error_outline You can access the new MDPI.com website here. Explore and share your feedback with us.
 
 
Sign in to use this feature.

Years

Between: -

Subjects

remove_circle_outline
remove_circle_outline
remove_circle_outline
remove_circle_outline
remove_circle_outline
remove_circle_outline
remove_circle_outline
remove_circle_outline
remove_circle_outline

Journals

remove_circle_outline
remove_circle_outline
remove_circle_outline
remove_circle_outline
remove_circle_outline
remove_circle_outline

Article Types

Countries / Regions

remove_circle_outline
remove_circle_outline
remove_circle_outline
remove_circle_outline

Search Results (410)

Search Parameters:
Keywords = subsidies and incentives

Order results
Result details
Results per page
Select all
Export citation of selected articles as:
3 pages, 144 KB  
Proceeding Paper
Labour Dynamics in East Crete: Structural Characteristics and the Adoption of Sustainable Agricultural Practices
by Penelope Gouta, Vasilia Konstantidelli and Irene Tzouramani
Proceedings 2026, 134(1), 18; https://doi.org/10.3390/proceedings2026134018 - 31 Dec 2025
Viewed by 142
Abstract
This study examines agricultural labour dynamics and sustainability practices in East Crete, assessing how labour structure, education, and input intensity shape ecological outcomes. Using data from 108 farms in Heraklion and Lassithi, we constructed composite indicators, such as Labour Intensity, Sustainability Engagement, and [...] Read more.
This study examines agricultural labour dynamics and sustainability practices in East Crete, assessing how labour structure, education, and input intensity shape ecological outcomes. Using data from 108 farms in Heraklion and Lassithi, we constructed composite indicators, such as Labour Intensity, Sustainability Engagement, and Training-Adjusted Labour indices. Analysis of 37 farms with data revealed a heterogeneous landscape. Traditional family-based systems persist alongside uneven shifts toward agroecological practices. The Training-Adjusted Labour Index correlated with reduced pesticide use, while subsidy participation alone was not a reliable predictor of sustainable behaviour. Findings highlight limits of compliance-based incentives and the importance of knowledge-driven transitions. This study advocates typology-informed policies and longitudinal research for future policy design. Full article
22 pages, 505 KB  
Article
Determinants of ESG Performance in Chinese Financial Firms: Roles of Community Engagement, Firm Size, and Ownership Structure
by Chun Cheong Fong
Sustainability 2026, 18(1), 307; https://doi.org/10.3390/su18010307 - 28 Dec 2025
Viewed by 198
Abstract
This study examines the determinants of environmental, social, and governance (ESG) performance among Chinese financial institutions, with particular emphasis on community engagement, firm size, and ownership structure as drivers of ESG performance and their contribution to the Sustainable Development Goals (SDGs). Utilizing ESG [...] Read more.
This study examines the determinants of environmental, social, and governance (ESG) performance among Chinese financial institutions, with particular emphasis on community engagement, firm size, and ownership structure as drivers of ESG performance and their contribution to the Sustainable Development Goals (SDGs). Utilizing ESG ratings from CSRHub and annual reports from 107 financial companies spanning 2022–2024, hierarchical regression analyses demonstrate that community engagement significantly predicts ESG performance (β = 0.816, p < 0.001), explaining 67.7% of the variance in ESG ratings. Conversely, the firm (β = 5.687 × 10−6, p > 0.05) and the ownership structure (β = 1.35, p > 0.05) exhibit no statistically significant effect. Robustness evaluations, concerning bootstrapping methodologies and calculations of heteroscedasticity-consistent standard errors, check these findings. The cross-sectional design limits causal inference. Longitudinal studies would allow deeper exploration of temporal dynamics. The results specify that community engagement acts as the primary factor affecting ESG performance within Chinese financial institutions, whereas firm size and ownership structure exercise insignificant influence. Financial institutions should prioritize substantive, sustained community initiatives rather than relying on organizational scale or state affiliation. For policymakers, the findings suggest that incentive mechanisms (e.g., tax credits or green-finance subsidies) should reward verifiable community-impact outcomes rather than firm size or state ownership, which do not reliably predict superior ESG performance. Full article
Show Figures

Figure 1

30 pages, 5320 KB  
Article
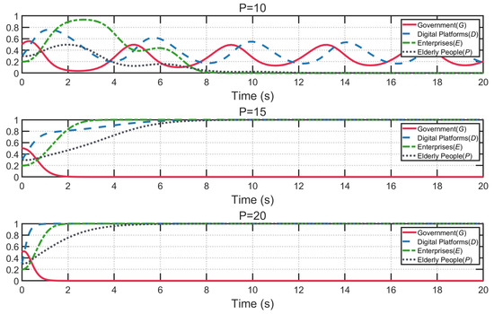
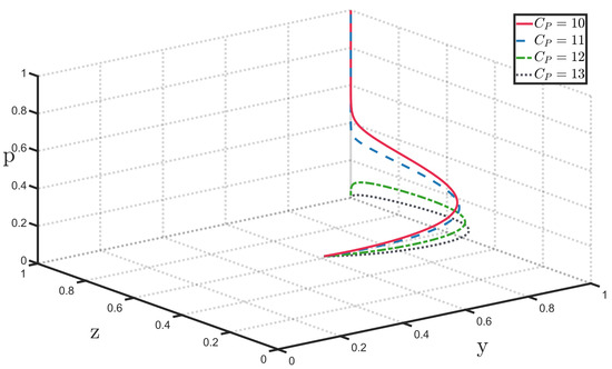
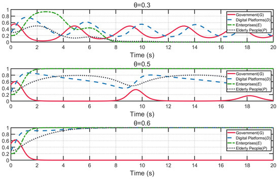
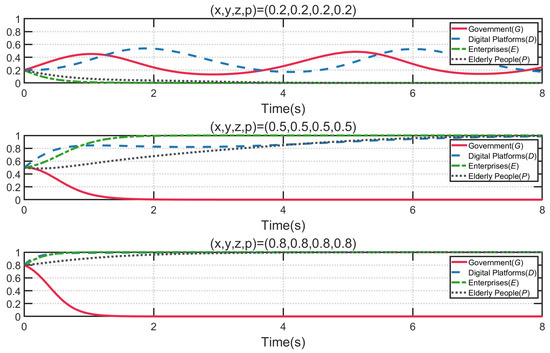
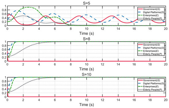
A Four-Party Evolutionary Game Analysis of Silver Economy Data Sharing Based on Digital Platforms
by Zhiyong Zhang, Liyan Xia, Yan Shi and Yongqiang Shi
Systems 2026, 14(1), 27; https://doi.org/10.3390/systems14010027 - 25 Dec 2025
Viewed by 190
Abstract
As the aging society progresses, it is particularly important to strengthen the sharing of silver economy data to promote the development of the silver economy. This paper focuses on analyzing the mechanism by which digital platforms promote silver economy data sharing and constructs [...] Read more.
As the aging society progresses, it is particularly important to strengthen the sharing of silver economy data to promote the development of the silver economy. This paper focuses on analyzing the mechanism by which digital platforms promote silver economy data sharing and constructs an evolutionary game model that includes government departments, digital platforms, enterprises, and elderly people. On this basis, the stability of the strategies of each subject in the system is analyzed, and the influence of key parameters is also discussed. The simulation draws the following conclusions. Firstly, initial strategy proportions significantly influence evolutionary directions. Higher initial proactive participation increases the probability of convergence to the optimal state. Secondly, digital platforms are driven by government regulation intensity, user complaint probabilities, and reputational losses. Increasing fines and user complaint probabilities incentivize platforms to offer high-quality protection. Thirdly, government departments can initially incentivize enterprises and elderly people to participate in data sharing through subsidies and tax incentives and build a long-term driving mechanism by improving regulatory mechanisms and enhancing digital literacy among the elderly people. The research results can serve as a reference for government departments to promote data sharing in the silver economy. Full article
(This article belongs to the Topic Data Science and Intelligent Management)
Show Figures

Figure 1

26 pages, 2485 KB  
Article
Beyond Subsidies: Economic Performance of Optimized PV-BESS Configurations in Polish Residential Sector
by Tomasz Wiśniewski and Marcin Pawlak
Energies 2025, 18(24), 6615; https://doi.org/10.3390/en18246615 - 18 Dec 2025
Viewed by 435
Abstract
This study examines the economic performance of residential photovoltaic systems combined with battery storage (PV-BESS) under Poland’s net-billing regime for a single-family household without subsidy support in 10-year operational horizon. These insights extend existing European evidence by demonstrating how net-billing fundamentally alters investment [...] Read more.
This study examines the economic performance of residential photovoltaic systems combined with battery storage (PV-BESS) under Poland’s net-billing regime for a single-family household without subsidy support in 10-year operational horizon. These insights extend existing European evidence by demonstrating how net-billing fundamentally alters investment incentives. The analysis incorporates real production data from selected locations and realistic household consumption profiles. Results demonstrate that optimal system configuration (6 kWp PV with 15 kWh storage) achieves 64.3% reduction in grid electricity consumption and positive economic performance with NPV of EUR 599, IRR of 5.32%, B/C ratio of 1.124 and discounted payback period of 9.0 years. The optimized system can cover electricity demand in the summer half-year by over 90% and reduce local network stress by shifting surplus solar generation away from midday peaks. Residential PV-BESS systems can achieve economic efficiency in Polish conditions when properly optimized, though marginal profitability requires careful risk assessment regarding component costs, durability and electricity market conditions. For Polish energy policy, the findings indicate that net-billing creates strong incentives for regulatory instruments that promote higher self-consumption, which would enhance the economic role of residential storage. Full article
Show Figures

Figure 1

27 pages, 312 KB  
Article
Research on the Impact Mechanism of ESG Performance on Enterprise New Quality Productivity Forces—Based on the Perspective of Government Subsidies
by Xu Zhong, Jie Qiu and Tingting Ren
Sustainability 2025, 17(24), 11338; https://doi.org/10.3390/su172411338 - 17 Dec 2025
Viewed by 276
Abstract
Regarding the deep integration of China’s “dual carbon” strategy with high-quality development, the objectives of practicing ESG principles and fostering new quality productive forces are highly aligned, which constitute an endogenous driving force for corporate sustainability. Government subsidies, by providing directional incentives and [...] Read more.
Regarding the deep integration of China’s “dual carbon” strategy with high-quality development, the objectives of practicing ESG principles and fostering new quality productive forces are highly aligned, which constitute an endogenous driving force for corporate sustainability. Government subsidies, by providing directional incentives and guiding resource allocation, further facilitate the integration and agglomeration of factors that underpin new quality productive forces. Yet, existing research offers limited theoretical explanation and empirical evidence regarding the relationship among these three dimensions and the mechanisms through which their effects are transmitted. To fulfill the research, this study uses resources from A-share listed enterprises in China between 2015 and 2023. From the perspective of government subsidies and grounded in signaling theory and resource allocation theory, we construct an index system to measure new quality productive forces and employ a two-way fixed effects model alongside Bootstrap mediation test to investigate the mechanisms and transmission pathways linking ESG performance, government subsidies, and new quality productive forces. The results reveal that strong ESG performance substantially enhances the new quality productive forces, and the assertion stays steadfast after addressing endogeneity concerns and conducting multiple robustness checks. Moreover, ESG performance enhances firms’ access to government subsidies, which subsequently has a partial mediation effect. The analysis also uncovers heterogeneity: the beneficial impact of ESG performance is more salient among small and medium-sized firms as well as firms in eastern regions. This study contributes to the literature by extending the theoretical framework on the correlation between ESG performance and new quality productive forces, while also offering practical insights for advancing corporate ESG practices and refining government subsidy policies. Full article
21 pages, 2410 KB  
Article
Unveiling Drivers of Green Production in Forest-Grown Ginseng Farms in China: An Ordered Probit-LGBM Fusion Approach
by Xin-Bo Zhang, Yi-Jun Lou, Yu-Ning Jia, Jia-Fang Han, Yang Zhang and Cheng-Liang Wu
Forests 2025, 16(12), 1868; https://doi.org/10.3390/f16121868 - 17 Dec 2025
Viewed by 252
Abstract
This study investigates the drivers of green production practices among forest-cultivated ginseng growers in Jilin Province, China, by integrating the Theory of Planned Behavior (TPB) and the Technology–Organization–Environment (TOE) framework. Based on survey data from 369 households in the major production regions of [...] Read more.
This study investigates the drivers of green production practices among forest-cultivated ginseng growers in Jilin Province, China, by integrating the Theory of Planned Behavior (TPB) and the Technology–Organization–Environment (TOE) framework. Based on survey data from 369 households in the major production regions of Tonghua, Baishan, and Yanbian areas, an Ordered Probit model and a Light Gradient Boosting Machine (LGBM) algorithm are employed for cross-validation. The results indicate that growers’ cognitive traits (awareness of green production standards and ecological/quality safety) and willingness (acceptance of price premiums for green products) are the most stable and critical drivers. Policy incentives (e.g., certification subsidies and outreach) not only directly promote green practices but also exhibit synergistic effects through interactions with resource endowments and psychological cognition. Regional heterogeneity is evident: Tonghua shows policy–market co-drive, Baishan is dominated by ecological constraints and safeguard policies, while Yanbian relies more on education and individual resources. Accordingly, this study proposes a differentiated policy system based on diagnosis–intervention–evaluation to support the high-quality development of forest-cultivated ginseng industry and ecological-economic synergies. Full article
(This article belongs to the Section Forest Economics, Policy, and Social Science)
Show Figures

Figure 1

18 pages, 484 KB  
Article
Emissions Intensity, Oil Rents, and Capital Formation in Gulf Cooperation Council Rentier States: Implications for the Energy Transition
by Nagwa Amin Abdelkawy
Sustainability 2025, 17(24), 11309; https://doi.org/10.3390/su172411309 - 17 Dec 2025
Viewed by 158
Abstract
This paper investigates whether carbon emission intensity influences capital formation in rent-dependent economies, using the Gulf Cooperation Council (GCC) as a case study. In contrast to conventional growth models, the study tests carbon lock-in as a driver, rather than an outcome, of investment [...] Read more.
This paper investigates whether carbon emission intensity influences capital formation in rent-dependent economies, using the Gulf Cooperation Council (GCC) as a case study. In contrast to conventional growth models, the study tests carbon lock-in as a driver, rather than an outcome, of investment in rentier states and links it empirically to resource curse mechanisms. Using panel data for six GCC countries over 2000–2022, we estimate a fixed effects investment model and use System GMM as a robustness check. Results show that a one standard deviation increase in CO2 intensity is associated with a 2.27 percentage point increase in gross capital formation (GCF) (p < 0.01), consistent with carbon lock-in theory, while oil rents have a significant negative relationship with investment (coefficient = −0.271, p < 0.01), in line with resource curse dynamics. The study contributes by embedding carbon lock-in theory in a standard macro panel investment function, treating emissions intensity as a structural regressor alongside oil rents in the specific context of rentier states. A behavioural interpretation is also offered: high-carbon strategies persist because they continue to yield relatively high short-term returns under existing incentives, so investment systems tend to reinforce carbon-intensive pathways. These insights have implications for both theory and practice, suggesting that screening public projects by emissions intensity, greening sovereign wealth portfolios, and phasing out fossil subsidies may help break carbon-intensive investment inertia. Full article
Show Figures

Figure 1

22 pages, 660 KB  
Article
Intergovernmental Transfers as Determinants of Municipal Fiscal Sustainability: A Review of Theory and Empirical Evidence from Polish Municipalities
by Krzysztof Kluza and Katarzyna Wójtowicz
Sustainability 2025, 17(24), 11284; https://doi.org/10.3390/su172411284 - 16 Dec 2025
Viewed by 399
Abstract
Intergovernmental transfers play a crucial role in shaping the fiscal position of local governments, especially in countries where municipalities, such as those in Poland, exhibit a high dependence on central funding. Recent reforms and the increasing reliance on discretionary revenues transferred from the [...] Read more.
Intergovernmental transfers play a crucial role in shaping the fiscal position of local governments, especially in countries where municipalities, such as those in Poland, exhibit a high dependence on central funding. Recent reforms and the increasing reliance on discretionary revenues transferred from the central budget have motivated a closer examination of how these instruments influence local fiscal sustainability. This article analyses how different types of transfers—general subsidies and targeted grants—affect the fiscal sustainability of Polish municipalities across several dimensions, including autonomy, solvency, efficiency and economic resilience. Using panel data, five sets of models test the crowding-out effect, developmental impact, pro-cyclicality, fiscal discipline, and fiscal replacement mechanisms. Results show that general subsidies crowd out local tax revenues, particularly in less developed municipalities, while targeted grants strengthen the tax base in rural areas. Transfers have mixed effects: targeted grants strongly stimulate investment and support local development but tend to increase debt; general subsidies weaken local tax capacity and reduce fiscal autonomy, although they improve short-term fiscal discipline. In municipalities with limited fiscal independence, transfers act as short-term compensatory tools, fostering dependence on state aid rather than self-reliance. A macroeconomic crowding-out effect also appears, as higher transfers reduce private sector resources. Regarding fiscal discipline, equalization and compensatory subsidies decrease debt levels, whereas targeted grants can raise debt in urban municipalities with co-financing obligations. General subsidies show fiscal replacement effects, substituting local revenue sources. The findings provide insights for designing transfer systems that balance financial support with incentives for local autonomy and sustainable development. Full article
(This article belongs to the Section Economic and Business Aspects of Sustainability)
Show Figures

Figure 1

35 pages, 2133 KB  
Article
Government Subsidies and Corporate Outcomes: An Empirical Study of a Northern Italian Initiative
by Alessandro Marrale, Lorenzo Abbate, Alberto Lombardo and Fabrizio Micari
Economies 2025, 13(12), 368; https://doi.org/10.3390/economies13120368 - 16 Dec 2025
Viewed by 416
Abstract
This study investigated the statistical association between public incentives and industrial innovation as reflected in firms’ financial performances. In particular, the analysis was carried out considering a Regional Operational Program, namely, the 2007–2013 ERDF Regional Program in Lombardy, and investigating a dataset of [...] Read more.
This study investigated the statistical association between public incentives and industrial innovation as reflected in firms’ financial performances. In particular, the analysis was carried out considering a Regional Operational Program, namely, the 2007–2013 ERDF Regional Program in Lombardy, and investigating a dataset of Lombardy-based companies that received support through the mentioned initiative. For each of them, balance sheet variables before and after the acquisition of the incentive and the development of the related innovation project were detected and analyzed by means of both standard and normalized linear regression. Notably, normalized regressions showed that higher subsidy intensity was positively associated with subsequent changes in revenues and intangible assets, especially among manufacturing firms, thereby supporting policies that target sectors with a high innovation capacity. Furthermore, this research underscores the importance of tailoring policy instruments to local and sectoral contexts, recognizing the limitations of one-size-fits-all approaches. In keeping with this exploratory stance, this study does not build a counterfactual control group and makes no causal claims; it simply documents balance sheet associations that may inform future, impact-oriented research. Given the absence of a control group, the design is observational; all findings describe associations and do not allow causal inference. Full article
(This article belongs to the Section Economic Development)
Show Figures

Figure 1

20 pages, 1785 KB  
Article
Exploring Industrial Perception and Attitudes Toward Solar Energy: The Case of Albania
by Arjona Çela, Sonila Çela and Otilia Manta
Sustainability 2025, 17(24), 11179; https://doi.org/10.3390/su172411179 - 13 Dec 2025
Viewed by 340
Abstract
Energy plays a crucial role in the development of societies, yet increasing demand and pressure for production pose significant environmental challenges. This study addresses the critical need for renewable energy, particularly solar power, in light of the projected 50% increase in global energy [...] Read more.
Energy plays a crucial role in the development of societies, yet increasing demand and pressure for production pose significant environmental challenges. This study addresses the critical need for renewable energy, particularly solar power, in light of the projected 50% increase in global energy consumption by 2050 and the European Union’s goals for reducing greenhouse gas emissions. While Albania predominantly relies on hydropower for electricity generation, which constitutes 95% of its capacity, the variability in hydropower underscores the necessity for diversifying energy sources, especially to harness the country’s solar potential. This research aims to assess industrial awareness and the influence of government subsidies and financial incentives on investment intentions through data gathered from questionnaires conducted in 2023. The findings reveal a substantial interest in solar energy, reflecting a gap in the existing literature which primarily focuses on developed economies. By contributing insights into renewable energy awareness in Albania, this paper addresses a significant gap in research concerning transition countries in the Western Balkans. The study ultimately emphasizes the importance of industrial awareness and environmental protection in adopting sustainable energy practices in a region characterized by abundant solar resources. The findings of the study highlight that there is a significant awareness–action gap regarding solar panels. Therefore, financial support and technical assistance are necessary for businesses to adopt solar energy technologies. Full article
(This article belongs to the Section Sustainable Management)
Show Figures

Figure 1

29 pages, 1892 KB  
Article
Resolving Spatial Asymmetry in China’s Data Center Layout: A Tripartite Evolutionary Game Analysis
by Chenfeng Gao, Donglin Chen, Xiaochao Wei and Ying Chen
Symmetry 2025, 17(12), 2136; https://doi.org/10.3390/sym17122136 - 11 Dec 2025
Viewed by 333
Abstract
The rapid advancement of artificial intelligence has driven a surge in demand for computing power. As the core computing infrastructure, data centers have expanded in scale, escalating electricity consumption and magnifying a regional mismatch between computing capacity and energy resources: facilities are concentrated [...] Read more.
The rapid advancement of artificial intelligence has driven a surge in demand for computing power. As the core computing infrastructure, data centers have expanded in scale, escalating electricity consumption and magnifying a regional mismatch between computing capacity and energy resources: facilities are concentrated in the energy-constrained East, while the renewable-rich West possesses vast, untapped hosting capacity. Focusing on cross-regional data-center migration under the “Eastern Data, Western Computing” initiative, this study constructs a tripartite evolutionary game model comprising the Eastern Local Government, the Western Local Government, and data-center enterprises. The central government is modeled as an external regulator that indirectly shapes players’ strategies through policies such as energy-efficiency constraints and carbon-quota mechanisms. First, we introduce key parameters—including energy efficiency, carbon costs, green revenues, coordination subsidies, and migration losses—and analyze the system’s evolutionary stability using replicator-dynamics equations. Second, we conduct numerical simulations in MATLAB 2024a and perform sensitivity analyses with respect to energy and green constraints, central rewards and penalties, regional coordination incentives, and migration losses. The results show the following: (1) Multiple equilibria can arise, including coordinated optima, policy-failure states, and coordination-impeded outcomes. These coordinated optima do not emerge spontaneously but rather depend on a precise alignment of payoff structures across central government, local governments, and enterprises. (2) The eastern regulatory push—centered on energy efficiency and carbon emissions—is generally more effective than western fiscal subsidies or stand-alone energy advantages at reshaping firm payoffs and inducing relocation. Central penalties and coordination subsidies serve complementary and constraining roles. (3) Commercial risks associated with full migration, such as service interruption and customer attrition, remain among the key barriers to shifting from partial to full migration. These risks are closely linked to practical relocation and connectivity constraints—such as logistics and commissioning effort, and cross-regional network latency/bandwidth—thereby potentially trapping firms in a suboptimal partial-migration equilibrium. This study provides theoretical support for refining the “Eastern Data, Western Computing” policy mix and offers generalized insights for other economies facing similar spatial energy–demand asymmetries. Full article
(This article belongs to the Section Mathematics)
Show Figures

Figure 1

27 pages, 2832 KB  
Article
How to Optimize Data Sharing in Logistics Enterprises: Analysis of Collaborative Governance Model Based on Evolutionary Game Theory
by Tongxin Pei, Xu Lian and Wensheng Wang
Sustainability 2025, 17(24), 11064; https://doi.org/10.3390/su172411064 - 10 Dec 2025
Viewed by 271
Abstract
Data, as a key production factor in modern logistics systems, plays a crucial role in enhancing industry efficiency and promoting supply chain coordination. To address challenges in data sharing among logistics enterprises—such as conflicts of interest, unequal risk allocation, and insufficient security governance—this [...] Read more.
Data, as a key production factor in modern logistics systems, plays a crucial role in enhancing industry efficiency and promoting supply chain coordination. To address challenges in data sharing among logistics enterprises—such as conflicts of interest, unequal risk allocation, and insufficient security governance—this study develops a tripartite evolutionary game model involving logistics enterprises, data partners, and supervisory institutions. The payoff matrix incorporates prospect theory to account for risk attitudes, loss–gain perceptions, and subjective judgments. Stable equilibrium points are derived using the Jacobian matrix, and numerical simulations examine strategic evolution under varying parameters. Results indicate that increased returns for data partners reduce their motivation to provide truthful data, while higher enterprise profits suppress logistics enterprises’ willingness to share. Compensation levels have limited impact, whereas excessively high supervision subsidies weaken participation and oversight across all parties. Stronger penalties and higher-level enforcement significantly promote compliance and positive system evolution. Enterprise investment positively correlates with data-sharing behavior, and risk preferences of all parties accelerate convergence to stable equilibria. Conversely, excessively low risk preference in supervisory institutions may lead to an unstable “sharing–false data–non-regulation” pattern. These findings provide theoretical support and policy guidance for designing a dynamic governance mechanism that balances incentives, constraints, and collaboration, thereby facilitating secure and effective logistics data sharing and informing the development of the data factor market. Full article
(This article belongs to the Special Issue Advances in Sustainable Supply Chain Management and Logistics)
Show Figures

Figure 1

26 pages, 2709 KB  
Article
Collaborative Governance Mechanisms for Farmers’ Low-Carbon Transition: A Stochastic Evolutionary Game Perspective
by Deyu Zhao and Shang Xia
Sustainability 2025, 17(24), 10921; https://doi.org/10.3390/su172410921 - 6 Dec 2025
Viewed by 269
Abstract
Farmers’ low-carbon transition has become a critical issue for achieving sustainable agricultural development. Fundamentally, this transition is driven by multi-actor collaboration and is subject to stochastic disturbances. However, the collaborative governance mechanisms that facilitate farmers’ low-carbon transformation remain insufficiently understood, particularly under the [...] Read more.
Farmers’ low-carbon transition has become a critical issue for achieving sustainable agricultural development. Fundamentally, this transition is driven by multi-actor collaboration and is subject to stochastic disturbances. However, the collaborative governance mechanisms that facilitate farmers’ low-carbon transformation remain insufficiently understood, particularly under the influence of random factors. To address this gap, we construct a four-party game model involving farmers, government, enterprises, and financial institutions by employing a stochastic evolutionary game approach that incorporates random disturbance factors to capture real-world uncertainty. Numerical simulations are conducted to examine how different policy tools and external environments shape the system’s evolutionary path. The results show the following: (1) In the early transition stage, external uncertainties cause notable fluctuations in strategy evolution, during which the government, farmers, and enterprises gradually form a collaborative mechanism, while financial institutions remain reluctant to participate due to risk and policy uncertainty. (2) Government subsidies, profit returns, and risk-sharing mechanisms exhibit a substitutive relationship, and an appropriate mix of these tools can effectively enhance the willingness of farmers and enterprises to adopt low-carbon practices. (3) Excessive government incentives may crowd out the role of green credit from financial institutions. (4) The profit-sharing ratio among farmers exerts the strongest motivational effect in the early stage, while higher levels of risk-sharing and reputation benefits are more effective in stabilizing the system structure and enhancing transition resilience. This study reveals the dynamic mechanisms of multi-actor interaction in agricultural low-carbon transition and provides theoretical and policy insights for differentiated government strategies and collaborative emission reduction. Full article
Show Figures

Figure 1

15 pages, 1130 KB  
Article
Exploring the Drivers of Food Waste Across EU Member States: A Socio-Economic and Environmental Perspective
by Vardan Aleksanyan, Felix H. Arion, Sargis Gevorgyan, Davit Markosyan, Suren H. Parsyan, Karine Mnacakanyan, Firuta Camelia Oroian, Iulia Cristina Muresan, Iulia Diana Arion and Sabin Chis
Foods 2025, 14(24), 4174; https://doi.org/10.3390/foods14244174 - 5 Dec 2025
Viewed by 382
Abstract
This study addresses the critical issue of Food Waste (FW) across the 27 European Union (EU) member states by investigating its correlation with key socio-economic and environmental factors. Utilizing panel data regression with a fixed-effects model, this research controls for inherent country-specific characteristics [...] Read more.
This study addresses the critical issue of Food Waste (FW) across the 27 European Union (EU) member states by investigating its correlation with key socio-economic and environmental factors. Utilizing panel data regression with a fixed-effects model, this research controls for inherent country-specific characteristics to isolate the influence of variables, such as GDP per capita, educational attainment, environmental taxes, and economic burden on FW levels. The analysis reveals that FW is shaped by a complex interplay of factors, where economic affluence (GDP per capita) and financial stress (housing cost overburden) both exhibit a positive and statistically significant relationship with increased FW. Conversely, higher educational attainment, particularly at the bachelor’s and master’s degree levels, is strongly associated with reduced FW, emphasizing education’s role in promoting sustainable behavior. Environmental policy variables, including environmental taxes and circular material use, are negatively correlated with waste, suggesting effective indirect reduction. Notably, government support for agriculture demonstrates a positive association with FW, potentially indicating incentives for overproduction. These findings highlight the multidimensional nature of FW in the EU, necessitating comprehensive policy responses that integrate educational initiatives, economic levers, and sustainability-oriented reforms to promote resource-efficient consumption across the continent. By clarifying these relationships, this study contributes to the literature by providing one of the few examples of cross-country, EU-wide panel analyses that jointly consider economic, educational, and policy dimensions of FW. The findings offer practical implications for policymakers, emphasizing that FW reduction requires integrated strategies: strengthening environmental taxation and circularity initiatives, aligning agricultural subsidies with sustainability goals, and expanding educational programs that cultivate food-responsible behavior. Together, these insights support the design of more targeted and evidence-based interventions to reduce FW and promote resource-efficient consumption across the EU. Full article
(This article belongs to the Section Food Security and Sustainability)
Show Figures

Figure 1

35 pages, 944 KB  
Article
Optimal Supply Chain Incentives to Reduce Emissions Under Blockchain Technology: Tax or Subsidy
by Yangyang Wang and Dongdong Li
Sustainability 2025, 17(23), 10883; https://doi.org/10.3390/su172310883 - 4 Dec 2025
Viewed by 458
Abstract
Blockchain technology is increasingly adopted in supply chains to record product carbon footprints and environmental attributes on tamper-resistant ledgers. By improving the transparency and verifiability of emission-related information for governments, firms and consumers, blockchain reshapes the incentive effects of environmental taxes and subsidies [...] Read more.
Blockchain technology is increasingly adopted in supply chains to record product carbon footprints and environmental attributes on tamper-resistant ledgers. By improving the transparency and verifiability of emission-related information for governments, firms and consumers, blockchain reshapes the incentive effects of environmental taxes and subsidies that target emission abatement. This paper presents a government-manufacturer-consumer tripartite game model to analyze the abatement effects of tax and subsidy policies and their differences under heterogeneous consumer demand in a blockchain-driven framework. The results indicate that: (1) Both subsidy and tax policies can facilitate environmental improvement. When consumers’ green preference exceeds a specific threshold X*/1+γ, the greenness of the tax policy is superior to that of the subsidy policy, and vice versa. (2) Under blockchain technology, tax and subsidy instruments differentially affect the profits of conventional and green manufacturers, shifting profits from high-emission sectors to green sectors. (3) The improvement of consumers’ environmental awareness can gradually reduce the implementation of the policy, urge enterprises to reduce emissions, and improve their profits. Nevertheless, the privacy concerns associated with blockchain technology present a significant obstacle to the effective implementation of carbon emission reduction strategies. Full article
(This article belongs to the Section Sustainable Management)
Show Figures

Figure 1

Back to TopTop