Spatial Structuring of Soil Fungal Diversity Associated with Ziziphus lotus (Rhamnaceae) in Arid Agricultural Soils
Abstract
1. Introduction
2. Materials and Methods
2.1. Study Site and Sample Collection
2.2. Soil Physicochemical Analysis
2.3. DNA Extraction, PCR Amplification, and Sequencing
2.4. Bioinformatic Analysis
2.5. Statistical Analysis
3. Results
3.1. Soil Physicochemical Composition
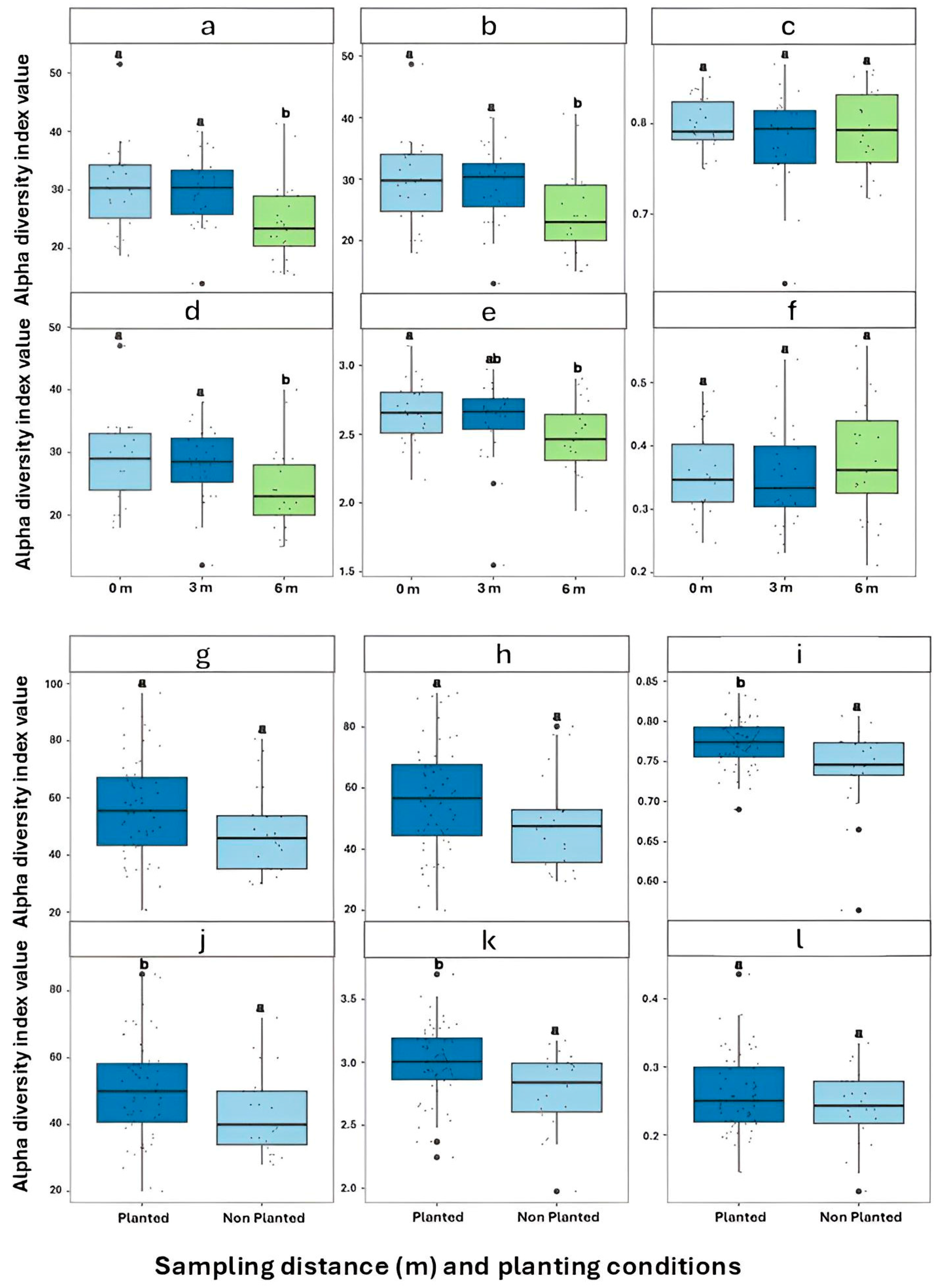
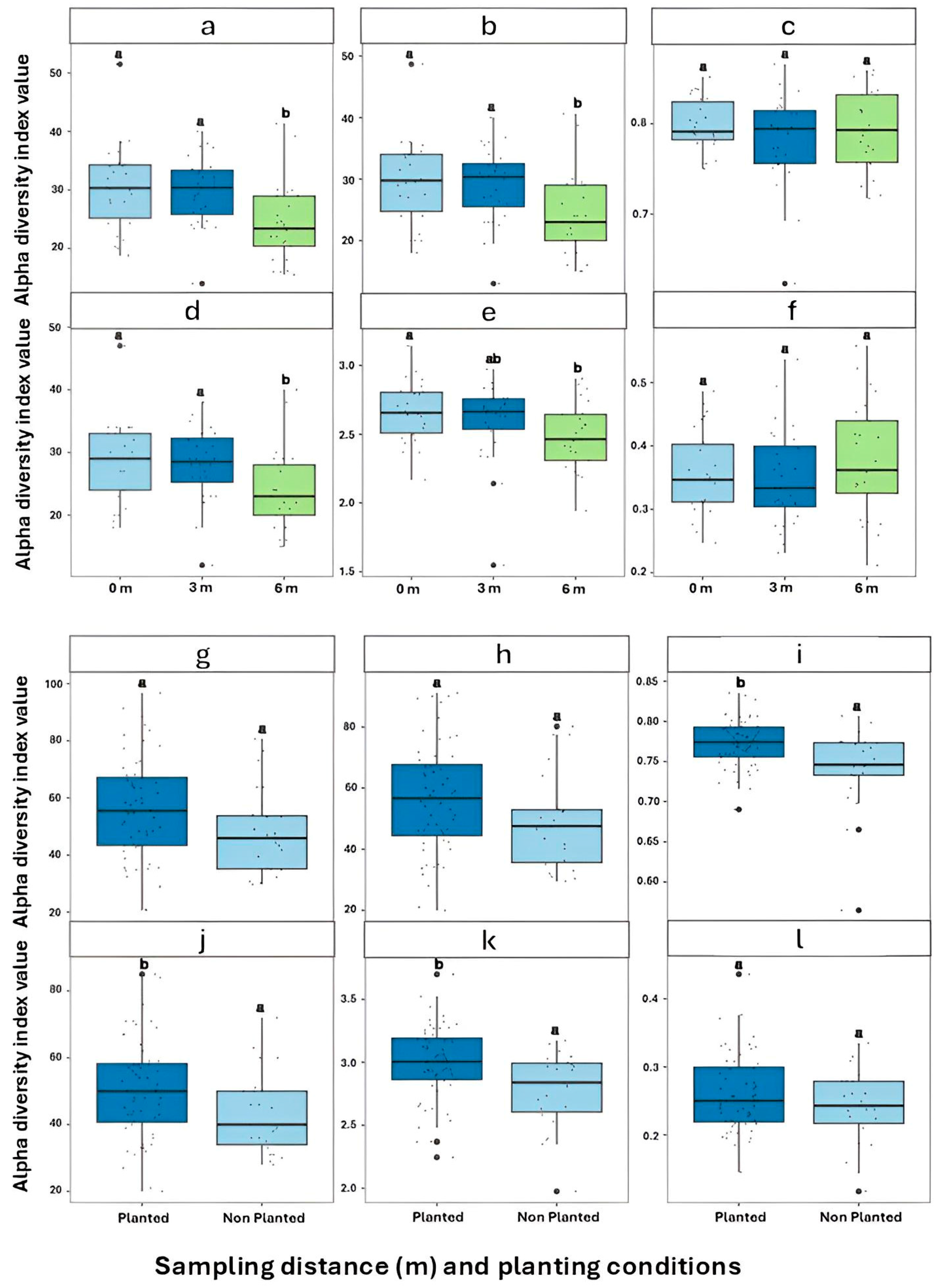
3.2. Fungal Diversity and Richness Vary with Special Distribution
3.3. Fungal Communities Are Structurally Shaped by Distance
3.4. A Shared Core Coexists with Distance-Specific Fungal Assemblages
3.5. Functional Potential Varies with Spatial and Planting Conditions
4. Discussion
5. Conclusions
Supplementary Materials
Author Contributions
Funding
Institutional Review Board Statement
Informed Consent Statement
Data Availability Statement
Acknowledgments
Conflicts of Interest
References
- Rsaissi, N.; Bouhache, M.; Bencharki, B. Importance and agro-economical impact of wild jujube (Ziziphus lotus) in Chaouia region. Rev. Marocaine Prot. Plantes 2012, 3, 13–27. [Google Scholar]
- Wang, B.; Huang, Q.; Venkitasamy, C.; Chai, H.; Gao, H.; Cheng, N.; Cao, W.; Lv, X.; Pan, Z. Changes in phenolic compounds and their antioxidant capacities in jujube (Ziziphus jujuba Miller) during three edible maturity stages. LWT-Food Sci. Technol. 2016, 66, 56–62. [Google Scholar] [CrossRef]
- Radouane, N.; Errafii, K.; Mouhib, S.; Mhand, K.A.; Legeay, J.; Hijri, M. Potential Plant-To-Plant Transmission: Shared Endophytic Bacterial Community Between Ziziphus lotus and Its Parasite Cuscuta epithymum. Microb. Ecol. 2024, 87, 119. [Google Scholar] [CrossRef]
- Abdoul-Azize, S. Potential Benefits of Jujube (Zizyphus lotus L.) Bioactive Compounds for Nutrition and Health. J. Nutr. Metab. 2016, 2016, 2867470. [Google Scholar] [CrossRef]
- El Maaiden, E.; El Kharrassi, Y.; Moustaid, K.; Essamadi, A.K.; Nasser, B. Comparative study of phytochemical profile between Ziziphus spina christi and Ziziphus lotus from Morocco. J. Food Meas. Charact. 2018, 13, 121–130. [Google Scholar] [CrossRef]
- Danthu, P.; Soloviev, P.; Totté, A.; Tine, E.; Ayessou, N.; Gaye, A.; Niang, T.D.; Seck, M.; Fall, M. Caractères physico-chimiques et organoleptiques comparés de jujubes sauvages et des fruits de la variété Gola introduite au Sénégal. Fruits 2002, 57, 173–182. [Google Scholar] [CrossRef]
- Benmehdi, H.; Hasnaoui, O.; Benali, O.; Salhi, F. Phytochemical investigation of leaves and fruits extracts of Chamaerops humilis L. J. Mater. Environ. Sci. 2012, 3, 320–327. [Google Scholar]
- Aboudrar, W.; Schwartz, C.; Benizri, E.; Morel, J.L.; Boularbah, A. Soil microbial diversity as affected by the rhizosphere of the hyperaccumulator Thlaspi caerulescens under natural conditions. Int. J. Phytoremediat. 2007, 9, 41–52. [Google Scholar] [CrossRef]
- Koubaa, M.; Barba, F.J.; Grimi, N.; Mhemdi, H.; Koubaa, W.; Boussetta, N.; Vorobiev, E. Recovery of colorants from red prickly pear peels and pulps enhanced by pulsed electric field and ultrasound. Innov. Food Sci. Emerg. Technol. 2016, 37, 336–344. [Google Scholar] [CrossRef]
- Al-Neami, F.; Radwan, O.; Al-Neami, F.; Radwan, O. A Prospective Implementation of Plant-Associated Microbes for a Sustainable Agriculture in Qatar. In Proceedings of the Qatar Foundation Annual Research Conference Proceedings, Doha, Qatar, 22–23 March 2016; Volume 2016. [Google Scholar] [CrossRef]
- El-Nagerabi, S.A.F.; Elshafie, A.E.; Alkhanjari, S.S. Endophytic fungi associated with Ziziphus species and new records from mountainous area of Oman. Biodiversitas J. Biol. Divers. 1970, 14, 10–16. [Google Scholar] [CrossRef]
- Ghazi-Yaker, A.; Kraak, B.; Houbraken, J.; Houali, K.; Saadoun, N. Diversity of epiphytic and endophytic fungal communities associated with leaves of Ziziphus lotus (L.) Lam. from Algeria. Pol. J. Ecol. 2022, 70, 159–174. [Google Scholar] [CrossRef]
- Ducousso-Detrez, A.; Fontaine, J.; Lounes-Hadj Sahraoui, A.; Hijri, M. Diversity of Phosphate Chemical Forms in Soils and Their Contributions on Soil Microbial Community Structure Changes. Microorganisms 2022, 10, 609. [Google Scholar] [CrossRef]
- Thioye, B.; Mania, S.; Kane, A.; Ndiaye, C.; Soule, A.O.; Falls, D.; Duponnois, R.; Sylla, S.N.; Bâ, A.M. Growth response of different species of Ziziphus to inoculation with arbuscular mycorrhizal fungi. Fruits 2017, 72, 174–181. [Google Scholar] [CrossRef]
- Regehr, D.L.; El Brahli, A. Wild Jujube (Ziziphus Lotus) Control in Morocco. Weed Technol. 1995, 9, 326–330. [Google Scholar] [CrossRef]
- Radouane, N.; Meliane, Z.; Errafii, K.; Ait Si Mhand, K.; Mouhib, S.; Hijri, M. Influence of Ziziphus lotus (Rhamnaceae) Plants on the Spatial Distribution of Soil Bacterial Communities in Semi-Arid Ecosystems. Microorganisms 2025, 13, 1740. [Google Scholar] [CrossRef] [PubMed]
- Outbakat, M.B.; Bouray, M.; Choukr-Allah, R.; El Gharous, M.; El Omari, K.; El Mejahed, K. Phosphogypsum as Fertilizer: Impacts on Soil Fertility, Barley Yield Components, and Heavy Metals Contents. Plants 2024, 14, 16. [Google Scholar] [CrossRef]
- Morvan, T.; Lambert, Y.; Germain, P.; Lemercier, B.; Moreira, M.; Beff, L. A dataset of physico-chemical properties, extractable organic N, N mineralization and physical organic matter fractionation of soils developed on loess silts, crystalline rocks and sedimentary rocks. Data Brief 2023, 51, 109776. [Google Scholar] [CrossRef]
- Legeay, J.; Basiru, S.; Ziami, A.; Errafii, K.; Hijri, M. Response of Alternaria and Fusarium Species to Low Precipitation in a Drought-Tolerant Plant in Morocco. Microb. Ecol. 2024, 87, 127. [Google Scholar] [CrossRef] [PubMed]
- Callahan, B.J.; McMurdie, P.J.; Rosen, M.J.; Han, A.W.; Johnson, A.J.A.; Holmes, S.P. DADA2: High-resolution sample inference from Illumina amplicon data. Nat. Methods 2016, 13, 581–583. [Google Scholar] [CrossRef]
- Abarenkov, K.; Nilsson, R.H.; Larsson, K.H.; Taylor, A.F.S.; May, T.W.; Froslev, T.G.; Pawlowska, J.; Lindahl, B.; Poldmaa, K.; Truong, C.; et al. The UNITE database for molecular identification and taxonomic communication of fungi and other eukaryotes: Sequences, taxa and classifications reconsidered. Nucleic Acids Res. 2024, 52, D791–D797. [Google Scholar] [CrossRef]
- McMurdie, P.J.; Holmes, S. phyloseq: An R package for reproducible interactive analysis and graphics of microbiome census data. PLoS ONE 2013, 8, e61217. [Google Scholar] [CrossRef] [PubMed]
- Oksanen, J.; Simpson, G.L.; Blanchet, F.G.; Kindt, R.; Legendre, P.; Minchin, P.R.; O’Hara, R.; Solymos, P.; Stevens, M.H.H.; Szoecs, E.; et al. Vegan: Community Ecology Package; R Package Version 2.2-0; The R Foundation: Vienna, Austria, 2014. [Google Scholar]
- Kurtz, Z.D.; Muller, C.L.; Miraldi, E.R.; Littman, D.R.; Blaser, M.J.; Bonneau, R.A. Sparse and compositionally robust inference of microbial ecological networks. PLoS Comput. Biol. 2015, 11, e1004226. [Google Scholar] [CrossRef]
- Liaw, A.; Wiener, M. Classification and regression by randomForest. R News 2002, 2, 18–22. [Google Scholar]
- De Caceres, M.; Legendre, P. Associations between species and groups of sites: Indices and statistical inference. Ecology 2009, 90, 3566–3574. [Google Scholar] [CrossRef]
- Liu, Z.; Shao, Y.; Cui, Q.; Ye, X.; Huang, Z. ‘Fertile island’ effects on the soil microbial community beneath the canopy of Tetraena mongolica, an endangered and dominant shrub in the West Ordos Desert, North China. BMC Plant Biol. 2024, 24, 178. [Google Scholar] [CrossRef]
- Suleiman, M.K.; Dixon, K.; Commander, L.; Nevill, P.; Quoreshi, A.M.; Bhat, N.R.; Manuvel, A.J.; Sivadasan, M.T. Assessment of the Diversity of Fungal Community Composition Associated With Vachellia pachyceras and Its Rhizosphere Soil From Kuwait Desert. Front. Microbiol. 2019, 10, 63. [Google Scholar] [CrossRef]
- Nguyen, N.H.; Song, Z.; Bates, S.T.; Branco, S.; Tedersoo, L.; Menke, J.; Schilling, J.S.; Kennedy, P.G. FUNGuild: An open annotation tool for parsing fungal community datasets by ecological guild. Fungal Ecol. 2016, 20, 241–248. [Google Scholar] [CrossRef]
- Yang, C.; Sun, J. Soil Salinity Drives the Distribution Patterns and Ecological Functions of Fungi in Saline-Alkali Land in the Yellow River Delta, China. Front. Microbiol. 2020, 11, 594284. [Google Scholar] [CrossRef]
- Tedersoo, L.; Mikryukov, V.; Anslan, S.; Bahram, M.; Khalid, A.N.; Corrales, A.; Agan, A.; Vasco-Palacios, A.-M.; Saitta, A.; Antonelli, A.; et al. The Global Soil Mycobiome consortium dataset for boosting fungal diversity research. Fungal Divers. 2021, 111, 573–588. [Google Scholar] [CrossRef]
- Liu, S.; Wang, F.; Xue, K.; Sun, B.; Zhang, Y.; He, Z.; Van Nostrand, J.D.; Zhou, J.; Yang, Y. The interactive effects of soil transplant into colder regions and cropping on soil microbiology and biogeochemistry. Environ. Microbiol. 2015, 17, 566–576. [Google Scholar] [CrossRef]
- Chavez-Gonzalez, J.D.; Flores-Nunez, V.M.; Merino-Espinoza, I.U.; Partida-Martinez, L.P. Desert plants, Arbuscular mycorrhizal fungi and associated bacteria: Exploring the diversity and role of symbiosis under drought. Environ. Microbiol. Rep. 2024, 16, e13300. [Google Scholar] [CrossRef] [PubMed]
- Zhao, W.; Huang, K.; Mumin, R.; Li, J.; Sun, Y.; Cui, B. Spatial variations impact the soil fungal communities of Larix gmelinii forests in Northeast China. Front. Plant Sci. 2024, 15, 1408272. [Google Scholar] [CrossRef]
- Wang, B.; Chen, C.; Xiao, Y.M.; Chen, K.Y.; Wang, J.; Zhao, S.; Liu, N.; Li, J.N.; Zhou, G.Y. Trophic relationships between protists and bacteria and fungi drive the biogeography of rhizosphere soil microbial community and impact plant physiological and ecological functions. Microbiol. Res. 2024, 280, 127603. [Google Scholar] [CrossRef]
- Matsuoka, S.; Kawaguchi, E.; Osono, T. Temporal distance decay of similarity of ectomycorrhizal fungal community composition in a subtropical evergreen forest in Japan. FEMS Microbiol. Ecol. 2016, 92, fiw061. [Google Scholar] [CrossRef]
- Bowman, E.A.; Arnold, A.E. Drivers and implications of distance decay differ for ectomycorrhizal and foliar endophytic fungi across an anciently fragmented landscape. ISME J. 2021, 15, 3437–3454. [Google Scholar] [CrossRef] [PubMed]
- Walker, L.R.; Thompson, D.B.; Landau, F.H. Experimental manipulations of fertile islands and nurse plant effects in the Mojave Desert, USA. West. N. Am. Nat. 2001, 61, 25–35. [Google Scholar]
- Zhang, T.; Wang, N.F.; Liu, H.Y.; Zhang, Y.Q.; Yu, L.Y. Soil pH is a Key Determinant of Soil Fungal Community Composition in the Ny-Alesund Region, Svalbard (High Arctic). Front. Microbiol. 2016, 7, 227. [Google Scholar] [CrossRef]
- Gostinčar, C.; Ohm, R.A.; Kogej, T.; Sonjak, S.; Turk, M.; Zajc, J.; Zalar, P.; Grube, M.; Sun, H.; Han, J. Genome sequencing of four Aureobasidium pullulans varieties: Biotechnological potential, stress tolerance, and description of new species. BMC Genom. 2014, 15, 549. [Google Scholar] [CrossRef]
- Fierer, N.; Schimel, J.; Holden, P. Influence of drying-rewetting frequency on soil bacterial community structure. Microb. Ecol. 2003, 45, 63–71. [Google Scholar] [CrossRef]
- Krijgsheld, P.; Bleichrodt, R.V.; Van Veluw, G.; Wang, F.; Müller, W.; Dijksterhuis, J.; Wösten, H. Development in Aspergillus. Stud. Mycol. 2013, 74, 1–29. [Google Scholar] [CrossRef] [PubMed]
- Hartmann, M.; Frey, B.; Mayer, J.; Mäder, P.; Widmer, F. Distinct soil microbial diversity under long-term organic and conventional farming. ISME J. 2015, 9, 1177–1194. [Google Scholar] [CrossRef] [PubMed]
- Kaur, G.; Asthir, B. Molecular responses to drought stress in plants. Biol. Plant. 2017, 61, 201–209. [Google Scholar] [CrossRef]
- Maciá-Vicente, J.G.; Nam, B.; Thines, M. Root filtering, rather than host identity or age, determines the composition of root-associated fungi and oomycetes in three naturally co-occurring Brassicaceae. Soil Biol. Biochem. 2020, 146, 107806. [Google Scholar] [CrossRef]
- Khidir, H.H.; Eudy, D.M.; Porras-Alfaro, A.; Herrera, J.; Natvig, D.O.; Sinsabaugh, R.L. A general suite of fungal endophytes dominate the roots of two dominant grasses in a semiarid grassland. J. Arid. Environ. 2010, 74, 35–42. [Google Scholar] [CrossRef]
- Samson, R.A.; Hong, S.; Peterson, S.W.; Frisvad, J.C.; Varga, J. Polyphasic taxonomy of Aspergillus section Fumigati and its teleomorph Neosartorya. Stud. Mycol. 2007, 59, 147–203. [Google Scholar] [CrossRef] [PubMed]
- Nji, Q.N.; Babalola, O.O.; Mwanza, M. Soil Aspergillus Species, Pathogenicity and Control Perspectives. J. Fungi 2023, 9, 766. [Google Scholar] [CrossRef]






| Distance | Factor | p-Value | R2 | Chi_Square_Percent | Significance |
|---|---|---|---|---|---|
| 0 m | Total P | 0.029 | 0.06 | 6.30 | * |
| Total K | 0.004 | 0.07 | 7.09 | ** | |
| Total N | 0.024 | 0.06 | 6.20 | * | |
| 3 m | Total P | 0.547 | 0.04 | 3.53 | ns |
| Total K | 0.726 | 0.03 | 3.21 | ns | |
| Total N | 0.784 | 0.03 | 2.99 | ns | |
| 6 m | Total P | 0.263 | 0.05 | 4.69 | ns |
| Total K | 0.506 | 0.04 | 3.88 | ns | |
| Total N | 0.195 | 0.05 | 5.05 | ns |
| Term | Df | Sum of Sqs | Mean Sqs | F. Model | R2 | Pr (>F) |
|---|---|---|---|---|---|---|
| Distance in meters | 2 | 1.512832 | 0.756416 | 3.516763 | 0.080735 | 0.001 |
| Group | 5 | 1.643269 | 0.328654 | 1.527992 | 0.087696 | 0.001 |
| Distance in meters:Group | 10 | 2.461678 | 0.246168 | 1.144495 | 0.131372 | 0.056 |
| Residuals | 61 | 13.12041 | 0.215089 | NA | 0.700196 | NA |
| Total | 78 | 18.73819 | NA | NA | 1 | NA |
| Index | Group1 | Group2 | p | p.Adj | p.Format | p.Signif | Method |
|---|---|---|---|---|---|---|---|
| 0 m | 3 m | 0.747188 | 0.75 | 0.74719 | ns | T-test | |
| Shannon–Wiener | 0 m | 6 m | 0.001209 | 0.0024 | 0.00121 | ** | T-test |
| 3 m | 6 m | 0.000724 | 0.0022 | 0.00072 | *** | T-test | |
| 0 m | 3 m | 0.688847 | 0.69 | 0.68885 | ns | T-test | |
| Richness | 0 m | 6 m | 0.001406 | 0.0028 | 0.00141 | ** | T-test |
| 3 m | 6 m | 0.000208 | 0.00062 | 0.00021 | *** | T-test | |
| 0 m | 3 m | 0.99059 | 0.99 | 0.99 | ns | T-test | |
| Pielou_evenness | 0 m | 6 m | 0.123334 | 0.37 | 0.12 | ns | T-test |
| 3 m | 6 m | 0.208024 | 0.42 | 0.21 | ns | T-test | |
| 0 m | 3 m | 0.727331 | 0.73 | 0.72733 | ns | T-test | |
| ACE | 0 m | 6 m | 0.001937 | 0.0039 | 0.00194 | ** | T-test |
| 3 m | 6 m | 0.000193 | 0.00058 | 0.00019 | *** | T-test | |
| 0 m | 3 m | 0.908342 | 1 | 0.91 | ns | T-test | |
| Simpson_evenness | 0 m | 6 m | 0.340626 | 1 | 0.34 | ns | T-test |
| 3 m | 6 m | 0.45281 | 1 | 0.45 | ns | T-test | |
| 0 m | 3 m | 0.520831 | 0.52 | 0.5208 | ns | T-test | |
| Chao1 | 0 m | 6 m | 0.00318 | 0.0064 | 0.0032 | ** | T-test |
| 3 m | 6 m | 0.0002 | 6 × 10−4 | 0.0002 | *** | T-test | |
| Shannon–Wiener | Non-Planted | Planted | 0.005116 | 0.0051 | 0.0051 | ** | T-test |
| Richness | Non-Planted | Planted | 0.034111 | 0.034 | 0.034 | * | T-test |
| Pielou_evenness | Non-Planted | Planted | 0.011846 | 0.012 | 0.012 | * | T-test |
| ACE | Non-Planted | Planted | 0.039148 | 0.039 | 0.039 | * | T-test |
| Simpson_evenness | Non-Planted | Planted | 0.128035 | 0.13 | 0.13 | ns | T-test |
| Chao1 | Non-Planted | Planted | 0.062234 | 0.062 | 0.062 | ns | T-test |
Disclaimer/Publisher’s Note: The statements, opinions and data contained in all publications are solely those of the individual author(s) and contributor(s) and not of MDPI and/or the editor(s). MDPI and/or the editor(s) disclaim responsibility for any injury to people or property resulting from any ideas, methods, instructions or products referred to in the content. |
© 2025 by the authors. Licensee MDPI, Basel, Switzerland. This article is an open access article distributed under the terms and conditions of the Creative Commons Attribution (CC BY) license (https://creativecommons.org/licenses/by/4.0/).
Share and Cite
Radouane, N.; Mouhib, S.; Ait Si Mhand, K.; Meliane, Z.; Errafii, K.; Hijri, M. Spatial Structuring of Soil Fungal Diversity Associated with Ziziphus lotus (Rhamnaceae) in Arid Agricultural Soils. Microorganisms 2025, 13, 2489. https://doi.org/10.3390/microorganisms13112489
Radouane N, Mouhib S, Ait Si Mhand K, Meliane Z, Errafii K, Hijri M. Spatial Structuring of Soil Fungal Diversity Associated with Ziziphus lotus (Rhamnaceae) in Arid Agricultural Soils. Microorganisms. 2025; 13(11):2489. https://doi.org/10.3390/microorganisms13112489
Chicago/Turabian StyleRadouane, Nabil, Salma Mouhib, Khadija Ait Si Mhand, Zakaria Meliane, Khaoula Errafii, and Mohamed Hijri. 2025. "Spatial Structuring of Soil Fungal Diversity Associated with Ziziphus lotus (Rhamnaceae) in Arid Agricultural Soils" Microorganisms 13, no. 11: 2489. https://doi.org/10.3390/microorganisms13112489
APA StyleRadouane, N., Mouhib, S., Ait Si Mhand, K., Meliane, Z., Errafii, K., & Hijri, M. (2025). Spatial Structuring of Soil Fungal Diversity Associated with Ziziphus lotus (Rhamnaceae) in Arid Agricultural Soils. Microorganisms, 13(11), 2489. https://doi.org/10.3390/microorganisms13112489

