Sign in to use this feature.

Years

Between: -

Subjects

remove_circle_outline
remove_circle_outline
remove_circle_outline
remove_circle_outline
remove_circle_outline
remove_circle_outline
remove_circle_outline
remove_circle_outline
remove_circle_outline

Journals

remove_circle_outline
remove_circle_outline
remove_circle_outline
remove_circle_outline
remove_circle_outline
remove_circle_outline
remove_circle_outline
remove_circle_outline
remove_circle_outline
remove_circle_outline
remove_circle_outline
remove_circle_outline
remove_circle_outline
remove_circle_outline
remove_circle_outline
remove_circle_outline

Article Types

Countries / Regions

remove_circle_outline
remove_circle_outline
remove_circle_outline
remove_circle_outline
remove_circle_outline
remove_circle_outline

Search Results (1,752)

Search Parameters:
Keywords = structure of organic matter

Order results
Result details
Results per page
Select all
Export citation of selected articles as:
20 pages, 2396 KB  
Article
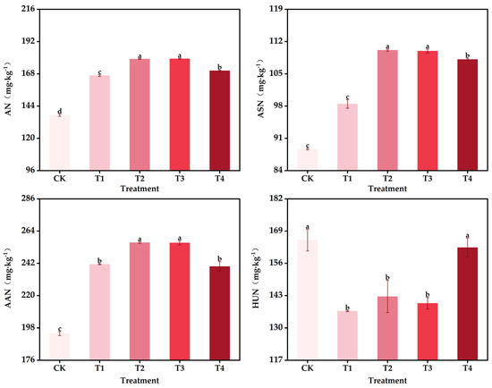
Organic Carbon Input to an Abandoned Rural Residential Land Improves Soil Carbon Fractions, Enhances Nitrogen Availability, and Increases Rice Yield
by Xianlong Zhao, Shuai Chai, Wenjie Song, Tianpeng Li, Wei Mao, Haitao Zhao and Jing Ju
Agronomy 2025, 15(11), 2575; https://doi.org/10.3390/agronomy15112575 (registering DOI) - 9 Nov 2025
Abstract
The soil of abandoned rural residential land is often deficient in organic matter and low in nutrient content, which limits agricultural productivity. Organic carbon input (OCI) is recognized as an effective strategy to enhance soil quality, yet it remains unclear which active carbon [...] Read more.
The soil of abandoned rural residential land is often deficient in organic matter and low in nutrient content, which limits agricultural productivity. Organic carbon input (OCI) is recognized as an effective strategy to enhance soil quality, yet it remains unclear which active carbon and nitrogen fractions drive yield enhancement and how their cycles are coupled. A three-year field experiment included five treatments: an unfertilized control (CK) and four OCI levels applied at an equal total N rate of 270 kg N ha−1: 0.51 t ha−1 (T1), 0.77 t ha−1 (T2), 1.02 t ha−1 (T3), and 2.56 t ha−1 (T4). Compared with CK, T1–T4 treatments significantly increased dissolved organic carbon (DOC) by 56.04–137.25%, readily oxidizable organic carbon (ROC) by 56.46–85.29%, particulate organic carbon (POC) by 35.26–50.17%, microbial biomass carbon (MBC) by 33.87–49.90%, acid-hydrolyzable ammonium nitrogen (AN) by 21.54–30.66%, acid-hydrolyzable amino sugar nitrogen (ASN) by 11.05–24.21%, acid-hydrolyzable amino acid nitrogen (AAN) by 23.56–31.92%, and rice yield by 44.50–69.56%. Overall, among T1–T4 treatments, T2 and T3 treatments performed best in improving soil fertility and rice yield in the current study. Structural equation modeling (SEM) analysis indicated that ROC significantly influenced total hydrolyzable nitrogen (THN), which in turn was the main direct determinant of rice yield. Collectively, these findings demonstrate that a medium OCI rate (0.77–1.02 t ha−1 in the current study) at 270 kg N ha−1 delivers the most balanced improvement in soil C-N cycling and yield formation, providing a sound theoretical and practical basis for optimizing organic fertilization strategies in abandoned rural residential land soil. Full article
(This article belongs to the Special Issue Effects of Agronomic Practices on Soil Properties and Health)
Show Figures

Figure 1

24 pages, 3054 KB  
Article
Multi-Level Driving Mechanisms: Cascading Relationships Among Physical Factors, Nutrient Cycling, and Biological Responses in the Yangtze River–Lake Ecosystems
by Teng Miao, Laiyin Shen, Hanmei Zhao, Hang Zhang, Yachan Ji, Yanxin Hu, Nianlai Zhou and Chi Zhou
Sustainability 2025, 17(22), 9928; https://doi.org/10.3390/su17229928 - 7 Nov 2025
Viewed by 49
Abstract
River–lake systems in the middle and lower reaches of the Yangtze River Basin function as critical ecological interfaces for maintaining regional water security and biodiversity. However, the complex interplay between environmental factors and biological communities in these systems remains poorly understood, limiting evidence-based [...] Read more.
River–lake systems in the middle and lower reaches of the Yangtze River Basin function as critical ecological interfaces for maintaining regional water security and biodiversity. However, the complex interplay between environmental factors and biological communities in these systems remains poorly understood, limiting evidence-based management strategies essential for achieving sustainable development goals. This study investigated the spatiotemporal heterogeneity of environmental variables and their relationships with biological communities across 36 sampling sites (4 rivers, 5 lakes) from January to November 2022. Significant spatial differences were observed between river and lake systems, with lakes exhibiting higher concentrations of biochemical oxygen demand (BOD5), chlorophyll-a, permanganate index (CODMn), loss on ignition (LOI), sediment total nitrogen (STN), total organic carbon (TOC), and turbidity, while rivers showed elevated total nitrogen levels. These patterns reflected fundamental differences in hydrodynamic mechanisms, particularly water retention time and sedimentation processes. Environmental parameters displayed distinct seasonal variations, with BOD5 increasing markedly in autumn, and chlorophyll-a showing system-specific peaks in lakes (May) and rivers (September). Multivariate analyses revealed that water temperature, organic matter, and nutrients (particularly phosphorus) were key drivers shaping both phytoplankton and benthic communities. The structural equation model identified a strong cascade pathway from turbidity through phosphorus to phytoplankton richness, and uncovered a “phosphorus paradox” wherein total phosphorus exhibited contrasting effects on different biological components—positive for phytoplankton richness but negative for benthic richness. The positive relationship between phytoplankton and benthic macroinvertebrate richness provided evidence for benthic–pelagic coupling in this river–lake system. These findings advance our understanding of the complex mechanisms linking physical factors, nutrient dynamics, and biological communities across river–lake continuums, providing a quantitative framework for ecosystem-based management that supports sustainable development in the Yangtze River Basin and similar freshwater systems globally. Full article
(This article belongs to the Topic Water-Soil Pollution Control and Environmental Management)
Show Figures

Figure 1

20 pages, 3587 KB  
Article
A Low-Rank Coal-Derived Soil Amendment Promotes Plant Growth and Shapes Rhizosphere Microbial Communities of Lettuce (Lactuca sativa)
by Xing-Feng Huang, Paul H. Fallgren, Song Jin and Kenneth F. Reardon
Agriculture 2025, 15(21), 2310; https://doi.org/10.3390/agriculture15212310 - 6 Nov 2025
Viewed by 165
Abstract
Coal-derived soil amendments have been shown to improve soil physicochemical properties and promote plant growth; however, their effects on rhizosphere microbial communities remain insufficiently understood. In this study, a comprehensive assessment of the impacts of a lignite coal-based, microbially processed amendment on lettuce [...] Read more.
Coal-derived soil amendments have been shown to improve soil physicochemical properties and promote plant growth; however, their effects on rhizosphere microbial communities remain insufficiently understood. In this study, a comprehensive assessment of the impacts of a lignite coal-based, microbially processed amendment on lettuce (Lactuca sativa) growth, soil properties, and rhizosphere microbiota was conducted. Application of the coal-based amendment resulted in a more than two-fold increase in plant fresh weight compared to untreated soil. The amendment significantly improved soil organic matter content but did not increase phosphate or potassium levels. Rhizosphere bacterial and fungal communities were profiled using 16S rRNA and ITS gene sequencing. Principal coordinate analysis revealed that the coal-based amendment, commercial organic fertilizer, and raw coal each induced distinct shifts in microbial community structure. Notably, treatment with the coal-based amendment reduced the relative abundance of Proteobacteria while increasing Acidobacteriota and Chloroflexi in the bacterial community. In fungal communities, the amendment decreased Basidiomycota and enriched Ascomycota. These results suggest that the observed enhancement in plant growth is closely linked to changes in rhizosphere microbial composition and soil organic matter content, highlighting the potential of microbially processed coal products as sustainable soil amendments in agriculture. Full article
(This article belongs to the Section Agricultural Soils)
Show Figures

Figure 1

19 pages, 2716 KB  
Article
Flocculation–Electro-Osmosis-Coupled Dewatering Treatment of River-Dredged Sludge
by Ziwei Liu, Qing Wei, Chunzhen Fan, Shutian Li and Suqing Wu
Water 2025, 17(21), 3174; https://doi.org/10.3390/w17213174 - 5 Nov 2025
Viewed by 227
Abstract
The presence of organic matter can alter the dewatering characteristics of river-dredged silt and affect the dewatering efficiency. This study systematically compared the dewatering effects of cationic polyacrylamide (CPAM), ferric chloride (FeCl3), and composite flocculant (CPAM + FeCl3) for [...] Read more.
The presence of organic matter can alter the dewatering characteristics of river-dredged silt and affect the dewatering efficiency. This study systematically compared the dewatering effects of cationic polyacrylamide (CPAM), ferric chloride (FeCl3), and composite flocculant (CPAM + FeCl3) for sludge with different organic matter contents by using the combined flocculation–electro-osmotic dewatering technology. The results show that the presence of organic matter significantly hinders the dewatering of silt. After the combined treatment of low-, medium-, and high-organic-matter river-dredging sludge with composite flocculants and electro-osmotic treatment, the final water content was 39.53%, 45.08%, and 47.28%, respectively. Compared with the use of CPAM alone, its dewatering efficiency increased by 66.98%, 5.39%, and 13.72%, respectively. Three-dimensional fluorescence spectroscopy analysis (3D-EEM) indicates that the combined dewatering of flocculation and electro-osmosis can improve the dewatering performance of sludge by promoting the transformation of organic matter. Scanning electron microscopy (SEM) analysis shows that under the action of the composite flocculant, the sludge particles aggregate significantly, and after electro-osmosis, the structure becomes more compact and channels are formed, which further improves the sludge dewatering efficiency. This study provides a theoretical basis for the optimization of dewatering processes for dredged silt with different organic matter contents. Full article
(This article belongs to the Special Issue Ecological Wastewater Treatment and Resource Utilization)
Show Figures

Figure 1

20 pages, 6954 KB  
Article
Early Peat Diagenesis Controls on Bromine Accumulation
by Antonio Martínez Cortizas, Mohamed Traoré, Olalla López-Costas, Géraldine Sarret and Stéphane Guédron
Soil Syst. 2025, 9(4), 120; https://doi.org/10.3390/soilsystems9040120 - 5 Nov 2025
Viewed by 87
Abstract
Peatlands are natural reservoirs of organobromine compounds. Important advances have been made in unraveling the mechanisms involved in bromine (Br) retention in the peat but, to our knowledge, the temporal and spatial variation of the peat organic matter (OM) bromination has not been [...] Read more.
Peatlands are natural reservoirs of organobromine compounds. Important advances have been made in unraveling the mechanisms involved in bromine (Br) retention in the peat but, to our knowledge, the temporal and spatial variation of the peat organic matter (OM) bromination has not been fully researched. Here, we present the study of 12 short cores (c. 30 cm, c. 150–200 years of peat accumulation) sampled from a small (c. 1 ha) area of an oceanic blanket peatland from northwestern Spain. We combine Br concentrations, spectroscopic analysis (FTIR–ATR), and structural equation statistical modelling (SEM). Our results show that Br is significantly correlated to proxies of peat aerobic decomposition, with concentrations increasing with depth in all cores (×2–10 times). Strong spatial heterogeneity was observed, with some cores showing much higher Br maximum concentrations and larger increases with depth. SEM modelling indicated that various OM functionalities contribute to Br accumulation and that their effects change with depth/age, with aromatics becoming dominant after 20–90 years. Thus, changes in organic matter molecular composition, linked to early peat diagenesis, and the geochemical conditions governing it exerted a strong control on Br accumulation in the studied peatland. Bromine wet deposition was not found to be a limiting factor. Full article
Show Figures

Figure 1

19 pages, 8409 KB  
Article
Seasonal Dynamics and Leachate-Induced Alteration of Soils and Associated Risk of Surface Water Contamination Around the Hulene-B Waste Dump, Maputo, Mozambique
by Bernardino Bernardo, Carla Candeias and Fernando Rocha
Appl. Sci. 2025, 15(21), 11663; https://doi.org/10.3390/app152111663 - 31 Oct 2025
Viewed by 138
Abstract
Waste dumpsites in developing countries are primary pollution sources impacting nearby ecosystems. This study assessed seasonal changes in soils surrounding the Hulene-B landfill (Maputo, Mozambique) and evaluated the potential for surface water contamination by leachates. A total of 71 samples were collected during [...] Read more.
Waste dumpsites in developing countries are primary pollution sources impacting nearby ecosystems. This study assessed seasonal changes in soils surrounding the Hulene-B landfill (Maputo, Mozambique) and evaluated the potential for surface water contamination by leachates. A total of 71 samples were collected during the rainy and dry periods and analyzed for pH, electrical conductivity (EC), organic matter (OM), and color. The contamination potential (Pbci) was determined considering the landfill’s characteristics and local hydrological context. During the dry season, soils exhibited higher EC and OM, indicating greater retention of potentially toxic elements (PTEs) and a strong tendency for accumulation. In the rainy season, leaching processes prevailed, leading to reduced EC and OM but increased potential for contaminant mobility. The Pbci values were consistently high across both periods, confirming elevated contamination risk. Overall, the Hulene-B landfill exerts a marked influence on surrounding soils and nearby surface waters, underscoring the urgent need for structural measures to control leachate release and ash dispersion. Full article
Show Figures

Figure 1

24 pages, 2747 KB  
Article
Effects of Different Afforestation Measures on Biological Soil Crust Properties and Microbial Communities in an Alpine Sandy Land
by Shaobo Du, Huichun Xie, Gaosen Zhang, Feng Qiao, Guigong Geng and Chongyi E
Biology 2025, 14(11), 1530; https://doi.org/10.3390/biology14111530 - 31 Oct 2025
Viewed by 232
Abstract
A good understanding of the effects of different afforestation measures in alpine sandy land on the physicochemical properties, enzymatic activities, and bacterial community structure of such crusts enables elucidation of the succession patterns of biological soil crusts and provides a theoretical basis for [...] Read more.
A good understanding of the effects of different afforestation measures in alpine sandy land on the physicochemical properties, enzymatic activities, and bacterial community structure of such crusts enables elucidation of the succession patterns of biological soil crusts and provides a theoretical basis for precise optimization of desertification control programs in alpine sandy land. In the present study, four afforestation measures—Salix cheilophila+ Populus simonii (WLYY00), S. cheilophila (WL), P. simonii (YY), and Caragana korshinskii (NT00) plantations—were adopted. The physicochemical properties and enzymatic activities of bare sand, algae crust, and moss crust in the four afforested sites were analyzed using Illumina high-throughput sequencing and PICRUSt2 functional prediction to investigate the bacterial community structure and function. Results indicated the following: (1) Water content, nutrient content, enzymatic activities, and bacterial community richness and diversity increased stepwise with succession from the bare sand stage to algae crust and to moss crust. The enhancement effect of YY on the above indicators and fine particle content was most prominent. (2) The primary environmental factors affecting bacterial community structure in algae and moss crusts were adequate phosphorus and organic matter, respectively, and the correlations between the activities of the four enzymes and the bacterial community structure are also quite close. (3) Functional prediction indicated that metabolism was the main primary function of biological soil crusts at the various sample sites. YY maintained the balance of primary functions and provided precise support for the physiological characteristics and ecological needs of different crust types in the secondary functions. In conclusion, among the four types of afforestation measures with a restoration period of 24 years, YY provided a greater advantage in improving the nutrient content, bacterial community structure, and functional potentials of biological soil crusts. The results of this study can serve as a scientific reference for screening of afforestation measures and protecting and utilizing biological soil crusts during the ecological restoration of alpine sandy lands in the present study area and other regions. Full article
Show Figures

Figure 1

18 pages, 11519 KB  
Article
Physiological Mechanisms Underlying Maize Yield Enhancement by Straw Return in the Thin-Layer Mollisol Region of the Songnen Plain
by Chenglong Guan, Tai Ma, Ming Miao, Jiuhui Chen, Zhicheng Bao, Baoyu Chen, Jingkun Lu, Fangming Liu, Nan Wang, Hongjun Wang and Zhian Zhang
Plants 2025, 14(21), 3331; https://doi.org/10.3390/plants14213331 - 31 Oct 2025
Viewed by 221
Abstract
Long-term intensive cultivation has caused soil fertility decline and structural degradation in the Songnen Plain, thereby constraining maize root development and yield formation. As a fundamental conservation tillage practice, straw return enhances soil function by incorporating exogenous organic matter and regulating root-shoot physiological [...] Read more.
Long-term intensive cultivation has caused soil fertility decline and structural degradation in the Songnen Plain, thereby constraining maize root development and yield formation. As a fundamental conservation tillage practice, straw return enhances soil function by incorporating exogenous organic matter and regulating root-shoot physiological processes. However, the mechanism underlying yield improvement through root–photosynthesis–nitrogen synergy remains insufficiently understood. A field experiment was conducted to assess the effects of conventional tillage (CT), straw incorporation (SI), straw mulching (SM), and deep straw incorporation (DF) on maize physiological traits and yield. Compared with CT, DF markedly enhanced root morphology and physiology, increasing the root length, surface area, volume, and root-shoot ratio by 16.46%, 23.87%, 26.64%, and 51.34%, respectively. The root bleeding intensity increased by 23.63%, whereas amino acid and nitrate contents in the bleeding sap increased by 29.20% and 65.93%, respectively, indicating improved root nutrient transport capacity. The enhanced root system positively influenced shoot photosynthesis by increasing the chlorophyll SPAD value by 16.05%, net photosynthetic rate (Pn) by 11.28%, and the activities of RuBP, PEP, nitrate reductase (NR), and glutamine synthetase (GS) by 10.59%, 24.36%, 29.94%, and 12.47%, respectively. These synergistic improvements significantly promoted post-anthesis biomass accumulation and yield formation. DF increased nitrogen and dry matter accumulation at the R3 stage by 26.61% and 15.67%, respectively, and resulted in an average yield increase of 8.34%, which was primarily due to an 11.96% increase in 100-grain weight. Although SI and SM also improved certain physiological indices, their effects were weaker than those of DF. RF analysis identified sap nitrate content (RNO), bleeding intensity (RBI), root length (RL), and root volume (RV) as key yield determinants. PLS-SEM further revealed that straw return enhanced root morphology and bleeding traits (path coefficients: 0.96 and 0.82), which subsequently improved leaf photosynthetic traits (path coefficients: 0.52 and 0.39) and biomass accumulation (path coefficient: 0.71). Collectively, these improvements promoted post-anthesis nitrogen accumulation and dry matter partitioning into grains. These findings elucidated the physiological mechanism by which deep straw incorporation increased maize yield through root system optimization, providing a theoretical basis for conservation tillage optimization in the thin-layer Mollisol region of the Songnen Plain. Full article
(This article belongs to the Special Issue Physiological Ecology and Regulation of High-Yield Maize Cultivation)
Show Figures

Figure 1

24 pages, 7432 KB  
Article
Differential Effects of Biogas Slurry Topdressing on Winter Wheat (Triticum aestivum L.) Soil Enzyme–Microbe Interactions
by Dongxue Yin, Baozhong Wang, Jiajun Qin, Wei Liu, Xiaoli Niu, Dongdong Chen, Jie Zhu and Fengshun Zhang
Microorganisms 2025, 13(11), 2494; https://doi.org/10.3390/microorganisms13112494 - 30 Oct 2025
Viewed by 265
Abstract
This study explored how top-dressed biogas slurry at winter wheat’s (Triticum aestivum L.) jointing stage (JS) and grain-filling period (GP) affects soil enzyme–microbe interactions, aiming to address nutrient supply–crop demand mismatches. A field experiment with five treatments (water [CK], chemical fertilizer [CF], [...] Read more.
This study explored how top-dressed biogas slurry at winter wheat’s (Triticum aestivum L.) jointing stage (JS) and grain-filling period (GP) affects soil enzyme–microbe interactions, aiming to address nutrient supply–crop demand mismatches. A field experiment with five treatments (water [CK], chemical fertilizer [CF], and three biogas slurry topdressing regimes [S1–S3]) was conducted. Soil samples (0–20 cm) were collected at JS, flowering stage (FS), GP, and reaping period (RP) to analyze soil properties (total nitrogen [TN], available phosphorus [AP], available potassium [AK], soil organic matter [SOM], ammonium nitrogen [AN], pH), enzyme activities (urease [UE], neutral phosphatase [NP], sucrase [SC], catalase [CAT]), and microbial community abundance (via Illumina NovaSeq sequencing). Results showed biogas slurry altered enzyme activities, microbial structure (e.g., Actinomycetota, Ascomycota), and their interactions by regulating soil properties. JS application boosted Pseudomonadota and UE activity, GP application increased Ascomycota and CAT activity, and S3 had the most complex enzyme–microbe network, enhancing nutrient cycling. The analysis indicated that UE activity was strongly and positively correlated with several bacterial phyla (e.g., Planctomycetota, Verrucomicrobiota) (p < 0.01) and fungal phyla (e.g., Ascomycota) (p < 0.01). Full article
(This article belongs to the Section Environmental Microbiology)
Show Figures

Graphical abstract

16 pages, 2458 KB  
Article
Spatial Structuring of Soil Fungal Diversity Associated with Ziziphus lotus (Rhamnaceae) in Arid Agricultural Soils
by Nabil Radouane, Salma Mouhib, Khadija Ait Si Mhand, Zakaria Meliane, Khaoula Errafii and Mohamed Hijri
Microorganisms 2025, 13(11), 2489; https://doi.org/10.3390/microorganisms13112489 - 30 Oct 2025
Viewed by 311
Abstract
Ziziphus lotus (L.) Lam., (Rhamnaceae) a resilient shrub native to Moroccan’s arid regions, functions as a keystone species by creating microhabitats that buffer temperature extremes, retain soil moisture, and accumulate organic matter. However, its role in structuring soil fungal diversity and community composition [...] Read more.
Ziziphus lotus (L.) Lam., (Rhamnaceae) a resilient shrub native to Moroccan’s arid regions, functions as a keystone species by creating microhabitats that buffer temperature extremes, retain soil moisture, and accumulate organic matter. However, its role in structuring soil fungal diversity and community composition in these environments remains largely unexplored. This study investigated the spatial distribution of fungal communities associated with Z. lotus in barley-planted and non-planted fields. Soil samples were collected at 0, 3, and 6 m from shrub clusters during the barley harvest. The fungal community was dominated by Ascomycota (93.5%). Alpha diversity indices (Shannon–Wiener and Simpson) were significantly higher near shrub bases (0 and 3 m) compared to more distant soils (6 m), indicating a clear decline in diversity with distance (0 m vs. 6 m: p = 0.0012; 3 m vs. 6 m: p = 0.0007). Soil physicochemical parameters, including calcium carbonate content, nitrate, and salinity, significantly influenced fungal diversity (p ≤ 0.05). Beta diversity analysis revealed significant spatial differentiation in fungal community composition (PERMANOVA: p = 0.001). Overall, fungal richness and diversity were highest near shrub. Genera such as Cladosporium, Fusarium, and Alternaria were more abundant near shrub bases, while taxa like Didymellaceae and Alfaria were specially restricted. Functional predictions indicated dominance of fungi with mixed trophic modes (pathotroph–saprotroph–symbiotroph), suggesting ecological plasticity. Despite barley cultivation, the fungal community structure remained largely similar between the planted and non-planted fields. Overall, our findings underscore the ecological importance of Z. lotus as a reservoir of stress-tolerant fungi and as a potential keystone species for restoring degraded arid ecosystems. Full article
(This article belongs to the Section Plant Microbe Interactions)
Show Figures

Figure 1

19 pages, 3556 KB  
Article
Effects of Different Crop Types on Soil Microbial Community Structure and Assembly in the Cold Temperate Region of Northeast China
by Wenmiao Pu, Rongze Luo, Kaiquan Zhang, Zhaorui Liu, Hong Wang, Xin Sui and Maihe Li
Microorganisms 2025, 13(11), 2488; https://doi.org/10.3390/microorganisms13112488 - 30 Oct 2025
Viewed by 350
Abstract
Soil microorganisms play a crucial role in maintaining soil functionality and ecological balance by participating in key processes such as organic matter decomposition, nutrient cycling, soil structure formation, and plant health support. High-throughput sequencing was utilized in this study to systematically investigate the [...] Read more.
Soil microorganisms play a crucial role in maintaining soil functionality and ecological balance by participating in key processes such as organic matter decomposition, nutrient cycling, soil structure formation, and plant health support. High-throughput sequencing was utilized in this study to systematically investigate the influence of different crop types, maize (Zea mays), soybean (Glycine max), and Eleutherococcus senticosus, on the communities and assembly mechanisms of soil microorganisms in a cold-temperate agroecosystem. The results reveal that cultivation practices led to significant differences in soil chemical properties compared to fallow land (CK). Total carbon (TC), total nitrogen (TN), and available nitrogen (AN) were significantly lower in CK than in cultivated soils, with the highest values observed in maize treatments among all crop types (p < 0.05). Furthermore, the alpha diversity of bacteria in the maize and soybean treatments was significantly higher than that in CK, while there was no significant difference between the Eleutherococcus senticosus treatment and CK. However, no significant differences were observed in the ACE and Chao1 indices of the soil fungal communities across the four crop types. Beta diversity of bacterial and fungal communities exhibited significant variations under different crop cultivation practices. Specifically, compared with CK, the relative abundance of Sphingomonas, which contributes to the degradation of complex organic compounds, and Gemmatimonas, which plays a role in nitrogen cycling, significantly increased, whereas the relative abundance of Clavaria, a genus capable of decomposing recalcitrant lignin and cellulose, decreased. Analysis of community assemblies revealed that both bacterial and fungal communities were predominantly influenced by deterministic processes across all crop types. This finding provides a scientific basis for maintaining soil fertility in a targeted manner, precisely protecting crop health and optimizing agricultural management efficiently, thereby supporting sustainable agricultural practices. In conclusion, by examining microbial diversity and community dynamics across different crops, along with the underlying environmental factors, this study aims to enhance our understanding of plant–microbe interactions and provide insights for sustainable agricultural practices in cold-temperate regions. Full article
(This article belongs to the Special Issue Microorganisms: Climate Change and Terrestrial Ecosystems)
Show Figures

Figure 1

15 pages, 1005 KB  
Article
Spatial and Temporal Variations in the Trophic Structure of Fish Assemblages in the Eastern Region of the Yellow Sea Determined by C- and N-Stable Isotope Ratios
by Dong-Young Lee, Jae Mook Jeong, Dongyoung Kim, Donghoon Shin, Chung Il Lee, Jeong-Hoon Lee, Hawsun Sohn and Hyun Je Park
Biology 2025, 14(11), 1521; https://doi.org/10.3390/biology14111521 - 30 Oct 2025
Viewed by 260
Abstract
This study aimed to determine how spatial and seasonal variations influence the trophic structure of fish assemblages in the eastern Yellow Sea during 2023. Carbon and nitrogen stable isotope analyses revealed significant but spatially variable differences in δ13C and δ15 [...] Read more.
This study aimed to determine how spatial and seasonal variations influence the trophic structure of fish assemblages in the eastern Yellow Sea during 2023. Carbon and nitrogen stable isotope analyses revealed significant but spatially variable differences in δ13C and δ15N values among seasons and sites, without consistent overarching trends. These results suggest that phytoplankton-derived organic matter predominantly supports the regional food web, with isotopic niche shifts reflecting local differences in prey availability and hydrographic conditions. The findings contribute to the development of adaptive, ecosystem-based fishery management strategies amid increasing anthropogenic and climatic pressures. Full article
(This article belongs to the Section Marine Biology)
Show Figures

Figure 1

24 pages, 6903 KB  
Article
Brain Myelin Covariance Networks: Gradients, Cognition, and Higher-Order Landscape
by Huijun Wu, Arpana Church, Xueyan Jiang, Jennifer S. Labus, Chuyao Yan, Emeran A. Mayer and Hao Wang
Behav. Sci. 2025, 15(11), 1466; https://doi.org/10.3390/bs15111466 - 28 Oct 2025
Viewed by 388
Abstract
Myelin is essential for efficient neural signaling and can be quantitatively evaluated using the T1-weighted/T2-weighted (T1w/T2w) ratio as a proxy for regional myelin content. Myelin covariance networks (MCNs) reflect correlated myelin patterns across brain regions, enabling the investigation of topological organization. However, a [...] Read more.
Myelin is essential for efficient neural signaling and can be quantitatively evaluated using the T1-weighted/T2-weighted (T1w/T2w) ratio as a proxy for regional myelin content. Myelin covariance networks (MCNs) reflect correlated myelin patterns across brain regions, enabling the investigation of topological organization. However, a vertex-level map of myelin covariance gradients and their cognitive associations remains underexplored. The objective of this study was to construct and characterize vertex-level MCNs, identify their principal gradients, map their higher-order topological landscape, and determine their associations with cognitive functions and other multimodal cortical features. We conducted a cross-sectional, secondary analysis of publicly available data from the Human Connectome Project (HCP). The dataset included T1w/T2w MRI data from 1096 healthy adult participants (age 22–37). All original data collection and sharing procedures were approved by the Washington University institutional review board. Our procedures involved (1) constructing a vertex-wise MCN from T1w/T2w ratio data; (2) applying gradient analysis to identify principal organizational axes; (3) calculating network connectivity strength; (4) performing cognitive meta-analysis using Neurosynth; and (5) using graphlet analysis to assess higher-order topology. Our results show that the primary myelin gradient (Gradient 1) spans from sensory-motor to association cortices, strongly associates with connectivity strength (r = 0.66), and shows a functional dissociation between affective processing and sensorimotor domains. Furthermore, Gradient 2, as well as the positive and full connectivity strength, showed robust correlations with fractional anisotropy (FA), a DTI metric reflecting white matter microstructure. Our higher-order analysis also revealed that negative and positive myelin covariance connections exhibited distinct topologies. Negative connections were dominated by star-like graphlet structures, while positive connections were dominated by path-like and triangular structures. This systematic vertex-level investigation offers novel insights into the organizational principles of cortical myelin, linking gray matter myelin patterns to white matter integrity, and providing a valuable reference for neuropsychological research and the potential identification of biomarkers for neurological disorders. Full article
(This article belongs to the Section Cognition)
Show Figures

Figure 1

14 pages, 6811 KB  
Article
Arbuscular Mycorrhizal Fungi and Their Relationships with the Soil Nutrients and Heavy Metals in Ancient Trees in Blue-Crowned Laughingthrush Habitats
by Hui Li, Pei Wei, Kongzhong Xiao, Wei Liu and Weiwei Zhang
J. Fungi 2025, 11(11), 776; https://doi.org/10.3390/jof11110776 - 28 Oct 2025
Viewed by 571
Abstract
The fragile ancient ‘Shuikoulin’ forests, which provide critical habitats for the critically endangered Blue-crowned Laughingthrush, are increasingly degraded by soil contamination and heavy metal pollution. This study examines the rhizosphere environment of four key ancient tree species in the bird’s core habitat, focusing [...] Read more.
The fragile ancient ‘Shuikoulin’ forests, which provide critical habitats for the critically endangered Blue-crowned Laughingthrush, are increasingly degraded by soil contamination and heavy metal pollution. This study examines the rhizosphere environment of four key ancient tree species in the bird’s core habitat, focusing on soil properties, heavy metal accumulation, and the structure of arbuscular mycorrhizal (AM) fungal communities. The results revealed that Liquidambar formosana showed the highest total nitrogen (TN) and available phosphorus (AP), whereas Quercus chenii had the lowest soil organic matter (SOM). The primary heavy metal contaminant across all tree species was Cd (Igeo > 2), followed by the metalloid As. We detected 41 AM fungal species spanning 7 genera, with Glomus dominating (84.19% relative abundance). OTU richness was highest in Cinnamomum camphora and L. formosana (110 each), followed by Q. chenii (88) and Castanopsis sclerophylla (75). Structural equation modeling indicated that soil nutrients (TN, TP, AP, SOM) suppressed the accumulation of V, Cr, Ni, and Cu, thereby indirectly favoring Glomus and Paraglomus. In contrast, higher pH and total potassium (TK) levels promoted Co and Zn bioavailability and negatively affected Acaulospora and other minor genera. Tree species identity directly modulated these interactions. Our findings demonstrate that ancient tree species shape AM fungal assembly through distinct rhizosphere geochemical niches, providing a mechanistic basis for restoring degraded habitats critical to endangered species conservation. Full article
(This article belongs to the Special Issue Arbuscular Mycorrhiza Under Stress, 2nd Edition)
Show Figures

Figure 1

4 pages, 535 KB  
Editorial
How Does Forest Management Affect Soil Dynamics?
by Cristian Oneț and Vlad Stoian
Forests 2025, 16(11), 1642; https://doi.org/10.3390/f16111642 - 28 Oct 2025
Viewed by 217
Abstract
Forest management practices can have both positive and negative effects on the dynamics of soil properties and can significantly influence the soil structure, nutrient cycling, organic matter content, and microbial activity [...] Full article
(This article belongs to the Special Issue How Does Forest Management Affect Soil Dynamics?)
Back to TopTop