STM-Suite, an Online Platform for the Assessment of Memory Functions Discriminates among Subgroups of Children with Different Types of Specific Learning Disorders
Abstract
1. Introduction
2. Assessment of Item and Serial Order Memory
3. Methods
3.1. Participants
3.2. Materials and Procedures
3.2.1. Standardized Learning Tasks
- i.
- Mental calculation: the children were asked to perform mental addition and subtraction calculations below 10, orally presented.
- ii.
- Multiplications: the children were asked to solve simple calculations verbally. The items consist of Multiplication Tables (e.g., 7 × 4, 8 × 3), orally presented.
- iii.
- Counting backwards: the children were asked to count backwards aloud from 100 to 50.
- iv.
- Number writing: the children were asked to write dictated numbers in Arabic form on a sheet of paper. The numbers could be 2 to 4 digits long.
- v.
- Number reading: the children were asked to read aloud three or four lists of numbers (the same used in the number writing subtest) depending on grade.
3.2.2. The Web-Based Assessment Platform “STM Suite”
4. Data Analysis
5. Results
Cluster Analysis
6. Discussion
7. Conclusions
Supplementary Materials
Author Contributions
Funding
Institutional Review Board Statement
Informed Consent Statement
Data Availability Statement
Conflicts of Interest
Appendix A
- 1.
- Computation of Short-Term Memory (STM) scores.

- 2.
- Validation of the imputation criteria for STM scores.
- 3.
- Normalizing transformations for the STM indices.


| Variable | Skewness |
|---|---|
| MI_VO | 0.377 |
| MI_AV | 0.433 |
| MI_VV | 0.02 |
| MI_AO | −0.09 |
| MO_VO | 0.489 |
| MO_AV | 0.95 |
| MO_VV | 0.159 |
| MO_AO | 0.467 |
- 4.
- Reliability of the eight overall STM scores.
| MO_VO | MO_AV | MO_VV | MO_AO | MI_VO | MI_AV | MI_VV | MI_AO | Max | ||
|---|---|---|---|---|---|---|---|---|---|---|
| MO_VO | 0.739 | 0.778 | 0.612 | 0.918 | 0.728 | 0.708 | 0.637 | MO_VO | 0.778 | |
| MO_AV | 0.739 | 0.695 | 0.585 | 0.673 | 0.798 | 0.637 | 0.620 | MO_AV | 0.739 | |
| MO_VV | 0.778 | 0.695 | 0.566 | 0.728 | 0.721 | 0.887 | 0.611 | MO_VV | 0.778 | |
| MO_AO | 0.612 | 0.585 | 0.566 | 0.614 | 0.593 | 0.525 | 0.808 | MO_AO | 0.612 | |
| MI_VO | 0.918 | 0.673 | 0.728 | 0.614 | 0.739 | 0.728 | 0.675 | MI_VO | 0.739 | |
| MI_AV | 0.728 | 0.798 | 0.721 | 0.593 | 0.739 | 0.723 | 0.687 | MI_AV | 0.739 | |
| MI_VV | 0.708 | 0.637 | 0.887 | 0.525 | 0.728 | 0.723 | 0.599 | MI_VV | 0.728 | |
| MI_AO | 0.637 | 0.620 | 0.611 | 0.808 | 0.675 | 0.687 | 0.599 | MI_AO | 0.687 |
References
- Jonides, J.; Lewis, R.L.; Nee, D.E.; Lustig, C.A.; Berman, M.G.; Moore, K.S. The Mind and Brain of Short-Term Memory. Annu. Rev. Psychol. 2008, 59, 193–224. [Google Scholar] [CrossRef] [PubMed]
- Hardt, O.; Nader, K.; Nadel, L. Decay Happens: The Role of Active Forgetting in Memory. Trends Cogn. Sci. 2013, 17, 111–120. [Google Scholar] [CrossRef] [PubMed]
- Berman, M.G.; Jonides, J.; Lewis, R.L. In Search of Decay in Verbal Short-Term Memory. J. Exp. Psychol. Learn. Mem. Cogn. 2009, 35, 317–333. [Google Scholar] [CrossRef] [PubMed]
- Cowan, N. The Many Faces of Working Memory and Short-Term Storage. Psychon. Bull. Rev. 2017, 24, 1158–1170. [Google Scholar] [CrossRef] [PubMed]
- Baddeley, A.D.; Hitch, G. Working Memory. In Psychology of Learning and Motivation; Academic Press: New York, NY, USA, 1974; Volume 8, pp. 47–89. [Google Scholar]
- Baddeley, A.D. Working Memory; Oxford University Press: Oxford, UK, 1986. [Google Scholar]
- Cowan, N. Working Memory Capacity; Hove, E.S., Ed.; Psychology Press: London, UK, 2005. [Google Scholar]
- Kane, M.J.; Engle, R.W. The Role of Prefrontal Cortex in Working-Memory Capacity, Executive Attention, and General Fluid Intelligence: An Individual-Differences Perspective. Psychon. Bull. Rev. 2002, 9, 637–671. [Google Scholar] [CrossRef] [PubMed]
- Klingberg, T.; Forssberg, H.; Westerberg, H. Increased Brain Activity in Frontal and Parietal Cortex Underlies the Development of Visuospatial Working Memory Capacity during Childhood. J. Cogn. Neurosci. 2002, 14, 1–10. [Google Scholar] [CrossRef] [PubMed]
- Cowan, N.; Elliott, E.M.; Saults, S.J.; Morey, C.C.; Mattox, S.; Hismjatullina, A.; Conway, A.R.A. On the Capacity of Attention: Its Estimation and Its Role in Working Memory and Cognitive Aptitudes. Cogn. Psychol. 2005, 51, 42–100. [Google Scholar] [CrossRef] [PubMed]
- Engle, R.W. Working Memory Capacity as Executive Attention. Curr. Dir. Psychol. Sci. 2002, 11, 19–23. [Google Scholar] [CrossRef]
- Kane, M.J.; Conway, A.R.A.; Hambrick, D.Z.; Engle, R.W. Variation in Working Memory Capacity as Variation in Executive Attention and Control. Var. Work. Mem. 2012, 1, 21–48. [Google Scholar] [CrossRef]
- Cowan, N. Chapter 20 What Are the Differences between Long-Term, Short-Term, and Working Memory? Prog. Brain Res. 2008, 169, 323–338. [Google Scholar] [PubMed]
- Wager, T.D.; Smith, E.E. Neuroimaging Studies of Working Memory: A Meta-Analysis. Cogn. Affect. Behav. Neurosci. 2003, 3, 255–274. [Google Scholar] [CrossRef] [PubMed]
- Todd, J.J.; Marois, R. Capacity Limit of Visual Short-Term Memory in Human Posterior Parietal Cortex. Nature 2004, 428, 751–754. [Google Scholar] [CrossRef] [PubMed]
- Bettencourt, K.C.; Xu, Y. Decoding the Content of Visual Short-Term Memory under Distraction in Occipital and Parietal Areas. Nat. Neurosci. 2015, 19, 150–157. [Google Scholar] [CrossRef] [PubMed]
- Majerus, S.; D’Argembeau, A.; Perez, T.M.; Belayachi, S.; Van Der Linden, M.; Collette, F.; Salmon, E.; Seurinck, R.; Fias, W.; Maquet, P. The Commonality of Neural Networks for Verbal and Visual Short-Term Memory. J. Cogn. Neurosci. 2010, 22, 2570–2593. [Google Scholar] [CrossRef] [PubMed]
- Martinez Perez, T.; Majerus, S.; Poncelet, M. The Contribution of Short-Term Memory for Serial Order to Early Reading Acquisition: Evidence from a Longitudinal Study. J. Exp. Child Psychol. 2012, 111, 708–723. [Google Scholar] [CrossRef] [PubMed]
- Henson, R.; Hartley, T.; Burgess, N.; Hitch, G.; Flude, B. Selective Interference with Verbal Short-Term Memory for Serial Order Information: A New Paradigm and Tests of a Timing-Signal Hypothesis. Q. J. Exp. Psychol. Sect. A Hum. Exp. Psychol. 2003, 56, 1307–1334. [Google Scholar] [CrossRef] [PubMed]
- Hurlstone, M.J.; Hitch, G.J.; Baddeley, A.D. Memory for Serial Order across Domains: An Overview of the Literature and Directions for Future Research. Psychol. Bull. 2014, 140, 339–373. [Google Scholar] [CrossRef] [PubMed]
- Hachmann, W.M.; Cashdollar, N.; Postiglione, F.; Job, R. The relationship of domain-general serial order memory and reading ability in school children with and without dyslexia. J. Exp. Child Psychol. 2020, 193, 104789. [Google Scholar] [CrossRef] [PubMed]
- Ward, G.; Tan, L.; Grenfell-Essam, R. Examining the Relationship between Free Recall and Immediate Serial Recall: The Effects of List Length and Output Order. J. Exp. Psychol. Learn. Mem. Cogn. 2010, 36, 1207–1241. [Google Scholar] [CrossRef] [PubMed]
- Bhatarah, P.; Ward, G.; Tan, L. Examining the Relationship between Free Recall and Immediate Serial Recall: The Serial Nature of Recall and the Effect of Test Expectancy. Mem. Cognit. 2008, 36, 20–34. [Google Scholar] [CrossRef] [PubMed][Green Version]
- Guidali, G.; Pisoni, A.; Bolognini, N.; Papagno, C. Keeping Order in the Brain: The Supramarginal Gyrus and Serial Order in Short-Term Memory. Cortex 2019, 119, 89–99. [Google Scholar] [CrossRef] [PubMed]
- Majerus, S. Verbal Working Memory and the Phonological Buffer: The Question of Serial Order. Cortex 2019, 112, 122–133. [Google Scholar] [CrossRef] [PubMed]
- Baddeley, A.D.; Logie, R.H. Working Memory: The Multicomponent Model. In Models of Working Memory: Mechanisms of Active Maintenance and Executive Control; Cambridge University Press: Cambridge, UK, 1999. [Google Scholar]
- Burgess, G.C.; Braver, T.S. Neural Mechanisms of Interference Control in Working Memory: Effects of Interference Expectancy and Fluid Intelligence. PLoS ONE 2010, 5, e12861. [Google Scholar] [CrossRef] [PubMed]
- Hornung, C.; Brunner, M.; Reuter, R.A.P.; Martin, R. Children’s Working Memory: Its Structure and Relationship to Fluid Intelligence. Intelligence 2011, 39, 210–221. [Google Scholar] [CrossRef]
- Archibald, L.M.D.; Gathercole, S.E. Visuospatial Immediate Memory in Specific Language Impairment. J. Speech Lang. Hear. Res. 2006, 49, 265–277. [Google Scholar] [CrossRef]
- Archibald, L.M.D.; Gathercole, S.E. The Complexities of Complex Memory Span: Storage and Processing Deficits in Specific Language Impairment. J. Mem. Lang. 2007, 57, 177–194. [Google Scholar] [CrossRef]
- Borella, E.; Carretti, B.; Pelegrina, S. The Specific Role of Inhibition in Reading Comprehension in Good and Poor Comprehenders. J. Learn. Disabil. 2010, 43, 541–552. [Google Scholar] [CrossRef] [PubMed]
- Alloway, T.P.; Gathercole, S.E.; Pickering, S.J. Verbal and Visuospatial Short-Term and Working Memory in Children: Are They Separable? Child Dev. 2006, 77, 1698–1716. [Google Scholar] [CrossRef] [PubMed]
- Swanson, H.L.; Zheng, X.; Jerman, O. Working Memory, Short-Term Memory, and Reading Disabilities: A Selective Meta-Analysis of the Literature. J. Learn. Disabil. 2009, 42, 260–287. [Google Scholar] [CrossRef]
- Swanson, H.L.; Zheng, X. Memory Difficulties in Children and Adults with Learning Disabilities. In Handbook of Learning Disabilities, 2nd ed.; The Guilford Press: New York, NY, USA, 2014. [Google Scholar]
- Leclercq, A.L.; Majerus, S. Serial-Order Short-Term Memory Predicts Vocabulary Development: Evidence from a Longitudinal Study. Dev. Psychol. 2010, 46, 417–427. [Google Scholar] [CrossRef] [PubMed]
- Majerus, S.; Boukebza, C. Short-Term Memory for Serial Order Supports Vocabulary Development: New Evidence from a Novel Word Learning Paradigm. J. Exp. Child Psychol. 2013, 116, 811–828. [Google Scholar] [CrossRef] [PubMed]
- Gathercole, S.E. Nonword Repetition and Word Learning: The Nature of the Relationship. Appl. Psycholinguist. 2006, 27, 513–543. [Google Scholar] [CrossRef]
- Martin, K.I.; Ellis, N.C. The Roles of Phonological Short-Term Memory and Working Memory in L2 Grammar and Vocabulary Learning. Stud. Second. Lang. Acquis. 2012, 34, 379–413. [Google Scholar] [CrossRef]
- French, L.M.; O’Brien, I. Phonological Memory and Children’s Second Language Grammar Learning. Appl. Psycholinguist. 2008, 29, 463–487. [Google Scholar] [CrossRef]
- Majerus, S.; Cowan, N. The Nature of Verbal Short-Term Impairment in Dyslexia: The Importance of Serial Order. Front. Psychol. 2016, 7, 1522. [Google Scholar] [CrossRef] [PubMed]
- Coltheart, M. What Kinds of Things Cause Children’s Reading Difficulties? Aust. J. Learn. Diffic. 2015, 20, 103–112. [Google Scholar] [CrossRef]
- Zoccolotti, P.; De Luca, M.; Marinelli, C.V.; Spinelli, D. Predicting Individual Differences in Reading, Spelling and Maths in a Sample of Typically Developing Children: A Study in the Perspective of Comorbidity. PLoS ONE 2020, 15, e0231937. [Google Scholar] [CrossRef] [PubMed]
- Agostini, F.; Zoccolotti, P.; Casagrande, M. Domain-General Cognitive Skills in Children with Mathematical Difficulties and Dyscalculia: A Systematic Review of the Literature. Brain Sci. 2022, 12, 239. [Google Scholar] [CrossRef]
- Landerl, K.; Fussenegger, B.; Moll, K.; Willburger, E. Dyslexia and Dyscalculia: Two Learning Disorders with Different Cognitive Profiles. J. Exp. Child. Psychol. 2009, 103, 309–324. [Google Scholar] [CrossRef]
- Rubinsten, O.; Henik, A. Double Dissociation of Functions in Developmental Dyslexia and Dyscalculia. J. Educ. Psychol. 2006, 98, 854–867. [Google Scholar] [CrossRef]
- Ashkenazi, S.; Rubinsten, O.; Henik, A. Attention, automaticity, and developmental dyscalculia. Neuropsychology 2009, 23, 535. [Google Scholar] [CrossRef] [PubMed]
- Baddeley, A.D.; Thomson, N.; Buchanan, M. Word Length and the Structure of Short-Term Memory. J. Verbal Learn. Verbal Behav. 1975, 14, 575–589. [Google Scholar] [CrossRef]
- Hulme, C.; Maughan, S.; Brown, G.D.A. Memory for Familiar and Unfamiliar Words: Evidence for a Long-Term Memory Contribution to Short-Term Memory Span. J. Mem. Lang. 1991, 30, 685–701. [Google Scholar] [CrossRef]
- Baddeley, A.; Lewis, V.; Vallar, G. Exploring the Articulatory Loop. Q. J. Exp. Psychol. Sect. A 1984, 36, 233–252. [Google Scholar] [CrossRef]
- Murray, D.J. Articulation and Acoustic Confusability in Short-Term Memory. J. Exp. Psychol. 1968, 78, 679–684. [Google Scholar] [CrossRef]
- Giorgetti, M.; Lorusso, M.L. Specific Conditions for a Selective Deficit in Memory for Order in Children with Dyslexia. Child Neuropsychol. 2019, 25, 742–771. [Google Scholar] [CrossRef] [PubMed]
- Wechsler, D. Wechsler Intelligence Scale for Children, 5th ed.; NCS Pearson: Toronto, ON, Candida, 2014. [Google Scholar]
- Reynolds, M.R.; Keith, T.Z. Multi-Group and Hierarchical Confirmatory Factor Analysis of the Wechsler Intelligence Scale for Children—Fifth Edition: What Does It Measure? Intelligence 2017, 62, 31–47. [Google Scholar] [CrossRef]
- Reynolds, C.R.; Voress, J.K. Test of Memory and Learning (TOMAL 2), 2nd ed.; Pro-Ed.: Austin, TX, USA, 2007. [Google Scholar]
- Schmitt, A.J.; Decker, S.L. Test Reviews: Reynolds, C., & Voress, J.K. (2007). Test of Memory and Learning: Second Edition. Austin, TX: PRO-ED. J. Psychoeduc. Assess. 2009, 27, 157–166. [Google Scholar] [CrossRef]
- Mammarella, I.C.; Toso, C.; Pazzaglia, F.; Cornoldi, C. BVS-Corsi—Batteria per La Valutazione Della Memoria Visiva e Spaziale; [Bvs-Corsi—Battery for the Evaluation of Spatial and Visual Memory]; Edizioni Erickson: Trento, Italy, 2008. [Google Scholar]
- Cornoldi, C.; Vecchi, T. Visuo-Spatial Working Memory and Individual Differences; Psychology Press: London, UK, 2003; ISBN 9781135431228. [Google Scholar]
- Vicari, S. PROMEA: Prove Di Memoria e Apprendimento per l’Età Evolutiva: Manuale; Giunti O.S. Organizzazioni Speciali: Firenze, Italy, 2007. [Google Scholar]
- Horowitz-Kraus, T.; Breznitz, Z. Can the Error Detection Mechanism Benefit from Training the Working Memory? A Comparison between Dyslexics and Controls—An ERP Study. PLoS ONE 2009, 4, e7141. [Google Scholar] [CrossRef]
- Schurgin, M.W. Visual Memory, the Long and the Short of It: A Review of Visual Working Memory and Long-Term Memory. Atten. Percept. Psychophys. 2018, 80, 1035–1056. [Google Scholar] [CrossRef] [PubMed]
- Reema; King, T.Z.; Morris, R.; Na, S. Hippocampal Volume and Auditory Attention on a Verbal Memory Task with Adult Survivors of Pediatric Brain Tumor. Neuropsychology 2015, 29, 303. [Google Scholar]
- Olton, D.S. Characteristics of Spatial Memory. In Cognitive Processes in Animal Behavior; Routledge: London, UK, 2018; pp. 341–373. [Google Scholar]
- Coltheart, M. Iconic Memory and Visible Persistence. Percept. Psychophys. 1980, 27, 183–228. [Google Scholar] [CrossRef] [PubMed]
- Korkman, M.; Kirk, U.; Kemp, S. NEPSY-Second Edition (NEPSY-II); Harcourt Assessment: San Antonio, TX, USA, 2007. [Google Scholar]
- Sherman, E.M.S.; Brooks, B.L. Child and Adolescent Memory Profile (ChAMP); Psychological Assessment Resources, Inc.: Lutz, FL, USA, 2015. [Google Scholar]
- Cohen, M.J. CMS-Children’s Memory Scale Manual; Harcourt Brace & Company: San Antonio, TX, USA, 1997. [Google Scholar]
- Adams, W.; Sheslow, D. Wide Range Assessment of Memory and Learning, 3rd ed.; WRAML3; NCS Pearson: Toronto, ON, Canada, 2021. [Google Scholar]
- Alloway, T.P. Automated Working Memory Assessment-II (AWMA-II); Pearson Assessment: London, UK, 2012. [Google Scholar]
- Sartori, G.; Job, R.; Tressoldi, P.E. Batteria per la Valutazione della Dislessia e Della Disortografia Evolutiva: Manuale; [Battery for the Assessment of Developmental Dyslexia and Dysorthographia]; Giunti OS: Firenze, Italy, 1995. [Google Scholar]
- Sartori, G.; Job, R.; Tressoldi, P. DDE-2, Batteria per La Valutazione Della Dislessia e Della Disortografia Evolutiva-2; [Battery for the Assessment of Developmental Dyslexi a and Dysorthographia]; Giunti, O.S.: Firenze, Italy, 2007. [Google Scholar]
- Biancardi, A.; Nicoletti, C. BDE, Batteria per La Valutazione Della Discalculia Evolutiva; [Developmental Dyscalculia Battery: Test for Diagnosing Numerical Processing and Calculation Disorders in Childhood—8–13 y.o.]; Centro Studi Erickson: Torino, Italy, 2004. [Google Scholar]
- Jones, G.; Macken, B. Questioning Short-Term Memory and Its Measurement: Why Digit Span Measures Long-Term Associative Learning. Cognition 2015, 144, 1–13. [Google Scholar] [CrossRef] [PubMed]
- Puzicha, J.; Hofmann, T.; Buhmann, J.M. A Theory of Proximity Based Clustering: Structure Detection by Optimization. Pattern Recognit. 2000, 33, 617–634. [Google Scholar] [CrossRef]
- Yim, O.; Ramdeen, K.T. Hierarchical Cluster Analysis: Comparison of Three Linkage Measures and Application to Psychological Data. Quant. Methods Psychol. 2015, 11, 8–21. [Google Scholar] [CrossRef]
- Morsanyi, K.; van Bers, B.M.C.W.; McCormack, T.; McGourty, J. The Prevalence of Specific Learning Disorder in Mathematics and Comorbidity with Other Developmental Disorders in Primary School-Age Children. Br. J. Psychol. 2018, 109, 917–940. [Google Scholar] [CrossRef] [PubMed]
- Willcutt, E.G.; Petrill, S.A.; Wu, S.; Boada, R.; DeFries, J.C.; Olson, R.K.; Pennington, B.F. Comorbidity Between Reading Disability and Math Disability: Concurrent Psychopathology, Functional Impairment, and Neuropsychological Functioning. J. Learn. Disabil. 2013, 46, 500–516. [Google Scholar] [CrossRef] [PubMed]
- Lopes-Silva, J.B.; Moura, R.; Júlio-Costa, A.; Wood, G.; Salles, J.F.; Haase, V.G. What Is Specific and What Is Shared Between Numbers and Words? Front. Psychol. 2016, 7, 22. [Google Scholar] [CrossRef] [PubMed]
- Barrouillet, P.; Camos, V.; Perruchet, P.; Seron, X. ADAPT: A Developmental, Asemantic, and Procedural Model for Transcoding From Verbal to Arabic Numerals. Psychol. Rev. 2004, 111, 368–394. [Google Scholar] [CrossRef]
- Ashkenazi, S.; Black, J.M.; Abrams, D.A.; Hoeft, F.; Menon, V. Neurobiological Underpinnings of Math and Reading Learning Disabilities. J. Learn. Disabil. 2013, 46, 549–569. [Google Scholar] [CrossRef] [PubMed]
- Melby-Lervåg, M.; Lyster, S.A.H.; Hulme, C. Phonological Skills and Their Role in Learning to Read: A Meta-Analytic Review. Psychol. Bull. 2012, 138, 322–352. [Google Scholar] [CrossRef]
- Swanson, H.L.; Jerman, O. Xinhua Zheng Math Disabilities and Reading Disabilities. J. Psychoeduc. Assess. 2009, 27, 175–196. [Google Scholar] [CrossRef]
- Peng, P.; Fuchs, D. A Meta-Analysis of Working Memory Deficits in Children with Learning Difficulties: Is There a Difference Between Verbal Domain and Numerical Domain? J. Learn. Disabil. 2016, 49, 3–20. [Google Scholar] [CrossRef] [PubMed]
- Pellegrino, J.W.; Siegel, A.W.; Dhawan, M. Short-Term Retention of Pictures and Words: Evidence for Dual Coding Systems. J. Exp. Psychol. Hum. Learn. 1975, 1, 95–102. [Google Scholar] [CrossRef]
- Ternes, W.; Yuille, J.C. Words and Pictures in an STM Task. J. Exp. Psychol. 1972, 96, 78–86. [Google Scholar] [CrossRef]
- Roberson, D.; Davidoff, J. The Categorical Perception of Colors and Facial Expressions: The Effect of Verbal Interference. Mem. Cognit 2000, 28, 977–986. [Google Scholar] [CrossRef] [PubMed]
- Pilling, M.; Wiggett, A.; Özgen, E.; Davies, I.R.L. Is Color “Categorical Perception” Really Perceptual? Mem. Cognit 2003, 31, 538–551. [Google Scholar] [CrossRef] [PubMed]
- Lupyan, G. Linguistically Modulated Perception and Cognition: The Label-Feedback Hypothesis. Front. Psychol. 2012, 3, 54. [Google Scholar] [CrossRef] [PubMed]
- Romani, C.; Tsouknida, E.; Olson, A. Encoding Order and Developmental Dyslexia: A Family of Skills Predicting Different Orthographic Components. Q. J. Exp. Psychol. 2015, 68, 99–128. [Google Scholar] [CrossRef] [PubMed]
- Adams, J.W.; Hitch, G.J. Children’s Mental Arithmetic and Working Memory. In The Development of Mathematical Skills; Taylor & Francis Group: London, UK, 1999. [Google Scholar]
- Noel, M.-P.; Fias, W.; Brysbaert, M. About the Influence of the Presentation Format on Arithmetical-Fact Retrieval Processes. Cognition 1997, 63, 335–374. [Google Scholar] [CrossRef]
- Bakker, D.J. Treatment of Developmental Dyslexia: A Review. Pediatr. Rehabil. 2006, 9, 3–13. [Google Scholar] [CrossRef] [PubMed]
- Shany, M.; Share, D.L. Subtypes of Reading Disability in a Shallow Orthography: A Double Dissociation between Accuracy-Disabled and Rate-Disabled Readers of Hebrew. Ann. Dyslexia 2011, 61, 64–84. [Google Scholar] [CrossRef]
- Licht, R. Reading Disability Subtypes: Cognitive and Electrophysiological Differences. In Learning Disabilities; Swets & Zeitlinger Ed.: Lisse, The Netherlands, 1989; Volume 1, pp. 81–103. [Google Scholar]
- Licht, R.; van Onna, J. Differences in Components of Word Recognition between P- and L-Type Reading Disability. In Developmental and Acquired Dyslexia: Neuropsychological and Neurolinguistic Perspectives; Springer: Dordrecht, The Netherlands, 1995; pp. 41–50. [Google Scholar]
- Brosnan, M.; Demetre, J.; Hamill, S.; Robson, K.; Shepherd, H.; Cody, G. Executive Functioning in Adults and Children with Developmental Dyslexia. Neuropsychologia 2002, 40, 2144–2155. [Google Scholar] [CrossRef] [PubMed]
- Cassim, R.; Talcott, J.B.; Moores, E. Adults with Dyslexia Demonstrate Large Effects of Crowding and Detrimental Effects of Distractors in a Visual Tilt Discrimination Task. PLoS ONE 2014, 9, e106191. [Google Scholar] [CrossRef] [PubMed]
- Facoetti, A.; Paganoni, P.; Lorusso, M. The spatial distribution of visual attention in developmental dyslexia. Exp. Brain Res. 2000, 132, 531–538. [Google Scholar] [CrossRef]
- Norris, D.G.; Hall, J.; Gathercole, S.E. Can Short-Term Memory Be Trained? Mem. Cognit. 2019, 47, 1012–1023. [Google Scholar] [CrossRef] [PubMed]
- Melby-Lervåg, M.; Hulme, C. Is Working Memory Training Effective? A Meta-Analytic Review. Dev. Psychol. 2013, 49, 270–291. [Google Scholar] [CrossRef] [PubMed]
- Melby-Lervåg, M.; Redick, T.S.; Hulme, C. Working Memory Training Does Not Improve Performance on Measures of Intelligence or Other Measures of “Far Transfer”: Evidence From a Meta-Analytic Review. Perspect. Psychol. Sci. 2016, 11, 512–534. [Google Scholar] [CrossRef] [PubMed]
- Sala, G.; Gobet, F. Working Memory Training in Typically Developing Children: A Multilevel Meta-Analysis. Psychon. Bull. Rev. 2020, 27, 423–434. [Google Scholar] [CrossRef] [PubMed]
- Himi, S.A.; Stadler, M.; von Bastian, C.C.; Bühner, M.; Hilbert, S. Limits of Near Transfer: Content and Operation-Specific Effects of Working Memory Training. J. Exp. Psychol. Gen. 2022, 152, 1305–1333. [Google Scholar] [CrossRef] [PubMed]
- Cai, Y.; Yang, C.; Wang, S.; Xue, G. The Neural Mechanism Underlying Visual Working Memory Training and Its Limited Transfer Effect. J. Cogn. Neurosci. 2022, 34, 2082–2099. [Google Scholar] [CrossRef] [PubMed]
- Peijnenborgh, J.C.A.W.; Hurks, P.M.; Aldenkamp, A.P.; Vles, J.S.H.; Hendriksen, J.G.M. Efficacy of Working Memory Training in Children and Adolescents with Learning Disabilities: A Review Study and Meta-Analysis. Neuropsychol. Rehabil. 2016, 26, 645–672. [Google Scholar] [CrossRef] [PubMed]
- Alloway, T.P.; Bibile, V.; Lau, G. Computerized Working Memory Training: Can It Lead to Gains in Cognitive Skills in Students? Comput. Human. Behav. 2013, 29, 632–638. [Google Scholar] [CrossRef]
- Qi, X.; Fu, J.; Gu, Y.; Xue, G.; Cai, Y. The Nature of Visual Short-Term Memory Training Transfer: Evidence from A Systematical Transfer Test. PsychArchives 2024. [Google Scholar] [CrossRef]
- Pergher, V.; Au, J.; Alizadeh Shalchy, M.; Santarnecchi, E.; Seitz, A.; Jaeggi, S.M.; Battelli, L. The Benefits of Simultaneous TDCS and Working Memory Training on Transfer Outcomes: A Systematic Review and Meta-Analysis. Brain Stimul. 2022, 15, 1541–1551. [Google Scholar] [CrossRef] [PubMed]
- Grigorenko, E.L.; Compton, D.L.; Fuchs, L.S.; Wagner, R.K.; Willcutt, E.G.; Fletcher, J.M. Understanding, Educating, and Supporting Children with Specific Learning Disabilities: 50 Years of Science and Practice. Am. Psychol. 2020, 75, 37–51. [Google Scholar] [CrossRef]
- Gelman, A.; Hill, J. Data Analysis Using Regression and Multilevel/Hierarchical Models; Cambridge University Press: Cambridge, UK, 2006. [Google Scholar]
- McElreath, R. Statistical Rethinking A Bayesian Course with Examples in R and Stan, 1st ed.; Chapman and Hall/CRCL: New York, NY, USA, 2016. [Google Scholar]
- Vanbelle, S.; Lesaffre, E. Modeling Agreement on Bounded Scales. Stat. Methods Med. Res. 2018, 27, 3460–3477. [Google Scholar] [CrossRef] [PubMed]











| Test | STM Domain | Recall vs. Recognition | Presentation Modality | Sequential vs. Simultaneous Presentation | Separate Scores for Item and Order STM |
|---|---|---|---|---|---|
| WISC-V [52] | Verbal Visual | Recall Recognition | Auditory Visual | Sequential | No |
| TOMAL-2 [54] | Verbal Visual Spatial | Recall Recognition | Auditory Visual | Sequential Simultaneous | No |
| VSWM (Visual–Spatial Working Memory) [56] | Visual Spatial | Recall Recognition | Visual | Sequential Simultaneous | No |
| PROMEA [58] | Verbal Visual Spatial | Recall Recognition | Auditory Visual | Sequential | No |
| NEPSY- II [64] | Verbal Visual Spatial | Recall Recognition | Auditory Visual | Sequential Simultaneous | No |
| ChAMP™ Child and Adolescent Memory Profile [65] | Verbal Visual | Recall Recognition | Auditory Visual | Sequential | No |
| CMS—Children’s Memory Scale [66] | Verbal Visual Spatial | Recall Recognition | Auditory Visual | Sequential Simultaneous | No |
| WRAML3—Wide Range Assessment of Memory and Learning [67] | Verbal Visual | Recall Recognition | Auditory Visual | Sequential | No |
| Cantab | Verbal Visual Spatial | Recall Recognition | Visual | Sequential | No |
| AWMA-II—Automated Working Memory Assessment [68] | Verbal Visual Spatial | Recall Recognition | Auditory Visual | Sequential | No |
| CogniFit | Verbal Visual Sensory | Recall Recognition | Auditory Visual | Sequential | No |
| Memory Process | Stimulus | Presentation Modality | Input Modality | Output Modality | Distractors | Articulatory Suppression |
|---|---|---|---|---|---|---|
| Recall | Letters | Sequential | Visual | Visual–motor | With | With |
| Recognition | Colours | Simultaneous | Auditory | Oral response | Without | Without |
| Cluster | 1 | 2 | 3 | 4 | |||
|---|---|---|---|---|---|---|---|
| N. participants | 41 | 12 | 17 | 12 | |||
| Mean | Mean | Mean | Mean | F | p | Post hoc | |
| Re_Text_rate | 0.30 | −1.14 | −0.81 | −1.79 | 33.57 | <0.001 |
1 vs. 2, 3, 4 3 vs. 4 |
| Re_Text_errors | 0.43 | −1.95 | −0.41 | −1.30 | 17.81 | <0.001 | 1 vs. 2, 4 2 vs. 3 |
| Re_W_rate | 0.80 | −1.10 | −0.68 | −2.11 | 39.35 | <0.001 |
1 vs. 2, 3, 4 2 vs. 4 3 vs. 4 |
| Re_W_errors | 0.45 | −2.75 | −0.23 | −0.98 | 26.85 | <0.001 | 1 vs. 2, 4 2 vs. 3, 4 |
| Re_Nw_rate | 0.51 | −0.76 | −0.80 | −2.01 | 24.49 | <0.001 |
1 vs. 2, 3, 4 2 vs. 3, 4 3 vs. 4 |
| Re_Nw_errors | 0.36 | −1.92 | 0.23 | −0.07 | 21.50 | <0.001 | 1 vs. 2 2 vs. 3, 4 |
| Wr_W_errors | 0.20 | −0.96 | −0.21 | −2.46 | 7.72 | <0.001 | 1 vs. 4 |
| Wr_Nw_errors | 0.26 | 0.24 | −0.54 | 0.06 | 2.57 | n.s. | |
| Wr_Sent_errors | 0.18 | −0.97 | −0.21 | −1.79 | 7.34 | <0.001 | 1 vs. 4 3 vs. 4 |
| Re_Nu_errors | 0.17 | −0.72 | −0.96 | −0.49 | 4.41 | 0.01 | 1 vs. 2, 3 |
| Wr_Nu_errors | 0.62 | −0.59 | −1.60 | −0.55 | 12.87 | <0.001 | 1 vs. 2, 3, 4 2 vs. 3 3 vs. 4 |
| Counting_time | 0.16 | −0.11 | −1.55 | −1.23 | 11.00 | <0.001 |
1 vs. 3, 4 2 vs. 3, 4 |
| Ca_Ad-Subtr_errors | 0.21 | −1.21 | −1.09 | 0.04 | 8.25 | <0.001 |
1 vs. 2, 3 4 vs. 2, 3 |
| Ca_Mul_errors | 0.55 | −1.69 | −0.87 | −0.81 | 25.18 | <0.001 | 1 vs. 2, 3, 4 2 vs. 3, 4 |
| Variable | F (3,78) | p | Partial eta2 | Post hoc (Cluster) | p |
|---|---|---|---|---|---|
| MO_VV | 6.169 | 0.001 | 0.192 | 1 vs. 2 1 vs. 3 1 vs. 4 | 0.010 0.014 0.035 |
| MO_VO | 8.032 | <0.001 | 0.236 | 1 vs. 2 1 vs. 3 | <0.001 0.032 |
| MO_AV | 7.342 | <0.001 | 0.220 | 1 vs. 2 1 vs. 3 | 0.008 0.001 |
| MO_AO | 6.217 | 0.001 | 0.193 | 1 vs. 2 1 vs. 4 | 0.018 0.004 |
| MI_VV | 8.255 | <0.001 | 0.241 | nn | |
| MI_VO | 8.249 | <0.001 | 0.241 | 1 vs. 2 1 vs. 3 1 vs. 4 | 0.001 0.037 0.005 |
| MI_AV | 6.359 | 0.001 | 0.197 | 1 vs. 2 1 vs. 3 1 vs. 4 | <0.001 0.012 0.010 |
| MI_AO | 9.100 | <0.001 | 0.259 | 1 vs. 2 1 vs. 3 1 vs. 4 | 0.006 0.003 0.001 |
| Variable | Factor | Significant Interactions | F | p | Part. eta2 |
|---|---|---|---|---|---|
| MO_VV | Stimulus | Stim × cluster | F(3,78) = 7.683 | <0.001 | 0.228 |
| Presentation | |||||
| Distractors | |||||
| Suppression | |||||
| MO_VO | Stimulus | Stim × cluster | F(3,77) = 3.235 | 0.027 | 0.112 |
| Presentation | Pres × cluster | F(3,77) = 3.938 | 0.011 | 0.133 | |
| Suppression | Stim × sup × cluster | F(3,77) = 4.530 | 0.006 | 0.150 | |
| MO_AV | Stimulus | Stim × cluster | F(3,78) = 3.872 | 0.012 | 0.130 |
| Distractors | |||||
| MO_AO | Stimulus | -- | |||
| MI_VV | Stimulus | Stim × cluster | F(3,78) = 4.706 | 0.005 | 0.153 |
| Presentation | |||||
| Distractors | Distr × cluster | F(3,78) = 7.288 | <0.001 | 0.219 | |
| Suppression | |||||
| MI_VO | Stimulus | Stim × cluster | F(3,77) = 3.383 | 0.022 | 0.116 |
| Presentation | Pres × cluster | F(3,77) = 3.638 | 0.016 | 0.124 | |
| Suppression | |||||
| MI_AV | Stimulus | -- | |||
| Distractors | |||||
| MI_AO | Stimulus | -- |
| Variable | Factors | Interaction | Post hoc (Clusters) | p | Notes |
|---|---|---|---|---|---|
| MO_VV | Stimulus Presentation Distractors Suppression | Stim × cluster | Colours: ns Letters: 1 vs. 2 1 vs. 3 1 vs. 4 | 0.001 0.002 0.013 | Differences only for letters, TD vs. all SLD |
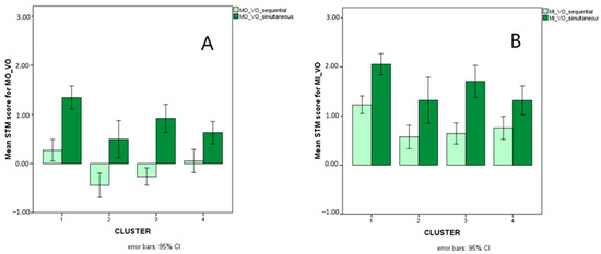
| MO_VO | Stimulus Presentation Suppression | Stim × cluster Pres × cluster Stim × sup × cluster | Colours: ns Letters: 1 vs. 2 1 vs. 3 1 vs. 4 Sequential: 1 vs. 2 1 vs. 3 Simultaneous: 1 vs. 2 1 vs. 4 Letters no AS: 1 vs. 2 1 vs. 3 1 vs.4 Letters with AS: 1 vs. 2 2 vs. 3 2 vs. 4 | <0.001 0.004 0.024 0.001 0.014 0.002 0.006 0.015 0.005 0.012 <0.001 0.028 0.012 | Differences only for letters, TD vs. all SLD Cluster 4 (RD + WD) < TD only with simultaneous presentation; Cluster 3 (MD) < TD only with sequential presentation; Cluster 2 (RD) < TD for both presentation modalities With letters and without AS, all SLD < TD; Cluster 2 (RD) < TD only with AS (and different from all other clusters) |
| MO_AV | Stimulus Distractors | Stim × cluster | Colours: ns Letters: 1 vs. 2 1 vs. 3 1 vs. 4 | 0.002 <0.001 0.024 | Differences only for letters, TD vs. all SLD |
| MI_VV | Stimulus Presentation Distractors Suppression | Stim × cluster Distr × cluster | Colours: ns Letters: 1 vs. 2 1 vs. 3 1 vs. 4 noDistr: ns with distractors: 1 vs. 2 1 vs. 3 1 vs. 4 | 0.007 0.022 0.032 0.003 0.007 0.003 | Differences only for letters and only with distractors, TD vs. all SLD |
| MI_VO | Stimulus Presentation Suppression | Stim × cluster Pres × cluster | Colours: ns Letters: 1 vs. 2 1 vs. 3 1 vs. 4 Sequential: 1 vs. 2 1 vs. 3 1 vs. 4 Simultaneous: 1 vs. 2 1 vs. 4 | <0.001 <0.001 0.002 0.001 0.001 0.024 0.005 0.005 | Differences only for letters (TD vs. all SLD) and more evident for sequential than for simultaneous presentation Cluster 3 (MD) < TD only for sequential presentation |
Disclaimer/Publisher’s Note: The statements, opinions and data contained in all publications are solely those of the individual author(s) and contributor(s) and not of MDPI and/or the editor(s). MDPI and/or the editor(s) disclaim responsibility for any injury to people or property resulting from any ideas, methods, instructions or products referred to in the content. |
© 2024 by the authors. Licensee MDPI, Basel, Switzerland. This article is an open access article distributed under the terms and conditions of the Creative Commons Attribution (CC BY) license (https://creativecommons.org/licenses/by/4.0/).
Share and Cite
Giorgetti, M.; Bombacigno, R.; Toraldo, A.; Lorusso, M.L. STM-Suite, an Online Platform for the Assessment of Memory Functions Discriminates among Subgroups of Children with Different Types of Specific Learning Disorders. Appl. Sci. 2024, 14, 5891. https://doi.org/10.3390/app14135891
Giorgetti M, Bombacigno R, Toraldo A, Lorusso ML. STM-Suite, an Online Platform for the Assessment of Memory Functions Discriminates among Subgroups of Children with Different Types of Specific Learning Disorders. Applied Sciences. 2024; 14(13):5891. https://doi.org/10.3390/app14135891
Chicago/Turabian StyleGiorgetti, Marisa, Roberto Bombacigno, Alessio Toraldo, and Maria Luisa Lorusso. 2024. "STM-Suite, an Online Platform for the Assessment of Memory Functions Discriminates among Subgroups of Children with Different Types of Specific Learning Disorders" Applied Sciences 14, no. 13: 5891. https://doi.org/10.3390/app14135891
APA StyleGiorgetti, M., Bombacigno, R., Toraldo, A., & Lorusso, M. L. (2024). STM-Suite, an Online Platform for the Assessment of Memory Functions Discriminates among Subgroups of Children with Different Types of Specific Learning Disorders. Applied Sciences, 14(13), 5891. https://doi.org/10.3390/app14135891

