Sign in to use this feature.

Years

Between: -

Subjects

remove_circle_outline
remove_circle_outline
remove_circle_outline
remove_circle_outline
remove_circle_outline
remove_circle_outline
remove_circle_outline
remove_circle_outline
remove_circle_outline

Journals

Article Types

Countries / Regions

Search Results (66)

Search Parameters:
Keywords = stimulus-selective response potentiation

Order results
Result details
Results per page
Select all
Export citation of selected articles as:
13 pages, 1291 KB  
Article
Regulation of CLK1 Isoform Expression by Alternative Splicing in Activated Human Monocytes Contributes to Activation-Associated TNF Production
by Maurice J. H. van Haaren, Alejandra Bodelón, Lyanne J. P. M. Sijbers, Rianne Scholman, Lucas W. Picavet, Jorg J. A. Calis, Sebastiaan J. Vastert and Jorg van Loosdregt
Cells 2025, 14(23), 1925; https://doi.org/10.3390/cells14231925 - 3 Dec 2025
Viewed by 735
Abstract
Alternative splicing is a key regulator of immune regulation by enabling rapid and context-specific responses. However, the role of splicing regulators such as CDC-like kinase 1 (CLK1) in monocyte biology remains poorly defined. Here, we identify and characterize distinct CLK1-splice isoforms in human [...] Read more.
Alternative splicing is a key regulator of immune regulation by enabling rapid and context-specific responses. However, the role of splicing regulators such as CDC-like kinase 1 (CLK1) in monocyte biology remains poorly defined. Here, we identify and characterize distinct CLK1-splice isoforms in human CD14+ monocytes using long-read RNA sequencing. In resting monocytes, we observe predominant expression of a truncated isoform lacking exon 4 (CLK1Δ4), which undergoes nonsense-mediated decay resulting in minimal protein output. Lipopolysaccharide (LPS) stimulation induces a shift toward the full-length isoform (CLK1+4), associated with increased transcript stability and protein expression. This splicing switch was confirmed by RT-qPCR, short-read RNA sequencing, and Western blot analysis. Pharmacological inhibition of CLK1 selectively reduced TNFα production without affecting cell viability, implicating that the isoform shift enhances pro-inflammatory signaling. These findings uncover a stimulus-dependent splicing mechanism that modulates monocyte activation through differential CLK1 isoform expression and suggest a potential therapeutic avenue by targeting splicing regulators in immune-related disease with an established role of activated monocytes. Full article
(This article belongs to the Special Issue Protein and RNA Regulation in Cells)
Show Figures

Figure 1

58 pages, 5770 KB  
Review
Preparation of Hydrogel by Crosslinking and Multi-Dimensional Applications
by Md Murshed Bhuyan and Jae-Ho Jeong
Gels 2025, 11(11), 896; https://doi.org/10.3390/gels11110896 - 9 Nov 2025
Cited by 3 | Viewed by 3396
Abstract
Functional hydrogels are cutting-edge materials that are important in various fields, such as biomedical engineering, agriculture, pollution control, artificial organs, electronics, and domestic products. They are essential to contemporary scientific and industrial advancements because of their adaptability and versatility. The new synthesis techniques [...] Read more.
Functional hydrogels are cutting-edge materials that are important in various fields, such as biomedical engineering, agriculture, pollution control, artificial organs, electronics, and domestic products. They are essential to contemporary scientific and industrial advancements because of their adaptability and versatility. The new synthesis techniques and multidimensional applications of different kinds of hydrogels are the goals of this study. The special qualities of hydrogels are one of the main reasons for their widespread use. Because of their stimulus-responsivity, these materials may alter their properties in response to external environmental signals, including light exposure, pH, and temperature. Their biodegradability and biocompatibility make them appropriate for ecological and medicinal applications, while their intrinsic flexibility guarantees adaptation across many applications. Furthermore, the ability of hydrogels to self-heal and be reused enhances their sustainability and efficiency. The preparation of hydrogels with these unique qualities necessitates exacting preparation methods and cautious raw material selection based on the application. To improve their operation and make sure they satisfy the required performance standards in various sectors, a variety of chemical and physical modifications are used. The functional processes of hydrogels in each sector are thoroughly examined in this review, which offers in-depth information on their interactions, efficacy, and the science underlying their uses. By providing a comprehensive overview, this analysis hopes to provide readers with a solid knowledge of potential hydrogels, empowering them to investigate new avenues for research and optimize their uses across a range of sectors. Full article
(This article belongs to the Special Issue Recent Research on Functional Gels)
Show Figures

Graphical abstract

29 pages, 3985 KB  
Article
Differential Responses of Human iPSC-Derived Microglia to Stimulation with Diverse Inflammogens
by Chiara Wolfbeisz, Julian Suess, Nadine Dreser, Heidrun Leisner, Markus Brüll, Madeleine Fandrich, Nicole Schneiderhan-Marra, Oliver Poetz, Thomas Hartung and Marcel Leist
Cells 2025, 14(21), 1687; https://doi.org/10.3390/cells14211687 - 28 Oct 2025
Viewed by 2171
Abstract
Human microglia are central regulators and actors in brain infections and neuro-inflammatory pathologies. However, access to such cells is limited, and studies systematically mapping the spectrum of their inflammatory states are scarce. Here, we generated microglia-like cells (MGLCs) from human induced pluripotent stem [...] Read more.
Human microglia are central regulators and actors in brain infections and neuro-inflammatory pathologies. However, access to such cells is limited, and studies systematically mapping the spectrum of their inflammatory states are scarce. Here, we generated microglia-like cells (MGLCs) from human induced pluripotent stem cells and characterized them as a robust, accessible model system for studying inflammatory activation. We validated lineage identity through transcriptome profiling, revealing selective upregulation of microglial signature genes and enrichment of microglia/macrophage-related gene sets. MGLCs displayed distinct morphologies and produced stimulus- and time-dependent cytokine secretion profiles upon exposure to diverse inflammatory stimuli, including pro-inflammatory cytokines (TNFα, interferon-γ) and agonists of the Toll-like receptors TLR2 (FSL-1), TLR3 (Poly(I:C)), TLR4 (lipopolysaccharide, LPS), and TLR7 (imiquimod). Transcriptome profiling and bioinformatics analysis revealed distinct activation signatures. Functional assays demonstrated stimulus-specific engagement of NFκB and JAK-STAT signaling pathways. The shared NFκB nuclear translocation response of TLR ligands and TNFα was reflected in overlapping transcriptome profiles: they shared modules (e.g., oxidative stress response and TNFα-related signaling) identified by weighted gene co-expression network analysis. Finally, the potential consequences of microglia activation for neighboring cells were studied on the example of microglia-astrocyte crosstalk. The capacity of MGLC supernatants to stimulate astrocytes was measured by quantifying astrocytic NFκB translocation. MGLCs stimulated with FSL-1, LPS, or Poly(I:C) indirectly activated astrocytes via a strictly TNFα-dependent mechanism, highlighting the role of soluble mediators in the signal propagation. Altogether, this platform enables a dissection of microglia activation states and multi-parametric characterization of subsequent neuroinflammation. Full article
(This article belongs to the Collection Feature Papers in 'Cells of the Nervous System' Section)
Show Figures

Graphical abstract

13 pages, 843 KB  
Review
Advancing Zebrafish (Danio rerio) Welfare Using Immersion Analgesics
by Cláudia A. Rocha, Luís M. Félix, Sandra M. Monteiro and Carlos Venâncio
Vet. Sci. 2025, 12(6), 571; https://doi.org/10.3390/vetsci12060571 - 11 Jun 2025
Viewed by 1570
Abstract
Growing evidence of pain perception in fish has raised concerns about their welfare in different contexts, including research and aquaculture, where potentially painful procedures are standard. Despite ongoing efforts to advance fish analgesia, the field remains underdeveloped, particularly regarding less invasive methods that [...] Read more.
Growing evidence of pain perception in fish has raised concerns about their welfare in different contexts, including research and aquaculture, where potentially painful procedures are standard. Despite ongoing efforts to advance fish analgesia, the field remains underdeveloped, particularly regarding less invasive methods that could improve welfare, such as immersion-based analgesia. As one of the most widely used models in research, zebrafish (Danio rerio) are often at the front of these concerns. This review aimed to consolidate the current knowledge on immersion analgesics by analyzing the behavioral responses of zebrafish exposed to noxious stimuli. Some promising immersion analgesics were identified; however, further research is needed to assess their effects on additional parameters and investigate potential adverse effects. These findings underscore the importance of selecting appropriate analgesics, as their effectiveness may vary depending on the duration and severity of the stimulus. Moreover, this review highlights the critical role of consistent water quality monitoring and detailed parameter reporting, as these factors may influence analgesic efficacy and compromise fish welfare. As research advances, applying these insights beyond zebrafish to other fish species will be crucial for promoting higher welfare standards. Full article
(This article belongs to the Section Veterinary Physiology, Pharmacology, and Toxicology)
Show Figures

Figure 1

11 pages, 947 KB  
Article
Individualising Galvanic Vestibular Stimulation Further Improves Visuomotor Performance in Parkinson’s Disease
by Anjali Menon, Madhini Vigneswaran, Tina Zhang, Varsha Sreenivasan, Christina Kim and Martin J. McKeown
Bioengineering 2025, 12(5), 523; https://doi.org/10.3390/bioengineering12050523 - 14 May 2025
Viewed by 2003
Abstract
Impaired motor function is a defining characteristic of Parkinson’s disease (PD). Galvanic vestibular stimulation (GVS) has been proposed as a potential non-invasive intervention to enhance motor performance; however, its efficacy depends on both stimulation parameters and electrode configuration. In this study, we examined [...] Read more.
Impaired motor function is a defining characteristic of Parkinson’s disease (PD). Galvanic vestibular stimulation (GVS) has been proposed as a potential non-invasive intervention to enhance motor performance; however, its efficacy depends on both stimulation parameters and electrode configuration. In this study, we examined the effects of two-pole and three-pole GVS configurations, utilising different stimulation parameters, on motor performance in individuals with PD. Twelve participants with PD were administered eight distinct subthreshold amplitude-modulated GVS stimuli, along with sham stimulation, while performing a visuomotor target tracking task. Analysis of tracking error demonstrated substantial inter-individual variability in response to different stimuli and electrode configurations. While the three-pole configuration yielded superior motor performance in some cases, the two-pole configuration was more effective in others. The most effective overall stimulus across all subjects, characterised by an envelope frequency of 30 Hz and a carrier frequency of 110 Hz, improved motor performance by 25% relative to the sham stimulus. Moreover, tailoring the stimulation parameters to the individual further enhanced performance by an additional 24%. These findings suggest that GVS can yield significant motor improvements in individuals with PD. Furthermore, individualised optimisation of stimulation parameters, including the selection of the appropriate electrode configuration, may further enhance therapeutic efficacy. Full article
(This article belongs to the Section Biomedical Engineering and Biomaterials)
Show Figures

Figure 1

14 pages, 1892 KB  
Article
Alterations in Whey Protein Abundance Correlated with the Somatic Cell Count Identified via Label-Free and Selected Reaction Monitoring Proteomic Approaches
by Jing Li, Kaixu Chen, Changjiang Zang, Xiaowei Zhao, Zhiqiang Cheng, Xiaobin Li, Caidie Wang, Yong Chen and Kailun Yang
Animals 2025, 15(5), 675; https://doi.org/10.3390/ani15050675 - 26 Feb 2025
Viewed by 1076
Abstract
The somatic cell count (SCC) is widely used to assess milk quality and diagnose intramammary infections. Several whey proteins have been shown to correlate significantly with SCC and are considered potential indicators of udder health. However, the relationship between milk whey proteins and [...] Read more.
The somatic cell count (SCC) is widely used to assess milk quality and diagnose intramammary infections. Several whey proteins have been shown to correlate significantly with SCC and are considered potential indicators of udder health. However, the relationship between milk whey proteins and SCC has not been fully elucidated. In this study, milk samples were grouped into five categories based on SCC levels. Subsequently, whey proteins were identified using a label-free proteomics approach, and the differential abundance of proteins was validated through a selected reaction monitoring (SRM) method. The levels of various proteins, including azurocidin 1 and kininogen-2, exhibited an increase, whereas topoisomerase I, tropomyosin-1, and desmin showed a significant decrease depending on the SCCs. Principal component analysis unveiled that these proteins contributed to the developmental alterations in milk proteins. A majority of these differentially abundant proteins were associated with response to stimulus, localization, and defense response. Our results provide fundamental information on the SCC that can be utilized for evaluating milk quality and serve as potential indicators for detecting intramammary infections. Full article
(This article belongs to the Section Cattle)
Show Figures

Figure 1

36 pages, 2337 KB  
Review
Environmental and Wastewater Treatment Applications of Stimulus-Responsive Hydrogels
by Anita Ioana Visan and Irina Negut
Gels 2025, 11(1), 72; https://doi.org/10.3390/gels11010072 - 16 Jan 2025
Cited by 22 | Viewed by 4904
Abstract
Stimulus-responsive hydrogels have emerged as versatile materials for environmental and wastewater treatment applications due to their ability to adapt to changing environmental conditions. This review highlights recent advances in the design, synthesis, and functionalization of such hydrogels, focusing on their environmental applications. Various [...] Read more.
Stimulus-responsive hydrogels have emerged as versatile materials for environmental and wastewater treatment applications due to their ability to adapt to changing environmental conditions. This review highlights recent advances in the design, synthesis, and functionalization of such hydrogels, focusing on their environmental applications. Various synthesis techniques, including radical polymerization, grafting, and copolymerization, enable the development of hydrogels with tailored properties such as enhanced adsorption capacity, selectivity, and reusability. The incorporation of nanoparticles and bio-based polymers further improves their structural integrity and pollutant removal efficiency. Key mechanisms such as adsorption, ion exchange, and photodegradation are discussed, emphasizing their roles in removing heavy metals, dyes, and organic pollutants from wastewater. Additionally, this review presents the potential of hydrogels for oil–water separation, pathogen control, and future sustainability through integration into circular economy frameworks. The adaptability, cost-effectiveness, and eco-friendliness of these hydrogels make them promising candidates for large-scale environmental remediation. Full article
Show Figures

Figure 1

14 pages, 2977 KB  
Article
The Development of a Multicommand Tactile Event-Related Potential-Based Brain–Computer Interface Utilizing a Low-Cost Wearable Vibrotactile Stimulator
by Manorot Borirakarawin, Nannaphat Siribunyaphat, Si Thu Aung and Yunyong Punsawad
Sensors 2024, 24(19), 6378; https://doi.org/10.3390/s24196378 - 1 Oct 2024
Viewed by 2819
Abstract
A tactile event-related potential (ERP)-based brain–computer interface (BCI) system is an alternative for enhancing the control and communication abilities of quadriplegic patients with visual or auditory impairments. Hence, in this study, we proposed a tactile stimulus pattern using a vibrotactile stimulator for a [...] Read more.
A tactile event-related potential (ERP)-based brain–computer interface (BCI) system is an alternative for enhancing the control and communication abilities of quadriplegic patients with visual or auditory impairments. Hence, in this study, we proposed a tactile stimulus pattern using a vibrotactile stimulator for a multicommand BCI system. Additionally, we observed a tactile ERP response to the target from random vibrotactile stimuli placed in the left and right wrist and elbow positions to create commands. An experiment was conducted to explore the location of the proposed vibrotactile stimulus and to verify the multicommand tactile ERP-based BCI system. Using the proposed features and conventional classification methods, we examined the classification efficiency of the four commands created from the selected EEG channels. The results show that the proposed vibrotactile stimulation with 15 stimulus trials produced a prominent ERP response in the Pz channels. The average classification accuracy ranged from 61.9% to 79.8% over 15 stimulus trials, requiring 36 s per command in offline processing. The P300 response in the parietal area yielded the highest average classification accuracy. The proposed method can guide the development of a brain–computer interface system for physically disabled people with visual or auditory impairments to control assistive and rehabilitative devices. Full article
(This article belongs to the Special Issue Brain Computer Interface for Biomedical Applications)
Show Figures

Figure 1

24 pages, 637 KB  
Article
Testing Stimulus Equivalence in Transformer-Based Agents
by Alexis Carrillo and Moisés Betancort
Future Internet 2024, 16(8), 289; https://doi.org/10.3390/fi16080289 - 9 Aug 2024
Cited by 1 | Viewed by 2352
Abstract
This study investigates the ability of transformer-based models (TBMs) to form stimulus equivalence (SE) classes. We employ BERT and GPT as TBM agents in SE tasks, evaluating their performance across training structures (linear series, one-to-many and many-to-one) and relation types (select–reject, select-only). Our [...] Read more.
This study investigates the ability of transformer-based models (TBMs) to form stimulus equivalence (SE) classes. We employ BERT and GPT as TBM agents in SE tasks, evaluating their performance across training structures (linear series, one-to-many and many-to-one) and relation types (select–reject, select-only). Our findings demonstrate that both models performed above mastery criterion in the baseline phase across all simulations (n = 12). However, they exhibit limited success in reflexivity, transitivity, and symmetry tests. Notably, both models achieved success only in the linear series structure with select–reject relations, failing in one-to-many and many-to-one structures, and all select-only conditions. These results suggest that TBM may be forming decision rules based on learned discriminations and reject relations, rather than responding according to equivalence class formation. The absence of reject relations appears to influence their responses and the occurrence of hallucinations. This research highlights the potential of SE simulations for: (a) comparative analysis of learning mechanisms, (b) explainability techniques for TBM decision-making, and (c) TBM bench-marking independent of pre-training or fine-tuning. Future investigations can explore upscaling simulations and utilize SE tasks within a reinforcement learning framework. Full article
Show Figures

Figure 1

16 pages, 2168 KB  
Review
Design of Cell-Specific Targeting Peptides for Cancer Therapy
by Xiaoyong Chen, Di Wang, Yun-Bao Jiang and Tao Jiang
Targets 2024, 2(3), 186-201; https://doi.org/10.3390/targets2030011 - 27 Jul 2024
Cited by 5 | Viewed by 5515
Abstract
The landscape of cancer therapy has gained major impetus through the development of materials capable of selectively targeting cancer cells while sparing normal cells. Synthetic peptides are appealing as scaffolds for the creation of such materials. They are small in size, amenable to [...] Read more.
The landscape of cancer therapy has gained major impetus through the development of materials capable of selectively targeting cancer cells while sparing normal cells. Synthetic peptides are appealing as scaffolds for the creation of such materials. They are small in size, amenable to chemical synthesis and functionalization, and possess diverse chemical and structural space for modulating targeting properties. Here, we review some fundamental insights into the design, discovery, and evolution of peptide-based targeting agents, with a particular focus on two types of cancer cell targets: unique/overexpressed surface receptors and abnormal physiological properties. We highlight the cutting-edge strategies from the literature of the last two decades that demonstrate innovative approaches to constructing receptor-specific cyclic binders and stimulus-responsive targeting materials. Additionally, we discuss potential future directions for advancing this field, with the aim of pushing the frontiers of targeted cancer therapy forward. Full article
(This article belongs to the Special Issue Recent Progress in Bioimaging and Targeted Therapy)
Show Figures

Figure 1

32 pages, 4331 KB  
Article
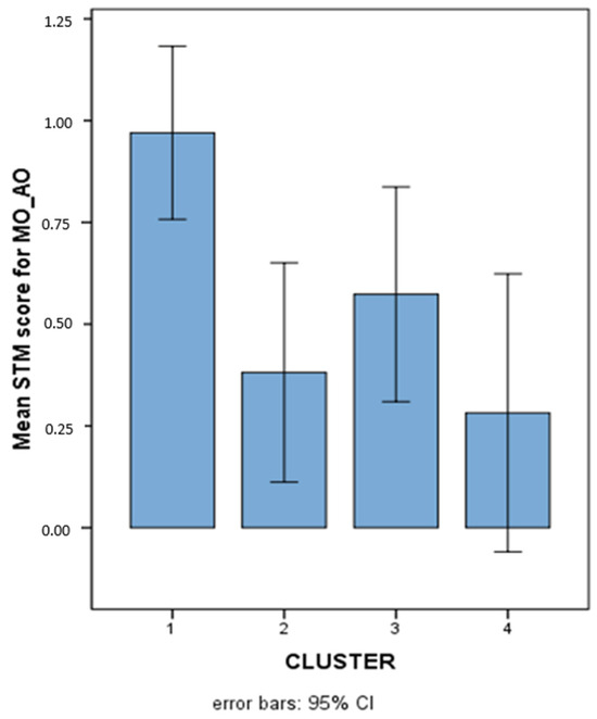
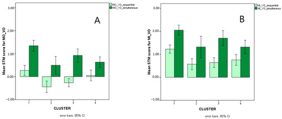
STM-Suite, an Online Platform for the Assessment of Memory Functions Discriminates among Subgroups of Children with Different Types of Specific Learning Disorders
by Marisa Giorgetti, Roberto Bombacigno, Alessio Toraldo and Maria Luisa Lorusso
Appl. Sci. 2024, 14(13), 5891; https://doi.org/10.3390/app14135891 - 5 Jul 2024
Cited by 1 | Viewed by 2063
Abstract
A deficit in short-term memory (STM) functions characterizes many neurodevelopmental disorders, in particular, specific learning disorders. Hence, there is a need to develop a web-based platform capable of testing specific variables and administration conditions in a controlled manner. The platform herein presented allows [...] Read more.
A deficit in short-term memory (STM) functions characterizes many neurodevelopmental disorders, in particular, specific learning disorders. Hence, there is a need to develop a web-based platform capable of testing specific variables and administration conditions in a controlled manner. The platform herein presented allows for the assessment of short-term memory (STM) items and order components in a series of different conditions. Stimulus types, presentation, and response modalities were appropriately selected to assess the impact of those variables on memory performances. The usefulness of such a systematic, fine-grained analysis of STM functions was tested by applying the complete assessment in a group of 100 school-age children (47 Typically Developing children and 53 children with learning disorders) and evaluating the capacity of the software to highlight different specific memory processes activated during reading, writing, and calculation. A cluster analysis was applied to the learning performances of the whole group, and a four-cluster solution representing the best division into subgroups of learning disorders (affecting reading, writing, and mathematical skills, variously combined) also showed clear-cut differences in the children’s STM profiles. This confirms the potential and the usefulness of the tool for the characterization of STM in school-age children. Full article
Show Figures

Figure 1

16 pages, 294 KB  
Review
A Review of Childhood Developmental Changes in Attention as Indexed in the Electrical Activity of the Brain
by Sirel Karakaş
Brain Sci. 2024, 14(5), 458; https://doi.org/10.3390/brainsci14050458 - 1 May 2024
Viewed by 3678
Abstract
This review aims to present age-related changes in the neuroelectric responses of typically developing children (TDC) who are presumed to meet developmental stages appropriately. The review is based on findings from the frequently used neuropsychological tasks of active attention, where attention is deliberately [...] Read more.
This review aims to present age-related changes in the neuroelectric responses of typically developing children (TDC) who are presumed to meet developmental stages appropriately. The review is based on findings from the frequently used neuropsychological tasks of active attention, where attention is deliberately focused versus passive attention where attention is drawn to a stimulus, facilitatory attention, which enhances the processing of a stimulus versus inhibitory attention, which suppresses the processing of a stimulus. The review discusses the early and late stages of attentional selectivity that correspond to early and late information processing. Age-related changes in early attentional selectivity were quantitatively represented in latencies of the event-related potential (ERP) components. Age-related changes in late attentional selectivity are also qualitatively represented by structural and functional reorganization of attentional processing and the brain areas involved. The purely bottom-up or top-down processing is challenged with age-related findings on difficult tasks that ensure a high cognitive load. TDC findings on brain oscillatory activity are enriched by findings from attention deficit hyperactivity disorder (ADHD). The transition from the low to fast oscillations in TDC and ADHD confirmed the maturational lag hypothesis. The deviant topographical localization of the oscillations confirmed the maturational deviance model. The gamma-based match and utilization model integrates all levels of attentional processing. According to these findings and theoretical formulations, brain oscillations can potentially display the human brain’s wholistic–integrative functions. Full article
16 pages, 2868 KB  
Article
A System Biology Approach Reveals New Targets for Human Thyroid Gland Toxicity in Embryos and Adult Individuals
by Jeane Maria Oliveira, Jamilli Zenzeluk, Caroline Serrano-Nascimento, Marco Aurelio Romano and Renata Marino Romano
Metabolites 2024, 14(4), 226; https://doi.org/10.3390/metabo14040226 - 16 Apr 2024
Cited by 1 | Viewed by 2656
Abstract
Compounds of natural or synthetic origin present in personal care products, food additives, and packaging may interfere with hormonal regulation and are called endocrine-disrupting chemicals (EDCs). The thyroid gland is an important target of these compounds. The objective of this study was to [...] Read more.
Compounds of natural or synthetic origin present in personal care products, food additives, and packaging may interfere with hormonal regulation and are called endocrine-disrupting chemicals (EDCs). The thyroid gland is an important target of these compounds. The objective of this study was to analyze public data on the human thyroid transcriptome and investigate potential new targets of EDCs in the embryonic and adult thyroid glands. We compared the public transcriptome data of adult and embryonic human thyroid glands and selected 100 up- or downregulated genes that were subsequently subjected to functional enrichment analysis. In the embryonic thyroid, the most highly expressed gene was PRMT6, which methylates arginine-4 of histone H2A (86.21%), and the downregulated clusters included plasma lipoprotein particles (39.24%) and endopeptidase inhibitory activity (24.05%). For the adult thyroid gland, the most highly expressed genes were related to the following categories: metallothionein-binding metals (56.67%), steroid hormone biosynthetic process (16.67%), and cellular response to vascular endothelial growth factor stimulus (6.67%). Several compounds ranging from antihypertensive drugs to enzyme inhibitors were identified as potentially harmful to thyroid gland development and adult function. Full article
(This article belongs to the Special Issue Effects of Chemical Exposure on Endocrine and Reproductive Functions)
Show Figures

Graphical abstract

15 pages, 3613 KB  
Article
Comparative Transcriptomics Analysis Reveals the Differences in Transcription between Resistant and Susceptible Pepper (Capsicum annuum L.) Varieties in Response to Anthracnose
by Yixin Wang, Bin Chen, Chunyuan Cheng, Bingkun Fu, Meixia Qi, Heshan Du, Sansheng Geng and Xiaofen Zhang
Plants 2024, 13(4), 527; https://doi.org/10.3390/plants13040527 - 15 Feb 2024
Cited by 7 | Viewed by 3031
Abstract
Pepper (Capsicum annuum L.) is a herbaceous plant species in the family Solanaceae. Capsicum anthracnose is caused by the genus Colletotrichum. spp., which decreases pepper production by about 50% each year due to anthracnose. In this study, we evaluated the resistance [...] Read more.
Pepper (Capsicum annuum L.) is a herbaceous plant species in the family Solanaceae. Capsicum anthracnose is caused by the genus Colletotrichum. spp., which decreases pepper production by about 50% each year due to anthracnose. In this study, we evaluated the resistance of red ripe fruits from 17 pepper varieties against anthracnose fungus Colletotrichum capsici. We assessed the size of the lesion diameter and conducted significance analysis to identify the resistant variety of B158 and susceptible variety of B161. We selected a resistant cultivar B158 and a susceptible cultivar B161 of pepper and used a transcription to investigate the molecular mechanisms underlying the plant’s resistance to C. capsici, of which little is known. The inoculated fruit from these two varieties were used for the comparative transcription analysis, which revealed the anthracnose-induced differential transcription in the resistant and susceptible pepper samples. In the environment of an anthrax infection, we found that there were more differentially expressed genes in resistant varieties compared to susceptible varieties. Moreover, the response to stimulus and stress ability was stronger in the KANG. The transcription analysis revealed the activation of plant hormone signaling pathways, phenylpropanoid synthesis, and metabolic processes in the defense response of peppers against anthracnose. In addition, ARR-B, AP2-EREBP, bHLH, WRKY, and NAC are associated with disease resistance to anthracnose. Notably, WRKY and NAC were found to have a potentially positive regulatory role in the defense response against anthracnose. These findings contribute to a more comprehensive understanding of the resistance mechanisms of red pepper fruit to anthracnose infection, providing valuable molecular insights for further research on the resistance mechanisms and genetic regulations during this developmental stage of pepper. Full article
Show Figures

Figure 1

12 pages, 646 KB  
Article
Efficient Single Nucleotide Polymorphism Marker-Assisted Selection to Fusarium Wilt in Chickpea
by Patricia Castro, Cristina Caballo, Alejandro Carmona, Teresa Millan, Juan Gil, José V. Die, Inmaculada Izquierdo and Josefa Rubio
Plants 2024, 13(3), 436; https://doi.org/10.3390/plants13030436 - 1 Feb 2024
Cited by 1 | Viewed by 1950
Abstract
Fusarium wilt is one of the most destructive chickpea diseases worldwide. Race 5 (Foc5) is the most harmful in the Mediterranean basin. The primary objective of this study is to validate a block of six SNP markers previously mapped in Ca2 in a [...] Read more.
Fusarium wilt is one of the most destructive chickpea diseases worldwide. Race 5 (Foc5) is the most harmful in the Mediterranean basin. The primary objective of this study is to validate a block of six SNP markers previously mapped in Ca2 in a diverse panel of cultivars, advanced and inbred lines phenotyped for resistance to fusarium wilt. Additionally, we aim to assess the effectiveness of using these markers in the selection of resistant Foc5 lines in an ongoing breeding program. The results showed a 100% coincidence between phenotype and expected haplotype in plant material evaluated for Foc5. We also analyzed 67 inbred lines previously phenotyped by different authors for fusarium wilt reaction, though the specific race was not specified. In these accessions, 65.8% of the analyzed lines exhibited complete correspondence between the phenotype and haplotype. Our results suggest that in early generations it is possible to select resistant materials with reliability, leading to the removal of a significant number of lines, thereby reducing costs and facilitating the handling of materials for additional trait evaluations. Functional annotation of genes delimited by the SNP block revealed several genes in the “response to stimulus” category with potential roles in the resistance reaction. Full article
(This article belongs to the Special Issue Advances in Legume Crops Research)
Show Figures

Figure 1

Back to TopTop