Influence of Timber-to-Concrete Connection Types on the Behaviour of Timber–Concrete Composite Structures
Abstract
1. Introduction
2. Materials and Methods
2.1. General Approach
2.2. Laboratory Experiment
2.3. Finite Element Modelling
- Beam Elements: Beam 188 elements were utilised for modelling the top and bottom chords of the push-joisted beams as well as the bracing members. This element type is particularly suitable for linear structural components where bending behaviour dominates.
- Shell Elements: Shell finite elements were employed for modelling the concrete layer, OSB3 plate, steel lattice members, and perforated steel angles. This approach allows for an accurate representation of thin-walled components while maintaining computational efficiency.
- Solid Elements: SOLID-FE were specifically implemented for the concrete layer to enable crack development simulation, providing detailed insight into failure mechanisms.
- Concrete C20/25: Compressive strength of 25 MPa, tensile strength of 2.2 MPa, and elastic modulus of 27,000 MPa.
- Timber (C24 for FEM, PS10 for experiments): Tensile strength of 15–20 MPa, compressive strength of 20–25 MPa, and elastic modulus of 11,000 MPa.
- Steel S275: Yield strength of 275 MPa, ultimate tensile strength of 360–510 MPa, and elastic modulus of 210,000 MPa.
3. Results and Discussions
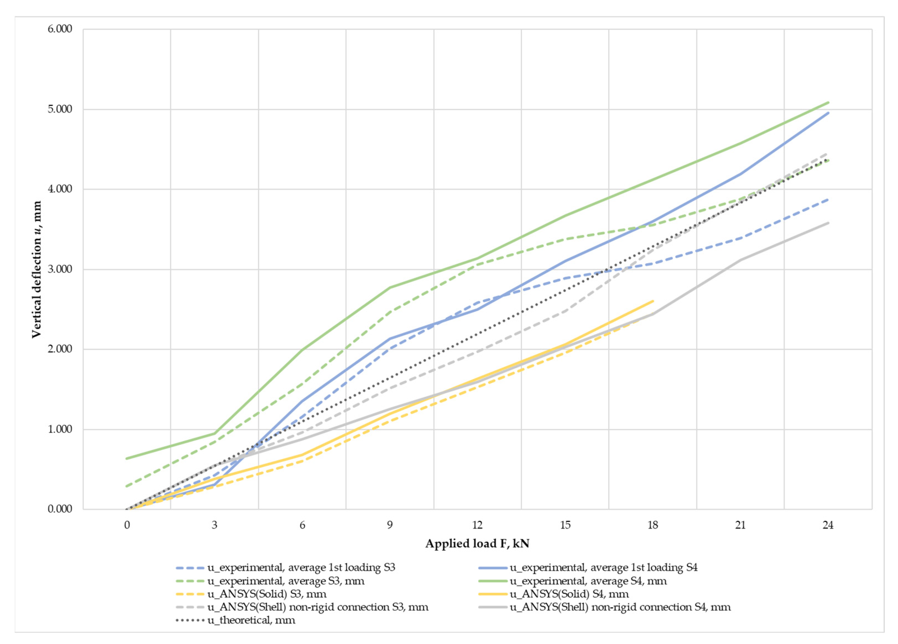
3.1. Results of Laboratory Experiments and Finite Element Modelling
3.2. Comparison of the Results Obtained for the Specimens with Compliant and Adhesive Timber-to-Concrete Connections
- Simplified Design Method: Normal stresses in the concrete layer ranged from 0.92 MPa at 3 kN loading to 7.35 MPa at 24 kN loading.
- Shell Element FEM: Stress values ranged from 0.93 MPa to 7.65 MPa for the same loading range, showing excellent correlation with the simplified method, with differences in only 1.2% to 4.0%.
- Solid Element FEM: Higher stress predictions ranging from 1.60 MPa to 8.16 MPa, with differences of 47.9% to 74.0% compared to the simplified method, indicating sensitivity to modelling approaches.
3.3. Future Research Directions
4. Conclusions
- Specimens with rigid adhesive timber-to-concrete connections showed a reduction in mean maximum vertical displacements by 14–16% compared to specimens with compliant connections using perforated steel tape angles. This indicates increased structural stiffness provided by the adhesive connection.
- The average load-carrying capacity increased marginally by approximately 1.79% for specimens with rigid adhesive connections relative to those with compliant connections, with average capacities of 45.81 kN and 44.99 kN, respectively.
- Normal stresses in the concrete layer of specimens with compliant connections ranged from 0.92 MPa to 7.35 MPa as the applied load increased from 3 kN to 24 kN (simplified design method), and corresponded closely with FE model predictions using shell finite elements (0.93–7.65 MPa). The FE model with solid elements predicted higher stresses, indicating sensitivity to modelling approaches.
- The simplified design method based on the transformed section method and γ-method was validated as effective for predicting the behaviour of TCC members with compliant timber-to-concrete connections, facilitating simplified yet reliable design procedures.
- The choice between rigid adhesive and compliant connections can be guided by structural performance requirements—adhesive connections provide higher stiffness (lower deflections). In contrast, compliant connections offer comparable strength with potentially improved ductility and material sustainability benefits.
Author Contributions
Funding
Data Availability Statement
Conflicts of Interest
References
- Estévez-Cimadevila, J.; Martín-Gutiérrez, E.; Suárez-Riestra, F.; Otero-Chans, D.; Vázquez-Rodríguez, J.A. Timber-Concrete Composite Structural Flooring System. J. Build. Eng. 2022, 49, 104078. [Google Scholar] [CrossRef]
- Vijayakumar, R.; Pannirselvam, N. Behaviour of a New Type of Shear Connector for Steel-Concrete Composite Construction. Mater. Today Proc. 2021, 40, S154–S160. [Google Scholar] [CrossRef]
- Al-Zaidee, S.R.; Al-Hasany, E.G. Finite Element Modeling and Parametric Study on Floor Steel Beam Concrete Slab System in Non-Composite Action. J. Eng. 2018, 24, 95–113. [Google Scholar] [CrossRef]
- Premrov, M.; Žegarac Leskovar, V. Innovative Structural Systems for Timber Buildings: A Comprehensive Review of Contemporary Solutions. Buildings 2023, 13, 1820. [Google Scholar] [CrossRef]
- Liu, T.; Chen, L.; Yang, M.; Sandanayake, M.; Miao, P.; Shi, Y.; Yap, P.-S. Sustainability Considerations of Green Buildings: A Detailed Overview on Current Advancements and Future Considerations. Sustainability 2022, 14, 14393. [Google Scholar] [CrossRef]
- Buka-Vaivade, K.; Serdjuks, D. Behavior of Timber-Concrete Composite with Defects in Adhesive Connection. Procedia Struct. Integr. 2022, 37, 563–569. [Google Scholar] [CrossRef]
- Dias, A.; Skinner, J.; Crews, K.; Tannert, T. Timber-Concrete-Composites Increasing the Use of Timber in Construction. Eur. J. Wood Prod. 2016, 74, 443–451. [Google Scholar] [CrossRef]
- Andaque, H.; Sadeghi, K. Comparison Between Timber Concrete Composite Slab and Solid Slab for Residential Buildings. IJISRT 2023, 8, 612–623. [Google Scholar]
- Buka-Vaivade, K.; Serdjuks, D.; Pakrastins, L. Cost Factor Analysis for Timber–Concrete Composite with a Lightweight Plywood Rib Floor Panel. Buildings 2022, 12, 761. [Google Scholar] [CrossRef]
- Mironovs, V.; Kuzmina, J.; Serdjuks, D.; Usherenko, Y.; Lisicins, M. Sustainable Lifecycle of Perforated Metal Materials. Materials 2023, 16, 3012. [Google Scholar] [CrossRef] [PubMed]
- Skincs, A.; Serdjuks, D.; Buka-Vaivade, K.; Goremikins, V.; Mohamed, A.Y. Steel and Composite Tapes in Timber to Concrete Joint. In Sustainable Energy Systems: Innovative Perspectives; Sinitsyn, A., Ed.; Lecture Notes in Civil Engineering; Springer International Publishing: Cham, Switzerland, 2021; pp. 68–79. ISBN 978-3-030-67654-4. [Google Scholar]
- Mönch, S.; Campos, J.A.A.; Dias, A.M.P.G.; Kuhlmann, U. Influence of the Geometric Properties, the Timber–Concrete Interface, and the Load Protocol on the Mechanical Properties of Timber–Concrete Composite Connections. Appl. Sci. 2024, 14, 6768. [Google Scholar] [CrossRef]
- He, X.; Yam, M.C.H.; Ke, K.; Zhou, X.; Zhang, H.; Gu, Z. Behaviour Insights on Damage-Control Composite Beam-to-Beam Connections with Replaceable Elements. Steel Compos. Struct. 2023, 46, 773–791. [Google Scholar] [CrossRef]
- Briuka, E.; Serdjuks, D.; Akishin, P.; Sahmenko, G.; Podkoritovs, A.; Ozolins, R. Behaviour Analysis of Beam-Type Timber and Timber-Concrete Composite Panels. Appl. Sci. 2024, 14, 7403. [Google Scholar] [CrossRef]
- Deam, B.L.; Fragiacomo, M.; Buchanan, A.H. Connections for Composite Concrete Slab and LVL Flooring Systems. Mater Struct 2008, 41, 495–507. [Google Scholar] [CrossRef]
- Winandy, J.E.; Morrell, J.J. Improving the Utility, Performance, and Durability of Wood- and Bio-Based Composites. Ann. For. Sci. 2017, 74, 25. [Google Scholar] [CrossRef]
- Jiang, B.; Zhang, J.; Ohsaki, M. Optimization of Branching Structures for Free-Form Surfaces Using Force Density Method. J. Asian Archit. Build. Eng. 2022, 21, 1458–1471. [Google Scholar] [CrossRef]
- Zhang, B.; Kermani, A.; Fillingham, T. Vibrations of Metal Web Joist Timber Floors with Strongbacks. Proc. Inst. Civ. Eng.—Struct. Build. 2016, 169, 549–562. [Google Scholar] [CrossRef]
- CEN/TS 19103:2021; Eurocode 5: Design of Timber Structures—Structural Design of Timber-Concrete Composite Structures—Common Rules and Rules for Buildings. European Committee for Standardization: Brussels, Belgium, 2021.
- MiTek Posi-Joist Brochure—MiTek UK and Ireland. Available online: https://www.mitek.co.uk/wp-content/uploads/sites/23/2018/10/Posi-Joist-Brochure-.pdf (accessed on 27 August 2025).
- Agris Rogainis Design Methodoloģy Analyse of Timber Concrete Roof with Parallel—Chord Trusses with Steel Lattice. Master’s Thesis, Riga Technical University, Riga, Latvia, 2023.













| Material | Property | Value |
|---|---|---|
| Concrete C20/25 | Compressive strength, f_c, MPa | 25 |
| Tensile strength, f_t, MPa | 2.2 | |
| Elastic modulus, E_c, MPa | 27,000 | |
| Timber PS10 | Tensile strength, f_t, MPa | 15–20 |
| Compressive strength, f_c, MPa | 20–25 | |
| Elastic modulus, E_t, MPa | 11,000 | |
| Steel S275 | Yield strength, f_y, MPa | 275 |
| Ultimate tensile strength, f_u, MPa | 360–510 | |
| Elastic modulus, E_s, MPa | 210,000 | |
| Polypropylene fibres | Tensile strength, MPa | 300–450 |
Disclaimer/Publisher’s Note: The statements, opinions and data contained in all publications are solely those of the individual author(s) and contributor(s) and not of MDPI and/or the editor(s). MDPI and/or the editor(s) disclaim responsibility for any injury to people or property resulting from any ideas, methods, instructions or products referred to in the content. |
© 2025 by the authors. Licensee MDPI, Basel, Switzerland. This article is an open access article distributed under the terms and conditions of the Creative Commons Attribution (CC BY) license (https://creativecommons.org/licenses/by/4.0/).
Share and Cite
Serdjuks, D.; Rogainis, A.; Briuka, E.; Sliseris, J.; Pakrastins, L.; Lapkovskis, V. Influence of Timber-to-Concrete Connection Types on the Behaviour of Timber–Concrete Composite Structures. J. Compos. Sci. 2025, 9, 593. https://doi.org/10.3390/jcs9110593
Serdjuks D, Rogainis A, Briuka E, Sliseris J, Pakrastins L, Lapkovskis V. Influence of Timber-to-Concrete Connection Types on the Behaviour of Timber–Concrete Composite Structures. Journal of Composites Science. 2025; 9(11):593. https://doi.org/10.3390/jcs9110593
Chicago/Turabian StyleSerdjuks, Dmitrijs, Agris Rogainis, Elza Briuka, Janis Sliseris, Leonids Pakrastins, and Vjaceslavs Lapkovskis. 2025. "Influence of Timber-to-Concrete Connection Types on the Behaviour of Timber–Concrete Composite Structures" Journal of Composites Science 9, no. 11: 593. https://doi.org/10.3390/jcs9110593
APA StyleSerdjuks, D., Rogainis, A., Briuka, E., Sliseris, J., Pakrastins, L., & Lapkovskis, V. (2025). Influence of Timber-to-Concrete Connection Types on the Behaviour of Timber–Concrete Composite Structures. Journal of Composites Science, 9(11), 593. https://doi.org/10.3390/jcs9110593

