Organic Carbon Input to an Abandoned Rural Residential Land Improves Soil Carbon Fractions, Enhances Nitrogen Availability, and Increases Rice Yield
Abstract
1. Introduction
2. Materials and Methods
2.1. Experimental Site
2.2. Experimental Materials and Design
2.3. Plant and Soil Sampling and Analysis
2.4. Statistical Analysis
3. Results
3.1. Response Characteristics of Soil Organic Carbon, Nitrogen Fractions, and Rice Yield to Different Organic Carbon Input Levels
3.1.1. Soil Organic Carbon Fractions
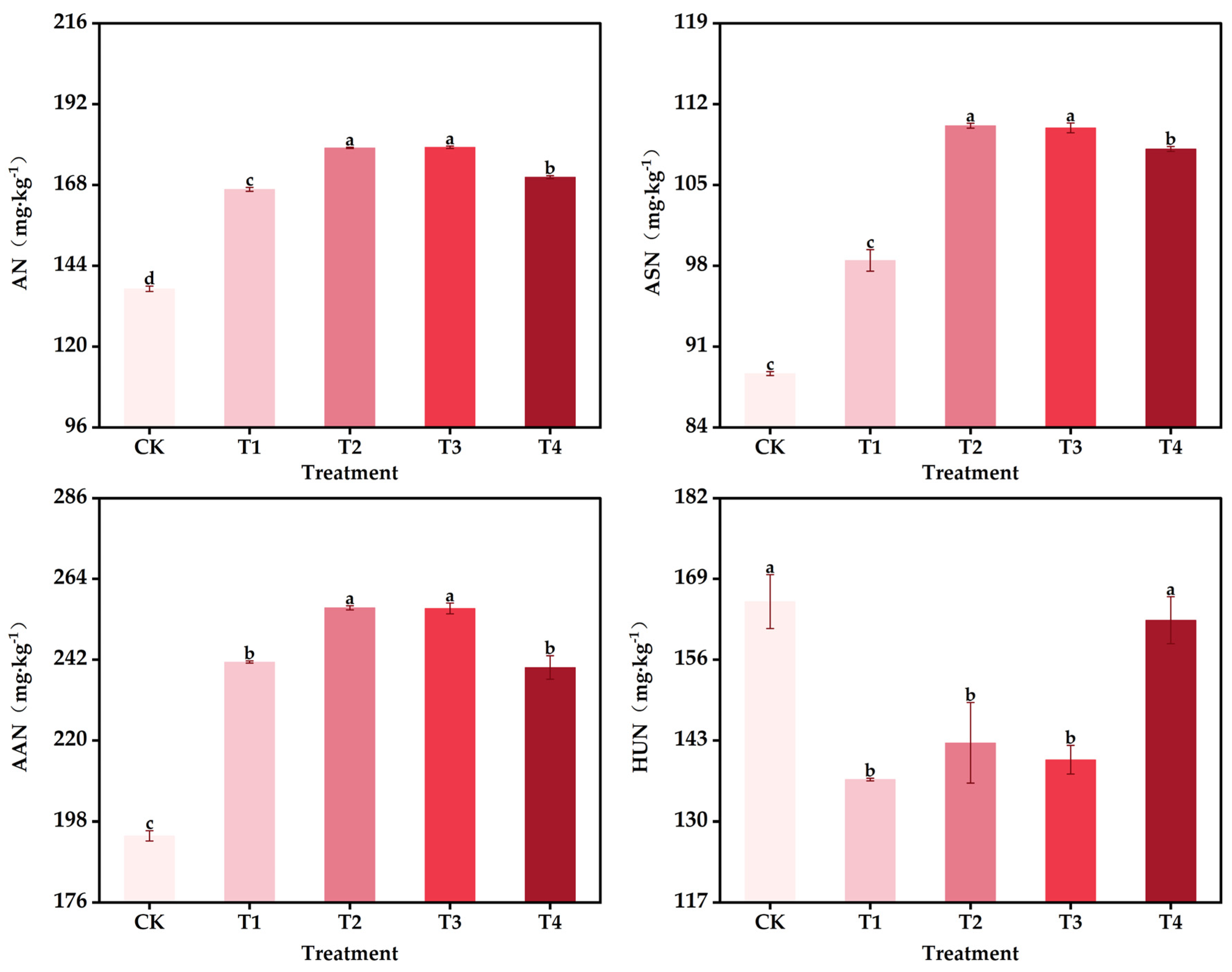
3.1.2. Soil Organic Nitrogen Fractions
3.1.3. Rice Yield
3.2. Correlation Among Organic Carbon Fractions, Nitrogen Fractions, and Rice Yield Under Different Organic Carbon Input Levels
3.3. Drivers and Pathways of Rice Yield Under Organic Carbon Input
4. Discussion
4.1. Responses of Labile Carbon Fractions in Abandoned Rural Residential Land Soils to Organic Carbon Input and Their Carbon Pool Turnover Mechanisms
4.2. Response of Organic Nitrogen Fractions to Organic Carbon Input in Abandoned Rural Residential Land Soils
4.3. Regulatory Mechanisms of Organic Carbon Fractions and Total Hydrolyzable Nitrogen on Rice Yields
4.4. Limitations and Future Research
5. Conclusions
Author Contributions
Funding
Data Availability Statement
Acknowledgments
Conflicts of Interest
Appendix A
Appendix A.1. Determination Methods of Total Hydrolyzable Nitrogen Fractions
Appendix B


References
- Cleland, J. World Population Growth; Past, Present and Future. Environ. Resour. Econ. 2013, 55, 543–554. [Google Scholar] [CrossRef]
- FAO. FAOSTAT Analytical Briefs; FAO: Rome, Italy, 2025; Volume 107, p. 17. [Google Scholar]
- Hassanein, H.; Zorba, N.; Han, S.; Kanhere, S.S.; Shukair, M. Crowd Management. IEEE Commun. Mag. 2019, 57, 18–19. [Google Scholar] [CrossRef]
- Liu, R.; Yu, C.; Jiang, J.; Huang, Z.; Jiang, Y. Farmer differentiation, generational differences and farmers’ behaviors to withdraw from rural homesteads: Evidence from Chengdu, China. Habitat Int. 2020, 103, 102231. [Google Scholar] [CrossRef]
- Qi, L.; Zhou, P.; Yang, L.; Gao, M. Effects of land reclamation on the physical, chemical, and microbial quantity and enzyme activity properties of degraded agricultural soils. J. Soils Sediments 2020, 20, 973–981. [Google Scholar] [CrossRef]
- Lei, N.; Han, J.; Mu, X.; Sun, Z.; Wang, H. Effects of improved materials on reclamation of soil properties and crop yield in hollow villages in China. J. Soils Sediments 2019, 19, 2374–2380. [Google Scholar] [CrossRef]
- Meng, T.; Han, J.; Zhang, Y.; Sun, Y.; Liu, Z.; Zhang, R. Multifractal characteristics of soil particle size distribution of abandoned homestead reclamation under different forest management modes. Sci. Rep. 2024, 14, 8864. [Google Scholar] [CrossRef]
- Liu, Z.; Zhang, Y.; Sun, Y.; Li, X.; Wang, N.; Wang, X.; Meng, T. Interaction force mechanism for the improvement of reclaimed soil aggregate stability in abandoned homestead by different organic-inorganic soil conditioners. Front. Environ. Sci. 2023, 11, 2023. [Google Scholar] [CrossRef]
- Wei, B. Effects of Different Amelioration Materials on Soil Fertility in Abandoned Homestead Reclaimed Soil. IOP Conf. Ser. Earth Environ. Sci. 2020, 514, 052038. [Google Scholar] [CrossRef]
- Sae-Tun, O.; Maftukhah, R.; Susanto, S.; Ngadisih, N.; Murtiningrum, M.; Hood-Nowotny, R.; Mentler, A.; Bodner, G.; Keiblinger, K.M. Organic carbon-based amendments effectively reclaim post-tin mining site via modified soil organic carbon characteristics. Plant Soil 2025, 508, 891–907. [Google Scholar] [CrossRef]
- Szili-Kovács, T.; Török, K.; Tilston, E.L.; Hopkins, D.W. Promoting microbial immobilization of soil nitrogen during restoration of abandoned agricultural fields by organic additions. Biol. Fertil. Soils 2007, 43, 823–828. [Google Scholar] [CrossRef]
- George, P.B.L.; Fidler, D.B.; Van Nostrand, J.D.; Atkinson, J.A.; Mooney, S.J.; Creer, S.; Griffiths, R.I.; McDonald, J.E.; Robinson, D.A.; Jones, D.L. Shifts in Soil Structure, Biological, and Functional Diversity Under Long-Term Carbon Deprivation. Front. Microbiol. 2021, 12, 2021. [Google Scholar] [CrossRef]
- Chandrasekaran, S.; Yoshida, T. Effect of organic acid transformations in submerged soils on growth of the rice plant. Soil Sci. Plant Nutr. 1973, 19, 39–45. [Google Scholar] [CrossRef][Green Version]
- Månsson, K.; Bengtson, P.; Falkengren-Grerup, U.; Bengtsson, G. Plant–microbial competition for nitrogen uncoupled from soil C:N ratios. Oikos 2009, 118, 1908–1916. [Google Scholar] [CrossRef]
- Huang, Q.; Zhang, G.; Ma, J.; Song, K.; Zhu, X.; Shen, W.; Xu, H. Dynamic interactions of nitrogen fertilizer and straw application on greenhouse gas emissions and sequestration of soil carbon and nitrogen: A 13-year field study. Agric. Ecosyst. Environ. 2022, 325, 107753. [Google Scholar] [CrossRef]
- Kim, Y.N.; Lee, J.H.; Seo, H.R.; Kim, J.W.; Cho, Y.S.; Lee, D.; Kim, B.H.; Yoon, J.H.; Choe, H.; Lee, Y.B.; et al. Co-Responses of Soil Organic Carbon Pool and Biogeochemistry to Different Long-Term Fertilization Practices in Paddy Fields. Plants 2022, 11, 3195. [Google Scholar] [CrossRef] [PubMed]
- Huang, Q.H.; Li, D.M.; Liu, K.L.; Yu, X.C.; Ye, H.C.; Hu, H.W.; Xu, X.L.; Wang, S.L.; Zhou, L.J.; Duan, Y.H.; et al. Effects of Long-Term Organic Amendments on Soil Organic Carbon in a Paddy Field: A Case Study on Red Soil. J. Integr. Agric. 2014, 13, 570–576. [Google Scholar] [CrossRef]
- Wei, W.; Huangfu, C.; Jia, Z.; Liu, S. Long-term organic amendments improved soil carbon sequestration to support crop production. J. Plant Nutr. Soil Sci. 2021, 184, 678–687. [Google Scholar] [CrossRef]
- Tian, J.; Lu, S.; Fan, M.; Li, X.; Kuzyakov, Y. Labile soil organic matter fractions as influenced by non-flooded mulching cultivation and cropping season in rice–wheat rotation. Eur. J. Soil Biol. 2013, 56, 19–25. [Google Scholar] [CrossRef]
- Schulten, H.R.; Schnitzer, M. The chemistry of soil organic nitrogen: A review. Biol. Fertil. Soils 1997, 26, 1–15. [Google Scholar] [CrossRef]
- Ichihashi, Y.; Date, Y.; Shino, A.; Shimizu, T.; Shibata, A.; Kumaishi, K.; Funahashi, F.; Wakayama, K.; Yamazaki, K.; Umezawa, A.; et al. Multi-omics analysis on an agroecosystem reveals the significant role of organic nitrogen to increase agricultural crop yield. Proc. Natl. Acad. Sci. USA 2020, 117, 14552–14560. [Google Scholar] [CrossRef]
- Hu, Y.; Zheng, Q.; Noll, L.; Zhang, S.; Wanek, W. Direct measurement of the in situ decomposition of microbial-derived soil organic matter. Soil Biol. Biochem. 2020, 141, 107660. [Google Scholar] [CrossRef]
- Bremner, J.M. Organic Nitrogen in Soils. In Soil Nitrogen; Wiley: Hoboken, NJ, USA, 1965; pp. 93–149. [Google Scholar]
- Wang, Z.; Liu, Z.; Hu, W.; Bai, H.; Ma, L.; Lv, X.; Zhou, Z.; Meng, Y. Crop residue return improved soil nitrogen availability by increasing amino acid and mineralization under appropriate N fertilization. Land Degrad. Dev. 2022, 33, 2197–2207. [Google Scholar] [CrossRef]
- Liu, X.; Hu, G.; He, H.; Liang, C.; Zhang, W.; Bai, Z.; Wu, Y.; Lin, G.; Zhang, X. Linking microbial immobilization of fertilizer nitrogen to in situ turnover of soil microbial residues in an agro-ecosystem. Agric. Ecosyst. Environ. 2016, 229, 40–47. [Google Scholar] [CrossRef]
- Lu, C.; Chen, H.; Teng, Z.; Yuan, L.; Ma, J.; He, H.; Chen, X.; Zhang, X.; Shi, Y. Effects of N fertilization and maize straw on the dynamics of soil organic N and amino acid N derived from fertilizer N as indicated by 15N labeling. Geoderma 2018, 321, 118–126. [Google Scholar] [CrossRef]
- Zhou, F.; Zhang, X.; Ma, S.; Li, Y.; Zhu, M.; Zhang, W.; Li, J.; Liu, X.; Hu, G.; Wang, X.; et al. Soil microbial necromass regulation of long-term fertilizer N retention influenced by maize stover mulching. Geoderma 2023, 433, 116453. [Google Scholar] [CrossRef]
- Yang, R.; Su, Y.Z.; Wang, T.; Yang, Q. Effect of chemical and organic fertilization on soil carbon and nitrogen accumulation in a newly cultivated farmland. J. Integr. Agric. 2016, 15, 658–666. [Google Scholar] [CrossRef]
- Jones, D.L.; Willett, V.B. Experimental evaluation of methods to quantify dissolved organic nitrogen (DON) and dissolved organic carbon (DOC) in soil. Soil Biol. Biochem. 2006, 38, 991–999. [Google Scholar] [CrossRef]
- Weil, R.; Stine, M.; Gruver, J.; Samson-Liebig, S. Estimating active carbon for soil quality assessment: A simplified method for laboratory and field use. Am. J. Altern. Agric. 2003, 18, 3–17. [Google Scholar] [CrossRef]
- Cambardella, C.A.; Elliott, E.T. Particulate Soil Organic-Matter Changes across a Grassland Cultivation Sequence. Soil Sci. Soc. Am. J. 1992, 56, 777–783. [Google Scholar] [CrossRef]
- Qi, R.; Li, J.; Lin, Z.; Li, Z.; Li, Y.; Yang, X.; Zhang, J.; Zhao, B. Temperature effects on soil organic carbon, soil labile organic carbon fractions, and soil enzyme activities under long-term fertilization regimes. Appl. Soil Ecol. 2016, 102, 36–45. [Google Scholar] [CrossRef]
- Ren, T.; Ukalska-Jaruga, A.; Smreczak, B.; Cai, A. Dissolved organic carbon in cropland soils: A global meta-analysis of management effects. Agric. Ecosyst. Environ. 2024, 371, 109080. [Google Scholar] [CrossRef]
- Whitman, T.; DeCiucies, S.; Hanley, K.; Enders, A.; Woolet, J.; Lehmann, J. Microbial Community Shifts Reflect Losses of Native Soil Carbon with Pyrogenic and Fresh Organic Matter Additions and Are Greatest in Low-Carbon Soils. Appl. Environ. Microbiol. 2021, 87, e02555-20. [Google Scholar] [CrossRef]
- Mendoza, O.; De Neve, S.; Deroo, H.; Li, H.; Sleutel, S. Do interactions between application rate and native soil organic matter content determine the degradation of exogenous organic carbon? Soil Biol. Biochem. 2022, 164, 108473. [Google Scholar] [CrossRef]
- Kou, X.; Morriën, E.; Tian, Y.; Zhang, X.; Lu, C.; Xie, H.; Liang, W.; Li, Q.; Liang, C. Exogenous carbon turnover within the soil food web strengthens soil carbon sequestration through microbial necromass accumulation. Glob. Change Biol. 2023, 29, 4069–4080. [Google Scholar] [CrossRef]
- Huang, W.; Kuzyakov, Y.; Niu, S.; Luo, Y.; Sun, B.; Zhang, J.; Liang, Y. Drivers of microbially and plant-derived carbon in topsoil and subsoil. Glob. Change Biol. 2023, 29, 6188–6200. [Google Scholar] [CrossRef]
- Huang, Q.; Wang, B.; Shen, J.; Xu, F.; Li, N.; Jia, P.; Jia, Y.; An, S.; Amoah, I.D.; Huang, Y. Shifts in C-degradation genes and microbial metabolic activity with vegetation types affected the surface soil organic carbon pool. Soil Biol. Biochem. 2024, 192, 109371. [Google Scholar] [CrossRef]
- Li, T.T.; Zhang, J.Z.; Zhang, H.Y.; Chrisite, P.; Zhang, J.L. Fractionation of soil organic carbon in a calcareous soil after long-term tillage and straw residue management. J. Integr. Agric. 2022, 21, 3611–3625. [Google Scholar] [CrossRef]
- Liu, Z.; Wang, H.; Cao, S.; Sun, Z.; Wang, N.; Zhang, Z.; Rong, Y. Variation Characteristics of Particle Surface Electrochemical Properties during the Improvement of Reclaimed Soil from Hollow Village in Loess Area. Sustainability 2022, 14, 11527. [Google Scholar] [CrossRef]
- Wang, M.; Feng, X.; Zhou, Z.; Ma, H.; Ge, T.; Tang, C.; Wang, D.; Chen, S. Labile organic carbon fractions in the rhizosphere contribute to nitrogen and phosphorus uptake in rice under long-term crop rotations and nitrogen application. Appl. Soil Ecol. 2024, 200, 105459. [Google Scholar] [CrossRef]
- Zhang, Y.; Dou, S.; Ndzelu, B.S.; Ma, R.; Zhang, D.; Zhang, X.; Ye, S.; Wang, H. Effects of returning corn straw and fermented corn straw to fields on the soil organic carbon pools and humus composition. SOIL 2022, 8, 605–619. [Google Scholar] [CrossRef]
- Yan, S.; Zhang, S.; Yan, P.; Wei, Z.; Niu, X.; Zhang, H. Biochar application increased soil carbon sequestration by altering organic carbon components in aggregates. Soil Tillage Res. 2026, 255, 106795. [Google Scholar] [CrossRef]
- Almaraz, M.; Wong, M.Y.; Geoghegan, E.K.; Houlton, B.Z. A review of carbon farming impacts on nitrogen cycling, retention, and loss. Ann. N. Y. Acad. Sci. 2021, 1505, 102–117. [Google Scholar] [CrossRef]
- Zhang, Z.; Xie, D.; Teng, W.; Gu, F.; Zhang, R.; Cheng, K.; Liu, Z.; Zhao, Y.; Yang, F. A state of art review on carbon, nitrogen, and phosphorus cycling and efficient utilization in paddy fields. Plant Soil 2025, 513, 1689–1709. [Google Scholar] [CrossRef]
- Zhang, S.; Zheng, Q.; Noll, L.; Hu, Y.; Wanek, W. Environmental effects on soil microbial nitrogen use efficiency are controlled by allocation of organic nitrogen to microbial growth and regulate gross N mineralization. Soil Biol. Biochem. 2019, 135, 304–315. [Google Scholar] [CrossRef]
- Jones, D.L.; Kielland, K.; Sinclair, F.L.; Dahlgren, R.A.; Newsham, K.K.; Farrar, J.F.; Murphy, D.V. Soil organic nitrogen mineralization across a global latitudinal gradient. Glob. Biogeochem. Cycles 2009, 23, GB1016. [Google Scholar] [CrossRef]
- Hu, Y.; Zheng, Q.; Zhang, S.; Noll, L.; Wanek, W. Significant release and microbial utilization of amino sugars and d-amino acid enantiomers from microbial cell wall decomposition in soils. Soil Biol. Biochem. 2018, 123, 115–125. [Google Scholar] [CrossRef]
- Chen, M.; Xu, J.; Li, Z.; Li, D.; Wang, Q.; Zhou, Y.; Guo, W.; Ma, D.; Zhang, J.; Zhao, B. Long-term nitrogen fertilization-induced enhancements of acid hydrolyzable nitrogen are mainly regulated by the most vital microbial taxa of keystone species and enzyme activities. Sci. Total Environ. 2023, 874, 162463. [Google Scholar] [CrossRef]
- Ding, S.; Xin, X.; Yang, W.; Zhang, X.; Zhu, A.; Huang, S.; Yang, J.; Ren, G.; Li, M. Transformation of fertilizer nitrogen in fluvo-aquic soils with different textures and its influencing factors. Plant Soil 2022, 471, 541–558. [Google Scholar] [CrossRef]
- Zhuang, W.; Yan, X.; Zhang, J.; Zhang, J.; Zhao, C. Nitrogen deposition and water addition affect microbial carbon and nitrogen cycling: Insights from a 10-year experiment in a semi-arid steppe. CATENA 2025, 259, 109322. [Google Scholar] [CrossRef]
- Xue, S.; Yi, X.; Peng, J.; Bak, F.; Zhang, L.; Duan, G.; Liesack, W.; Zhu, Y. Fulvic Acid Enhances Nitrogen Fixation and Retention in Paddy Soils through Microbial-Coupled Carbon and Nitrogen Cycling. Environ. Sci. Technol. 2024, 58, 18777–18787. [Google Scholar] [CrossRef]
- Ma, Y.; Woolf, D.; Fan, M.; Qiao, L.; Li, R.; Lehmann, J. Global crop production increase by soil organic carbon. Nat. Geosci. 2023, 16, 1159–1165. [Google Scholar] [CrossRef]
- Gupta Choudhury, S.; Yaduvanshi, N.P.S.; Chaudhari, S.K.; Sharma, D.R.; Sharma, D.K.; Nayak, D.C.; Singh, S.K. Effect of nutrient management on soil organic carbon sequestration, fertility, and productivity under rice-wheat cropping system in semi-reclaimed sodic soils of North India. Env. Monit Assess 2018, 190, 117. [Google Scholar] [CrossRef]
- Liu, P.; Zhang, T.; Wang, G.; Ju, J.; Mao, W.; Zhao, H. Response of Rice Grain Yield and Soil Fertility to Fertilization Management under Three Rice-Based Cropping Systems in Reclaimed Soil. Agronomy 2023, 13, 1840. [Google Scholar] [CrossRef]
- Hao, X.; Ma, X.; Sun, L.; Liu, S.; Ji, J.; Zhou, B.; Zhao, Y.; Zheng, Y.; Kuang, E.; Liu, Y.; et al. High Ratio of Manure Substitution Enhanced Soil Organic Carbon Storage via Increasing Particulate Organic Carbon and Nutrient Availability. Plants 2025, 14, 2045. [Google Scholar] [CrossRef]
- Xu, H.; Cai, A.; Yang, X.; Zhang, S.; Huang, S.; Wang, B.; Zhu, P.; Colinet, G.; Sun, N.; Xu, M.; et al. Long-Term Organic Substitution Promotes Carbon and Nitrogen Sequestration and Benefit Crop Production in Upland Field. Agronomy 2023, 13, 2381. [Google Scholar] [CrossRef]
- Huang, Y.; Wei, F. Climate controls the global distribution of soil organic and inorganic carbon. Ecol. Indic. 2025, 175, 113514. [Google Scholar] [CrossRef]
- Thomas, C.L.; Acquah, G.E.; Whitmore, A.P.; McGrath, S.P.; Haefele, S.M. The Effect of Different Organic Fertilizers on Yield and Soil and Crop Nutrient Concentrations. Agronomy 2019, 9, 776. [Google Scholar] [CrossRef]
- Li, X.; Li, D.; Lu, Q.; Wang, D.; Ren, X.; Lv, L.; Ahmed, T.; Yan, J.; Li, B. Effects of Different Organic Fertilizers on Sweet Potato Growth and Rhizosphere Soil Properties in Newly Reclaimed Land. Agronomy 2022, 12, 1649. [Google Scholar] [CrossRef]
- Breza, L.C.; Mooshammer, M.; Bowles, T.M.; Jin, V.L.; Schmer, M.R.; Thompson, B.; Grandy, A.S. Complex crop rotations improve organic nitrogen cycling. Soil Biol. Biochem. 2023, 177, 108911. [Google Scholar] [CrossRef]
- Cassman, K.G.; Peng, S.; Olk, D.C.; Ladha, J.K.; Reichardt, W.; Dobermann, A.; Singh, U. Opportunities for increased nitrogen-use efficiency from improved resource management in irrigated rice systems. Field Crops Res. 1998, 56, 7–39. [Google Scholar] [CrossRef]
- Durani, A.; Brar, B.S.; Dheri, G.S. Soil Nitrogen Fractions in Relation to Rice-Wheat Productivity: Effects of Long-Term Application of Mineral Fertilizers and Organic Manures. J. Crop Improv. 2016, 30, 399–420. [Google Scholar] [CrossRef]
- Xu, C.Y.; Du, C.; Jian, J.S.; Hou, L.; Wang, Z.K.; Wang, Q.; Geng, Z.C. The interplay of labile organic carbon, enzyme activities and microbial communities of two forest soils across seasons. Sci. Rep. 2021, 11, 5002. [Google Scholar] [CrossRef]
- Stevenson, F.J. Organic Forms of Soil Nitrogen. In Nitrogen in Agricultural Soils; Agronomy Monographs; Wiley: Hoboken, NJ, USA, 1982; pp. 67–122. [Google Scholar]
- Xu, L.; Chen, H.; Zhou, Y.; Zhang, J.; Nadeem, M.Y.; Miao, C.; You, J.; Li, W.; Jiang, Y.; Ding, Y.; et al. Long-term straw returning improved soil nitrogen sequestration by accelerating the accumulation of amino acid nitrogen. Agric. Ecosyst. Environ. 2024, 362, 108846. [Google Scholar] [CrossRef]
- Bai, Z.; Bodé, S.; Huygens, D.; Zhang, X.; Boeckx, P. Kinetics of amino sugar formation from organic residues of different quality. Soil Biol. Biochem. 2013, 57, 814–821. [Google Scholar] [CrossRef]







| Treatment | Organic Fertilizer (t·ha−1) | Chemical Fertilizer (kg·ha−1) | Organic N/Chemical Fertilizer N | Total Organic C (t·ha−1) | Total N (kg·ha−1) | ||
|---|---|---|---|---|---|---|---|
| N (kg·ha−1) | P2O5 (kg·ha−1) | K2O (kg·ha−1) | |||||
| CK | 0 | 0 | 0 | 0 | 0:0 | 0 | 0 |
| T1 | 3.33 | 216 | 47.07 | 75.14 | 2:8 | 0.51 | 270 |
| T2 | 4.99 | 189 | 28.11 | 37.71 | 3:7 | 0.77 | 270 |
| T3 | 6.65 | 162 | 9.14 | 0.17 | 4:6 | 1.02 | 270 |
| T4 | 16.64 | 0 | 0 | 0 | 10:0 | 2.56 | 270 |
Disclaimer/Publisher’s Note: The statements, opinions and data contained in all publications are solely those of the individual author(s) and contributor(s) and not of MDPI and/or the editor(s). MDPI and/or the editor(s) disclaim responsibility for any injury to people or property resulting from any ideas, methods, instructions or products referred to in the content. |
© 2025 by the authors. Licensee MDPI, Basel, Switzerland. This article is an open access article distributed under the terms and conditions of the Creative Commons Attribution (CC BY) license (https://creativecommons.org/licenses/by/4.0/).
Share and Cite
Zhao, X.; Chai, S.; Song, W.; Li, T.; Mao, W.; Zhao, H.; Ju, J. Organic Carbon Input to an Abandoned Rural Residential Land Improves Soil Carbon Fractions, Enhances Nitrogen Availability, and Increases Rice Yield. Agronomy 2025, 15, 2575. https://doi.org/10.3390/agronomy15112575
Zhao X, Chai S, Song W, Li T, Mao W, Zhao H, Ju J. Organic Carbon Input to an Abandoned Rural Residential Land Improves Soil Carbon Fractions, Enhances Nitrogen Availability, and Increases Rice Yield. Agronomy. 2025; 15(11):2575. https://doi.org/10.3390/agronomy15112575
Chicago/Turabian StyleZhao, Xianlong, Shuai Chai, Wenjie Song, Tianpeng Li, Wei Mao, Haitao Zhao, and Jing Ju. 2025. "Organic Carbon Input to an Abandoned Rural Residential Land Improves Soil Carbon Fractions, Enhances Nitrogen Availability, and Increases Rice Yield" Agronomy 15, no. 11: 2575. https://doi.org/10.3390/agronomy15112575
APA StyleZhao, X., Chai, S., Song, W., Li, T., Mao, W., Zhao, H., & Ju, J. (2025). Organic Carbon Input to an Abandoned Rural Residential Land Improves Soil Carbon Fractions, Enhances Nitrogen Availability, and Increases Rice Yield. Agronomy, 15(11), 2575. https://doi.org/10.3390/agronomy15112575

