.7, 130.9, 130.1, 129.9, 128.9, 127.4, 126.0, 125.2, 125.0, 122.7, 119.7, 115.8, 114.7, 112.8, 106.2 (Ar-C), 55.3 (OCH3), 44.7 (CH2), 41.7 (CH2); LC-MS (m/z) calculated for C30H26F3N5O3S: 593.17, found: 594.0 (M + 1)+.
3-Fluoro-N-(2-((4-(3-(3-methoxyphenyl)-1-phenyl-1H-pyrazol-4-yl)pyridin-2-yl)amino)ethyl)benzenesulfonamide (1h); White solid (66%); mp 118–120 °C; 1H-NMR (300 MHz, CDCl3) δ 7.94 (s, 1H, Ar-H), 7.85 (d, J = 6.0 Hz, 1H, Ar-H), 7.59 (s, 1H, Ar-H), 7.49 (s, 1H, Ar-H), 7.46–7.37 (m, 2H, Ar-H), 7.29–7.21 (m, 6 H), 6.90 (d, J = 9.0 Hz, 1H, Ar-H), 6.78 (d, J = 9.0 Hz, 1H, Ar-H), 6.71 (s, 1H), 6.43 (d, J = 6.0 Hz, 1H, Ar-H), 6.25 (s, 1H, Ar-H), 4.99 (brs, 1H, NH), 3.65 (s, 3H, OCH3), 3.33 (brs, 2H, NH-CH2-), 3.10 (t, J = 6.0 Hz, 2H, -CH2-NH-SO2); 13C-NMR (75 MHz, CDCl3) δ 159.6, 158.6, 147.3, 142.2, 142.0, 140.2, 139.5, 139.4, 130.9, 130.8, 130.7, 129.9, 128.8, 127.6, 125.1, 122.7, 119.9, 119.6, 119.3, 115.7, 114.7, 114.4, 114.1, 112.5, 106.0 (Ar-C), 55.2 (OCH3), 44.2 (CH2), 41.5( CH2); LC-MS (m/z) calculated for C29H26FN5O3S: 543.17, found: 544.0 (M + 1)+.
N-(2-((4-(3-(3-Methoxyphenyl)-1-phenyl-1H-pyrazol-4-yl)pyridin-2-yl)amino)ethyl)naphthalene-1-sulfonamide (1i); White solid (71%); mp 178–180 °C; 1H-NMR (400 MHz, CDCl3) δ 8.38 (s, 1H, Ar-H), 7.91–7.85 (m, 4H, Ar-H), 7.75 (dd, J = 8.8 Hz, J = 1.6 Hz, 1H, Ar-H), 7.64–7.55 (m, 2H, Ar-H), 7.34–7.21 (m, 6H, Ar-H), 7.02 (brs, 1H, NH), 6.89 (dd, J = 8.4 Hz, J = 2.0 Hz, 1H, Ar-H), 6.76 (d, J = 7.6 Hz, 1H, Ar-H), 6.68 (s, 1H, Ar-H), 6.42 (d, J = 4.8 Hz, 1H, Ar-H), 6.17 (s, 1H, Ar-H), 4.87 (brs, 1H, NH), 3.65 (s, 3H, OCH3), 3.34 (d, J = 4.4 Hz, 2H, NH-CH2-), 3.14 (t, J = 5.2 Hz, 2H, -CH2-NH-SO2 ); 13C-NMR (100 MHz, CDCl3) δ 159.6, 158.4, 147.1, 142.1, 140.1, 139.5, 139.4, 136.8, 134.6, 132.1, 130.9, 129.8, 129.3, 129.1, 128.8, 128.6, 128.2, 127.8, 127.6, 127.4, 125.1, 122.7, 122.3, 119.9, 115.7, 114.7, 112.4, 105.9 (Ar-C), 55.2 (OCH3), 44.3 (CH2), 41.5 (CH2); LC-MS (m/z) calculated for C33H29N5O3S: 575.20, found: 576.0 (M + 1)+.
N-(3-((4-(3-(3-Methoxyphenyl)-1-phenyl-1H-pyrazol-4-yl)pyridin-2-yl)amino)propyl)benzenesulfonamide (2a); White solid (60%); mp 119–120 °C; 1H-NMR (300 MHz, CDCl3) δ 7.98 (d, J = 12.0 Hz, 2H, Ar-H), 7.83 (d, J = 9.0 Hz, 2H, Ar-H), 7.52–7.45 (m, 3H, Ar-H), 7.31–7.24 (m, 6H, Ar-H), 6.93 (d, J = 6.0 Hz, 1H, Ar-H), 6.79 (d, J = 9.0 Hz, 1H, Ar-H), 6.71 (s, 1H, Ar-H), 6.45 (d, J = 3.0 Hz, 1H, Ar-H), 6.22 (s, 1H, Ar-H), 4.73 (brs, 1H, NH), 3.68 (s, 3H, OCH3), 3.31 (brs, 2H, NH-CH2-), 2.97 (brs, 2H, -CH2-NH-SO2), 1.67–1.58 (m, 2H, -CH2-); 13C-NMR (75 MHz, CDCl3) δ 159.6, 158.7, 147.2, 142.1, 140.4, 140.1, 139.5, 139.3, 132.2, 131.0, 129.9, 128.9, 128.8, 127.6, 126.9, 125.1, 122.7, 120.0, 115.7, 114.8, 112.1, 105.7 (Ar-C), 55.3 (OCH3), 40.1 (CH2), 38.3 (CH2), 29.9 (CH2); LC-MS (m/z) calculated for C30H29N5O3S: 539.20, found: 540.0 (M + 1)+.
4-Bromo-N-(3-((4-(3-(3-methoxyphenyl)-1-phenyl-1H-pyrazol-4-yl)pyridin-2-yl)amino)propyl)benzenesulfonamide (2b); White solid (62%); mp 117–119 °C; 1H-NMR (400 MHz, CDCl3) δ 7.98 (s, 1H, Ar-H), 7.90 (d, J = 5.6 Hz, 1H, Ar-H), 7.69 (d, J = 8.8 Hz, 2H, Ar-H), 7.60 (d, J = 8.8 Hz, 2H, Ar-H), 7.35–7.20 (m, 6H, Ar-H), 6.95 (dd, J =8.0, J = 2.0 Hz, 1H, Ar-H), 6.72 (t, J = 2.0 Hz, 1H, Ar-H), 6.49 (dd, J = 6.0 Hz, J = 1.6 Hz, 1H, Ar-H), 6.28 (s, 1H, Ar-H), 5.21 (brs, 1H, NH), 3.70 (s, 3H, OCH3), 3.36 (q, J = 6.4 Hz, 2H, NH-CH2-), 2.99 (d, J = 5.6 Hz, 2H, -CH2NHSO2), 1.68 (p, J = 6.4 Hz, 2H, CH2-CH2-CH2); 13C-NMR (75 MHz, CDCl3) δ 159.7, 158.9, 147.3, 142.1, 140.2, 139.6, 139.4, 132.2, 131.0, 130.0, 128.8, 128.5, 127.6, 127.1, 125.1, 122.8, 120.0, 115.8, 114.8, 112.1, 105.9 (Ar-C), 55.3 (OCH3), 40.2 (CH2), 38.3(CH2), 29.9(CH2); LC-MS (m/z) calculated for C30H28BrN5O3S: 617.11, found: 618.00 (M + 1)+.
4-Chloro-N-(3-((4-(3-(3-methoxyphenyl)-1-phenyl-1H-pyrazol-4-yl)pyridin-2-yl)amino)propyl)benzenesulfonamide (2c); White solid (62%); mp 98–100 °C; 1H-NMR (400 MHz, CDCl3) δ 7.95 (s, 1H, Ar-H), 7.93 (d, J = 5.2 Hz, 1H, Ar-H), 7.75 (d, J = 8.4 Hz, 2H, Ar-H), 7.42 (d, J = 8.4 Hz, 2H, Ar-H), 7.32–7.25 (m, 6H, Ar-H), 6.93 (dd, J = 8.0 Hz, J = 2.0 Hz, 1H, Ar-H), 6.79 (d, J = 7.6 Hz, 1H, Ar-H), 6.71 (s, 1H, Ar-H), 6.45 (d, J = 5.6 Hz, 1H, Ar-H), 6.25 (s, 1H, Ar-H), 4.84 (brs, 1H, NH), 3.68 (s, 3H, OCH3), 3.34 (d, J = 5.6 Hz, 2H, NH-CH2-), 2.90 (brs, 2H, -CH2NHSO2), 1.66 (t, J = 6.0 Hz, 2H, -CH2-); 13C-NMR (100 MHz, CDCl3) δ 159.4, 158.4, 146.8, 142.8, 140.2, 139.3, 139.3, 138.9, 138.6, 130.9, 130.0, 129.5, 129.2, 128.8, 128.4, 127.6, 125.1, 122.7, 119.8, 115.7, 114.8, 112.0, 105.9 (Ar-C), 55.2 (OCH3), 40.0 (CH2), 38.2 (CH2), 29.9 (CH2); LC-MS (m/z) calculated for C30H28ClN5O3S: 573.16, found: 574.0 (M + 1)+.
4-Fluoro-N-(3-((4-(3-(3-methoxyphenyl)-1-phenyl-1H-pyrazol-4-yl)pyridin-2-yl)amino)propyl)benzenesulfonamide (2d); White solid (75%); mp 92–94 °C; 1H-NMR (300 MHz, CDCl3) δ 7.96 (s, 2H, Ar-H), 7.82 (d, J = 3.0 Hz, 2H, Ar-H), 7.32–7.28 (m, 6H, Ar-H), 7.14 (t, J = 9.0 Hz, 2H, Ar-H), 6.94 (d, J = 6.0 Hz, 1H, Ar-H), 6.80 (d, J = 6.0 Hz, 1H, Ar-H), 6.72 (s, 1H, Ar-H), 6.46 (d, J = 6.0 Hz, 1H, Ar-H), 6.24 (s, 1H, Ar-H), 4.60 (brs, 1H, NH), 3.69 (s, 3H, OCH3), 3.36 (s, 2H, NH-CH2-), 2.98 (brs, 2H, -CH2NHSO2), 1.66 (d, J = 6.0 Hz, 2H, -CH2-); 13C-NMR (75 MHz, CDCl3) δ 159.6, 158.7, 147.2, 140.1, 139.3, 131.0, 129.9, 129.6, 129.5, 128.8, 127.6, 125.1, 122.7, 119.9, 116.2, 115.9, 115.7, 114.8, 112.2, 106.0 (Ar-C), 55.2 (OCH3), 40.0 (CH2), 38.2 (CH2), 30.0 (CH2); LC-MS (m/z) calculated for C30H28FN5O3S: 557.19, found: 558.0 (M + 1)+.
4-Methoxy-N-(3-((4-(3-(3-methoxyphenyl)-1-phenyl-1H-pyrazol-4-yl)pyridin-2-yl)amino)propyl)benzenesulfonamide (2e); White solid (71%); mp 124–126 °C; 1H-NMR (300 MHz, CDCl3) δ 7.96 (s, 1H, Ar-H), 7.94 (d, J = 6.0 Hz, 1H, Ar-H), 7.76 (d, J = 9.0 Hz, 2H, Ar-H),7.33–7.24 (m, 6H, Ar-H), 6.93 (d, J = 9.0 Hz, 3H, Ar-H), 6.79 (d, J = 9.0 Hz, 1H, Ar-H), 6.71 (s, 1H, Ar-H), 6.54 (brs, 1H, NH), 6.45 (d, J = 3.0 Hz, 1H, Ar-H), 6.22 (s, 1H, Ar-H), 4.61 (brs, 1H, NH), 3.86 (s, 3H, OCH3), 3.68 (s, 3H, OCH3), 3.32 (t, J = 6.0 Hz, 2H, NH-CH2-), 2.96 (t, J = 6.0 Hz, 2H, -CH2NHSO2), 1.65 (p, J = 6.0 Hz, 2H, -CH2-); 13C-NMR (75 MHz, CDCl3) δ 159.7, 158.8, 147.5, 142.0, 140.1, 139.6, 139.4, 132.0, 131.1, 130.0, 128.8, 127.6, 125.1, 122.8, 120.1, 115.7, 114.8, 114.1, 112.2, 105.7 (Ar-C), 55.6 (OCH3), 55.3 (OCH3), 40.2 (CH2), 38.4(CH2), 30.0 (CH2); LC-MS (m/z) calculated for C31H31N5O3S: 569.21, found: 570.0 (M + 1)+.
N-(3-((4-(3-(3-Methoxyphenyl)-1-phenyl-1H-pyrazol-4-yl)pyridin-2-yl)amino)propyl)-4-methylbenzenesulfonamide (2f); Buff solid (72%); mp 94–96 °C; 1H-NMR (300 MHz, CDCl3) δ 7.95 (s, 1H, Ar-H), 7.91 (d, J = 6.0 Hz, 1H, Ar-H), 7.71 (d, J = 9.0 Hz, 2H, Ar-H),7.30–7.24 (m, 7H, Ar-H), 6.92 (d, J = 6.0 Hz, 1H, Ar-H), 6.79 (d, J = 6.0 Hz, 1H, Ar-H), 6.71 (s, 1H, Ar-H), 6.44 (d, J = 6.0 Hz, 1H, Ar-H), 6.23 (s, 1H, Ar-H), 4.78 (brs, 1H, NH), 3.67 (s, 3H, OCH3), 3.26 (brs, 2H, NH-CH2-), 2.94 (d, J = 3.0 Hz, 2H, -CH2NHSO2), 2.60 (s, 3H, CH3), 1.62 (d, J = 6.0 Hz, 2H, -CH2-); 13C-NMR (75 MHz, CDCl3) δ 160.2, 159.3, 147.9, 143.5, 142.5, 140.6, 140.1, 139.9, 137.8, 131.5, 130.4, 130.1, 129.3, 128.1, 127.5, 125.6, 123.2, 120.6, 116.2, 115.3, 112.5, 106.1 (Ar-C), 55.8 (OCH3), 40.7 (CH2), 38.9 (CH2), 30.2 (CH2), 22.0 (CH3); LC-MS (m/z) calculated for C31H31N5O4S: 553.21, found: 554.0 (M + 1)+.
N-(3-((4-(3-(3-Methoxyphenyl)-1-phenyl-1H-pyrazol-4-yl)pyridin-2-yl)amino)propyl)-4-(trifluoromethyl)benzenesulfonamide (2g); White solid (71%); mp 150–152 °C; 1H-NMR (300 MHz, CDCl3) δ 7.84–7.81 (m, 4H, Ar-H), 7.61 (d, J = 6.0 Hz, 2H, Ar-H), 7.49 (brs, 1H, NH), 7.21–7.16 (m, 6H, Ar-H), 6.82 (d, J = 6.0 Hz, 1H, Ar-H), 6.68 (d, J = 5.4, 1H, Ar-H), 6.60 (s, 1H, Ar-H), 6.33 (d, J = 3.9 Hz, Ar-H), 6.14 (s, 1H, Ar-H), 4.52 (brs, 1H, NH), 3.56 (s, 3H, OCH3), 3.26 (brs, 2H, NH-CH2-), 2.89 (brs, 2H, CH2NHSO2), 1.95 (brs, 2H, -CH2-); 13C-NMR (75 MHz, CDCl3) δ 159.7, 158.8, 147.1, 142.2, 140.1, 139.5, 139.3, 131.0, 129.9, 128.8, 127.6, 127.4, 126.1, 126.0, 125.1, 122.7, 119.9, 115.7, 114.8, 112.2, 106.1 (Ar-C), 55.2 (OCH3), 40.1 (CH2), 38.3 (CH2), 30.1 (CH2); LC-MS (m/z) calculated for C31H28 F3N5O3S: 607.19, found: 608.0 (M + 1)+.
3-Fluoro-N-(3-((4-(3-(3-methoxyphenyl)-1-phenyl-1H-pyrazol-4-yl)pyridin-2-yl)amino)propyl)benzenesulfonamide (2h); White solid (76%); mp 120–122 °C; 1H-NMR (300 MHz, CDCl3) δ 7.94 (s, 1H, Ar-H), 7.91 (d, J = 6.0 Hz, 1H, Ar-H), 7.30-7.22 (m, 10H, Ar-H), 6.93 (dd, J = 2.0 Hz, J = 6.0 Hz, 1H, Ar-H), 6.89 (d, J = 6.0 Hz, 1H, Ar-H), 6.70 (s, 1H, Ar-H), 6.44 (d, J = 6.0 Hz, 1H, Ar-H), 6.24 (s, 1H, Ar-H), 4.74 (s, 1H, NH), 3.67 (s, 3H, OCH3), 3.31 (brs, 2H, NH-CH2-), 2.98 (t, J = 6.0 Hz, 2H, CH2NHSO2), 1.65 (brs, 2H, -CH2-); 13C-NMR (75 MHz, CDCl3) δ 159.6, 158.8, 147.2, 142.5, 140.1, 139.5, 139.3, 131.0, 130.8, 130.7, 129.9, 128.8, 127.6, 125.1, 122.7, 122.7, 120.0, 119.5, 119.2, 115.7, 114.8, 114.4, 114.1, 112.1, 105.9 (Ar-C), 55.2 (OCH3), 40.1 (CH2), 38.2(CH2), 29.9 (CH2); LC-MS (m/z) calculated for C30H28 FN5O3S: 557.19, found: 558.0 (M + 1)+.
N-(3-((4-(3-(3-Methoxyphenyl)-1-phenyl-1H-pyrazol-4-yl)pyridin-2-yl)amino)propyl)naphthalene-1-sulfonamide (2i); White solid (66%); mp 134–136 °C; 1H-NMR (300 MHz, CDCl3) δ 8.40 (s, 1H, Ar-H), 7.97-7.78 (m, 5H, Ar-H), 7.60 (d, J = 6.0 Hz, 2H, Ar-H), 730-7.22 (m, 6H, Ar-H), 6.91 (d, J = 9.0 Hz, 1H, Ar-H), 6.77 (d, J = 6.0 Hz, 1H, Ar-H), 6.70 (s, 1H, Ar-H), 6.45 (d, J = 6.0 Hz, 1H, Ar-H), 6.20 (s, 1H, Ar-H), 4.61 (s, 1H, NH), 3.65 (s, 3H, OCH3), 3.31 (brs, 2H, NH-CH2-), 3.00 (s, 2H, CH2NHSO2), 1.64 (brs, 2H, -CH2-); 13C-NMR (75 MHz, CDCl3) δ 159.6, 158.8, 147.5, 142.0, 140.1, 139.6, 139.4, 137.2, 134.6, 132.1, 131.0, 129.9, 129.3, 129.1, 128.8, 128.5, 128.1, 127.8, 127.6, 127.4, 125.1, 122.7, 122.4, 120.0, 115.7, 114.8, 112.1, 105.8 (Ar-C), 55.2 (OCH3), 40.1 (CH2), 38.2 (CH2), 29.9 (CH2); LC-MS (m/z) calculated for C30H28 FN5O3S: 589.21, found: 590.0 (M + 1)+.
3.6. General Procedure for Synthesis of N-(2-((4-(3-(3-hydroxyphenyl)-1-phenyl-1H-pyrazol-4-yl)pyridin-2-yl)amino)ethyl)benzenesulfonamide (3a), N-(2-((4-(3-(3-hydroxyphenyl)-1-phenyl-1H-pyrazol-4-yl)pyridin-2-yl)amino)ethyl)benzenesulfonamide (3b–h), N-(3-((4-(3-(3-hydroxyphenyl)-1-phenyl-1H-pyrazol-4-yl)pyridin-2-yl) amino)propyl)benzenesulfonamide (4a) and N-(3-((4-(3-(3-hydroxyphenyl) -1-phenyl-1H-pyrazol-4-yl)pyridin-2-yl)amino)propyl) (substituted)benzenesulfonamide (4b–h)
To a mixture of compound (1a–i) or (2a–i) (0.1 mmol) in methylene chloride (5 mL), BBr3 (0.13 g, 1.0 mmol) was added dropwise at −78 °C under nitrogen, and the reaction mixture was stirred at 0 °C for 24 h. The mixture was quenched with saturated aqueous NaHCO3. Ethyl acetate (10 mL) was added and the organic layer was separated. The aqueous layer was extracted with ethyl acetate (3 × 10 mL). The combined organic layer extracts were washed with brine and dried over anhydrous Na2SO4. The organic solvent was evaporated under reduced pressure and the residue was purified by column chromatography.
N-(2-((4-(3-(3-Hydroxyphenyl)-1-phenyl-1H-pyrazol-4-yl)pyridin-2-yl)amino)ethyl)benzenesulfonamide (3a); light brown solid (36%); mp 100–102 °C; 1H-NMR (400 MHz, CD3OD) δ 8.05 (s, 1H, Ar-H), 7.83 (d, J = 7.2 Hz, 2H, Ar-H), 7.76 (d, J = 5.6 Hz, 1H, Ar-H), 7.54–7.50 (m, 3H, Ar-H), 7.37–7.34 (m, 3H, Ar-H), 7.29–7.27 (m, 2H, Ar-H), 7.18 (t, J = 8.0 Hz, 1H, Ar-H), 6.84-6.81 (m, 1H, Ar-H), 6.67–6.64 (m, 2H, Ar-H), 6.46 (dd, J = 5.2 Hz, J = 1.2 Hz, 1H, Ar-H), 6.38 (s, 1H, Ar-H), 3.26 (t, J = 6.0 Hz, 2H, NH-CH2-), 2.99 (t, J = 6.0 Hz, 2H, -CH2NHSO2), 13C-NMR (100 MHz, CD3OD) δ 158.6, 157.6, 149.5, 141.9, 140.3, 139.3, 138.9, 132.1, 130.7, 129.7, 128.7, 128.5, 127.7, 126.5, 121.2, 119.7, 116.8, 115.9, 112.3, 105.7 (Ar-C), 42.2 (CH2), 40.9 (CH2); LC-MS (m/z) calculated for C28H25N5O3S: 511.17, found: 512.0 (M + 1)+.
4-Bromo-N-(2-((4-(3-(3-hydroxyphenyl)-1-phenyl-1H-pyrazol-4-yl)pyridin-2-yl)amino)ethyl)benzenesulfonamide (3b); Buff solid (30%); mp 178–180 °C; 1H-NMR (400 MHz, CDCl3) δ 7.88 (s, 1H, Ar-H), 7.56 (d, J = 6.0 Hz, 3H, Ar-H), 7.42 (d, J = 8.1 Hz, 2H, Ar-H), 7.17–7.08 (m, 6H, Ar-H), 6.80 (d, J = 7.6 Hz, 1H, Ar-H), 6.64 (s, 1H, Ar-H), 6.58 (d, J = 7.1 Hz, 1H, Ar-H), 6.37 (d, J = 4.7 Hz, 1H, Ar-H), 6.17 (s, 1H, Ar-H), 5.08 (brs, 1H, NH), 3.13 (brs, 2H, NH-CH2-), 2.93 (brs, 2H, -CH2NHSO2); 13C-NMR (100 MHz, CD3OD) δ 158.0, 157.3, 146.6, 146.4, 142.4, 140.6, 139.1, 138.7, 132.3, 132.1, 130.7, 129.0, 128.5, 128.3, 127.4, 125.2, 124.9, 119.6, 117.4, 117.2, 116.2, 112.2, 105.4 (Ar-C), 42.9 (CH2), 41.5 (CH2); LC-MS (m/z) calculated for C28H24BrN5O3S: 589.17, found: 590.0 (M + 1)+.
4-Chloro-N-(2-((4-(3-(3-hydroxyphenyl)-1-phenyl-1H-pyrazol-4-yl)pyridin-2-yl)amino)ethyl)benzenesulfonamide (3c); Light brown solid (41%); mp 100–102 °C; 1H-NMR (400 MHz, CD3OD) δ 8.05 (s, 1H, Ar-H), 7.78–7.74 (m, 3H, Ar-H), 7.47 (d, J = 8.8 Hz, 2H, Ar-H), 7.35–7.32 (m 3H, Ar-H), 7.28–7.27 (m, 2H, Ar-H), 7.18 (t, J = 8.0 Hz, 1H, Ar-H), 6.84–6.81 (m, 1H, Ar-H), 6.67 (s, 1H, Ar-H), 6.66 (t, J = 2.0 Hz, 1H, Ar-H), 6.47 (dd, J = 5.2 Hz, J = 1.2 Hz, 1H, Ar-H), 6.34 (s, 1H, Ar-H), 3.25 (t, J = 6.0 Hz, 2H, NH-CH2-), 3.01 (t, J = 6.0 Hz, 2H, -CH2NHSO2), 13C-NMR (100 MHz, CD3OD) δ 158.5, 157.6, 146.5, 1141.9, 14.0.9, 139.3, 139.1, 138.9, 138.2, 130.7, 129.8, 129.2, 129.0, 128.9, 128.5, 128.2, 127.7, 126.2, 121.2, 119.7, 116.9, 115.9, 111.3, 105.6 (Ar-C), 42.2 (CH2), 40.8 (CH2); LC-MS (m/z) calculated for C28H24ClN5O3S: 545.13, found: 546.0 (M + 1)+.
4-Fluoro-N-(2-((4-(3-(3-hydroxyphenyl)-1-phenyl-1H-pyrazol-4-yl)pyridin-2-yl)amino)ethyl)benzenesulfonamide (3d); Light yellow solid (40%); mp 106–108 °C; 1H-NMR (400 MHz, CDCl3) δ 7.90 (s, 1H, Ar-H), 7.78–7.75 (m, 2H, Ar-H), 7.60 (d, J = 8.0 Hz, 1H, Ar-H), 7.20 (s, 5H, Ar-H), 7.12 (t, J = 8.0 Hz, 1H, Ar-H), 7.03 (t, J = 8.0 Hz, 2H, Ar-H), 6.83 (d, J = 8.0 Hz, 1H, Ar-H), 6.67 (s, 1H, Ar-H), 6.61 (d, J = 8.0 Hz, 1H, Ar-H), 6.40 (d, J = 8.0 Hz, 1H, Ar-H), 6.22 (s, 1H, Ar-H) 3.18 (s, 2H, NH-CH2-), 2.97 (s, 2H, -CH2NHSO2), 13C-NMR (100 MHz, CDCl3) δ 166.1, 163.6, 158.1, 157.3, 146.6, 142.4, 140.6, 139.2, 135.7, 130.7, 130.2, 129.7, 129.6, 128.8, 127.8, 125.1, 121.7, 119.6, 116.7, 116.3, 116.1, 112.3, 105.5 (Ar-C), 42.9 (CH2), 41.6 (CH2); LC-MS (m/z) calculated for C28H24FN5O3S: 529.59, found: 530.0 (M + 1)+.
N-(2-((4-(3-(3-Hydroxyphenyl)-1-phenyl-1H-pyrazol-4-yl)pyridin-2-yl)amino)ethyl)-4-methylbenzenesulfonamide (3e); Yellow solid (38%); mp 114–116 °C; 1H-NMR (400 MHz, CDCl3) δ 7.91 (s, 1H, Ar-H), 7.69 (d, J = 8.0 Hz, 3H, Ar-H), 7.29–7.21 (m, 6H, Ar-H), 7.15 (t, J = 8.0 Hz, 1H, Ar-H), 6.87 (d, J = 8.0 Hz, 1H, Ar-H), 6.72 (s, 1H, Ar-H), 6.61 (d, J = 8.0 Hz, 1H, Ar-H), 6.44 (s, 1H, Ar-H), 6.22 (s, 1H, Ar-H), 5.32 (brs, 1H, NH), 3.20 (brs, 2H, NH-CH2-), 3.00–2.98 (m, 2H, -CH2NHSO2), 2.78 (s, 3H, CH3); 13C-NMR (100 MHz, CDCl3) δ 158.2, 157.1, 146.7, 143.4, 142.4, 140.4, 139.3, 139.2, 136.7, 130.8, 130.2, 129.7, 128.8, 127.6, 127.0, 125.0, 121.8, 119.7, 116.8, 112.3, 105.6 (Ar-C), 42.9 (CH2), 41.6 (CH2), 21.0(CH3); LC-MS (m/z) calculated for C29H29N5O3S: 525.59, found: 526.0 (M + 1)+.
N-(2-((4-(3-(3-Hydroxyphenyl)-1-phenyl-1H-pyrazol-4-yl)pyridin-2-yl)amino)ethyl)-4-(trifluoromethyl)benzenesulfonamide (3f); White solid (40%); mp 138–140 °C; 1H-NMR (400 MHz, CDCl3) δ 7.86 (d, J = 9.0 Hz, 3H, Ar-H), 7.62–7.57 (m, 3H, Ar-H), 7.17 (s, 5H, Ar-H), 7.10 (t, J = 7.6 Hz, 1H, Ar-H), 6.80 (d, J = 7.1 Hz, 1H, Ar-H), 6.64 (s, 1H, Ar-H), 6.58 (d, J = 7.0 Hz, 1H, Ar-H), 6.38 (s, 1H, Ar-H), 5.32 (brs, 1H, NH), 3.20 (brs, 2H, NH-CH2-), 3.00–2.98 (m, 2H, -CH2NHSO2), 2.78 (s, 3H, CH3); LC-MS (m/z) calculated for C29H24F3N5O3S: 579.59, found: 580.0 (M + 1)+.
3-Fluoro-N-(2-((4-(3-(3-hydroxyphenyl)-1-phenyl-1H-pyrazol-4-yl)pyridin-2-yl)amino)ethyl)benzenesulfonamide (3g); White solid (32%); mp 146–148 °C; 1H-NMR (400 MHz, CD3OD) δ 8.05 (s, 1H, Ar-H), 7.87 (d, J = 5.2 Hz, 1H, Ar-H), 7.64 (d, J = 7.6 Hz, 1H, Ar-H), 7.56–7.51 (m, 2H, Ar-H), 7.37–7.28 (m, 6H, Ar-H), 7.19 (t, J = 8.0 Hz, 1H, Ar-H), 6.82 (d, J = 8.0 Hz, 1H, Ar-H), 6.68–6.65 (m, 2H, Ar-H), 6.47 (d, J = 5.6 Hz, 1H, Ar-H), 6.37 (s, 1H, Ar-H), 3.27 (t, J = 5.2 Hz, 2H, NH-CH2-), 3.02 (t, J = 6.0 Hz, 2H, -CH2NHSO2); 13C-NMR (75 MHz, CD3OD) δ 163.6, 161.1, 158.6, 157.6, 146.6, 142.6, 141.9, 139.3, 138.9, 130.8, 130.0, 130.7, 129.7, 128.5, 127.7, 125.2, 122.5, 121.1, 119.7, 119.1, 118.8, 116.8, 113.7, 113.5, 111.3, 105.7 (Ar-C), 42.2 (CH2), 40.8 (CH2); LC-MS (m/z) calculated for C28H24 FN5O3S: 529.16, found: 530.0 (M + 1)+.
N-(2-((4-(3-(3-Hydroxyphenyl)-1-phenyl-1H-pyrazol-4-yl)pyridin-2-yl)amino)ethyl)naphthalene-1-sulfonamide (3h); White solid (33%); mp 146–148 °C; 1H-NMR (400 MHz, CDCl3) δ 8.37 (s, 1H, Ar-H), 7.87–7.73 (m, 5H, Ar-H), 7.61–7.51 (m, 3H, Ar-H), 7.22 (d, J = 4.0 Hz, 5H, Ar-H), 7.11 (t, J = 8.0 Hz, 1H, Ar-H), 6.84 (dd, J = 8.0 Hz, J = 4.0 Hz, 1H, Ar-H), 6.69 (t, J = 4.0 Hz, 1H, Ar-H), 6.58 (d, J = 8.0 Hz, 1H, Ar-H), 6.38 (dd, J = 8.0 Hz, J = 4.0 Hz, 1H, Ar-H), 6.15 (s, 1H, Ar-H), 5.03 (brs, 1H, NH), 3.19 (brs, 2H, NH-CH2-), 3.02 (t, J = 8.0 Hz, 2H, -CH2NHSO2); 13C-NMR (75 MHz, CDCl3) δ 158.0, 157.2, 146.5, 142.4, 140.5, 139.2, 136.4, 134.7, 132.0, 130.7, 130.2, 129.4, 129.2, 128.8, 128.3, 127.8, 127.7, 127.4, 125.0, 122.1, 121.7, 119.6, 117.3, 116.8, 112.3, 105.5 (Ar-C), 43.0 (CH2), 41.6 (CH2); LC-MS (m/z) calculated for C32H27N5O3S: 561.66, found: 562.0 (M + 1)+.
N-(3-((4-(3-(3-Hydroxyphenyl)-1-phenyl-1H-pyrazol-4-yl)pyridin-2-yl)amino)propyl)benzenesulfonamide (4a); White solid (37%); mp 154–156 °C; 1H-NMR (400 MHz, CDCl3) δ 7.92 (s, 1H, Ar-H), 7.81–7.74 (m, 3H, Ar-H), 7.51 (d, J = 7.2 Hz, 1H, Ar-H), 7.44 (t, J = 7.6 Hz, 2H, Ar-H), 7.26 (s, 5H, Ar-H), 7.14 (t, J = 7.9 Hz, 1H, Ar-H), 6.87 (d, J = 7.88 Hz, 1H, Ar-H), 6.74 (s, 1H, Ar-H), 6.60 (d, J = 7.4 Hz, 1H, Ar-H), 6.51 (d, J = 5.3 Hz, 1H, Ar-H), 6.11(s, 1H, Ar-H), 4.83 (brs, 1H, NH), 3.06 (brs, 2H, NH-CH2-), 2.88 (d, J = 5.8 Hz, 2H, -CH2NHSO2), 1.53 (p, J = 5.8 Hz, 2H, CH2CH2CH2); LC-MS (m/z) calculated for C29H27N5O3S: 525.63, found: 526.0 (M + 1)+.
4-Bromo-N-(3-((4-(3-(3-hydroxyphenyl)-1-phenyl-1H-pyrazol-4-yl)pyridin-2-yl)amino)propyl)benzenesulfonamide (4b); Light yellow solid (42%); mp 184–186 °C; 1H-NMR (400 MHz, CD3OD) δ 8.06 (s, 1H, Ar-H), 7.79 (d, J = 5.2 Hz, 1H, Ar-H), 7.80–7.67 (m, 4H, Ar-H), 7.37–7.34 (m, 3H, Ar-H), 7.29–7.27 (m, 2H, Ar-H), 7.19 (t, J = 8.4 Hz, 1H, Ar-H), 6.84–6.81 (m, 1H, Ar-H), 6.68 (s, 1H, Ar-H), 6.66 (s, 1H, Ar-H), 6.51 (dd, J = 5.6 Hz, J = 1.2 Hz, 1H, Ar-H), 6.34 (s, 1H, Ar-H), 3.14 (t, J = 8.0 Hz, 2H, NH-CH2-), 2.93 (t, J = 8.0 Hz, 2H, -CH2NHSO2); 1.61 (d, J = 6.0 Hz, 2H, CH2CH2CH2); 13C-NMR (100 MHz, CD3OD) δ 158.9, 157.6, 146.6, 141.9, 140.9, 139.7, 139.3, 138.9, 132.0, 130.8, 129.8, 128.5, 128.3, 127.7, 126.6, 125.2, 121.2, 119.8, 116.8, 115.9, 110.9, 105.4 (Ar-C), 40.2 (CH2), 38.1 (CH2), 28.8 (CH2); LC-MS (m/z) calculated for C29H26BrN5O3S: 604.10, found: 605.0 (M + 1)+.
4-Chloro-N-(3-((4-(3-(3-hydroxyphenyl)-1-phenyl-1H-pyrazol-4-yl)pyridin-2-yl)amino)propyl)benzenesulfonamide (4c); White solid (52%); mp 166–168 °C; 1H-NMR (400 MHz, CD3OD) δ 8.06 (s, 1H, Ar-H), 7.87–7.75 (m, 3H, Ar-H), 7.60–7.46 (m, 2H, Ar-H), 7.36 (t, J = 5.8 Hz, 3H, Ar-H), 7.32–7.26 (m, 2H, Ar-H), 7.19 (t, J = 7.9 Hz, 1H, Ar-H), 6.83 (ddd, J = 8.3 Hz, 2.3 Hz, 0.8 Hz, 1H, Ar-H), 6.67 (t, J = 5.0 Hz, 2H, Ar-H), 6.51 (dd, J = 5.5 Hz, 1.4 Hz, 1H, Ar-H), 6.34 (s, 1H, Ar-H), 3.14 (t, J = 6.6 Hz, 2H, NH-CH2-), 2.93 (t, J = 6.8 Hz, 2H, -CH2NHSO2), 1.61 (p, J = 6.7 Hz, 2H, CH2CH2CH2); 13C-NMR (100 MHz, CD3OD) δ 158.9, 157.6, 146.7, 141.9, 140.9, 139.3, 139.2, 138.9, 138.3, 130.8, 129.8, 129.0, 128.5, 128.2, 127.7, 125.2, 121.2, 119.8, 116.8, 115.9, 110.9, 105.4 (Ar-C), 40.2 (CH2), 38.1 (CH2), 28.8 (CH2); LC-MS (m/z) calculated for C29H26ClN5O3S: 560.7, found: 561.0 (M + 1)+.
4-Fluoro-N-(3-((4-(3-(3-hydroxyphenyl)-1-phenyl-1H-pyrazol-4-yl)pyridin-2-yl)amino)propyl)benzenesulfonamide (4d); White solid (45%); mp 144–146 °C; 1H-NMR (400 MHz, CD3OD) δ 8.06 (s, 1H, Ar-H), 7.98–7.86 (m, 2H, Ar-H), 7.80 (d, J = 5.5 Hz, 1H, Ar-H), 7.37 (d, J = 6.6 Hz, 3H, Ar-H), 7.33–7.24 (m, 4H, Ar-H), 7.20 (t, J = 7.8 Hz, 1H, Ar-H), 6.83 (d, J = 8.2 Hz, 1H, Ar-H), 6.67 (d, J = 8.4 Hz, 2H, Ar-H), 6.51 (d, J = 5.5 Hz, 1H, Ar-H), 6.35 (s, 1H, Ar-H), 3.15 (t, J = 6.6 Hz, 2H, NH-CH2-), 2.92 (t, J = 6.7 Hz, 2H,-CH2NHSO2), 1.74–1.53 (m, 2H, CH2CH2CH2); 13C-NMR (100 MHz, CD3OD) δ 158.9, 157.6, 146.7, 141.9, 139.3, 138.8, 136.7, 130.8, 129.7, 129.5, 129.4, 128.5, 127.7, 125.2, 121.2, 119.8, 116.8, 115.9, 115.8, 115.6, 110.9, 105.4 (Ar-C), 40.2 (CH2), 38.2 (CH2), 28.8 (CH2); LC-MS (m/z) calculated for C29H26FN5O3S: 543.17, found: 544.0 (M + 1)+.
N-(3-((4-(3-(3-Hydroxyphenyl)-1-phenyl-1H-pyrazol-4-yl)pyridin-2-yl)amino)propyl)-4-methylbenzenesulfonamide (4e); White solid (33%); mp 158–160 °C; 1H-NMR (400 MHz, CD3OD) δ 8.06 (s, 1H, Ar-H), 7.79 (d, J = 5.5 Hz, 1H, Ar-H), 7.72 (d, J = 8.3 Hz, 2H, Ar-H), 7.41–7.25 (m, 7H, Ar-H), 7.19 (t, J = 7.9 Hz, 1H, Ar-H), 6.83 (ddd, J = 8.3 Hz, 2.3 Hz, 1.0 Hz, 1H, Ar-H), 6.71–6.61 (m, 2H, Ar-H), 6.51 (dd, J = 5.5, 1.5 Hz, 1H, Ar-H), 6.34 (s, 1H, Ar-H), 3.13 (t, J = 6.7 Hz, 2H, NH-CH2-), 2.89 (t, J = 6.8 Hz, 2H,-CH2NHSO2), 2.41 (s, 3H, CH3), 1.60 (p, J = 6.7 Hz, 2H, CH2CH2CH2); 13C-NMR (100 MHz, CD3OD) δ 158.9, 157.6, 146.7, 143.1, 141.9, 140.9, 139.3, 138.9, 137.4, 130.8, 129.8, 129.3, 128.5, 127.7, 126.6, 125.2, 121.2, 119.8, 116.8, 115.9, 110.9, 105.4 (Ar-C), 40.2 (CH2), 38.2 (CH2), 28.9 (CH2), 20.1 (CH3); LC-MS (m/z) calculated for C30H29N5O3S: 539.20, found: 540.0 (M + 1)+.
N-(3-((4-(3-(3-Hydroxyphenyl)-1-phenyl-1H-pyrazol-4-yl)pyridin-2-yl)amino)propyl)-4-(trifluoromethyl)benzenesulfonamide (4f); White solid (39%); mp 150–152 °C; 1H-NMR (400 MHz, CD3OD) δ 8.09–7.99 (m, 3H, Ar-H), 7.87 (d, J = 8.3 Hz, 2H, Ar-H), 7.80 (d, J = 5.5 Hz, 1H, Ar-H), 7.41–7.34 (m, 3H, Ar-H), 7.34–7.25 (m, 2H, Ar-H), 7.20 (t, J = 7.9 Hz, 1H, Ar-H), 6.83 (ddd, J = 8.3 Hz, 2.4 Hz, 0.9 Hz, 1H, Ar-H), 6.71–6.63 (m, 2H, Ar-H), 6.52 (dd, J = 5.6 Hz, 1.5 Hz, 1H, Ar-H), 6.36 (d, J = 6.0 Hz, 1H, Ar-H), 3.16 (t, J = 6.7 Hz, 2H, NH-CH2-), 2.96 (t, J = 6.8 Hz, 2H, -CH2NHSO2), 1.64 (p, J = 6.7 Hz, 2H, CH2CH2CH2); 13C-NMR (100 MHz, CD3OD) δ 158.8, 157.6, 146.5, 142.0, 140.9, 139.3, 138.8, 130.7, 129.7, 128.5, 127.7, 127.3, 125.9, 125.2, 121.2, 119.7, 116.8, 115.9, 110.9, 105.5 (Ar-H), 40.2 (CH2), 38.1 (CH2), 28.9 (CH2); LC-MS (m/z) calculated for C30H26F3N5O3S: 593.20, found: 594.0 (M + 1)+.
3-Fluoro-N-(3-((4-(3-(3-hydroxyphenyl)-1-phenyl-1H-pyrazol-4-yl)pyridin-2-yl)amino)propyl)benzenesulfonamide (4g); White solid (41%); mp 120–122 °C; 1H-NMR (400 MHz, CD3OD) δ 8.05 (s, 1H, Ar-H), 7.79 (d, J = 5.5 Hz, 1H, Ar-H), 7.67 (d, J = 7.9 Hz, 1H, Ar-H), 7.63–7.51 (m, 2H, Ar-H), 7.41–7.25 (m, 6H, Ar-H), 7.19 (t, J = 7.9 Hz, 1H, Ar-H), 6.87–6.79 (m, 1H, Ar-H), 6.67 (t, J = 4.2 Hz, 2H, Ar-H), 6.50 (dd, J = 5.5 Hz, 1.3 Hz, 1H, Ar-H), 6.36 (s, 1H, Ar-H), 3.15 (t, J = 6.7 Hz, 2H, NH-CH2-), 2.93 (t, J = 6.8 Hz, 2H, -CH2NHSO2), 1.63 (p, J = 6.7 Hz, 2H, CH2CH2CH2), 13C-NMR (100 MHz, CD3OD) δ 163.7, 161.2, 158.8, 157.6, 146.5, 142.7, 141.9, 140.9, 139.3, 138.9, 130.9, 130.8, 130.8, 129.8, 128.5, 127.7, 125.2, 122.5, 122.5, 121.2, 119.8, 119.1, 118.9, 116.8, 115.9, 113.7, 113.5, 110.9, 105.5 (Ar-C), 40.2 (CH2), 38.2 (CH2), 28.9 (CH2); LC-MS (m/z) calculated for C29H26FN5O3S: 543.17, found: 544.0 (M + 1)+.
N-(3-((4-(3-(3-Hydroxyphenyl)-1-phenyl-1H-pyrazol-4-yl)pyridin-2-yl)amino)propyl)naphthalene-1-sulfonamide (4h); White solid (40%); mp 168–70 °C; 1H-NMR (400 MHz, CD3OD) δ 8.40 (s, 1H, Ar-H), 8.01 (s, 1H, Ar-H), 7.97 (d, J = 8.4 Hz, 2H, Ar-H), 7.92 (d, J = 8.0 Hz, 1H, Ar-H), 7.81 (dd, J = 8.8 Hz, 1.6 Hz, 1H, Ar-H), 7.73 (d, J = 5.2 Hz, 1H, Ar-H), 7.65-7.57 (m, 2H, Ar-H), 7.36-7.25 (m, 5H, Ar-H), 7.13 (t, J = 8.0 Hz, 1H, Ar-H), 6.79 (dd, J = 8.4 Hz, 2.0 Hz, 1H, Ar-H), 6.62 (s, 1H, Ar-H), 6.59 (d, J = 6.4 Hz, 1H, Ar-H), 6.46 (d, J = 4.8 Hz, 1H, Ar-H), 6.27 (s, 1H, Ar-H), 3.11 (t, J = 6.8 Hz, 2H), 2.94 (t, J = 6.8 Hz, 2H, Ar-H), 1.60 (t, J = 6.8Hz, 2H, Ar-H); 13C-NMR (100 MHz, CD3OD) δ 158.7, 157.6, 146.4, 141.9, 140.9, 139.3, 138.9, 137.2, 134.7, 132.1, 130.7, 129.7, 129.1, 128.8, 128.5, 128.3, 127.7, 127.6, 127.5, 127.2, 125.2, 122.0, 121.2, 119.7, 116.8, 115.9, 110.9, 105.3 (Ar-C), 40.2 (CH2), 38.2 (CH2), 28.8 (CH2); LC-MS (m/z) calculated for C33H29N5O3S: 575.20, found: 576.0 (M + 1)+.
3.7. Biological Evaluation
Cell culture and sample treatment were performed as reported in the literature [38,39,40,41]. The 3-(4,5-dimethylthiazol-2-yl)-2,5-diphenyltetrazolium bromide (MTT) assay for cell viability followed the procedure previously described in the literature [38,39,40,41]. Nitrite determination was carried as described in the literature [38,39,40,41], and the PGE2 assay was carried as previously described [38,39,40,41].
4. Conclusion
In this article, a new series of 1,3,4-triaylpyrazole derivatives were synthesized. The new analogues were divided into four groups 1a–i, 2a–i, 3a–h, and 4a–h. All compounds were tested for their ability to inhibit nitric oxide production in LPS-induced RAW 264.7 macrophages and cell viability to measure their cytotoxic effects. Compounds 1a–i exhibited the highest NO production inhibitor activity with low toxicity profile, followed by 2a–I, then 4a–h, and finally 3a–h. Compounds 3a–h and 4a–h showed high cellular toxicity. Compounds 1b, 1d, 1g, 2a, and 2c had the highest activity and lowest toxicity. Compounds 1b, 1d, 1g, 2a, and 2c were tested for their PGE2 inhibition ability and showed IC50 values of 4.72, 5.06, 4.55, 4.87, and 4.68 µM, respectively. Compounds 1b, 1d, 1g, 2a, and 2c were assayed for their ability to inhibit iNOS and COX-2 expressions. Compounds 1b, 1d, and 1g exhibited a potential iNOS inhibitory effect at 20 µM and slightly inhibited iNOS enzyme activity in a dose-dependent manner. We concluded that these compounds inhibit NO production by inhibiting iNOS protein expression and by inhibiting iNOS enzyme activity to a lesser extent. These compounds with good activity and relatively low toxicity profiles can be used as promising compounds for future optimization and development of potential anti-inflammatory agents.
Supplementary Materials
Spectral data of the new synthesized compounds and intermediates are available online.
Author Contributions
M.S.A.-M.: Performed the synthetic and spectroscopic parts, participating in design of the synthetic compounds, and participated in manuscript preparation. M.I.E-G.: Target compounds design, synthesis, data interpretation, direct lab supervision, and participated in manuscript preparation. M.M.G.E.-D.: Performed mass analysis. Y.C.: Participated in synthetic and analysis part. J.C.: Participated in synthetic and analysis part. J.-S.S. and S.-Y.K.: Performed biological activity. K.-T.L.: Design and supervision of biological work. K.H.Y., D.B. and C.-H.O.: Synthesis and analysis advisor.
Funding
This work was supported by 2017 research program of Hanseo University in Korea.
Acknowledgments
The authors would like to thank Hanseo University for funding this work.
Conflicts of Interest
The authors declare no conflict of interest.
References
- Coussens, L.M.; Werb, Z. Inflammation and cancer. Nature 2002, 420, 860–867. [Google Scholar] [CrossRef] [PubMed]
- Balkwill, F.; Mantovani, A. Inflammation and cancer: back to Virchow? Lancet 2001, 357, 539–545. [Google Scholar] [CrossRef]
- Chettibi, S.; Ferguson, M.W.J. Inflammation: Basic Principles and Clinical Correlates, 3rd ed.; Gallin, J.I., Snyderman, R., et al., Eds.; Lipincott, Williams and Wilkinson: Philadelphia, PA, USA, 1999; pp. 865–881. [Google Scholar]
- Rossi, D.; Zlotnik, A. The biology of chemokines and their receptors. Annu. Rev. Immunol 2000, 18, 217–242. [Google Scholar] [CrossRef] [PubMed]
- Homey, B.; Muller, A.; Zlotnik, A. Chemokines: Agents for the immunotherapy of cancer? Nat. Rev. Immunol. 2002, 2, 175–184. [Google Scholar] [CrossRef] [PubMed]
- Sastre, M.; Richardson, J.C.; Gentleman, S.M.; Brooks, D.J. Inflammatory risk factors and pathologies associated with Alzheimer’s disease. Curr. Alzheimer Res. 2011, 8, 132–141. [Google Scholar] [CrossRef] [PubMed]
- Sung, B.; Prasad, S.; Yadav, V.R.; Lavasanifar, A.; Aggarwal, B.B. Cancer and diet: How are they related? Free Rad. Res. 2011, 45, 864–879. [Google Scholar] [CrossRef] [PubMed]
- Lee, I.A.; Bae, E.A.; Hyun, Y.J.; Kim, D.H. Dextran sulfate sodium and 2,4,6-trinitrobenzene sulfonic acid induce lipid peroxidation by the proliferation of intestinal gram-negative bacteria in mice. J. Inflamm. 2010, 7, 7. [Google Scholar] [CrossRef] [PubMed]
- Qui, H.; Johansson, A.S.; Sjostrom, M.; Wan, M.; Schroder, O.; Palmblad, J.; Haeggstrom, J.Z. Differential induction of BLT receptor expression on human endothelial cells by lipopolysacharide, cytokines, and leukotriene B4. Proc. Natl. Acad. Sci. USA 2006, 103, 6913–6918. [Google Scholar]
- Marletta, M.A. Nitric oxide synthase structure and mechanism. J. Biol. Chem. 1993, 268, 12231–12234. [Google Scholar] [PubMed]
- Grisham, M.B.; Jourd, H.D.; Wink, D.A.I. Physiological chemistry of nitric oxide and its metabolites: Implications in inflammation. Am. J. Physiol. Gastrointest. Liver Physiol. 1999, 276, 315–321. [Google Scholar] [CrossRef]
- Morikawa, A.; Koide, N.; Kato, Y.; Sugiyama, T.; Chakravortty, D.; Yoshida, T.; Yokochi, T. Augmentation ofnitric oxide production by gamma interferon in a mouse vascular endothelial cell line and its modulationby tumor necrosis factor alpha and lipopolysaccharide. Infect. Immun. 2000, 68, 6209–6214. [Google Scholar] [CrossRef] [PubMed]
- Dennis, E.A.; Norris, P.C. Eicosanoid storm in infection and inflammation. Nat. Rev. Immunol. 2015, 15, 511–523. [Google Scholar] [CrossRef] [PubMed]
- Nakanishi, M.; Rosenberg, D.W. Multifaceted roles of PGE2 in inflammation and cancer. Semin. Immunopathol. 2013, 35, 123–137. [Google Scholar] [CrossRef] [PubMed]
- Gomez-Guerrero, C.; Hernandez-Vargas, P.; Lopez-Franco, O.; Ortiz-Munoz, G.; Egido, J. Mesangial cells and glomerular inflammation: From the pathogenesis to novel therapeutic approaches. Curr. Drug Targets Inflamm. Allergy 2005, 4, 341–351. [Google Scholar] [CrossRef] [PubMed]
- Vasilakaki, S.; Pastukhov, O.; Mavromoustakos, T.; Huwiler, A.; Kokotos, G. Small peptides able to suppress prostaglandin e2 generation in renal mesangial cells. Molecules 2018, 23, 158. [Google Scholar] [CrossRef] [PubMed]
- Yun, H.Y.; Dawson, V.L.; Dawson, T.M. Neurobiology of nitricoxide. Crit. Rev. Neurobiol. 1996, 10, 291–316. [Google Scholar] [CrossRef] [PubMed]
- Hinz, B.; Brune, K.J. Cyclooxygenase-2–10 years later. Pharmacol. Exp. Ther. 2002, 300, 367–375. [Google Scholar] [CrossRef]
- Li, Y.; Geng, J.; Liu, Y.; Yu, S.; Zhao, G. Thiadiazole—A promising structure in medicinal chemistry. ChemMedChem. 2013, 8, 27–41. [Google Scholar] [CrossRef] [PubMed]
- Yasuhiro, Y.; Hirokazu, K.; Yoji, M.; Yoshinori, O.; Masashi, F.; Noriko, Y.I.; Jun, I.; Taiji, Y.; Makoto, T.; Mitsuaki, O. Novel potent and selective Ca2+ release-activated Ca2+ (CRAC) channel inhibitors. Part 3: Synthesis and CRAC channel inhibitory activity of 4’-[(trifluoromethyl)pyrazol-1-yl] carboxanilides. Bioorg. Med. Chem. 2008, 16, 9457–9466. [Google Scholar]
- Matwijczuk, A.; Karcz, D.; Pustuła, K.; Makowski, M.; Górecki, A.; Kluczyk, D.; Karpińska, M.M.; Niewiadomy, A.; Gagoś, M. Spectroscopic and theoretical studies of fluorescence effects in bio-active: 4-(5-(methyl-1,3,4-thiadiazol-2-yl))benzene-1,3-diol and 4-(5-(methylamino-1,3,4-thiadiazol-2-yl)) benzene-1,3-diol compounds: Effect of molecular aggregation and amino group position. J. Luminescence 2018, 201, 44–56. [Google Scholar]
- Silva, C.F.; Pinto, D.C.; Silva, A.M. Chromones: A promising ring system for new anti-inflammatory drugs. ChemMedChem. 2016, 11, 2252–2260. [Google Scholar] [CrossRef] [PubMed]
- Huan-Wei, T.; Jiun-Yi, S.; Ting-Yi, K.; Ting-Syun, T.; Yi-An, C.; Alexander, P.; Pi-Tai, C. Excited-state intramolecular proton-transfer reaction demonstrating anti-Kasha behavior. Chem. Sci. 2016, 7, 655–665. [Google Scholar]
- Matwijczuk, A.; Janik, E.; Luchowski, R.; Niewiadomy, A.; Gruszecki, W.I.; Gagoś, M. Spectroscopic studies of the molecular organization of 4-([1,2,4] triazolo [4,3-a] pyridin-3-yl)-6-methylbenzene-1,3-diol in selected solvents. J. Luminescence 2018, 194, 208–218. [Google Scholar] [CrossRef]
- Steel, H.C.; Tintinger, G.R.; Anderson, R. Comparison of the anti-inflammatory activities of imidazole antimycotics in relation to molecular structure. Chem. Biol. Drug Des. 2008, 72, 225–228. [Google Scholar] [CrossRef] [PubMed]
- El-Gamal, M.I.; Sim, T.B.; Hong, J.H.; Cho, J.-H.; Yoo, K.H.; Oh, C.-H. Synthesis of 1H-pyrazole-1-carboxamide derivatives and their antiproliferative activity against melanoma cell line. Arch. Pharm. Chem. Life Sci. 2011, 344, 197–204. [Google Scholar] [CrossRef] [PubMed]
- El-Gamal, M.I.; Oh, C.-H. Design and synthesis of 3-(3-chloro-4-substituted phenyl)-4-(pyridin-4-yl)-1H-pyrazole-1-carboxamide derivatives and their antiproliferative activity against melanoma cell line. Bull. Korean Chem. Soc. 2011, 32, 821–828. [Google Scholar] [CrossRef]
- El-Gamal, M.I.; Choi, H.S.; Cho, H.G.; Hong, J.H.; Yoo, K.H.; Oh, C.H. Design, synthesis, and antiproliferative activity of 3,4-diarylpyrazole-1-carboxamide derivatives against melanoma cell line. Arch. Pharm. Chem. Life Sci. 2011, 344, 745–754. [Google Scholar] [CrossRef] [PubMed]
- Choi, W.K.; El-Gamal, M.I.; Choi, H.S.; Baek, D.; Oh, C.H. New diarylureas and diarylamides containing 1,3,4-triarylpyrazole scaffold: Synthesis, antiproliferative evaluation against melanoma cell lines, ERK kinase inhibition, and molecular docking studies. Eur. J. Med. Chem. 2011, 46, 5754–5762. [Google Scholar] [CrossRef] [PubMed]
- El-Gamal, M.I.; Park, Y.S.; Chi, D.Y.; Yoo, K.H.; Oh, C.H. New triarylpyrazoles as broad-spectrum anticancer agents: Design, synthesis, and biological evaluation. Eur. J. Med. Chem. 2013, 65, 315–322. [Google Scholar] [CrossRef] [PubMed]
- El-Gamal, M.I.; Choi, H.S.; Yoo, K.H.; Baek, D.; Oh, C.H. Antiproliferative diarylpyrazole derivatives as dual inhibitors of the ERK pathway and COX-2. Chem. Biol. Drug Des. 2013, 82, 336–347. [Google Scholar] [CrossRef] [PubMed]
- Keche, A.P.; Hatnapure, G.D.; Tale, R.H.; Rodge, A.H.; Kamble, V.M. Synthesis, anti-inflammatory and antimicrobial evaluation of novel 1-acetyl-3,5-diaryl-4,5-dihydro (1H) pyrazole derivatives bearing urea, thiourea and sulfonamide moieties. Bioorg. Med. Chem. Lett. 2012, 22, 6611–6615. [Google Scholar] [CrossRef] [PubMed]
- El-Sayed, M.A.A.; Abdel-Aziz, N.I.; Abdel-Aziz, A.A.M.; El-Azab, A.S.; ElTahir, K.E.H. Synthesis, biological evaluation and selective COX-2 inhibitors and anti-inflammatory agents Part 2. Bioorg. Med. Chem. 2012, 20, 3306–3316. [Google Scholar] [PubMed]
- Ragab, F.A.; Abdel Gawad, N.M.; Georgey, H.H.; Said, M.F. Synthesis of novel 1,3,4-trisubstituted pyrazoles as anti-inflammatory and analgesic agents. Eur. J. Med. Chem. 2013, 63, 645–654. [Google Scholar] [CrossRef] [PubMed]
- Malvar, D.; Ferreira, R.; De Castro, R.; De Castro, L.; Freitas, A.C.; Costa, E.; Florentino, I.; Mafra, J.; De Souza, G.; Vandelinde, F. Antinociceptive, anti-inflammatory and antipyretic effects of 1.5-diphenyl-1H-Pyrazole-3- carbohydrazide, a new heterocyclic pyrazole derivative. Life Sci. 2014, 95, 81–88. [Google Scholar] [CrossRef] [PubMed]
- Kurumbail, R.; Stevens, A.; Gierse, J.; McDonald, J.; Stegeman, R.; Pak, J.; Gildehaus, D.; Miyashiro, J.; Penning, T.; Seibert, K.; Isakson, P.; Stallings, W. Structural basis for selective inhibition of cyclooxygenase-2 by anti-inflammatory agents. Nature 1996, 384, 644–648. [Google Scholar] [CrossRef] [PubMed]
- Norgard, B.; Pedersen, L.; Johnsen, S.P.; Tarone, R.E.; McLaughlin, J.K.; Friis, S.; Sorensen, H.T. COX-2-selective inhibitors and the risk of upper gastrointestinal bleeding in high-risk patients with previous gastrointestinal diseases: a population-based case-control study. Aliment. Pharm. Therap. 2004, 19, 817–825. [Google Scholar] [CrossRef] [PubMed]
- Jang, H.-L.; El-Gamal, M.I.; Choi, H.Y.; Choi, H.Y.; Lee, K.T.; Oh, C.H. Synthesis of tricyclic fused coumarin sulfonates and their inhibitory effects on LPS-induced nitric oxide and PGE2 productions in RAW 264.7 macrophages. Bioorg. Med. Chem. Lett. 2014, 24, 571–575. [Google Scholar] [CrossRef] [PubMed]
- El-Gamal, M.I.; Lee, W.S.; Shin, J.S.; Oh, C.H.; Lee, K.T.; Choi, J.; Myoung, N.; Baek, D. Synthesis of new tricyclic and tetracyclic fused coumarin sulfonate derivatives, and their inhibitory effects on LPS-induced nitric oxide and PGE2 productions in RAW 264.7 macrophages: Part 2. Arch. Pharm. 2016, 349, 853–863. [Google Scholar] [CrossRef] [PubMed]
- El-Gamal, M.I.; Abdel-Maksoud, M.S.; Gamal El-Din, M.M.; Shin, J.S.; Lee, K.T.; Yoo, K.H.; Oh, C.H. Synthesis, in vitro antiproliferative and antiinflammatory activities, and kinase inhibitory effects of new 1,3,4-triarylpyrazole derivatives. Anti-Cancer Agents Med. Chem. 2017, 17, 75–84. [Google Scholar] [CrossRef]
- Park, B.-J.; El-Gamal, M.I.; Lee, W.S.; Shin, J.S.; Yoo, K.H.; Lee, K.T.; Oh, C.H. Synthesis and inhibitory effects of triarylpyrazoles on LPS-induced NO and PGE2 productions in RAW 264.7 macrophages. Med. Chem. Res. 2017, 26, 2161–2171. [Google Scholar] [CrossRef]
- Abdel-Maksoud, M.S.; Kim, M.R.; El-Gamal, M.I.; Gamal El-Din, M.M.; Oh, C.H. Design, synthesis, in vitro antiproliferative evaluation, and kinase inhibitory effects of a new series of imidazo[2,1-b]thiazole derivatives. Eur. J. Med. Chem. 2015, 95, 453–463. [Google Scholar] [CrossRef] [PubMed]
- Gamal El-Din, M.M.; El-Gamal, M.I.; Abdel-Maksoud, M.S.; Yoo, K.H.; Oh, C.-H. Design, synthesis, broad-spectrum antiproliferative activity and kinase inhibitory effect of triarylpyrazole derivatives possessing arylamides or arylureas moieties. Eur. J. Med. Chem. 2016, 119, 122–131. [Google Scholar] [CrossRef] [PubMed]
Sample Availability: Samples of the final compounds are available from the authors. |
© 2018 by the authors. Licensee MDPI, Basel, Switzerland. This article is an open access article distributed under the terms and conditions of the Creative Commons Attribution (CC BY) license (http://creativecommons.org/licenses/by/4.0/).





