Sign in to use this feature.

Years

Between: -

Subjects

remove_circle_outline
remove_circle_outline
remove_circle_outline
remove_circle_outline
remove_circle_outline
remove_circle_outline
remove_circle_outline
remove_circle_outline
remove_circle_outline

Journals

remove_circle_outline
remove_circle_outline
remove_circle_outline
remove_circle_outline
remove_circle_outline

Article Types

Countries / Regions

remove_circle_outline
remove_circle_outline
remove_circle_outline

Search Results (685)

Search Parameters:
Keywords = sucrose accumulation

Order results
Result details
Results per page
Select all
Export citation of selected articles as:
21 pages, 3814 KB  
Article
Genome-Wide Identification of the AdSPS Gene Family and Light Quality Response in Kiwifruit (Actinidia deliciosa)
by Yanzong Zhang, Meng Li, Ming Li, Panqiao Wang, Dawei Cheng, Xiaoxu Sun, Hong Gu, Lan Li and Jinyong Chen
Horticulturae 2026, 12(1), 83; https://doi.org/10.3390/horticulturae12010083 - 10 Jan 2026
Viewed by 167
Abstract
Actinidia deliciosa is a globally important economic fruit crop, and its fruit quality and yield are profoundly influenced by light and environmental conditions. Sucrose phosphate synthase (SPS), a key rate-limiting enzyme in the sucrose biosynthesis pathway, plays a central role in regulating carbon [...] Read more.
Actinidia deliciosa is a globally important economic fruit crop, and its fruit quality and yield are profoundly influenced by light and environmental conditions. Sucrose phosphate synthase (SPS), a key rate-limiting enzyme in the sucrose biosynthesis pathway, plays a central role in regulating carbon metabolism and sucrose accumulation in plants. However, comprehensive studies of the SPS gene family in A. deliciosa are still lacking, particularly regarding its expression in response to different light qualities. In this study, genome-wide identification of the SPS gene family in A. deliciosa was conducted using bioinformatics approaches. A total of 31 SPS genes were identified and named AdSPS1 to AdSPS31 on the basis of their chromosomal positions. The encoded proteins were predicted to be acidic, hydrophilic, and primarily localized in the chloroplast. All the AdSPS proteins contained the conserved domains Sucrose_synth, Glyco_trans_1, and S6PP, indicating potential roles in sucrose metabolism. Phylogenetic analysis classified the 31 AdSPS members into three subfamilies, A, B, and C, comprising 20, 5, and 6 members, respectively. Collinearity analysis revealed extensive syntenic relationships among AdSPS genes across different chromosomes, suggesting that gene duplication events contributed to the expansion of this gene family. Promoter cis-acting element analysis revealed that light-responsive elements were the most abundant among all the detected elements in the upstream regions of the AdSPS genes, implying potential regulation by light signals. Different light qualities significantly affected the contents of sucrose, glucose, and fructose, as well as SPS activity in kiwifruit leaves, with the highest activity observed under the R3B1 (red–blue light 3:1) treatment. Spearman’s correlation analysis indicated that AdSPS3 was significantly negatively correlated with sucrose, fructose, glucose, and SPS activity, suggesting a potential role in negatively regulating sugar accumulation in kiwifruit leaves, whereas AdSPS12 showed positive correlations with these parameters, implying a role in promoting sucrose synthesis. To further explore the light response of the AdSPS genes, eight representative members were selected for qRT‒PCR analysis under red light, blue light, and combined red‒blue light treatments. These results demonstrated that light quality significantly influenced SPS gene expression. Specifically, AdSPS6 and AdSPS24 were highly responsive to R1B1 (1:1 red‒blue light), AdSPS9 was significantly upregulated under R6B1 (6:1 red‒blue light), AdSPS21 was strongly induced by blue light, and AdSPS12 expression was suppressed. This study systematically identified and analyzed the SPS gene family in A. deliciosa, revealing its structural characteristics and light-responsive expression patterns. These findings suggest that AdSPS genes may play important roles in light-regulated carbon metabolism. These results provide a theoretical foundation and valuable genetic resources for further elucidating the molecular mechanisms of sucrose metabolism and light signal transduction in kiwifruit. Full article
(This article belongs to the Section Genetics, Genomics, Breeding, and Biotechnology (G2B2))
Show Figures

Figure 1

16 pages, 1592 KB  
Article
Multi-Omics Reveals Protected Cultivation Improves Chinese Plum (Prunus salicina L.) Quality via Light-Regulated Sugar Metabolism
by Liangliang Cao, Xi Long, Xiaolou Zhu, Jiangong Wang, Weidong Xu, Qiang Lu, Zanyu Ruan, Jiashun Miao and Zhangliang Yao
Plants 2026, 15(1), 164; https://doi.org/10.3390/plants15010164 - 5 Jan 2026
Viewed by 242
Abstract
The Chinese plum (Prunus salicina L.), ‘Zuili’, is a geographically protected cultivar that is valued for its high polyphenol levels and distinctive flavor. Light availability strongly influences sugar accumulation and secondary metabolism in plum fruit, yet the molecular processes associated with quality [...] Read more.
The Chinese plum (Prunus salicina L.), ‘Zuili’, is a geographically protected cultivar that is valued for its high polyphenol levels and distinctive flavor. Light availability strongly influences sugar accumulation and secondary metabolism in plum fruit, yet the molecular processes associated with quality variation under protected cultivation remain unclear. Here, we compare three cultivation systems—multi-span greenhouse (M), retractable electric rain shelter (R), and conventional open field (CK)—to evaluate their effect on fruit quality using integrated transcriptomic and metabolomic analyses. Field trials showed that M treatment increased fruit sweetness by 28.10% versus CK (14.68 vs. 11.46 °Brix, p < 0.001) without yield loss and significantly improved vertical fruit diameter. RNA-seq analysis identified 7561 and 7962 upregulated genes in the M and R treatments compared to CK, respectively, with significant functional enrichment in pathways related to sucrose metabolism, light-response, and ethylene-mediated signaling. Untargeted metabolomic signaling identified 1373 metabolites, with shading treatments increasing the abundance of several sugar-conjugated compounds (e.g., epicatechin 3-O-(2-trans-cinnamoyl)-β-D-allopyranoside). Multi-omics integration revealed coordinated changes in gene expression and metabolite abundance, suggesting that controlled light environments are associated with the concurrent modulation of sugar metabolism and phenylpropanoid-related pathways. These patterns were supported by the upregulation of GT2-family glycosyltransferase genes and the accumulation of lignin-related flavonoid precursors, such as pinobanksin and pinobanksinol. Collectively, these results highlight statistically robust associations between light-regulated cultivation practices and fruit quality traits, providing a molecular framework for optimizing protected cultivation strategies to enhance both the sensory and nutritional attributes of P. salicina fruit without compromising yield. Full article
(This article belongs to the Special Issue Horticultural Plant Physiology and Molecular Biology—2nd Edition)
Show Figures

Figure 1

20 pages, 1546 KB  
Review
Advances in the Regulatory Mechanism of Enzymes Involved in Soluble Sugar Metabolism in Fruits
by Zixin Meng, Weiming Li, Guodi Huang, Xiang Li, Riwang Li, Yongsen Chen, Shixing Luo, Limei Guo, Yingying Tang, Yujuan Tang, Yu Zhang, Xiaowei Ma and Li Li
Plants 2026, 15(1), 138; https://doi.org/10.3390/plants15010138 - 3 Jan 2026
Viewed by 341
Abstract
Soluble sugars are key determinants of fruit quality, directly influencing sensory attributes such as sweetness and flavor, as well as nutritional value and texture. Their content and composition are precisely regulated by sugar-metabolizing enzymes. Key enzymes, including invertase (INV), sucrose phosphate synthase (SPS), [...] Read more.
Soluble sugars are key determinants of fruit quality, directly influencing sensory attributes such as sweetness and flavor, as well as nutritional value and texture. Their content and composition are precisely regulated by sugar-metabolizing enzymes. Key enzymes, including invertase (INV), sucrose phosphate synthase (SPS), sucrose synthase (SUS), fructokinase (FRK), and hexokinase (HXK), play pivotal roles in these processes. However, a systematic and in-depth analysis of their regulatory mechanisms is currently lacking, which hinders a comprehensive understanding of the regulatory network governing fruit sugar metabolism. This review employs bibliometric analysis to systematically examine research trends in fruit sugar metabolism. Furthermore, it synthesizes recent advances in the coordinated regulatory mechanisms from the perspectives of transcriptional regulation, epigenetic modifications, and signal transduction, aiming to provide a clearer framework for future research. At the transcriptional level, transcription factor families such as MYB, WRKY, NAC, and MADS-box achieve precise regulation of sugar metabolism-related genes by specifically binding to the promoters of their target genes. Regarding epigenetic regulation, mechanisms including histone modifications, non-coding RNAs, and DNA methylation influence the expression of sugar-metabolizing enzymes at the post-transcriptional level by modulating chromatin accessibility or mRNA stability. Signaling pathways integrate hormonal signals (e.g., ABA, ethylene), environmental signals (e.g., temperature, light), and sugar-derived signals into the regulatory network, forming complex feedback mechanisms. These regulatory mechanisms not only directly affect sugar accumulation in fruits but also participate in fruit quality formation by modulating processes such as cell turgor pressure and carbon allocation. By integrating recent findings on transcriptional regulation, epigenetics, and signaling pathways, this review provides a theoretical foundation for fruit quality improvement and targeted breeding. Full article
(This article belongs to the Section Horticultural Science and Ornamental Plants)
Show Figures

Figure 1

20 pages, 15328 KB  
Article
New Insights into the Formation Mechanism of Continuous Cropping Obstacles in Dioscorea opposita Thunb. cv. Tiegun Yam from Rhizosphere Metabolites and Microflora
by Pengfei Zhang, Wanghui Guan, Lili Han, Xiaoli Hu, Ailing Xu, Hui Wang, Xiaomin Wang and Xiaoyan Jiao
Agronomy 2026, 16(1), 80; https://doi.org/10.3390/agronomy16010080 - 26 Dec 2025
Viewed by 247
Abstract
Continuous cropping (CC) poses serious challenges to the sustainable production of Dioscorea opposita Thunb. cv. Tiegun yam. The aim of this study is to illustrate the formation mechanisms of CC obstacles by analyzing rhizosphere soil from yam fields with 0 to 2 years [...] Read more.
Continuous cropping (CC) poses serious challenges to the sustainable production of Dioscorea opposita Thunb. cv. Tiegun yam. The aim of this study is to illustrate the formation mechanisms of CC obstacles by analyzing rhizosphere soil from yam fields with 0 to 2 years of replanting. Metabolomic and microbiome sequences were used to assess variations in yam yield, underground tuber traits, soil properties, metabolite profiles, and microbial communities. The results show that CC significantly reduced tuber yield, shortened stalk length, and altered tuber morphology, leading to the accumulation of soil available phosphorus and potassium and a notable decrease in pH. A total of 38 differentially expressed metabolites, including organoheterocyclic compounds, lipids, and benzenoids, were identified and linked to pathways such as starch and sucrose metabolism, linoleic acid metabolism, and ABC transporters. Microbial alpha diversity increased with CC duration, and both bacterial and fungal community structures were notably reshaped. Metabolite profiles correlated more strongly with fungal than bacterial communities. Partial least squares path modeling revealed that CC years had a negative indirect impact on tuber yield and morphology (the path coefficient was −0.956), primarily through direct effects on soil properties (p < 0.01) and metabolites (p < 0.001), which, in turn, influenced microbial diversity. These findings emphasize the vital role of soil properties in reshaping the rhizosphere environment under CC and provide a theoretical basis for mitigating CC obstacles through rhizosphere regulation. Full article
(This article belongs to the Section Farming Sustainability)
Show Figures

Figure 1

21 pages, 20406 KB  
Article
Genome-Wide Identification and Expression Analysis of the SUC Gene Family in Peanut (Arachis hypogaea L.) Reveals Its Role in Seed Sucrose Accumulation
by Zongqin Feng, Qinqin He, Yixiong Zheng, Yu Zhang, Xiaolin Chen, Jiping Liu and Xinmin Huang
Curr. Issues Mol. Biol. 2026, 48(1), 29; https://doi.org/10.3390/cimb48010029 - 25 Dec 2025
Viewed by 270
Abstract
Sucrose is a key quality trait in peanuts, yet high-sucrose varieties are scarce. Although sucrose transporters (SUT/SUC) play crucial roles in sucrose transport and accumulation during seed development, systematic analyses in peanuts are limited. This study conducted a genome-wide analysis of the SUC [...] Read more.
Sucrose is a key quality trait in peanuts, yet high-sucrose varieties are scarce. Although sucrose transporters (SUT/SUC) play crucial roles in sucrose transport and accumulation during seed development, systematic analyses in peanuts are limited. This study conducted a genome-wide analysis of the SUC gene family in cultivated peanut (Arachis hypogaea L.). Sixteen AhSUC genes were identified and characterized for genomic distribution, phylogeny, and expression across tissues and developmental stages. The genes are unevenly distributed across the genome with clustered chromosomal localization. All AhSUC proteins contain the conserved sucrose/proton co-transporter domain (IPR005989), exhibit the typical 12 transmembrane α-helical structure of the major facilitator superfamily, are hydrophobic, and predicted to localize to the membrane. Promoter analysis revealed cis-regulatory elements associated with growth, development, light, hormone, and stress responses. Expression profiling showed tissue-specific patterns, with eight AhSUC genes being highly expressed in cotyledons and embryos. Comparative analysis between high-sugar and conventional varieties showed higher expression of AhSUC2, AhSUC9, and AhSUC11 in the high-sugar variety, correlating with increased sucrose accumulation. Functional validation using a sucrose transport-deficient yeast mutant confirmed the sucrose transport activity of these genes. These findings provide insight into sucrose accumulation mechanisms and offer genetic targets for breeding high-sugar peanut varieties. Full article
(This article belongs to the Section Molecular Plant Sciences)
Show Figures

Figure 1

14 pages, 5312 KB  
Article
Heavy Fruit Load Inhibits the Development of Citrus Summer Shoots Primarily Through Competing for Carbohydrates
by Yin Luo, Yu-Jia Li, Yong-Zhong Liu, Yan-Mei Xiao, Hui-Fen Li and Shariq Mahmood Alam
Horticulturae 2026, 12(1), 14; https://doi.org/10.3390/horticulturae12010014 - 24 Dec 2025
Viewed by 281
Abstract
The excessive and random production of summer shoots poses significant challenges to pest and disease management and the improvement of fruit quality in citrus orchards. Although heavy fruit load has been observed to reduce summer shoot numbers, the mechanism is not well understood. [...] Read more.
The excessive and random production of summer shoots poses significant challenges to pest and disease management and the improvement of fruit quality in citrus orchards. Although heavy fruit load has been observed to reduce summer shoot numbers, the mechanism is not well understood. This study combined a field investigation with a de-fruiting experiment to demonstrate that significant negative correlation exists between fruit load and summer shoot numbers in citrus orchard. Metabolomic analysis further indicated that fruits at the cell expansion stage function as dominant carbohydrate sinks, attracting more soluble sugars. De-fruiting significantly elevated sugar content and upregulated the transcript levels of sink strength-related genes (Sucrose synthase, CsSUS4/5/6) by more than 3.0-fold in the axillary buds. Additionally, exogenous application of sugar-related DAMs (differentially accumulated metabolites), such as sucrose, significantly promoted axillary bud outgrowth. Taken together, our findings confirm that heavy fruit load suppresses shoot branching, primarily through competing for soluble sugars. This provides a physiological basis for managing summer shoots by regulating fruit load, offering a practical strategy to enhance citrus orchard management and the effectiveness of pest and disease control programs. Full article
Show Figures

Figure 1

23 pages, 1018 KB  
Review
The Multifunctional Role of Patatin in Potato Tuber Sink Strength, Starch Biosynthesis, and Stress Adaptation: A Systematic Review
by Yicong Wu, Yunxia Zeng, Wenying Zhang and Yonghong Zhou
Biology 2026, 15(1), 29; https://doi.org/10.3390/biology15010029 - 24 Dec 2025
Viewed by 331
Abstract
Potato (Solanum tuberosum) is one of the world’s most important food crops, with tuber sink strength and starch deposition determining yield, quality, and processing performance. While starch is the dominant carbohydrate reserve, its accumulation is tightly linked with protein metabolism. Patatin, [...] Read more.
Potato (Solanum tuberosum) is one of the world’s most important food crops, with tuber sink strength and starch deposition determining yield, quality, and processing performance. While starch is the dominant carbohydrate reserve, its accumulation is tightly linked with protein metabolism. Patatin, the major soluble storage protein, constitutes up to 40% of total tuber protein. In addition to serving as a nitrogen and carbon reserve, patatin exhibits lipid acyl hydrolase (phospholipase A2-like) activity, suggesting roles in membrane remodeling and stress signaling. This dual identity places patatin at the intersection of storage, metabolic regulation, and defense. A structured review of studies published between 1980 and 2025 was developed using PubMed, Web of Science, Frontiers, and MDPI databases. Prioritized research included molecular, physiological, and multi-omics analyses of patatin expression, regulation, and function under optimal and stress conditions. Evidence indicates that patatin contributes to carbon–nitrogen balance and sink strength by affecting sucrose import, vacuolar osmotic capacity, and starch biosynthesis. Under drought, salinity, and pathogen stress, patatin transcript levels, protein stability, and enzymatic activity shift, leading to reduced starch deposition, altered sugar accumulation, osmoprotection, and reallocation toward defense responses. Despite these insights, major knowledge gaps remain. These include isoform-specific roles, integration into sugar–hormone regulatory networks, and field-scale responses under fluctuating environments. Future progress will require integrated multi-omics, fluxomics, and proximity-labeling approaches, combined with CRISPR-based isoform editing and promoter engineering. Targeting patatin as both a biomarker and an engineering node offers opportunities to develop climate-ready potato cultivars with improved starch yield, tuber quality, and stress resilience. Full article
(This article belongs to the Special Issue The Potential of Genetics and Plant Breeding in Crop Improvement)
Show Figures

Figure 1

34 pages, 17237 KB  
Article
Integrative Analysis of the Transcriptome and Metabolome Reveals the Mechanism of Saline-Alkali Stress Tolerance in Dracocephalum moldavica L.
by Haoze Wang, Jinhua Sheng, Xiongjie Zhang and Jianxun Qi
Agronomy 2026, 16(1), 46; https://doi.org/10.3390/agronomy16010046 - 23 Dec 2025
Viewed by 316
Abstract
Salt–alkali stress is a major abiotic factor limiting plant growth. Dracocephalum moldavica L., an aromatic plant with medicinal and edible value, shows some potential for salt–alkali tolerance, but its response mechanisms remain unclear. In this study, physiological, transcriptomic, and metabolomic approaches were employed [...] Read more.
Salt–alkali stress is a major abiotic factor limiting plant growth. Dracocephalum moldavica L., an aromatic plant with medicinal and edible value, shows some potential for salt–alkali tolerance, but its response mechanisms remain unclear. In this study, physiological, transcriptomic, and metabolomic approaches were employed to compare the responses of D. moldavica seedlings to salt (NaCl/Na2SO4 = 1:1), alkali (NaHCO3/Na2CO3 = 1:1), and mixed saline–alkali stress (NaCl/Na2SO4/NaHCO3/Na2CO3 = 1:1:1:1). The results showed that all stress types increased the MDA content, with osmotic regulators and antioxidant enzymes helping mitigate damage. Alkali stress caused the most severe chlorophyll and photosynthetic damage. Transcriptomic analysis identified 12,838, 11,124, and 11,460 differentially expressed genes (DEGs) under salt, alkali, and mixed saline–alkali stress, respectively. Metabolomic analysis identified 1802, 1937, and 1794 differentially accumulated metabolites (DAMs) under each stress condition. Combined analysis revealed that all stresses activated pathways involved in galactose metabolism, the TCA cycle, pentose–glucuronic acid interconversion, and phenylpropanoid biosynthesis. Salt stress enhanced sucrose hydrolysis and lignification via INV and HCT. Alkali stress promoted the synthesis of 1-O-sinapoyl-β-D-glucose through COMT, improving antioxidant capacity and pH stability. Mixed saline–alkali stress activated genes related to sugar and energy metabolism, leading to the accumulation of xylitol and citric acid. These findings provide insights into D. moldavica’s mechanisms for tolerance, supporting its potential for saline–alkali land use. Full article
(This article belongs to the Section Plant-Crop Biology and Biochemistry)
Show Figures

Figure 1

21 pages, 3631 KB  
Article
Transcriptome and Metabolome Analyses Reveal the Accumulation Mechanism of Carbohydrates During Paeonia ostii Seed Development
by Zhen Li, Siyuan Lv, Yumeng Liu, Mengtian Cao, Hengjia Zhang and Qing Hao
Biomolecules 2026, 16(1), 17; https://doi.org/10.3390/biom16010017 - 22 Dec 2025
Viewed by 291
Abstract
Carbohydrate accumulation during seed development directly influences the oil yield and quality of oilseed plants. To clarify the metabolic and molecular mechanisms underlying this process, we examined seed morphology, metabolome, and transcriptome profiles of Paeonia ostii, a representative oil tree peony, using [...] Read more.
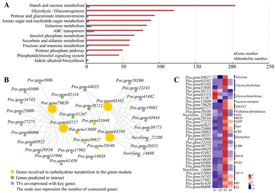
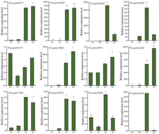
Carbohydrate accumulation during seed development directly influences the oil yield and quality of oilseed plants. To clarify the metabolic and molecular mechanisms underlying this process, we examined seed morphology, metabolome, and transcriptome profiles of Paeonia ostii, a representative oil tree peony, using molecular biology, bioinformatics, and GC-MS techniques. Seeds expanded rapidly and reached their maximum size at 60 days after pollination, coinciding with increased starch staining intensity. Carbohydrate metabolic patterns indicated the conversion of monosaccharides such as glucose, fructose, and inositol into disaccharides like sucrose and into polysaccharides, including starch, raffinose, cellulose, and hemicellulose. Differentially accumulated carbohydrates and associated genes were enriched in the starch and sucrose metabolism and ABC transporter pathways. We constructed a potential regulatory network comprising genes encoding sugar transporters (SWEET, SUS), glycosyl hydrolases, and transcription factors (NF-Y, MYB, LBD, Dof, and B3), which likely play essential roles in carbohydrate deposition and seed development. Therefore, this study clarifies the metabolic and molecular processes governing carbohydrate accumulation in developing seeds and provides a basis for breeding high-yield, high-quality oil tree peony varieties. Full article
(This article belongs to the Section Biomacromolecules: Proteins, Nucleic Acids and Carbohydrates)
Show Figures

Figure 1

17 pages, 4343 KB  
Article
Exogenous 6-BA Inhibits Fruit Cracking by Regulating the Hormonal Balance and Transcriptome Characteristics of the Jujube Fruit Peel
by Wen Tang, Cheng Yang, Yang Cao, Zhenlei Wang, Peihua Du and Minjuan Lin
Agronomy 2026, 16(1), 16; https://doi.org/10.3390/agronomy16010016 - 20 Dec 2025
Viewed by 348
Abstract
Fruit cracking in jujube is a major constraint on the sustainable development of the jujube industry. In this study, 60 mg L−1 of 6-Benzylaminopurine (6-BA) was foliar-sprayed at the early fruit stage. Fruit cracking incidence was recorded during the green and white [...] Read more.
Fruit cracking in jujube is a major constraint on the sustainable development of the jujube industry. In this study, 60 mg L−1 of 6-Benzylaminopurine (6-BA) was foliar-sprayed at the early fruit stage. Fruit cracking incidence was recorded during the green and white fruit periods, and these observations were integrated with transcriptomic and metabolomic analyses to explore the potential mechanisms by which 6-BA influences fruit cracking. The results showed that the fruit cracking in the treatment groups was 53% and 18% of that in the control group during the green period and the white period, respectively. In jujube peel, catalase (CAT) activity was significantly increased in the treated peel during both periods. In the peel metabolites, compounds belonging to the cytokinin (CTK) category exhibited significant accumulation in both periods. Transcriptomic analysis showed that differentially expressed genes (DEGs) were enriched in pathways related to starch and sucrose metabolism, plant hormone signal transduction, and cellular polysaccharide metabolism. These findings suggest that 6-BA treatment may alleviate jujube fruit cracking by enhancing antioxidant capacity, modulating hormone homeostasis, and upregulating genes associated with carbohydrate and cell wall metabolism. Full article
(This article belongs to the Section Plant-Crop Biology and Biochemistry)
Show Figures

Figure 1

17 pages, 12156 KB  
Article
Plant Growth Regulators Enhance Floral Induction of ‘Ziniangxi’ Litchi Under Warm–Humid Winters
by Mingchao Yang, Ding Chen, Yukun He, Fuchu Hu, Tingting Yan, Zhe Chen and Xianghe Wang
Horticulturae 2025, 11(12), 1522; https://doi.org/10.3390/horticulturae11121522 - 16 Dec 2025
Viewed by 394
Abstract
Floral induction in late-maturing litchi is vulnerable to warm, humid winters with insufficient chilling. The late cultivar ‘Ziniangxi’ was evaluated during January–February 2024 in an experimental orchard in Hainan, China, when chilling accumulation was very low, with only seven days having a mean [...] Read more.
Floral induction in late-maturing litchi is vulnerable to warm, humid winters with insufficient chilling. The late cultivar ‘Ziniangxi’ was evaluated during January–February 2024 in an experimental orchard in Hainan, China, when chilling accumulation was very low, with only seven days having a mean air temperature ≤ 15 °C. Under this marginal-chill context, the effects of plant growth regulator (PGR) applications on bud fate were assessed using six single-agent and thirteen composite PGR–nutrient treatments plus a water control, applied as four foliar sprays during floral induction. In the untreated control, the final flowering proportion of tagged shoots was 0.33 in the single-agent trial and 0.05 in the composite trial. In contrast, ABA (3.33 mg L−1) increased flowering to 0.53, and ethephon- or brassinolide-based applications to 0.40–0.47. The most effective composite formulations raised flowering further to 0.50–0.63. These composite applications also increased leaf starch from about 4 mg g−1 FW in the control to approximately 8–9 mg g−1 FW (p<0.05), whereas sucrose concentrations showed only small differences among treatments. Across trials, shoots that became floral consistently exhibited higher leaf starch than vegetative shoots. Gene-expression analyses indicated that floral buds had higher transcript abundance of LcFUL and lower transcript levels of LcFLC and other floral repressors than vegetative buds, consistent with their assignment to floral versus vegetative categories. Overall, the results suggest that appropriately timed ethephon–ABA-based PGR programs, supplemented with BR or 6-BA and nutrients, can partially improve floral induction in ‘Ziniangxi’ under warm, low-chill winters and provide a basis for designing PGR strategies for late litchi cultivars facing insufficient winter chilling. Full article
Show Figures

Figure 1

23 pages, 13046 KB  
Article
Integrated Transcriptomic and Physiological Data Offer Novel Insights into Viability Changes in Paeonia lactiflora Seeds After Cryopreservation
by Ruifen Ren, Zhe Ji, Qinlu Zhu, Bairu Zhang and Xiuyun Yang
Horticulturae 2025, 11(12), 1494; https://doi.org/10.3390/horticulturae11121494 - 10 Dec 2025
Viewed by 324
Abstract
While water content is a critical factor affecting the outcome of cryopreservation, the mechanism by which it influences seed viability after cryopreservation remains unclear. In this study, Paeonia lactiflora seeds with different water content as experimental materials, analyzed the seed viability, oxidative stress [...] Read more.
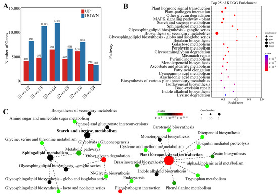
While water content is a critical factor affecting the outcome of cryopreservation, the mechanism by which it influences seed viability after cryopreservation remains unclear. In this study, Paeonia lactiflora seeds with different water content as experimental materials, analyzed the seed viability, oxidative stress indicators, and transcriptomics before and after cryopreservation, to explore the mechanism of the seed viability changes. The results demonstrated that after cryopreservation, seeds with high water content displayed reduced viability, along with abnormal accumulation of reactive oxygen species (ROS) content, which subsequently triggered ROS-mediated oxidative damage. In contrast, seeds with low water exhibited enhanced following cryopreservation, their ROS levels remained relatively stable, while notable alterations were detected in multiple antioxidant system parameters. At the transcriptional level, 1224 differentially expressed genes (DEGs) up-regulated and 1839 DEGs were down-regulated in seeds with high water content after cryopreservation, but 2090 DEGs up-regulated and 1783 DEGs down-regulated in the seeds with low water content. Among them, 687 DEGs were common to both the high- and low-water content seed groups. Gene Ontology (GO) functional analysis indicated that these DEGs are primarily involved physiological metabolic processes including osmotic response, glucosidase activity, protein kinase binding, and response to hydrogen peroxide. Kyoto Encyclopedia of Genes and Genomes (KEGG) pathway enrichment analysis confirmed that the Mitogen-Activated Protein Kinase (MAKP) plant signaling pathway and the starch and sucrose metabolism pathway are the key pathways governing the response of seeds with varying water contents to cryopreservation. Finally, through weighted gene co-expression network pinpointed DHN1 and LEA34 as the core genes regulating changes in seed viability after cryopreservation. These findings offer a broader perspective for in-depth exploration of the molecular regulatory mechanisms underlying the differences in seed viability changes after cryopreservation and are crucial for comprehensively clarifying the precise pathways via which these key genes regulate seed viability changes after cryopreservation. Full article
(This article belongs to the Section Propagation and Seeds)
Show Figures

Figure 1

22 pages, 3931 KB  
Article
Protective Metabolic Effects of Chickpea Sprout Against Obesity-Induced Insulin Resistance and Hypoestrogenism in Rats
by Patrick Mailloux-Salinas, Cristian Jiménez-Martínez, David Julian Arias-Chávez, Arturo Armando Gordillo-Bernal, María Stephanie Cid-Gallegos, Liliana Alamilla-Beltrán and Guadalupe Bravo
Molecules 2025, 30(24), 4673; https://doi.org/10.3390/molecules30244673 - 5 Dec 2025
Viewed by 585
Abstract
Obesity and menopausal hypoestrogenism interact in a way that worsens insulin resistance and increases the risk of metabolic diseases. This study evaluated the effects of a diet composed of liquid chickpea sprouts (CS) on these problems. Sixty-four female Wistar rats were assigned to [...] Read more.
Obesity and menopausal hypoestrogenism interact in a way that worsens insulin resistance and increases the risk of metabolic diseases. This study evaluated the effects of a diet composed of liquid chickpea sprouts (CS) on these problems. Sixty-four female Wistar rats were assigned to four experimental groups: a control group (Ctrl); a hypoestrogenic (HE) group, induced by ovariotomy; an obese (Ob) group, fed a high-sucrose diet; and a hypoestrogenic-obese (HE-Ob) group. Each group was subdivided into animals treated with chickpea sprouts (CS, 0.9 g/kg/day) or with a vehicle for four weeks. The results showed that CS significantly improved glucose tolerance and restored insulin sensitivity, normalizing the HOMA-IR index in both the Ob and HE-Ob groups. In addition, CS reduced serum triglycerides, reversed hepatic steatosis, and caused a favorable redistribution of adipose tissue, leading to decreased mesenteric fat accumulation. In conclusion, chickpea sprouts have protective metabolic effects by improving glucose homeostasis, reducing blood lipids, and mitigating liver damage in an estrogen-deficient model of obesity. These findings support the potential of chickpea sprouts as a dietary intervention to help prevent metabolic complications in obese postmenopausal women. Full article
(This article belongs to the Special Issue Bioactive Molecules from Natural Sources and Their Functions)
Show Figures

Graphical abstract

17 pages, 804 KB  
Article
Can We Increase the Drought Tolerance of Perennial Ryegrass (Lolium perenne L.) to Preserve Grassland Ecosystem Services? A Case Study with Three Bulgarian Varieties
by Aneliya Katova, Plamen Marinov-Serafimov, Irena Golubinova, Bogdan Nikolov and Slaveya Petrova
Plants 2025, 14(23), 3704; https://doi.org/10.3390/plants14233704 - 4 Dec 2025
Viewed by 478
Abstract
Lolium perenne L. (perennial ryegrass) has various applications, including as a high-quality forage species for livestock feed; in seed mixtures used for revegetation of eroded or degraded areas as well as for lawns due to its resistance and rapid germination; for erosion control [...] Read more.
Lolium perenne L. (perennial ryegrass) has various applications, including as a high-quality forage species for livestock feed; in seed mixtures used for revegetation of eroded or degraded areas as well as for lawns due to its resistance and rapid germination; for erosion control on slopes and areas with excessive steepness; for phytoremediation of soils contaminated with potentially toxic elements due to its ability to accumulate metals in its tissues; and as a cover crop to improve soil conditions and control erosion. Accordingly, L. perenne provides several ecosystem services, primarily related to soil stability, agriculture, and recreation. Climate change poses challenges for L. perenne, particularly heat and drought stress, which can reduce its yield and alter its geographical distribution. Climate change also impacts the interactions between L. perenne and its environment, affecting aspects like phenology (e.g., flowering time), carbon fixation, and overall resilience. However, the species’ significant genetic and endophyte-related variability may allow for adaptation. The aim of the present study was to assess the drought tolerance of three Bulgarian varieties of L. perenne, namely Harmoniya (diploid), Tetrany, and Tetramis (tetraploids). We performed induced drought stress under laboratory conditions and monitored its effect on plants in the early stages of growth and development. A variety-specific response was found regarding the effect of different concentrations of sucrose on seed germination, primary root and stem elongation (cm), fresh biomass accumulation (g), as well as on seedling vigor index and plant development. Field experiments and yield elements were also used to assess drought susceptibility and sensitivity to stress in a real environment. The tetraploid perennial ryegrass varieties Tetrany and Tetramis showed better germination, growth, and development in laboratory tests and had higher and more stable field productivity under both optimal and stress conditions than the diploid variety Harmoniya. Ploidy was the factor that characterize them as drought-tolerant genotypes under water-limited conditions, and its potential could be used in future breeding programs. Full article
(This article belongs to the Section Plant Ecology)
Show Figures

Figure 1

17 pages, 8806 KB  
Article
Identification and Characterization of the Efbzip Gene Family in Erianthus fulvus and Exploration of Functional Genes Involved in Sucrose Metabolism
by Changzu Zhao, Weiyou Nong, Zhenfeng Qian, Qian Ding, Yujie Wang, Lilian He and Fusheng Li
Genes 2025, 16(12), 1434; https://doi.org/10.3390/genes16121434 - 1 Dec 2025
Viewed by 355
Abstract
Background/Objectives: Sugarcane (Saccharum spp.) is a major global sugar crop, and improving sucrose accumulation is critical for industry and bioenergy. Due to its high Brix content, Erianthus fulvus (E. fulvus) is valuable for genetic improvement of sugarcane. The bZIP [...] Read more.
Background/Objectives: Sugarcane (Saccharum spp.) is a major global sugar crop, and improving sucrose accumulation is critical for industry and bioenergy. Due to its high Brix content, Erianthus fulvus (E. fulvus) is valuable for genetic improvement of sugarcane. The bZIP transcription factor family critically regulates plant sucrose metabolism, but its roles in sugarcane remain largely unexplored. Methods: Through bioinformatics methods, Efbzip gene family members were systematically identified within the genome of E. fulvus. Gene expression patterns in distinct plant tissues were examined by RNA-seq and quantitative real-time PCR (qRT-PCR). Furthermore, genes potentially involved in sucrose metabolism were screened using transient expression assays and subcellular localization studies conducted in tobacco. Results: Seventy-nine Efbzip genes were identified and classified into nine subgroups, showing uneven distribution across ten chromosomes. Among ten conserved motifs, Motif1 was most conserved. Subcellular localization and physicochemical analyses showed most Efbzip proteins were hydrophilic and nuclear-localized. Cis-regulatory element analysis suggested Efbzip proteins regulate sucrose metabolism through hormone and light-responsive pathways. Segmental duplication primarily drove Efbzip gene family expansion. qRT-PCR showed predominant expression in stems and leaves, with subgroup-specific patterns. Nuclear localization of Efbzip52 was confirmed. Transient overexpression of Efbzip52, Efbzip61, and Efbzip64 significantly increased sucrose content in tobacco leaves, with highly statistically significant (p < 0.0001). Conclusions: In this study, the Efbzip gene family of E. fulvus was systematically characterized for the first time. Key candidate genes potentially involved in sucrose metabolism were identified, providing potential targets for the genetic improvement of sugarcane. Full article
(This article belongs to the Section Plant Genetics and Genomics)
Show Figures

Figure 1

Back to TopTop