Sign in to use this feature.

Years

Between: -

Subjects

remove_circle_outline
remove_circle_outline
remove_circle_outline
remove_circle_outline
remove_circle_outline
remove_circle_outline
remove_circle_outline
remove_circle_outline
remove_circle_outline

Journals

remove_circle_outline
remove_circle_outline
remove_circle_outline
remove_circle_outline
remove_circle_outline
remove_circle_outline
remove_circle_outline
remove_circle_outline
remove_circle_outline
remove_circle_outline
remove_circle_outline

Article Types

Countries / Regions

remove_circle_outline
remove_circle_outline
remove_circle_outline
remove_circle_outline
remove_circle_outline
remove_circle_outline

Search Results (526)

Search Parameters:
Keywords = static charges

Order results
Result details
Results per page
Select all
Export citation of selected articles as:
28 pages, 1382 KB  
Article
Phase-Aware Predictive Scheduling for Harmonic Hosting in Low-Voltage EV Feeders: An Integrated Decision Framework
by Paul Arévalo-Cordero, Danny Ochoa-Correa, Dario Benavides, Esteban Albornoz-Vintimilla and Juan L. Espinoza
Appl. Sci. 2026, 16(8), 3718; https://doi.org/10.3390/app16083718 - 10 Apr 2026
Abstract
Fast charging of electric vehicles can introduce phase-dependent harmonic distortion and voltage unbalance in low-voltage feeders, which may reduce admissible charging capacity even when voltage magnitudes remain within conventional limits. This paper proposes a phase-aware predictive scheduling framework for harmonic hosting management in [...] Read more.
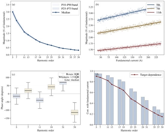
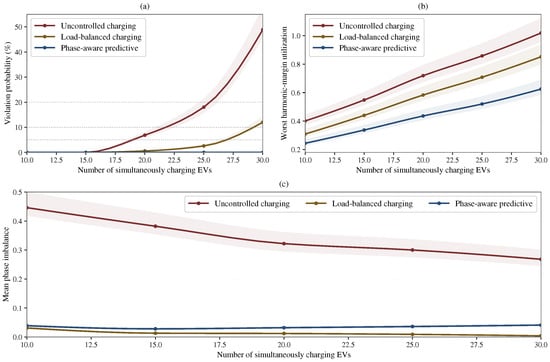
Fast charging of electric vehicles can introduce phase-dependent harmonic distortion and voltage unbalance in low-voltage feeders, which may reduce admissible charging capacity even when voltage magnitudes remain within conventional limits. This paper proposes a phase-aware predictive scheduling framework for harmonic hosting management in feeders with a high penetration of electric vehicle charging. The proposed method formulates feeder operation as a predictive decision problem that jointly determines charging power levels, phase allocation, and the selective activation of multifunctional compensation resources under harmonic distortion, voltage unbalance, and neutral-current constraints. Unlike previous studies centered on harmonic characterization, static hosting assessment, or local converter-level mitigation, the proposed approach treats harmonic hosting as an active feeder-level network management problem. The framework is evaluated through time-series harmonic power-flow simulations using charger harmonic emission profiles and realistic feeder parameters. The numerical results indicate that coordinated phase-aware scheduling can increase admissible charging capacity, improve compliance margins for power-quality indices, and reduce mitigation efforts with respect to uncontrolled charging and non-coordinated compensation strategies. Overall, the results support the use of phase-aware scheduling as a feeder-level strategy to improve electric vehicle charging integration under harmonic and unbalanced constraints. Full article
Show Figures

Figure 1

9 pages, 298 KB  
Proceeding Paper
Galileo High Accuracy Service: Exploring Atmospheric Corrections and Phase Biases for PPP Performance
by Camille Parra, Urs Hugentobler, Thomas Pany and Stefan Baumann
Eng. Proc. 2026, 126(1), 47; https://doi.org/10.3390/engproc2026126047 - 7 Apr 2026
Abstract
The Galileo High Accuracy Service (HAS) provides free-of-charge corrections for PPP through both the E6b signal and the internet. Currently, HAS targets a horizontal and vertical accuracy of 15 cm and 20 cm, respectively (68% confidence level) for static users. Although the service [...] Read more.
The Galileo High Accuracy Service (HAS) provides free-of-charge corrections for PPP through both the E6b signal and the internet. Currently, HAS targets a horizontal and vertical accuracy of 15 cm and 20 cm, respectively (68% confidence level) for static users. Although the service is not yet fully operational, it already delivers orbit and clock corrections, as well as satellite code biases. This paper evaluates the current performance of HAS, showing positioning errors below 5 cm in both horizontal and vertical components. However, the convergence time required to reach these accuracies remains relatively long. To address this limitation, ionospheric corrections were estimated from a European network of 34 stations and added to the processing. The results show a clear improvement in both accuracy and convergence time: horizontal and vertical errors were reduced by half, as well as the horizontal convergence time. To complete the HAS correction set, only satellite phase biases were missing. These were also generated using the same European network. Although no improvement was observed when including them, no degradation was found either. This suggests that, with further refinement, HAS could significantly benefit from phase biases and achieve even better positioning performance. Full article
(This article belongs to the Proceedings of European Navigation Conference 2025)
Show Figures

Figure 1

26 pages, 8175 KB  
Article
In Situ Damage Detection Method for Metallic Shear Plate Dampers Based on the Active Sensing Method and Machine Learning Algorithms
by Yunfei Li, Feng Xiong, Hong Liu, Xiongfei Li, Huanlong Ding, Yi Liao and Yi Zeng
Sensors 2026, 26(7), 2203; https://doi.org/10.3390/s26072203 - 2 Apr 2026
Viewed by 248
Abstract
Metallic Shear Plate Dampers (MSPDs) are essential components in passive vibration control systems and require rapid post-earthquake inspection to assess damage and determine replacement needs. Traditional visual inspection methods suffer from low efficiency and limited ability to detect concealed damage. This study proposes [...] Read more.
Metallic Shear Plate Dampers (MSPDs) are essential components in passive vibration control systems and require rapid post-earthquake inspection to assess damage and determine replacement needs. Traditional visual inspection methods suffer from low efficiency and limited ability to detect concealed damage. This study proposes a novel MSPD damage detection method based on active sensing and the k-nearest neighbor (KNN) algorithm, featuring high accuracy, efficiency, and low cost. Quasi-static tests were conducted to simulate various damage states. Sweep-frequency excitation was applied using a charge amplifier, and piezoelectric sensors were employed to generate and receive stress wave signals corresponding to different damage conditions. The acquired signals were processed using wavelet packet transform (WPT) and energy spectrum analysis to extract discriminative time–frequency features, which were used to train and validate the KNN model. Results show that the model achieved a validation accuracy of 98.9% using all valid data and 98.1% using a single excitation-sensing channel. When tested on an MSPD with a similar overall structure but lacking stiffeners, the model achieved an accuracy of 92.6% in distinguishing between healthy and damaged states. This indicates that the proposed method has good robustness and practical potential for MSPDs with similar damage evolution and failure modes despite certain structural variations. Full article
Show Figures

Figure 1

21 pages, 5707 KB  
Article
Data-Efficient Multi-Objective Design of Auxiliary Localization Coils for Misalignment-Robust UAV WPT
by Jiali Liu, Dechun Yuan, Linxuan Li, Zhihao Han and Nian Li
Appl. Sci. 2026, 16(7), 3393; https://doi.org/10.3390/app16073393 - 31 Mar 2026
Viewed by 220
Abstract
To address the challenges of difficult quantitative design and potential coil mismatch in auxiliary coils within wireless power transfer systems, a data-driven parameter optimization method based on multi-objective particle swarm optimization (MOPSO) was proposed. First, based on the inductor–capacitor–capacitor series (LCC-S) compensation topology, [...] Read more.
To address the challenges of difficult quantitative design and potential coil mismatch in auxiliary coils within wireless power transfer systems, a data-driven parameter optimization method based on multi-objective particle swarm optimization (MOPSO) was proposed. First, based on the inductor–capacitor–capacitor series (LCC-S) compensation topology, a mechanism-based analysis was conducted, establishing coil side length A and number of turns N as core optimization variables. Subsequently, a collaborative optimization framework integrating “parametric simulation–surrogate modeling–active learning” was established. An offline fingerprint database was constructed via finite element simulation, and a high-accuracy surrogate model was developed using a kernel ridge regression ensemble approach. Active learning strategies were employed to adaptively augment data points and mitigate uncertainty. Finally, the multi-objective particle swarm optimization (MOPSO) algorithm was applied to identify the Pareto-optimal solution set. Experimental results reveal that the optimized auxiliary coil parameters achieved positioning errors below 8 mm at all test points. The maximum positioning error was significantly reduced by approximately 80% compared to the traditional empirical approach, providing a useful parameter-selection reference for high-precision wireless charging alignment systems under the investigated static operating conditions. Full article
(This article belongs to the Section Electrical, Electronics and Communications Engineering)
Show Figures

Figure 1

36 pages, 2481 KB  
Article
Inductive Wireless Power Transfer for Electric Vehicles: Technologies, Standards, and Deployment Readiness from Static Pads to Dynamic Roads
by Cristian Giovanni Colombo, Jingbo Chen, Sofia Borgosano and Michela Longo
Future Transp. 2026, 6(2), 77; https://doi.org/10.3390/futuretransp6020077 - 30 Mar 2026
Viewed by 279
Abstract
Wireless Power Transfer (WPT) for electric vehicles is transitioning from laboratory prototypes to deployable charging infrastructure, driven by the demand for safer, automated, and weather-robust charging in residential parking, depots, and public bays, and more recently by pilot electric-road concepts. This review focuses [...] Read more.
Wireless Power Transfer (WPT) for electric vehicles is transitioning from laboratory prototypes to deployable charging infrastructure, driven by the demand for safer, automated, and weather-robust charging in residential parking, depots, and public bays, and more recently by pilot electric-road concepts. This review focuses on near-field resonant inductive WPT and explicitly frames the discussion around standardization and deployment readiness, with SAE J2954 and related international frameworks as reference points for interoperability, alignment, conformance testing, and certification planning across static, quasi-dynamic, and dynamic solutions. Recent surveys and representative demonstrators are synthesized to consolidate dominant research and engineering themes, including magnetic coupler and shielding design, compensation-network and control co-design, segment architecture and handover strategies for dynamic tracks, safety functions, electromagnetic exposure verification, electromagnetic compatibility constraints, bidirectional operation, and data-driven methods supporting design and field adaptation. For light-duty static charging, interoperable pad families, alignment procedures, and mature compensation topologies enable repeatable high-efficiency operation and increasingly standardized validation workflows, supporting early commercial availability. Heavy-duty depot charging appears technically attractive where duty cycles favor opportunity charging and packaging constraints are manageable. Dynamic WPT has reached pilot readiness via segmented selective-energization tracks and coordinated localization and handover, but corridor-scale rollout remains limited by maintainability, seasonal reliability, cost per kilometer, and route and site-specific verification of safety, exposure, and EMC margins. Full article
Show Figures

Figure 1

8 pages, 1829 KB  
Proceeding Paper
Parameter Extraction and State-of-Charge Estimation of Li-Ion Batteries for BMS Applications
by Badis Lekouaghet, Hani Terfa and Mohammed Haddad
Eng. Proc. 2026, 124(1), 92; https://doi.org/10.3390/engproc2026124092 - 26 Mar 2026
Viewed by 265
Abstract
Lithium-ion batteries (LiBs) are fundamental to modern energy systems, particularly in electric vehicle (EV) applications, due to their high energy density, long cycle life, and low self-discharge characteristics. Accurate State-of-Charge (SoC) estimation is essential for ensuring reliable performance, efficient energy usage, and the [...] Read more.
Lithium-ion batteries (LiBs) are fundamental to modern energy systems, particularly in electric vehicle (EV) applications, due to their high energy density, long cycle life, and low self-discharge characteristics. Accurate State-of-Charge (SoC) estimation is essential for ensuring reliable performance, efficient energy usage, and the safety of Battery Management Systems (BMSs). However, the nonlinear and time-varying characteristics of LiBs, along with the difficulty in directly measuring internal states, pose significant challenges for parameter identification and SoC estimation. This study presents an advanced approach based on the Weighted Mean of Vectors optimization algorithm to simultaneously identify the unknown parameters of an extended Thevenin Equivalent Circuit Model (ECM) and estimate the SoC. Unlike previous methods that use static parameters for specific battery modes, the proposed technique accounts for dynamic changes during both charging and discharging operations. The algorithm demonstrates superior adaptability by continuously adjusting model parameters to reflect real-time battery behavior under varying operational conditions. The algorithm also models the relationship between SoC and open-circuit voltage (Voc) using data collected from real lithium-ion cells tested under a controlled load profile in the laboratory. This experimental validation ensures the practical applicability and robustness of the proposed methodology. The simulation results confirm the effectiveness and precision of the proposed approach, showing excellent agreement between measured and estimated values, with minimal errors in both voltage and SoC prediction. The enhanced accuracy achieved through this dynamic parameter identification framework represents a significant advancement in battery state estimation technology. Full article
(This article belongs to the Proceedings of The 6th International Electronic Conference on Applied Sciences)
Show Figures

Figure 1

26 pages, 5209 KB  
Article
Degradation Factors and Mechanisms of Silicone Gel in Power Device Packaging Insulation Under DC Superimposed Pulse Electric Fields
by Zichen Wu and Dongxin He
Gels 2026, 12(4), 274; https://doi.org/10.3390/gels12040274 - 26 Mar 2026
Viewed by 292
Abstract
Silicone gel packaging for high-voltage power devices suffers severe insulation degradation under complex conditions involving sustained high voltages and steep pulses. DC superimposed pulse electric fields are the primary cause. However, existing research lacks a systematic quantitative analysis of key influencing factors. Motivated [...] Read more.
Silicone gel packaging for high-voltage power devices suffers severe insulation degradation under complex conditions involving sustained high voltages and steep pulses. DC superimposed pulse electric fields are the primary cause. However, existing research lacks a systematic quantitative analysis of key influencing factors. Motivated by this inadequacy, this study quantified the effects of four core factors via control variable-based electrical tree experiments and revealed the microscopic mechanism through charge vibration experiments. Results indicate that pulse voltage slew rate is the most critical factor, as the impact of altering the pulse voltage slew rate on the parameters of the electrical tree exceeds 200%, while the impacts of altering the superimposed DC amplitude and duty cycle are 49.92% and 77.56%, respectively. Further discussion demonstrates that pulse voltage slew rate reflects the charge dynamic behaviors, while DC amplitude and duty cycle reflect charge static accumulation, with charge dynamic behaviors posing a more significant effect. This work clarifies key control parameters for silicone gel insulation degradation and the intrinsic influence chain from influencing factors to molecular stress, charge dynamic behaviors, electrical tree growth and silicone gel insulation degradation, providing theoretical support and technical guidance for optimizing the design and enhancing the reliability of silicone gel in power electronic devices packaging insulation. Full article
(This article belongs to the Section Gel Processing and Engineering)
Show Figures

Graphical abstract

18 pages, 1111 KB  
Article
A Dynamic Operational Framework Integrating Life Cycle Assessment and Ride-Level Emission Modelling for Shared E-Scooter Systems
by Yelda Karatepe Mumcu and Eray Erkal
Sustainability 2026, 18(7), 3202; https://doi.org/10.3390/su18073202 - 25 Mar 2026
Viewed by 230
Abstract
Shared e-scooter systems are frequently characterized as zero-emission mobility solutions; however, lifecycle greenhouse gas (GHG) emissions depend on manufacturing, electricity generation, and operational logistics. While conventional life cycle assessment (LCA) studies quantify environmental impacts using static average parameters, they rarely integrate lifecycle emissions [...] Read more.
Shared e-scooter systems are frequently characterized as zero-emission mobility solutions; however, lifecycle greenhouse gas (GHG) emissions depend on manufacturing, electricity generation, and operational logistics. While conventional life cycle assessment (LCA) studies quantify environmental impacts using static average parameters, they rarely integrate lifecycle emissions into real-time fleet decision-making. This study proposes a formally defined carbon-aware operational framework that integrates ride-level telemetry, time-varying electricity grid carbon intensity, amortized production emissions, and dynamically allocated logistics impacts into a unified optimization architecture. Lifecycle emissions are computed at ride-level granularity and incorporated into charging and rebalancing decisions through a constrained optimization framework. A multi-objective extension is introduced to account for environmental–economic trade-offs. An illustrative simulation of 1000 rides was conducted to evaluate the operational performance of the framework. Under the assumed baseline scenario, the illustrative carbon-aware simulation indicated a potential reduction of up to 24.5% relative to conventional scheduling. Sensitivity analysis across variations in grid carbon intensity, scooter lifetime, energy consumption, and logistics emissions demonstrated reduction outcomes ranging between 18% and 29%, indicating robustness to parameter uncertainty. The study does not present large-scale empirical validation but provides a mathematically formalized decision-support architecture that operationalizes lifecycle assessment within shared micro-mobility fleet management. The results suggest that integrating carbon metrics into operational control may substantially enhance the environmental performance of shared e-scooter systems. Future research should validate the framework using real-world fleet data and incorporate a comprehensive economic assessment. The proposed framework provides a scalable methodological basis for integrating environmental metrics into real-time micro-mobility management and urban sustainability planning. Full article
(This article belongs to the Section Sustainable Transportation)
Show Figures

Figure 1

26 pages, 4573 KB  
Article
Concurrent Prediction of Length of Stay, Mortality, and Total Charges in Patients with Acute Lymphoblastic Leukemia Using Continuous Machine Learning
by Jiahui Ma, Elizabeth Johnson, Bradley M. Whitaker, Faraz Dadgostari, Hansjorg Schwertz and Bernadette McCrory
Informatics 2026, 13(4), 47; https://doi.org/10.3390/informatics13040047 - 24 Mar 2026
Viewed by 327
Abstract
Acute lymphoblastic leukemia (ALL) presents significant clinical challenges due to its genetic complexity and high relapse rates. While outcomes like length of stay (LOS), mortality, and total charges (TCs) are critical quality indicators, most existing models rely on static data and separate outcome [...] Read more.
Acute lymphoblastic leukemia (ALL) presents significant clinical challenges due to its genetic complexity and high relapse rates. While outcomes like length of stay (LOS), mortality, and total charges (TCs) are critical quality indicators, most existing models rely on static data and separate outcome modeling. This study utilized the HCUP National Inpatient Sample (NIS) to develop a dynamic, concurrent prediction model for prolonged LOS and mortality (PLOSM), alongside a framework for TCs. By integrating temporally updated patient information, the concurrent approach outperformed single-outcome models. Within the first seven days of hospitalization, the model achieved accuracy and precision above 90%, with recall and F1-scores exceeding 80%. Key predictors of these outcomes included age, race, insurance type, financial indicators, and elective surgery status. Notably, both prolonged LOS and mortality were significant drivers of TCs. By bridging predictive modeling and real-time clinical data, this framework enables data-driven decision-making to optimize patient management, enhance safety, and mitigate the financial burden of ALL care. Full article
Show Figures

Figure 1

39 pages, 3155 KB  
Review
Electrifying the Future: Second- and Third-Generation Derived Oils for Transformers
by Arputhasamy Joseph Amalanathan, Susaimanickam Anto and Maciej Zdanowski
Energies 2026, 19(6), 1547; https://doi.org/10.3390/en19061547 - 20 Mar 2026
Viewed by 298
Abstract
The reliability of power transmission and distribution depends on the proper functioning of power transformers, which use conventional mineral oil as an insulating fluid. The lower fire class and biodegradability of mineral oil have led to a shift towards second-generation oils from vegetable [...] Read more.
The reliability of power transmission and distribution depends on the proper functioning of power transformers, which use conventional mineral oil as an insulating fluid. The lower fire class and biodegradability of mineral oil have led to a shift towards second-generation oils from vegetable and plant crops. Ester fluids provide a better performance in combination with solid pressboard/paper insulation, increasing the lifetime of power transformers compared to those using mineral oil. Considering the need for sustainability in the near future, second-generation oils are no longer feasible, and hence, third-generation oils derived from microalgae species are suitable alternative fuels for the energy sector. The fatty acid methyl ester (FAME) content of algae is similar to that of biodiesel, making it a suitable fluid for power transformers. A detailed overview of third-generation feedstock (algae) for power transformer applications is provided, focusing on the extraction of algal oil, in conjunction with safety precautions and its fatty acid content, and a comparison with conventional vegetable and plant-based oils is presented. Various properties of algal oil (fatty acid composition, kinematic viscosity, oxidation stability, breakdown voltage, etc.) are analyzed to assess its suitability as a transformer fluid. This review article comprehensively analyzes the current research landscape surrounding the use of algal oil as an insulating fluid in transformers. It critically evaluates both the potential advantages and the unique challenges associated with this alternative to conventional mineral oil and second-generation vegetable and plant-based oils. Full article
(This article belongs to the Special Issue Advancements in Power Transformers)
Show Figures

Figure 1

13 pages, 3081 KB  
Article
Impact of Gate Oxide Thickness on the Failure Mechanisms of AC Bias Temperature Instability in SiC MOSFETs
by Guoxing Yin and Guangyin Lei
Electronics 2026, 15(6), 1266; https://doi.org/10.3390/electronics15061266 - 18 Mar 2026
Viewed by 343
Abstract
Silicon carbide (SiC) MOSFETs are critical for next-generation power electronics, yet their reliability is challenged by alternating-current Bias Temperature Instability (AC BTI). While charge trapping and Recombination-Enhanced Defect Reaction (REDR) are known degradation pathways, the specific role of gate oxide thickness in determining [...] Read more.
Silicon carbide (SiC) MOSFETs are critical for next-generation power electronics, yet their reliability is challenged by alternating-current Bias Temperature Instability (AC BTI). While charge trapping and Recombination-Enhanced Defect Reaction (REDR) are known degradation pathways, the specific role of gate oxide thickness in determining the dominant mechanism remains unclear. This study investigates the degradation behaviors of SiC MOSFETs with varying oxide thicknesses under 150 kHz Dynamic Gate Stress. By maintaining a constant electric field, we decouple the effects of oxide thickness using high-frequency C-V, quasi-static gate current (IGS) characteristics, and transconductance analysis. Results reveal that thin-oxide devices exhibit parallel C-V shifts and stable transconductance, indicating degradation driven by deep-level charge trapping. Conversely, thick-oxide devices display significant C-V stretch-out, negligible IGS peak shifts, and severe transconductance degradation, accompanied by irreversible threshold voltage drift. We conclude that despite identical electric fields, the higher driving voltages in thick-oxide devices trigger severe interface state generation consistent with the REDR model, whereas thin-oxide devices are dominated by bulk oxide trapping. These findings highlight the necessity of thickness-dependent optimization strategies for SiC power devices. Full article
(This article belongs to the Section Power Electronics)
Show Figures

Figure 1

13 pages, 274 KB  
Article
Modified Bekenstein Hawking Entropy of Five-Dimensioned Static Multi-Charge AdS Black Holes in Gauged Supergravity Theory
by Cong Wang and Shu-Zheng Yang
Entropy 2026, 28(3), 335; https://doi.org/10.3390/e28030335 - 17 Mar 2026
Viewed by 245
Abstract
Considering the dynamics of spin-1/2 fermion in higher-dimensional static multi-charge black holes in gauged supergravity theory, taking into account Lorentz breaking and quantum perturbation theory, this study investigates new expressions for the Hawking temperature and Bekenstein-Hawking entropy of such black holes based on [...] Read more.
Considering the dynamics of spin-1/2 fermion in higher-dimensional static multi-charge black holes in gauged supergravity theory, taking into account Lorentz breaking and quantum perturbation theory, this study investigates new expressions for the Hawking temperature and Bekenstein-Hawking entropy of such black holes based on WKB theory and quantum tunneling radiation theory, as well as the laws of black hole thermodynamics. The physical significance of the research methods used in this paper and the related results obtained are analyzed. Furthermore, an in-depth discussion is provided regarding the implications of the research content for addressing relevant issues in high-dimensional curved spacetime. Full article
(This article belongs to the Section Astrophysics, Cosmology, and Black Holes)
19 pages, 2381 KB  
Article
RTP004 Peptide Binds to Botulinum Neurotoxin, Increases Cell Surface Binding, and Enhances Cellular SNAP-25 Cleavage
by Andre F. Batista, Ratnesh Singh, Frank Lee, Shaoqiu Zhuo, Dmitri Leonoudakis and Conor J. Gallagher
Toxins 2026, 18(3), 134; https://doi.org/10.3390/toxins18030134 - 10 Mar 2026
Viewed by 625
Abstract
DaxibotulinumtoxinA for injection (DAXI) is a botulinum neurotoxin (BoNT) drug product comprising the 150 kDa pure BoNT/A1 as the drug substance formulated with a proprietary stabilizing excipient, RTP004. We hypothesized that RTP004 facilitates localization of BoNT/A1 to the neuronal membrane, resulting in increased [...] Read more.
DaxibotulinumtoxinA for injection (DAXI) is a botulinum neurotoxin (BoNT) drug product comprising the 150 kDa pure BoNT/A1 as the drug substance formulated with a proprietary stabilizing excipient, RTP004. We hypothesized that RTP004 facilitates localization of BoNT/A1 to the neuronal membrane, resulting in increased BoNT internalization and cleavage of the synaptosomal-associated protein of 25 kDa (SNAP-25) within synaptic terminals. We characterized the interaction between RTP004 and BoNT/A1 using in silico and in vitro techniques. In vitro analyses revealed that negative charges on the BoNT/A1 surface were located on the light chain (LC, the catalytic domain) and the C-terminus of the heavy chain (HC, the receptor-binding domain), potentially providing sites for interaction with the positively charged RTP004 peptide. RTP004 bound to BoNT/A1, but not to human serum albumin (HSA), in both static and dynamic conditions. RTP004, not HSA, enhanced binding of BoNT to artificial membranes and RTP004 dissociated from BoNT under conditions that mimicked physiological conditions of the synaptic vesicle. RTP004 also increased binding of BoNT to the synaptosomal cell membrane and enhanced cleavage of SNAP-25 in a dose-dependent manner. These findings demonstrate that RTP004, not the excipient HSA common in other BoNT/A1 drug products, enhances binding of BoNT to the cell surface, facilitates internalization of BoNT into the cell, and increases SNAP-25 cleavage. Full article
(This article belongs to the Section Bacterial Toxins)
Show Figures

Figure 1

18 pages, 2012 KB  
Article
Electromechanical Coupling and Piezoelectric Behaviour of (PDMS)–Graphene Elastomer Nanocomposites
by Murat Çelik, Miguel A. Lopez-Manchado and Raquel Verdejo
Polymers 2026, 18(5), 623; https://doi.org/10.3390/polym18050623 - 2 Mar 2026
Viewed by 518
Abstract
Elastomer-based nanocomposites combining polymer flexibility with conductive nanofillers provide lightweight, stretchable systems with tunable electromechanical properties for wearable electronics, soft robotics, and self-powered sensors. However, predicting their nonlinear response remains challenging because the observed piezoelectric-like response arises from strain-dependent interfacial polarization and evolving [...] Read more.
Elastomer-based nanocomposites combining polymer flexibility with conductive nanofillers provide lightweight, stretchable systems with tunable electromechanical properties for wearable electronics, soft robotics, and self-powered sensors. However, predicting their nonlinear response remains challenging because the observed piezoelectric-like response arises from strain-dependent interfacial polarization and evolving piezoresistive conduction pathways within heterogeneous microstructures. We introduce a continuum electro-hyperelastic framework combining the Mooney–Rivlin model for large-strain elasticity with a Helmholtz free-energy approach for electrostatic coupling. Analytical expressions for stress, electric displacement, and apparent piezoelectric coefficients are derived and implemented in finite element simulations. The model accurately reproduces the experimental mechanical, dielectric, and electromechanical behaviour of polydimethylsiloxane (PDMS) nanocomposites with 0.1–1 wt% graphene. These show increased stiffness, relative permittivity (from 3.4 to 4.0, ≈18%), and quasi-static d33 coefficients (from −5.6 to −10.0 pC N−1, ≈80% enhancement). Analytical and finite element method (FEM) results show consistent trends across the full deformation range, with Maxwell stress agreement within 10% at lower deformation levels, while deviations of 33–40% for coupled electromechanical quantities at an axial displacement uz = ~−1 mm (~16.7% compressive strain) are attributable to three-dimensional shear effects absent from the uniaxial analytical assumption. Simulations reveal that graphene boosts Maxwell stress, yielding a four-fold increase at lower stretch ratios. This reframes PDMS–graphene composites as electro-hyperelastic materials, offering a predictive, extensible framework. It highlights apparent piezoelectricity as an emergent, tunable effect from charge redistribution in a compliant hyperelastic matrix—guiding the design of next-generation flexible devices leveraging field-induced coupling over intrinsic polarization. Full article
(This article belongs to the Section Smart and Functional Polymers)
Show Figures

Graphical abstract

24 pages, 2789 KB  
Article
Optimized Hybrid EV Charging System Interconnected with the Grid
by Amritha Kodakkal, Rajagopal Veramalla, Surender Reddy Salkuti and Leela Deepthi Gottimukkula
World Electr. Veh. J. 2026, 17(3), 119; https://doi.org/10.3390/wevj17030119 - 27 Feb 2026
Viewed by 471
Abstract
As the oil price has skyrocketed, the attraction towards electric vehicles has gone up. This scenario has also increased the demand for charging infrastructure. This paper proposes a novel charging infrastructure for electric vehicles which is energized by a solar photovoltaic unit, integrated [...] Read more.
As the oil price has skyrocketed, the attraction towards electric vehicles has gone up. This scenario has also increased the demand for charging infrastructure. This paper proposes a novel charging infrastructure for electric vehicles which is energized by a solar photovoltaic unit, integrated with a distribution static compensator. The output of the photovoltaic array is regulated by a DC–DC converter, which uses maximum power point tracking to support optimal solar energy conversion. The compensator is integrated into the grid through a zigzag-star transformer, which helps with neutral current compensation, promoting balanced and distortion-free operation. The control algorithm is designed to ensure superior power quality during grid synchronization and sustainable energy management. This novel architecture ensures bidirectional power flow, enabling the charge–discharge dynamics of the electric vehicles, which can be termed Grid-to-Vehicle and Vehicle-to-Grid modes. Better grid flexibility and resilience are ensured by this dynamic power exchange. The control strategy based on the Linear Kalman Filter provides reactive power balance and maintains steady voltage at the point of common coupling, and it ensures enhanced power quality during power flow, resulting in efficient and reliable grid operations. The effectiveness of the control algorithm is tested and validated under Grid-to-Vehicle, Vehicle-to-Grid, nonlinear, unbalanced, and isolated solar conditions. Analytical tuning of the gains in the controller, by using the conventional methods, is not efficient under dynamic conditions and nonlinear loads. An optimization technique is used to estimate the proportional–integral control gains, which avoids the difficulty of tuning the controllers. Simulation of the system is carried out using MATLAB 2022b/SIMULINK. Simulation results under diverse operating scenarios confirm the system’s capability to sustain superior power quality, maintain grid stability, and support a robust and reliable charging infrastructure. By enabling regulated bidirectional energy exchange and autonomous operation during grid disturbances, the charger operates as a resilient grid-support asset rather than as a passive electrical load. Full article
(This article belongs to the Section Charging Infrastructure and Grid Integration)
Show Figures

Figure 1

Back to TopTop