Exploring the Drivers of Food Waste Across EU Member States: A Socio-Economic and Environmental Perspective
Abstract
1. Introduction
2. Methodology
2.1. Data Sources and Variable Description
2.2. Econometric Model Specification
| Element | Description |
| Υit | Dependent variable for country i at time t. |
| β0i | Country-specific intercept term capturing unobserved heterogeneity. |
| β1…βn | Coefficients measuring the effect of each independent variable. |
| X1…Xn | Independent (explanatory) variables for country i at time t (e.g., GDP per capita, education level). |
| ωi | Unobserved country-specific effects (fixed or random effects depending on model) |
| εit | Idiosyncratic error term for country i at time t, assumed to be white noise |
2.3. Model Selection and Robustness Testing
3. Results
Correlation Matrix and Multicollinearity Assessment
4. Discussion
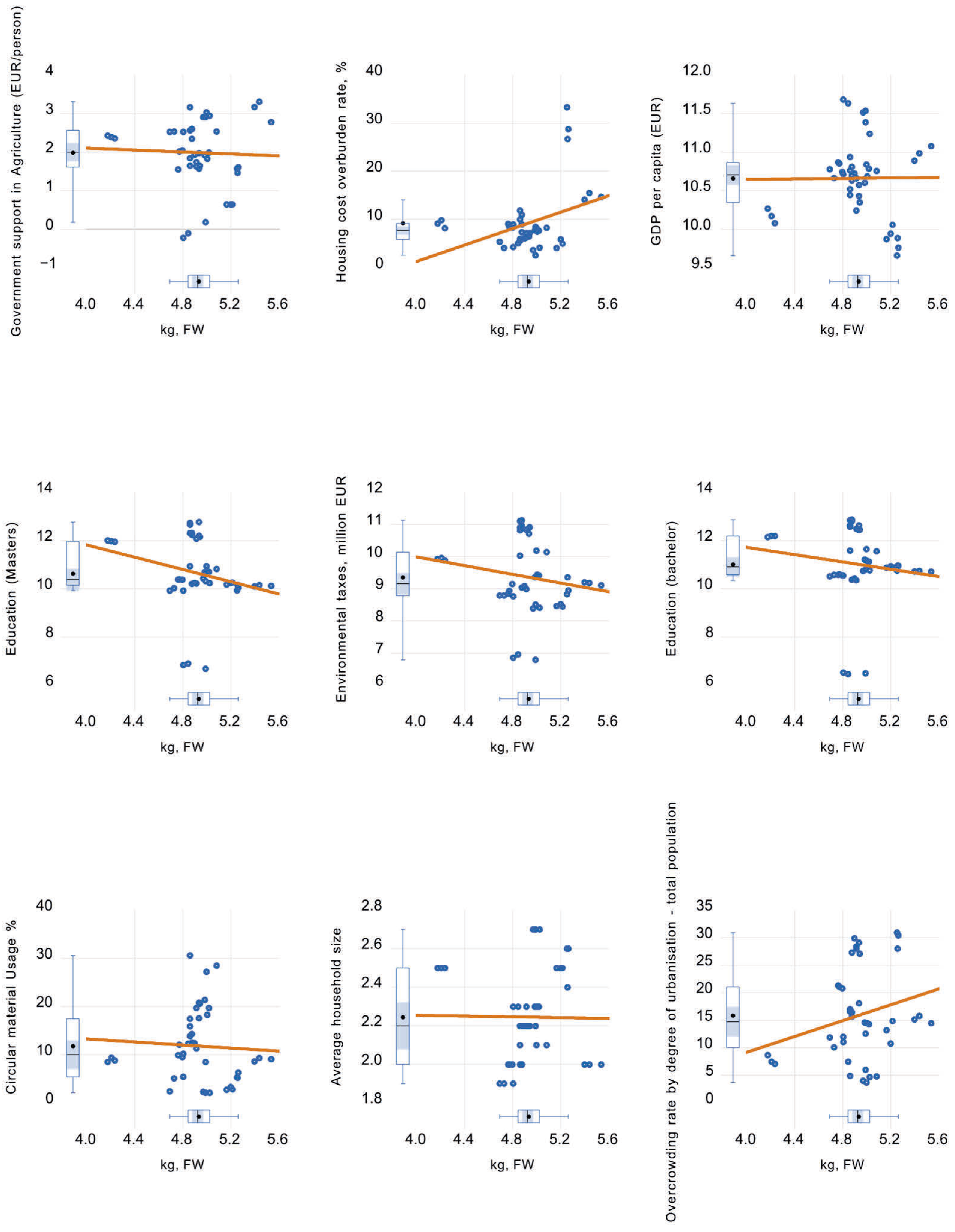
4.1. Economic Indicators (Housing Cost Overburden and FW and GDP per Capita)
4.1.1. Purchasing Behavior
4.1.2. Food Preparation Practices
4.1.3. Storage Issues
4.1.4. Broader Socio-Economic Context
4.1.5. GDP per Capita (EUR)
4.2. Socio-Political and Environmental Indicators (Education Level (Bachelor’s and Master’s Degree Environmental Taxes, Overcrowding Rate and Population Density)
5. Conclusions
Author Contributions
Funding
Institutional Review Board Statement
Informed Consent Statement
Data Availability Statement
Conflicts of Interest
Appendix A

Appendix B
| (1) | (2) | (3) | |
|---|---|---|---|
| Fixed Effect | Random Effect | Pooled OLS | |
| Housing Cost Overburden | 1.133 | 5.279 ** | 5.279 ** |
| (5.351) | (2.203) | (2.629) | |
| GDP Per Capita (EUR) | 0.0480 | 0.204 *** | 0.204 *** |
| (0.0621) | (0.0385) | (0.0616) | |
| Education Bachelor | −13.74 | −0.253 ** | −0.253 * |
| (23.69) | (0.122) | (0.145) | |
| Education Masters | −0.0541 | −0.134 ** | 0.134 * |
| (0.0800) | (0.0597) | (0.0761) | |
| Unemployment Rate | 1.937 | 7.522 | 7.522 |
| (1.622) | (5.980) | (7.792) | |
| Environmental Taxes (million EUR) | −0.0373 | −0.114 ** | −0.114 *** |
| (0.0831) | (0.0445) | (0.0389) | |
| Government support in Agriculture | 0.444 | 0.922 *** | 0.922 *** |
| (0.316) | (0.243) | (0.170) | |
| Circular Material Usage | 1.135 | −3.995 * | −3.995 * |
| (1.48) | (2.11) | (2.072) | |
| Average Household Size | −1.070 | 5.078 | 5.078 |
| (1.208) | (4.031) | (4.87) | |
| Overcrowding Rate | 1.543 | −9.938 | −9.938 |
| (3.054) | (1.364) | (1.175) | |
| Population Density (People per km2) | −0.0332 | 0.357 *** | 0.357 *** |
| (0.116) | (0.124) | (0.0862) | |
| _cons | −1.28845 × 109 | −1.07914 × 109 | −1.07914 × 109 |
| (5.79563 × 109) | (875,562,305.6) | (1.20108 × 109) |
References
- Parisi, M.; Verrillo, M.; Luciano, M.A.; Caiazzo, G.; Quaranta, M.; Scognamiglio, F.; Di Meo, V.; Villani, A.; Cantelli, M.; Gallo, L.; et al. Use of Natural Agents and Agrifood Wastes for the Treatment of Skin Photoaging. Plants 2023, 12, 840. [Google Scholar] [CrossRef]
- Rohini, C.; Geetha, P.; Vijayalakshmi, R.; Mini, M.; Pasupathi, E. Global effects of food waste. J. Pharmacogn. Phytochem. 2020, 9, 690–699. [Google Scholar]
- Urugo, M.M.; Teka, T.A.; Gemede, H.F.; Mersha, S.; Tessema, A.; Woldemariam, H.W.; Admassu, H. A comprehensive review of current approaches on food waste reduction strategies. Compr. Rev. Food Sci. Food Saf. 2024, 23, e70011. [Google Scholar] [CrossRef]
- Raina, A.; Bathla, G. Harvesting Solutions; IGI Global Scientific Publishing: Hershey, PA, USA, 2024; pp. 214–228. [Google Scholar] [CrossRef]
- Selvakumar, P.; Karunambikai, J.; Shanthi, M.; Murali, S.R.; Manjunath, T.C. Environmental Food Impact; IGI Global Scientific Publishing: Hershey, PA, USA, 2025; pp. 261–290. [Google Scholar] [CrossRef]
- Batool, F.; Kurniawan, T.A.; Mohyuddin, A.; Othman, M.H.D.; Anouzla, A.; Meidiana, C.; Goh, H.H.; Chew, K.W. Fixed-Bed Studies of Landfill Leachate Treatment Using Chitosan-Coated Carbon Composite. Water 2023, 15, 2263. [Google Scholar] [CrossRef]
- Yılmaz, S.; Günal, A.M.; Köse, G.; Baş, M. The Environmental and Economic Dynamics of Food Waste and Greenhouse Gas Emissions: A Causal Time Series Analysis from 2000 to 2022. Sustainability 2025, 17, 775. [Google Scholar] [CrossRef]
- Netto, A.M.; Nascimento, M.C.G.M.; de Caux, L.S.; Cortez, M.d.O.B.; Ferreira, J.P.R.; Monteiro, K.A.; Moreira, R.P.L. Tertiary Treatment of Pulp Industry Effluents Using Activated Biochar Derived from Biological Sludge Within a Circular Economy Framework. Processes 2025, 13, 1647. [Google Scholar] [CrossRef]
- Aleksanyan, V.; Markosyan, D. The Necessity of Developing Circular Business Models in Food Industry of the Republic of Armenia and Potential Strategies for Implementation. AgriScience Technol. 2024, 3, 213–218. [Google Scholar] [CrossRef]
- Arion, F.H.; Aleksanyan, V.; Markosyan, D.; Arion, I.D. Circular Pathways to Sustainable Development: Understanding the Links between Circular Economy Indicators, Economic Growth, Social Well-Being, and Environmental Performance in EU-27. Sustainability 2023, 15, 16883. [Google Scholar] [CrossRef]
- Gevorgyan, S.; Aleksanyan, V. The Nature of Consumer (Household Sector) Food Waste and Primary Causes Behind It: Evidence from Armenia (Yerevan City). Bull. Yerevan Univ. G Econ. 2025, 15, 41–48. [Google Scholar] [CrossRef]
- Stangherlin, I.D.C.; de Barcellos, M.D. Drivers and barriers to food waste reduction. Br. Food J. 2018, 120, 2364–2387. [Google Scholar] [CrossRef]
- Canali, M.; Amani, P.; Aramyan, L.; Gheoldus, M.; Moates, G.; Östergren, K.; Silvennoinen, K.; Waldron, K.; Vittuari, M. Food Waste Drivers in Europe, from Identification to Possible Interventions. Sustainability 2016, 9, 37. [Google Scholar] [CrossRef]
- Filho, W.L.; Salvia, A.L.; Davis, B.; Will, M.; Moggi, S. Higher education and food waste: Assessing current trends. Int. J. Sustain. Dev. World Ecol. 2021, 28, 440–450. [Google Scholar] [CrossRef]
- Katare, B.; Serebrennikov, D.; Wang, H.H.; Wetzstein, M. Social-Optimal Household Food Waste: Taxes and Government Incentives. Am. J. Agric. Econ. 2017, 99, 499–509. [Google Scholar] [CrossRef]
- Adhikari, B.K.; Barrington, S.F.; Martinez, J.M. Urban Food Waste generation: Challenges and opportunities. Int. J. Environ. Waste Manag. 2009, 3, 4. [Google Scholar] [CrossRef]
- European Union. Eurostat. Available online: https://ec.europa.eu/eurostat (accessed on 19 June 2025).
- Wooldridge, J.M. Econometric Analysis of Cross Section and Panel Data; MIT Press: Cambridge, MA, USA, 2002; Volume 58. [Google Scholar] [CrossRef]
- Baltagi, B.H. Econometric Analysis of Panel Data; Springer International Publishing: Cham, Switzerland, 2021. [Google Scholar] [CrossRef]
- Abdulhafedh, A. How to Detect and Remove Temporal Autocorrelation in Vehicular Crash Data. J. Transp. Technol. 2017, 7, 2. [Google Scholar] [CrossRef]
- Smith, R.J.; Hsiao, C. Analysis of Panel Data. Economica 1988, 55, 284–285. [Google Scholar] [CrossRef]
- Porpino, G. Household food waste behavior: Avenues for future research. J. Assoc. Consum. Res. 2016, 1, 1. [Google Scholar] [CrossRef]
- Galli, A.; Moreno Pires, S.; Iha, K.; Alves, A.A.; Lin, D.; Mancini, M.S.; Teles, F. Sustainable food transition in Portugal: Assessing the Footprint of dietary choices and gaps in national and local food policies. Sci. Total Environ. 2020, 749, 2141307. [Google Scholar] [CrossRef] [PubMed]
- Bhattacharya, A.; Zutshi, A.; Prajogo, D. Food waste challenges at downstream interfaces: A triple bottom line dilemma. Australas. J. Environ. Manag. 2022, 29, 2139768. [Google Scholar] [CrossRef]
- Forbes, H.; Quested, T.; O’Connor, C. FOOD WASTE INDEX REPORT 2021; United Nations Environment Programme: Nairobi, Kenya, 2021. [Google Scholar]
- Chalak, A.; Abou-Daher, C.; Chaaban, J.; Abiad, M.G. The global economic and regulatory determinants of household food waste generation: A cross-country analysis. Waste Manag. 2016, 48, 418–422. [Google Scholar] [CrossRef]
- van den Bos Verma, M.; de Vreede, L.; Achterbosch, T.; Rutten, M.M. Consumers discard a lot more food than widely believed: Estimates of global food waste using an energy gap approach and affluence elasticity of food waste. PLoS ONE 2020, 15, 0228369. [Google Scholar] [CrossRef]
- Qi, D.; Apolzan, J.W.; Li, R.; Roe, B.E. Unpacking the decline in food waste measured in Chinese households from 1991 to 2009. Resour. Conserv. Recycl. 2020, 160, 104893. [Google Scholar] [CrossRef]
- Barrera, E.L.; Hertel, T. Global food waste across the income spectrum: Implications for food prices, production and resource use. Food Policy 2021, 98, 101874. [Google Scholar] [CrossRef]
- Krah, C.Y.; Bahramian, M.; Hynds, P.; Priyadarshini, A. Household food waste generation in high-income countries: A scoping review and pooled analysis between 2010 and 2022. J. Clean. Prod. 2024, 471, 143375. [Google Scholar] [CrossRef]
- Xue, L.; Liu, G.; Parfitt, J.; Liu, X.; Van Herpen, E.; Stenmarck, Å.; O’Connor, C.; Östergren, K.; Cheng, S. Missing Food, Missing Data? A Critical Review of Global Food Losses and Food Waste Data. Environ. Sci. Technol. 2017, 51, 6618–6633. [Google Scholar] [CrossRef] [PubMed]
- Bilska, B.; Tomaszewska, M.; Kołożyn-Krajewska, D. Analysis of the Behaviors of Polish Consumers in Relation to Food Waste. Sustainability 2019, 12, 304. [Google Scholar] [CrossRef]
- Rachman, I.; Saldiana, N.K.; Permanasari, A. Sustainability Literacy on Food Waste Education: A Preliminary Study. J. Presipitasi Media Komun. Dan Pengemb. Tek. Lingkung. 2025, 22, 610–620. [Google Scholar] [CrossRef]
- Sonnino, R.; Tegoni, C.L.S.; De Cunto, A. The challenge of systemic food change: Insights from cities. Cities 2019, 85, 110–116. [Google Scholar] [CrossRef]
- Miller, S.; Vela, M.A. Are Environmentally Related Taxes Effective? SSRN Electron. J. 2013, IDB-WP-467. [Google Scholar] [CrossRef]
- Landín, S.A. Tax measures to reduce food losses and waste in the United States and the European Union: A comparative analysis. REVESCO. Rev. De Estud. Coop. 2024, 146, 1–15. [Google Scholar] [CrossRef]
- Plinke, C.; Sureth, M.; Kalkuhl, M. Assessing the Potential of Tax Policies in Reducing Environmental Impacts from European Food Consumption. Res. Sq. 2024. [Google Scholar] [CrossRef]
- Katare, B.; Serebrennikov, D.; Wang, H.H.; Wetzstein, M. Optimal Food Waste: Taxes and Government Incentives. In Proceedings of the 2016 Annual Meeting, Boston, MA, USA, 31 July–2 August 2016. [Google Scholar]
- Coudard, A.; Sun, Z.; Behrens, P.; Mogollón, J.M. The Global Environmental Benefits of Halving Avoidable Consumer Food Waste. Environ. Sci. Technol. 2024, 58, 13707–13716. [Google Scholar] [CrossRef]
- Ermakov, V.; Jovanovic, L.; Cajka, Z. A city as an urban taxon of the biosphere and a problem of waste. Zast. Mater. 2015, 56, 251–260. [Google Scholar] [CrossRef]
- Fattibene, D.; Recanati, F.; Dembska, K.; Antonelli, M. Urban Food Waste: A Framework to Analyse Policies and Initiatives. Resources 2020, 9, 99. [Google Scholar] [CrossRef]

| Variable | Description | Justification for Selection |
|---|---|---|
| FW | Amount of FWd per capita | Main dependent variable of the study, representing the core issue under investigation. |
| Housing Overburden Rate | % of population spending 40%+ of disposable income on housing | Indicates financial pressure, which may limit capacity for efficient food consumption/storage. |
| GDP per Capita (EUR) | National economic output per person | Reflects affluence and living standards; may influence both overconsumption and food management. |
| Education (Bachelor) | % of population aged 25–64 with a bachelor’s degree | Higher education often leads to greater environmental and nutritional awareness. |
| Education (Master) | % of population aged 25–64 with a master’s degree | Further educational attainment may enhance sustainable consumption and planning habits. |
| Unemployment Rate | % of labor force that is unemployed | Economic insecurity may impact food purchasing and waste behavior unpredictably. |
| Environmental Taxes | Revenue from environmental taxes (in million EUR) | Indicates the strength of environmental policy; may influence societal behavior around waste. |
| Government Support in Agriculture | State financial support to agriculture sector (in million EUR) | Affects food production systems and potential surplus, indirectly influencing FW. |
| Circular Material Usage | % of material input from recycled sources | Reflects circular economy practices; higher rates may correlate with better waste management. |
| Average Household Size | Number of people per household | Larger households may exhibit more efficient food usage per capita. |
| Overcrowding Rate | % living in overcrowded housing, by urbanization level | Linked to limited storage and food planning capacity, potentially increasing FW. |
| Population Density | People per square kilometer | High density may affect waste infrastructure and individual waste behavior. |
| −1 | −2 | −3 | −4 | −5 | −6 | −7 | −8 | −9 | −10 | −11 | |
|---|---|---|---|---|---|---|---|---|---|---|---|
| (1) Housing Overburden Rate | 1.0 | ||||||||||
| (2) GDP per Capita (EUR) | 0.0 | 1.0 | |||||||||
| (3) Education (Bachelor’s) | 0.1 | 0.0 | 1.0 | ||||||||
| (4) Education (Master’s) | 0.1 | 0.0 | 0.9 | 1.0 | |||||||
| (5) Unemployment Rate | 0.4 | −0.1 | 0.0 | 0.1 | 1.0 | ||||||
| (6) Environmental Taxes (mil EUR) | 0.2 | 0.1 | 0.9 | 0.9 | 0.0 | 1.0 | |||||
| (7) Government Support in Agriculture | 0.1 | 0.4 | 0.1 | 0.1 | 0.0 | 0.2 | 1.0 | ||||
| (8) Circular Material Usage (%) | 0.0 | 0.2 | 0.3 | 0.3 | −0.1 | 0.4 | 0.2 | 1.0 | |||
| (9) Average Household Size | −0.1 | −0.3 | −0.1 | −0.1 | 0.0 | −0.3 | −0.4 | −0.3 | 1.0 | ||
| (10) Overcrowding Rate | 0.2 | −0.5 | 0.0 | 0.0 | 0.0 | −0.1 | −0.4 | −0.3 | 0.2 | 1.0 | |
| (11) Population Density (km2) | −0.1 | 0.1 | 0.0 | −0.1 | −0.3 | 0.0 | −0.1 | 0.5 | 0.0 | −0.4 | 1.0 |
| Variable | Obs | Mean | Std. Dev. | Min | Max |
|---|---|---|---|---|---|
| FW, kg | 81 | 137.099 | 47.168 | 65 | 294 |
| Housing cost overburden, % | 81 | 7.344 | 5.424 | 1.9 | 33.3 |
| GDP per capita, EUR | 81 | 34,486.914 | 23,182.057 | 9450 | 118,310 |
| Education bachelor’s degree holders | 81 | 80,624.333 | 102,616.65 | 643 | 388,732 |
| Education Master’s degree holders | 81 | 55,968.123 | 79,708.015 | 801 | 351,459 |
| Education Ph.D. degree holders | 81 | 3501.235 | 5644.399 | 66 | 28,153 |
| Unemployment rate, % | 81 | 4.21 | 1.778 | 1.5 | 10 |
| Environmental taxes, EUR | 81 | 11,717.242 | 16,972.673 | 276.58 | 68,238.328 |
| Government support in Agric., EUR | 81 | 7.322 | 5.892 | 0.1 | 27.3 |
| Circular material usage, % | 81 | 10.223 | 6.808 | 1.3 | 30.6 |
| Average household size | 81 | 2.342 | .28 | 1.9 | 3.1 |
| Overcrowding rate, % | 81 | 21.141 | 13.186 | 1.9 | 47.8 |
| Population density km2 | 81 | 185.637 | 312.217 | 18.2 | 1692.7 |
Disclaimer/Publisher’s Note: The statements, opinions and data contained in all publications are solely those of the individual author(s) and contributor(s) and not of MDPI and/or the editor(s). MDPI and/or the editor(s) disclaim responsibility for any injury to people or property resulting from any ideas, methods, instructions or products referred to in the content. |
© 2025 by the authors. Licensee MDPI, Basel, Switzerland. This article is an open access article distributed under the terms and conditions of the Creative Commons Attribution (CC BY) license (https://creativecommons.org/licenses/by/4.0/).
Share and Cite
Aleksanyan, V.; Arion, F.H.; Gevorgyan, S.; Markosyan, D.; Parsyan, S.H.; Mnacakanyan, K.; Oroian, F.C.; Mureșan, I.C.; Arion, I.D.; Chis, S. Exploring the Drivers of Food Waste Across EU Member States: A Socio-Economic and Environmental Perspective. Foods 2025, 14, 4174. https://doi.org/10.3390/foods14244174
Aleksanyan V, Arion FH, Gevorgyan S, Markosyan D, Parsyan SH, Mnacakanyan K, Oroian FC, Mureșan IC, Arion ID, Chis S. Exploring the Drivers of Food Waste Across EU Member States: A Socio-Economic and Environmental Perspective. Foods. 2025; 14(24):4174. https://doi.org/10.3390/foods14244174
Chicago/Turabian StyleAleksanyan, Vardan, Felix H. Arion, Sargis Gevorgyan, Davit Markosyan, Suren H. Parsyan, Karine Mnacakanyan, Firuta Camelia Oroian, Iulia Cristina Mureșan, Iulia Diana Arion, and Sabin Chis. 2025. "Exploring the Drivers of Food Waste Across EU Member States: A Socio-Economic and Environmental Perspective" Foods 14, no. 24: 4174. https://doi.org/10.3390/foods14244174
APA StyleAleksanyan, V., Arion, F. H., Gevorgyan, S., Markosyan, D., Parsyan, S. H., Mnacakanyan, K., Oroian, F. C., Mureșan, I. C., Arion, I. D., & Chis, S. (2025). Exploring the Drivers of Food Waste Across EU Member States: A Socio-Economic and Environmental Perspective. Foods, 14(24), 4174. https://doi.org/10.3390/foods14244174

