Next Article in Journal
Long-Term Aging Effects of Breast Implant Materials
Next Article in Special Issue
Bidirectional Long Short-Term Memory-Driven Control for Grid-Connected Photovoltaic-Battery Energy Trading Systems: Mixed-Integer Linear Programming Optimization and Online Deep Reinforcement Learning
Previous Article in Journal
MMCAD-Net: A Multi-Scale Multi-Level Convolutional Attention Decomposition Network for Stock Price Forecasting
Previous Article in Special Issue
Contemporary Micro-Battery Technologies: Advances in Microfabrication, Nanostructuring, and Material Optimisation for Lithium-Ion Batteries
 
 
Font Type:
Arial Georgia Verdana
Font Size:
Aa Aa Aa
Line Spacing:
Column Width:
Background:
Article

Phase-Aware Predictive Scheduling for Harmonic Hosting in Low-Voltage EV Feeders: An Integrated Decision Framework

by
Paul Arévalo-Cordero
1,2,*,
Danny Ochoa-Correa
1,
Dario Benavides
1,
Esteban Albornoz-Vintimilla
1 and
Juan L. Espinoza
1
1
Department of Electrical Engineering, Electronics and Telecommunications, Universidad de Cuenca, Cuenca 010101, Ecuador
2
Department of Electrical Engineering, University of Jaén, 23700 Linares, Spain
*
Author to whom correspondence should be addressed.
Appl. Sci. 2026, 16(8), 3718; https://doi.org/10.3390/app16083718
Submission received: 21 March 2026 / Revised: 6 April 2026 / Accepted: 8 April 2026 / Published: 10 April 2026

Abstract

Fast charging of electric vehicles can introduce phase-dependent harmonic distortion and voltage unbalance in low-voltage feeders, which may reduce admissible charging capacity even when voltage magnitudes remain within conventional limits. This paper proposes a phase-aware predictive scheduling framework for harmonic hosting management in feeders with a high penetration of electric vehicle charging. The proposed method formulates feeder operation as a predictive decision problem that jointly determines charging power levels, phase allocation, and the selective activation of multifunctional compensation resources under harmonic distortion, voltage unbalance, and neutral-current constraints. Unlike previous studies centered on harmonic characterization, static hosting assessment, or local converter-level mitigation, the proposed approach treats harmonic hosting as an active feeder-level network management problem. The framework is evaluated through time-series harmonic power-flow simulations using charger harmonic emission profiles and realistic feeder parameters. The numerical results indicate that coordinated phase-aware scheduling can increase admissible charging capacity, improve compliance margins for power-quality indices, and reduce mitigation efforts with respect to uncontrolled charging and non-coordinated compensation strategies. Overall, the results support the use of phase-aware scheduling as a feeder-level strategy to improve electric vehicle charging integration under harmonic and unbalanced constraints.

1. Introduction

The electrification of transport is changing the operating conditions of distribution networks. As electric vehicle (EV) adoption expands, a larger share of demand is being transferred to low-voltage (LV) feeders that were originally designed for more regular and less converter-dominated load patterns. This transition is not limited to a rise in energy demand; it alters the electrical behavior of the network. Reviews of EV integration report recurring concerns related to transformer loading, voltage deviations, phase asymmetry, and power-quality deterioration in residential LV feeders [1,2]. Methodological reviews on hosting-capacity assessment reach a similar conclusion and show that these effects depend on feeder characteristics, load diversity, and the way EV demand is represented [3]. For utilities, the practical question is therefore no longer only how many EVs can be connected, but under which operating conditions they can be accommodated without violating feeder limits or accelerating reinforcement needs.
This issue becomes more critical in LV feeders because EV charging is mediated by power-electronic converters whose aggregated behavior is not captured adequately by fundamental-frequency indicators alone. In practice, single-phase and mixed charger populations can produce phase-dependent harmonic distortion, voltage unbalance, and neutral-current stress even when root-mean-square (RMS) voltage magnitudes remain within admissible ranges [4]. Under these conditions, the effective hosting capacity of an LV feeder may be limited by harmonic and unbalance constraints before conventional voltage criteria become active. From an engineering standpoint, hosting capacity should therefore be read as a multi-constraint operating region shaped by charger behavior, feeder characteristics, and supervisory decisions.
In typical LV feeders, the operating tension is not explained only by the increase in EV demand. It emerges from the interaction between concentrated single-phase or mixed charging, phase-dependent converter emissions, and limited feeder margins for harmonic distortion, voltage unbalance, and neutral-current circulation. In practical terms, a feeder may still appear acceptable when judged through RMS voltage alone, while the admissible charging region has already contracted because harmonic and phase-sensitive constraints become binding. This mismatch between apparent capacity at the fundamental frequency and actual admissibility under converter-driven operating conditions defines the technical setting addressed in this study.
One stream of prior research has examined the feeder-level impact of EV charging through deterministic and probabilistic studies. Early modeling tools were developed to assess how EV charging, conventional demand, and distributed generation affect LV voltage limits, thermal loading, and infrastructure adequacy [5]. Later studies extended this perspective by considering probabilistic charging behavior, different penetration levels, and the interaction between EV demand and residential operating conditions [6]. A probabilistic analysis on a real LV feeder further showed that transformer loading and steady-state voltage are sensitive to EV penetration, while photovoltaic (PV) generation and volt-var support can moderate part of the observed impact [7]. Hosting-capacity studies add that admissible EV penetration depends on the connection point, seasonal loading, and local feeder characteristics [8]. These works establish the feeder dependence of EV impacts, yet their analytical emphasis remains centered on voltage deviation, transformer loading, and aggregate demand growth. That emphasis becomes restrictive once harmonic distortion, current asymmetry, and phase-sensitive margins begin to govern admissible operation. From a comparative standpoint, these studies show where EV penetration places stress on the feeder, but they usually stop short of explaining how supervisory decisions should adapt once harmonic admissibility, rather than voltage magnitude alone, becomes the dominant operating constraint.
A second strand of research has addressed the characterization of EV charger harmonic emissions and their influence on LV networks. A review focused on distribution-network operation and power quality already identified harmonics, voltage drop, and unbalance as recurring effects of EV charging in residential systems [1]. Subsequent case-based harmonic studies estimated total harmonic distortion in residential feeders supplied with an EV charging load and showed that the resulting current distortion depends on charger profiles and background conditions [9]. A stochastic assessment of harmonic emission under varying voltage distortion likewise showed that the EV charging load affects current harmonics and transformer loading in residential networks [10]. A utility case study in Qatar reached a similar conclusion by showing that total harmonic distortion (THD) evolves with penetration of electric vehicle charging stations (EVCSs) and feeder loading [11]. Related evidence under high photovoltaic penetration also shows that harmonics can constrain the admissible number of connected EVs and materially affect hosting-capacity conclusions [12]. These findings indicate that harmonic risk cannot be represented credibly by assigning a fixed spectrum to a generic charger model. Harmonic emissions depend on the charging state and operating conditions, and the coupling between fundamental current and harmonic content becomes relevant when many chargers operate at the same time. Even so, much of this literature remains oriented toward distortion assessment rather than feeder-level operating decisions. The resulting limitation is both methodological and descriptive: knowing how charger emissions vary with operating state does not by itself indicate how those emissions should be managed when many chargers interact through shared feeder impedance and uneven phase loading.
A third strand of research has focused on harmonic mitigation and power-quality improvement at the charger or station level. A grid-component-based harmonic-mitigation study showed that the choice of technical parameters in the distribution grid and charging infrastructure affects current and voltage THD in grid-connected EVCS [13]. Related work on multi-objective EV charging architectures examined coordinated converter control for AC/DC charging, low-voltage ride-through, and power-quality performance under local charging operation [14]. Other studies have treated EVCS as ancillary-service providers able to mitigate voltage unbalance and THD through converter control and filtering [15]. Similar coordination ideas have also been explored in low-voltage microgrids with EV charging stations through active power filters and droop-controlled inverters [16]. This body of work shows that charging infrastructure can be operated as more than a passive load. Yet the dominant perspective remains local, since the control objective is usually framed around one station, one converter, or one microgrid device. Considerably less emphasis has been placed on how local flexibility should be coordinated along a feeder in scenarios where multiple charging requests contend for constrained harmonic and phase-balance margins. Accordingly, these approaches clarify what local mitigation resources can achieve at the device or station level, but they provide less guidance on how mitigation should be coordinated when several charging requests compete for limited feeder-wide power-quality margins.
A fourth strand of research concerns smart charging, demand coordination, and network-aware scheduling. Experimental validation has shown that local smart charging can alleviate voltage-related power-quality issues in unbalanced LV networks [17]. Storage-assisted mitigation studies also indicate that charging demand can be reshaped to reduce network stress during adverse periods and improve the load factor in LV charging stations [18]. At the planning level, coordination strategies for pools of EVCS have been proposed to reduce voltage drops and overcurrents in public charging scenarios [19]. Network reconfiguration and EV charging–planning methods have likewise been studied to reduce power losses across LV and MV distribution systems [20]. These formulations are useful for operational planning, but their objective functions are usually governed by energy delivery, operating cost, loss reduction, or voltage and thermal constraints. Harmonic phenomena are often omitted, represented indirectly, or checked after the scheduling decision has already been made. The result is a mismatch between the variables being optimized and the constraints that are increasingly binding in converter-dominated LV feeders. This mismatch is causal rather than merely classificatory: a scheduler built around energy delivery, losses, or voltage deviation may still drive the feeder toward the binding harmonic boundary because the decision variables and the active feasibility constraints are not fully aligned.
Table 1 summarizes the main literature clusters relevant to this study and clarifies, in comparative terms, how their scope relates to the feeder-level formulation developed here.
Taken together, these strands show that prior studies have addressed relevant parts of the problem, but most have done so through separate thematic and methodological formulations. Feeder-impact and hosting studies tend to emphasize planning-oriented indicators, harmonic emission studies describe distortion behavior without incorporating it into feeder-level decision variables, local mitigation studies focus on compensation at the device or station level, and smart-charging formulations often optimize power allocation without incorporating harmonic distortion, voltage unbalance, and neutral-current admissibility into the scheduling layer itself. This separation becomes restrictive in EV-rich LV feeders, where the admissible operating region is shaped jointly by emission uncertainty, phase allocation, background feeder conditions, and the mitigation resources actually available. Harmonic hosting should therefore be understood as a quantity to be estimated during planning and as an operating condition to be managed in real time. From that perspective, the scientific problem addressed in this work is the lack of a feeder-level predictive formulation that jointly coordinates EV charging power, phase assignment, and selective compensation under simultaneous harmonic-distortion, voltage-unbalance, and neutral-current constraints.
Although prior studies have addressed relevant parts of the problem, such as harmonic characterization, hosting-capacity estimation, local mitigation, and smart-charging coordination, these elements are still often examined separately and under different modeling assumptions. In that context, the contribution of the present work is not to replace those strands with a universal solution, but to bring several of them together within a common feeder-level operational framework. More specifically, this study combines dependence-aware stochastic harmonic modeling, risk-based hosting assessment, and phase-aware predictive scheduling in order to evaluate how coordinated feeder operation can improve harmonic-hosting performance under low-voltage EV charging conditions.
Based on this scope, the present work makes four specific contributions. First, it introduces a dependence-aware stochastic representation of EV harmonic emissions that preserves the coupling between charging current and harmonic spectra, so that feeder-level risk evaluation follows charger behavior more closely. Second, it formulates harmonic hosting capacity through a risk-based multi-constraint perspective that accounts for individual harmonic limits, total harmonic distortion, phase imbalance, and neutral-current admissibility within the same assessment. Third, it develops a phase-aware predictive scheduling layer that coordinates charging power, phase allocation, and selective compensation over a rolling horizon, thereby extending hosting analysis toward feeder-level operational decision making. Fourth, it quantifies the sensitivity of admissible charging capacity to background distortion and feeder impedance, linking stochastic emission behavior, network representation, and control effort within one feeder-level formulation. The remainder of this paper is organized as follows. Section 2 presents the materials and methods, including the feeder representation, the dependence-aware stochastic harmonic model, the risk-based hosting metrics, and the phase-aware predictive scheduling formulation. Section 3 reports the numerical results, covering stochastic benchmark performance, hosting-capacity estimation, feeder-level scheduling comparisons, and sensitivity analysis. Section 4 discusses the implications of the findings for harmonic-hosting assessment and EV feeder operation, and Section 5 concludes the paper.

2. Materials and Methods

This section formalizes the complete workflow used to obtain the stochastic benchmark results, the risk-based harmonic hosting-capacity estimates, the feeder-level scheduling comparison, and the sensitivity analysis reported later. All voltages are treated as phase-to-neutral RMS phasors unless otherwise stated. Specifically, buses are indexed by n N , phases by p P = { a , b , c } , harmonic orders by h H = { 3 , 5 , , 39 } , discrete time intervals by t T , electric vehicles by e E , and Monte Carlo scenarios by ω Ω . This study was carried out in six coupled stages. Stage 1: Baseline feeder operating conditions were extracted from the public microgrid dataset used in this work in order to characterize the time-varying background demand seen by the low-voltage feeder. Stage 2: A literature-calibrated harmonic emission library was assembled to represent the dependence of charger harmonic spectra on their operating current. In the revised manuscript, this harmonic library is clarified as a synthetic, literature-informed representation of low-voltage EV charging emissions rather than as a calibration tied to one proprietary charger model or manufacturer-specific dataset. Its purpose is to reproduce the reported dependence between the fundamental charging current and the emitted harmonic spectrum under variable loading conditions. Accordingly, the model should be interpreted as a feeder-level stochastic representation of converter-dominated EV charging behavior, not as a device-specific fingerprint associated with one particular AC or DC charger topology. In this case, the operating condition used to parameterize the library is the charger loading state, represented through the fundamental current, which conditions both the marginal harmonic distributions and the cross-harmonic dependence structure. Stage 3: Stochastic harmonic samples were generated using both the proposed dependence-aware sampler and two simplified reference samplers, which were then benchmarked against the original library. Stage 4: Those samples were propagated through a harmonic power-flow model to estimate violation probabilities and hosting capacity under different risk thresholds. Stage 5: A phase-aware predictive scheduling layer was applied to coordinate charging power, phase allocation, and selective harmonic compensation under feeder constraints. Finally, Stage 6: Background distortion and feeder impedance were perturbed parametrically to quantify the sensitivity of the estimated hosting capacity. The overall methodological sequence is summarized in Figure 1, which organizes the interaction between the data layer, the stochastic harmonic model, the feeder simulation stage, the predictive scheduling layer, and the post-processing stage used for the performance indicators reported in the Section 3.

2.1. Baseline Feeder Representation and Harmonic Network Model

The feeder operating point at time t is defined by the background active and reactive demand vectors P t bg R 3 | N | and Q t bg R 3 | N | , whose entries are ordered by bus and phase. Let V 1 , t C 3 | N | denote the fundamental-frequency nodal voltage vector obtained from the three-phase load-flow solution for the baseline demand plus the scheduled EVCS power. For each harmonic order h H , the corresponding nodal harmonic voltage vector is denoted by V h , t , ω C 3 | N | and is computed through the frequency-domain network equation
V h , t , ω = V h , t bg + Z h I h , t , ω EV + I h , t c ,
where V h , t bg C 3 | N | is the background harmonic-voltage vector, Z h C 3 | N | × 3 | N | is the harmonic network impedance matrix at order h, I h , t , ω EV is the aggregated harmonic current injected by the active chargers in scenario ω , and I h , t c is the compensating current vector associated with the optional multifunctional mitigation resource. In this study, the multifunctional compensation resource is interpreted as a generic inverter-based harmonic-mitigation device connected at the feeder level, such as an active power filter or another converter-interfaced ancillary resource operated in harmonic-compensation mode. Its representation is intentionally supervisory rather than device-specific, since the objective of the research is feeder-level operational scheduling and hosting assessment rather than converter-level hardware design. Accordingly, the compensating action is modeled through an equivalent harmonic-current injection vector, while the frequency-dependent capability of the device is represented through the harmonic-order-specific limit imposed on the available compensating current. This allows the formulation to capture the practical fact that a mitigation resource does not provide identical support at all harmonic orders and remains constrained by a finite current budget across the analyzed spectrum.
The background operating point varies with time because the feeder demand extracted from the baseline microgrid dataset is not stationary. This feature is essential because the admissible charging headroom and the remaining harmonic-voltage margin are both functions of the underlying loading state. In the sensitivity study, the feeder representation is further perturbed through a background-distortion multiplier α B > 0 and a network-impedance multiplier α Z > 0 , such that
V h , t bg ( α B ) = α B V h , t bg , 0 , Z h ( α Z ) = α Z Z h 0 ,
where V h , t bg , 0 and Z h 0 denote the nominal background-distortion and feeder-impedance models, respectively.

2.2. Electric Vehicle Harmonic Emission Model

For each charger e, the scheduled fundamental charging power at time t is denoted by P e , t 0 , and the binary variable y e , p , t { 0 , 1 } indicates whether that charger is assigned to phase p. The single-phase assignment condition is therefore
p P y e , p , t = 1 , e E , t T .
Given the phase assignment, the fundamental charger current magnitude on phase p is written as
I e , p , 1 , t EV = y e , p , t P e , t | V p , t ( 1 ) | cos φ e ,
where | V p , t ( 1 ) | is the phase RMS voltage at the fundamental frequency and cos φ e is the charger fundamental power factor.
The harmonic emission of charger e at order h is represented through a current ratio κ e , h , t , ω and a phase angle ϕ e , h , t , ω , both conditioned on the fundamental operating current. The corresponding injected harmonic current phasor is
I e , p , h , t , ω EV = y e , p , t κ e , h , t , ω I e , p , 1 , t EV e j ϕ e , h , t , ω , h H ,
and the feeder-level aggregated harmonic current vector is obtained by summing (5) across all active chargers connected to the same phase and bus.
Consequently, preserving the observed dependence between the fundamental current and the harmonic spectrum, the stochastic emission state is defined by
ξ t , ω = log κ 3 , t , ω , log κ 5 , t , ω , , log κ 39 , t , ω , ϕ 3 , t , ω , ϕ 5 , t , ω , , ϕ 39 , t , ω .
For each component ξ j of ξ t , ω , let F j | I 1 ( · | I 1 ) be its conditional marginal cumulative distribution given the fundamental current I 1 . The conditional marginal models and current-dependent correlation matrices were identified from the literature-calibrated harmonic library described above. Since the objective of the present study is feeder-level harmonic-hosting assessment rather than charger certification, the adopted library was designed to represent generic low-voltage EV charging behavior under different loading states, without restricting the formulation to a single commercial charger family or proprietary measurement campaign. The proposed dependence-aware sampler first generates a latent Gaussian vector
z t , ω N 0 , R ( I 1 ) ,
where R ( I 1 ) is the current-dependent correlation matrix calibrated from the emission library. The probability-integral transform
u j , t , ω = Φ z j , t , ω , ξ j , t , ω = F j | I 1 1 u j , t , ω I 1 ,
then maps the latent Gaussian sample to the physical harmonic variables. This construction preserves both the fitted conditional marginals and the dependence structure across harmonic orders and with the operating current. By contrast, the independent parametric benchmark uses the same marginals with R ( I 1 ) = I , whereas the independent empirical benchmark resamples each harmonic component separately and therefore removes cross-harmonic and current-dependent coupling.

2.3. Benchmark Metrics for Stochastic Sample Generation

The first quantitative task is to assess whether the generated harmonic samples reproduce the one-dimensional distributions and preserve the physically relevant dependence between the fundamental current and the emitted harmonic spectrum. Let f b and f ^ b denote the normalized frequencies of the actual and generated histograms in bin b, respectively. The histogram-correlation coefficient used for harmonic magnitudes and phase angles is
ρ hist = b = 1 B f b f ¯ f ^ b f ^ ¯ b = 1 B f b f ¯ 2 b = 1 B f ^ b f ^ ¯ 2 ,
where B is the number of bins and f ¯ and f ^ ¯ are the corresponding sample means across bins. From a physical standpoint, ρ hist quantifies how closely the generated sample reproduces the overall shape of the empirical distribution of a harmonic variable. A value close to unity indicates that the generated sample preserves the dominant concentration regions, spread, and asymmetry of the original histogram, whereas lower values indicate distortion of the distributional pattern. In this study, the metric is used as a compact distribution-level consistency check for both harmonic magnitudes and phase angles, rather than as a pointwise error measure.
To evaluate whether the sampler preserves the dependence between the fundamental current and the emitted harmonics, the correlation-preservation error is defined as
ε ρ = 1 | H | h H ρ I 1 , I h ρ I 1 , I ^ h ,
where ρ ( · , · ) is the Pearson correlation coefficient, I h is the actual current at harmonic order h, and I ^ h is the generated counterpart. The rationale behind ε ρ is that feeder-level harmonic risk depends on more than marginal harmonic distributions. It also depends on whether the stochastic generator preserves the operating relationship between the fundamental charging current and the emitted harmonic spectrum. Smaller values of ε ρ therefore indicate closer preservation of this physically meaningful coupling across harmonic orders, whereas larger values indicate that the generated samples match marginal behavior while distorting the dependence structure that governs feeder stress under simultaneous charging. Because the seventh harmonic is prominent in the benchmark plots, its specific operating-point correlation is reported separately as
ρ 7 , 1 = ρ I 7 , I 1 .
These metrics jointly distinguish between mere marginal fitting and physically credible dependence reconstruction.

2.4. Power-Quality Indices and Hosting-Capacity Metrics

The harmonic-voltage magnitude at bus n, phase p, harmonic order h, time t, and scenario ω is denoted by | V n , p , h , t , ω | . Let V ¯ h lim be the admissible individual harmonic-voltage limit at order h. The normalized utilization of the individual harmonic margin is therefore
u n , p , h , t , ω = | V n , p , h , t , ω | V ¯ h lim .
A value above unity indicates violation of the corresponding individual harmonic limit. The worst harmonic-margin utilization across the feeder is defined as
U t , ω = max n N , p P , h H u n , p , h , t , ω .
The total harmonic distortion of voltage at bus n and phase p is computed from the harmonic-voltage spectrum as
THD n , p , t , ω = h H | V n , p , h , t , ω | 2 1 / 2 | V n , p , 1 , t , ω | ,
where | V n , p , 1 , t , ω | is the fundamental RMS voltage magnitude. Let Θ ¯ lim be the admissible feeder-level total harmonic distortion limit. The normalized total-distortion stress is then
Θ t , ω = max n N , p P THD n , p , t , ω Θ ¯ lim .
For a fixed number m of simultaneously charging vehicles, the probability of violating at least one individual harmonic limit is estimated by
p ind ( m ) = 1 | Ω | ω Ω I U ω ( m ) > 1 ,
where I [ · ] is the indicator function. In the same way, the probability of violating the total harmonic distortion limit is
p THD ( m ) = 1 | Ω | ω Ω I Θ ω ( m ) > 1 .
Given a prescribed admissible risk threshold ϵ ( 0 , 1 ) , the harmonic hosting capacity is defined as the largest number of simultaneously charging vehicles for which both risk criteria remain acceptable,
HC ( ϵ ) = max m N : max p ind ( m ) , p THD ( m ) ϵ .
The summary statistics reported in the feeder-level comparison are the sample mean E [ U ] and the empirical 95th percentile Q 0.95 ( U ) of (13) across the scenario set. In this work, the risk thresholds used in the hosting-capacity comparison are interpreted as scenario-based admissible violation levels chosen to span conservative, intermediate, and moderately permissive operating criteria. The values of 5%, 10%, and 20% are therefore used as comparative planning filters to examine how the estimated hosting capacity changes under stricter or looser tolerance to harmonic-limit exceedance. They are not intended to represent universal regulatory thresholds, but rather structured risk levels for comparing the behavior of the competing stochastic representations under the same feeder conditions.
Since the proposed operating strategy is phase-aware, a feeder phase-imbalance metric is also required. Let P p , t EV be the aggregated scheduled charging power on phase p at time t and let P ¯ t EV = 1 3 p P P p , t EV be its mean across phases. The normalized imbalance index is defined as
Γ t = p P P p , t EV P ¯ t EV p P P p , t EV .
In addition, the neutral-current constraint is monitored through
I h , t , ω N = p P I p , h , t , ω ,
and feasibility requires | I h , t , ω N | I ¯ h N for all harmonic orders under consideration. To summarize neutral-current performance in the feeder-level comparison, the probability of violating the neutral-current limit is defined as
p N ( m ) = 1 | Ω | ω Ω I max h H | I h , ω N ( m ) | I ¯ h N > 1 ,
where I [ · ] is the indicator function. This metric is reported together with the other feeder-level operating indicators in the revised Section 3.
To identify which harmonic orders contribute most to feeder stress, an order-specific limit violation index is defined as
LVI h = 1 | Ω | ω Ω max n N , p P u n , p , h , ω 1 + ,
where [ x ] + = max ( x , 0 ) . The index in (22) is zero when harmonic order h never approaches its limit and increases with both the frequency and the severity of exceedances.
Finally, the operating effort associated with the proposed scheduling law is quantified through the curtailed charging fraction
C t = e E P e max P e , t e E P e max ,
where P e max is the nominal charging power of vehicle e, and through the compensation-activation variable b t { 0 , 1 } , whose average value over the simulated horizon gives the reported compensation activation percentage.

2.5. Phase-Aware Predictive Scheduling Problem

The proposed operating layer is formulated over a finite prediction horizon K t = { t , t + 1 , , t + K 1 } , where K denotes the number of future time steps considered at each dispatch update. Specifically, the decision variables are the charging powers P e , k , the phase-assignment variables y e , p , k , the compensating harmonic-current vector I h , k c , and the binary activation variable b k for the multifunctional compensation resource. The optimization target is to preserve the harmonic hosting margin while keeping curtailment and compensation use as low as possible. Moreover, the control-oriented interaction among feeder-state estimation, stochastic scenario generation, harmonic network evaluation, predictive optimization, and actuator implementation is summarized in Figure 2. This diagram is intended to accompany the mathematical formulation below and to clarify the information flow between the physical feeder layer and the supervisory decision layer.
In this regard, the objective function is written as
min { P e , k , y e , p , k , I h , k c , b k } k K t w U U ¯ k + w Γ Γ k + w C C k + w B b k ,
where w U , w Γ , w C , and w B are nonnegative weights, Γ k is given by (19), C k is given by (23), and
U ¯ k = 1 | Ω | ω Ω U k , ω
is the scenario-averaged worst margin utilization.
The optimization is subject to charger and service constraints,
0 P e , k P e max , p P y e , p , k = 1 , y e , p , k { 0 , 1 } ,
together with the energy-delivery requirement
E e , k + 1 = E e , k + η e P e , k Δ t , E e , k dep E e req ,
where E e , k is the battery energy state of vehicle e at step k, η e is the charging efficiency, Δ t is the control interval, and E e req is the minimum energy requested by departure time k dep .
The network-feasibility constraints enforce the admissible harmonic region scenario by scenario:
U k , ω 1 , Θ k , ω 1 , | I h , k , ω N | I ¯ h N ,
for all k K t , all ω Ω , and all h H . Selective use of the compensation resource is imposed through
I h , k c b k I ¯ h c , b k { 0 , 1 } ,
where I ¯ h c is the maximum available compensating current at harmonic order h. Equation (29) prevents the compensator from being partially used unless it is explicitly activated and penalized through (24). From a practical standpoint, I ¯ h c represents the harmonic-order-dependent compensation capability of the feeder-level mitigating resource. Response-time effects are not modeled through detailed converter dynamics, switching transients, or inner control loops. Instead, they are treated implicitly by assuming that the compensating action is available within each scheduling interval. This assumption is consistent with the supervisory scope of the proposed framework, whose purpose is to evaluate feeder-level feasibility and operating trade-offs rather than device-level dynamic performance.
The predictive nature of the method arises because the decision at time t is based on the feeder loading state anticipated over the horizon, the expected electric vehicle arrivals or concurrent charging requests, and the scenario set of possible harmonic emissions over K t . In the numerical experiments reported in this paper, the baseline feeder-demand and voltage trajectories over the prediction horizon were treated as exogenous inputs derived from the available dataset, that is, under a perfect-forecast assumption for the short scheduling horizon considered. In this way, the proposed strategy does not only react to the instantaneous phase loading but also anticipates how current phase assignments and charging levels may reduce the remaining harmonic-voltage margin in subsequent intervals. The rolling-horizon implementation used in the numerical experiments is summarized in Algorithm 1. Its diagrammatic counterpart, intended for a later figure based directly on the pseudocode, is reserved in Figure 3.
Algorithm 1 Phase-Aware Predictive Harmonic Scheduling
Input: 
Baseline feeder state { P t bg , Q t bg , V h , t bg , Z h } , active charging requests E t , prediction horizon K t , scenario set Ω , harmonic library { F j | I 1 , R ( I 1 ) } , technical limits { V ¯ h lim , Θ ¯ lim , I ¯ h N , I ¯ h c } , and weights { w U , w Γ , w C , w B }
Output: 
Optimal first-step charging powers { P e , t } , phase assignments { y e , p , t } , compensating currents { I h , t c } , and activation status b t
  1:
  Update feeder measurements, active chargers, and service requirements at time t
  2:
  Build the prediction horizon K t = { t , t + 1 , , t + K 1 }
  3:
  Provide baseline feeder-demand and voltage trajectories over K t from the exogenous dataset-based forecast used in the numerical experiments
  4:
  for each scenario ω Ω  do
  5:
        for each active charger e E t and each step k K t  do
  6:
              Compute I e , p , 1 , k EV from (4)
  7:
              Generate latent sample z k , ω N ( 0 , R ( I 1 ) )
  8:
              Map z k , ω to ξ k , ω using (8)
  9:
              Construct harmonic current phasors I e , p , h , k , ω EV from (5)
  10:
      end for
  11:
      Aggregate charger harmonic currents by bus and phase
  12:
      Evaluate nodal harmonic voltages V h , k , ω from (1)
  13:
      Compute U k , ω , Θ k , ω , Γ k , and I h , k , ω N
  14:
end for
  15:
Solve the optimization problem (24)–(29) over K t
  16:
Apply only the first-step decisions { P e , t , y e , p , t , I h , t c , b t }
  17:
Advance to the next interval t t + 1 and repeat until the simulation horizon is exhausted
In implementation terms, the proposed scheduler follows a standard receding-horizon logic: at each update instant, a finite prediction horizon is constructed, a representative set of harmonic scenarios is generated from the dependence-aware emission model, the optimization problem is solved over that horizon, and only the first-step decisions are applied before the horizon is shifted forward. In this way, the scenario set is used to evaluate feeder feasibility under multiple harmonic realizations within each update cycle, while the rolling-horizon structure preserves the operational character of the scheduling problem. From a computational standpoint, the size of the predictive optimization problem grows with the prediction horizon, the number of active charging requests, the number of harmonic scenarios, and the feeder representation adopted for harmonic evaluation. In the present formulation, the binary decision layer is dominated by the phase-assignment variables y e , p , k and the compensation-activation variable b k , so that the number of binary variables scales on the order of 3 | E | K + K . The scenario-dependent network-feasibility checks scale with the number of time steps, harmonic scenarios, and harmonic orders, that is, on the order of K | Ω | | H | . In addition, once the harmonic network matrices are available, the scenario-wise harmonic-voltage evaluation scales with feeder size through repeated matrix–vector operations, which increases the computational burden as the number of modeled buses grows. Therefore, the overall burden increases approximately linearly with horizon length, number of requests, and number of scenarios at the supervisory layer, while the feeder-network evaluation becomes more demanding for larger harmonic models and larger feeders.

2.6. Benchmark Strategies and Numerical Protocol

Three operating strategies were compared under the same feeder model, the same harmonic library, and the same Monte Carlo simulation settings. In the uncontrolled strategy, each connected vehicle charges at its nominal power, that is,
P e , t UC = P e max ,
while its phase assignment remains fixed according to the initial charger connection. In the load-balanced strategy, all vehicles also charge at nominal power, but each new charging request is assigned to the phase with the smallest aggregated fundamental active power,
p = arg min p P P p , t agg ,
and no harmonic compensation or curtailment is allowed. In the proposed phase-aware predictive strategy, the decision variables are optimized according to (24)–(29). These benchmark strategies were selected as deliberately simple reference cases intended to isolate the feeder-level value of coordinated scheduling beyond unmanaged charging and beyond phase balancing alone. They were not designed as a full ablation study of each modeling component, but as clear operational baselines against which the integrated effect of the proposed framework could be evaluated.
For the rolling-horizon experiments, the baseline feeder-demand and voltage trajectories required by the scheduler were supplied as exogenous inputs derived from the available microgrid dataset over the simulated horizon. Therefore, the numerical study focused on the feeder-level scheduling and harmonic-hosting implications of the predictive formulation under a perfect-forecast assumption, rather than on the design or benchmarking of a separate forecasting model. For each tested number of simultaneously charging vehicles m, the feeder was simulated over the selected operating intervals, and for each interval, a set of | Ω | stochastic harmonic scenarios was generated from the library. The benchmark stage compared the proposed dependence-aware sampler against the two simplified references using (9)–(11). The hosting-capacity stage then propagated those samples through the harmonic feeder model and estimated the violation probabilities in (16) and (17), from which the risk-based hosting capacity in (18) was obtained. The feeder-level operating comparison evaluated the three charging strategies at stressed penetration levels, and the reported indicators correspond to the sample statistics of p ind , p THD , p N , U, Γ , C, and b. The sensitivity analysis repeated the hosting-capacity estimation while sweeping the parameters α B and α Z in (2), thereby quantifying the relative influence of background distortion and feeder impedance on the admissible number of simultaneous charging vehicles.

3. Results

3.1. Baseline Feeder Conditions and Literature-Calibrated Harmonic Library

To begin with, Figure 4 summarizes the baseline operating conditions derived from the public microgrid dataset of the University of Cuenca. As shown, the annual profile reveals pronounced temporal variability in feeder demand, while the representative daily profiles confirm that the background loading condition changes substantially over the day. This variability is relevant because the admissible margin for additional electric vehicle charging is inherently time dependent; consequently, the available harmonic hosting margin cannot be regarded as constant.
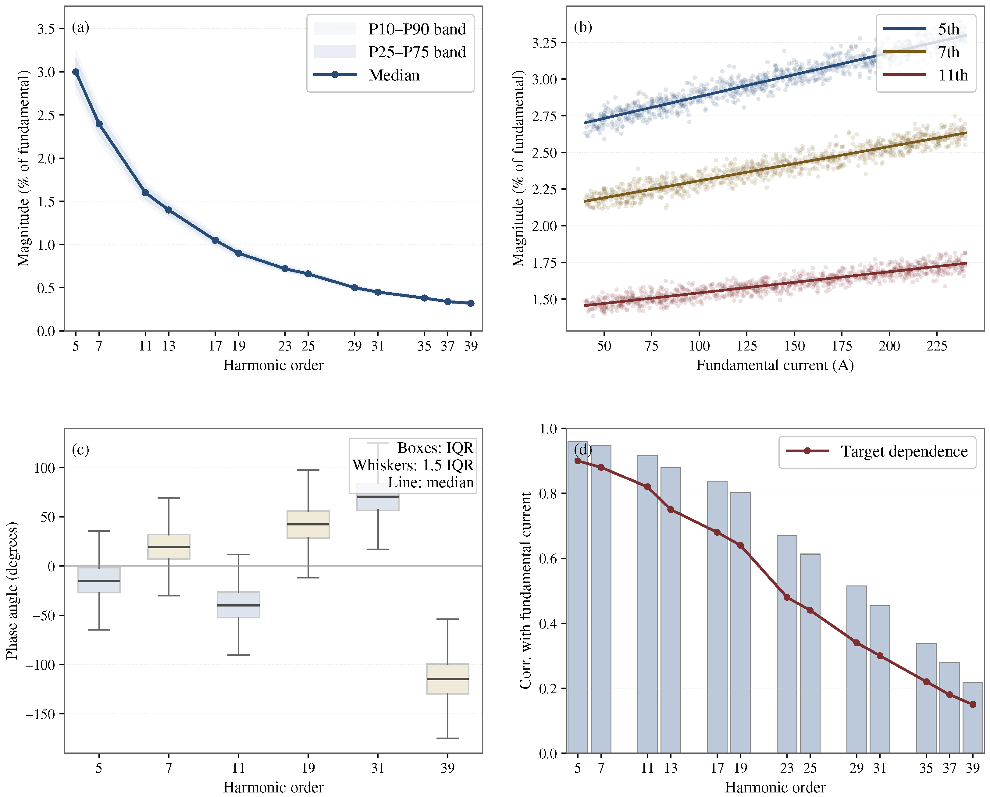
To represent charger-side harmonic behavior under variable operating conditions, a literature-calibrated harmonic library was constructed. In the revised manuscript, this library is explicitly interpreted as a synthetic, literature-informed representation of generic low-voltage EV charging emissions under variable loading conditions, rather than as a dataset tied to a single commercial charger technology. Figure 5 summarizes its main features, including the statistical decay of harmonic magnitudes with increasing order, the dependence of dominant lower-order harmonics on the fundamental current, the dispersion of representative phase angles, and the resulting correlation structure across harmonic orders. Together, these elements define the stochastic harmonic model later used in the hosting-capacity assessment.

3.2. Benchmark of Stochastic Harmonic Sample Generation

The first stage of the analysis evaluates whether the stochastic generator preserves the marginal distributions of harmonic variables and the dependence structure between the fundamental current and the harmonic spectrum. Figure 6 compares representative actual and generated distributions for the seventh harmonic magnitude and phase angle. The corresponding quantitative indicators are summarized in Table 2. Within this benchmark, higher values of the histogram-correlation coefficient indicate stronger agreement between actual and generated distributions, whereas lower values of the correlation-preservation error indicate better retention of the physically relevant coupling between charging level and harmonic emission. The benchmark is therefore intended to distinguish between mere marginal fitting and operating-point consistency.
The proposed sampler achieved an average histogram correlation of 0.9741 for harmonic magnitudes and 0.9969 for phase angles, while its average absolute error in the harmonic–fundamental correlation was limited to 0.0378. The two simplified reference samplers reproduced the marginal distributions reasonably well, but both failed to retain the physical dependence between charging level and harmonic emission. Their average absolute correlation errors increased to 0.8981 and 0.8936, respectively, which means that the proposed method reduced this error by approximately 95.8% relative to both references. The same trend is observed for the seventh harmonic, whose actual-to-generated correlation remained high under the proposed sampler at 0.8953, whereas it collapsed to values close to zero for the independent parametric and independent empirical samplers. These results show that a realistic benchmark cannot rely only on one-dimensional distribution fitting, since this may erase the operating dependence that ultimately drives harmonic risk. This finding is consistent with previous stochastic hosting-capacity studies, where dependence-aware modeling was identified as a necessary condition for credible harmonic-risk estimation [21].
The stochastic benchmark is completed by evaluating the probability of exceeding harmonic-voltage limits as the number of simultaneously charging vehicles increases. Figure 6 compares the competing samplers in terms of the risk of violating individual harmonic limits and the total harmonic distortion limit. The central curves represent the nominal benchmark trends, while the shaded percentile envelopes provide a compact visualization of the uncertainty surrounding those risk estimates.

3.3. Risk-Based Harmonic Hosting-Capacity Estimation

Figure 7 presents the probability of exceeding individual harmonic-voltage limits and the total harmonic distortion limit as a function of the number of simultaneously charging vehicles. All three samplers were evaluated under the same feeder conditions, risk thresholds, and Monte Carlo settings; therefore, the observed differences are attributable to the sampling logic itself rather than to changes in the simulation environment. The hosting-capacity values reported below should be interpreted in the context of the selected admissible risk thresholds. In this study, the 5%, 10%, and 20% levels are used as comparative scenario-based filters to examine how sensitive the estimated admissible charging capacity is to stricter or looser tolerance to harmonic-limit exceedance under the same feeder conditions.
The corresponding hosting-capacity values are reported in Table 3. At a risk threshold of 10%, the proposed sampler limits harmonic hosting capacity to 10 simultaneous vehicles, whereas the independent parametric and independent empirical references would suggest 12 and 13 vehicles, respectively. This implies overestimations of 20% and 30% in admissible charging capacity when the dependence structure is neglected. At the stricter 5% threshold, the proposed sampler yields 9 vehicles, compared with 11 and 13 for the two simplified references, again indicating that dependence-free sampling tends to underestimate the actual risk of harmonic-limit violation. The same pattern is preserved at the 20% threshold, where the proposed method still provides the most conservative and physically consistent estimate. Therefore, the contribution of the proposed sampler is not merely statistical; it directly affects the credibility of hosting-capacity decisions by avoiding an optimistic bias in the number of vehicles that the feeder is considered able to accommodate.
The order-specific contribution to harmonic-limit violations is summarized by the limit violation index in Figure 8. Although the synthetic emission library is dominated by lower-order odd harmonics, the largest contributions arise at the upper end of the analyzed spectrum, particularly at the 39th, 37th, and 35th harmonics under stressed operating conditions. This pattern matters because violation risk depends on emitted magnitude and on the remaining voltage margin available at each harmonic order. From a practical perspective, this indicates that feeder planning should account for the strongest emitted harmonics and for those whose admissible harmonic-voltage headroom is more limited [21].

3.4. Feeder-Level Improvement Obtained with Phase-Aware Predictive Scheduling

Figure 9 and Table 4 compare the feeder-level charging strategies under stressed operating conditions. Across the three loading scenarios, the proposed phase-aware predictive scheduling yielded the lowest harmonic stress and the lowest violation probability among the evaluated strategies. The revised table also reports the probability of violating the neutral-current limit, so that compliance with the neutral-current constraint included in the optimization model can be assessed directly. This addition is relevant because harmonic feasibility in low-voltage feeders depends on voltage distortion, phase imbalance, and the accumulation of phase currents in the neutral conductor under asymmetric and harmonic-rich operating conditions.
At 20 vehicles, the probability of violating individual harmonic limits decreased from 6.857% in the uncontrolled case to 0.000% under the proposed strategy, while the mean worst harmonic-margin utilization was reduced from 0.719 to 0.436, corresponding to a 39.4% reduction. At 25 vehicles, the same probability dropped from 18.000% to 0.000%, and the mean worst utilization decreased from 0.858 to 0.520, which again corresponds to a 39.4% reduction. The strongest contrast was observed at 30 vehicles, where uncontrolled charging reached a 48.857% probability of individual harmonic-limit violation and a 4.571% probability of total harmonic distortion violation, whereas the proposed strategy reduced both indicators to 0.000%. Under the same loading level, the mean worst utilization decreased from 1.019 to 0.625, corresponding to a 38.7% reduction.
The comparison with load-balanced charging is also informative. Although load balancing reduced phase imbalance more aggressively, it did not preserve the harmonic operating margin as effectively as the proposed strategy. At 30 vehicles, the mean worst utilization remained at 0.852 under load-balanced charging, whereas the phase-aware strategy reduced it to 0.625. Likewise, the probability of violating individual harmonic limits decreased from 12.000% to 0.000%. These results indicate that balancing phase demand alone is not sufficient when harmonic hosting constraints become dominant. The proposed scheduling law provides a more effective trade-off by explicitly coordinating charging power, phase allocation, and selective compensation. Neutral-current performance followed a related but not identical trend. At 20 EVs, the probability of violating the neutral-current limit was 24.092% under uncontrolled charging, 11.275% under load-balanced charging, and 1.942% under the proposed phase-aware strategy. At 25 EVs, the corresponding values were 42.450%, 27.575%, and 6.975%, respectively. At 30 EVs, uncontrolled and load-balanced charging reached 58.375% and 43.983%, whereas the proposed strategy limited this indicator to 5.317%. These results indicate that phase balancing alone alleviates neutral-conductor stress only partially, while coordinated phase-aware scheduling with selective compensation is more effective when triplen harmonic accumulation becomes dominant.
The achieved improvement required moderate intervention for 20 and 25 vehicles, with average curtailment close to 18%, while the compensation resource was activated in 9.429% and 32.857% of the simulated cases, respectively. At 30 vehicles, compensation activation increased to 82.000%, indicating that the feeder approached a heavily stressed regime. Even under that condition, however, the proposed method maintained zero violation probability for both individual harmonic limits and total harmonic distortion. This result confirms that the main contribution of the proposed control strategy is not merely to redistribute charging sessions, but to preserve harmonic hosting capability under increasingly restrictive operating conditions.

3.5. Sensitivity of Hosting Capacity to Background Distortion and Feeder Impedance

Figure 10 evaluates the sensitivity of the proposed method to background distortion and feeder impedance, two factors repeatedly identified as critical in harmonic hosting studies [22,23]. The heatmap reports the harmonic hosting capacity at a 10% risk threshold for combinations of background-distortion multipliers and network-impedance multipliers.
The results indicate that feeder impedance exerts the strongest influence within the explored range. As the impedance multiplier increases from 0.8 to 1.2, the admissible hosting capacity decreases markedly even under nominal background distortion. Increasing background distortion also reduces hosting capacity across all impedance levels, although its effect is comparatively smaller. This result reinforces the idea that hosting-capacity estimation cannot be dissociated from feeder representation, and that realistic planning requires simultaneous consideration of background operating conditions and network characteristics.

3.6. Operating-Region Synthesis Under Increasing Feeder Stress

While the sensitivity heatmap identifies the separate influence of background distortion and feeder impedance on hosting capacity, a more integrated view of the resulting operating regimes is obtained by projecting the scenario sweep onto a unified feeder-stress axis. In this representation, the feeder severity index is used as a compact visualization variable to order the combined sensitivity cases. It is constructed from the joint increase in background distortion and feeder impedance relative to the nominal case, so that larger values correspond to progressively more adverse feeder conditions. Its physical meaning is therefore not that of an independent network variable, but that of an aggregated stress descriptor used to visualize how the operating region evolves when both sources of feeder severity increase simultaneously. Figure 11 provides a compact operating-region synthesis of the proposed phase-aware scheduling strategy as the number of simultaneously charging EVs and the feeder severity index increase. The filled contours represent the mean worst harmonic-margin utilization, the solid isolines denote the probability of violating individual harmonic-voltage limits, and the dashed isolines indicate the compensation-activation rate. In contrast to the previous figures, which examine individual dimensions of the problem separately, this representation makes it possible to visualize the joint evolution of feeder stress, violation risk, and control effort within a single operating space.
Several consistent patterns emerge from this representation. First, the mean worst harmonic-margin utilization increases monotonically as both EV penetration and feeder severity rise, which confirms that the admissible operating region progressively contracts under more adverse conditions. Second, the iso-risk contours show that the transition from low-risk to high-risk operation is not linear with respect to the number of EVs, but becomes markedly steeper once the feeder enters the upper-severity region. Third, the compensation-activation contours remain relatively sparse in the low- and medium-stress region, but become denser as the operating point approaches the harmonic boundary, indicating that selective mitigation is required mainly near the edge of feasible operation rather than throughout the entire scenario space.
Figure 11 turns the scenario sweep into an engineering map that is easier to interpret. Rather than reporting isolated operating points, the figure shows the shape of the feasible region and how harmonic stress, violation probability, and mitigation effort evolve together. This reading supports the view that the proposed strategy maintains a consistent operating pattern across the range of feeder conditions examined, instead of being limited to a few tested loading levels. For readability, the operating map should be interpreted by combining three visual layers: the color field indicates the average harmonic-stress level, the solid isolines indicate violation-risk levels, and the dashed isolines indicate the intensity of compensation use required to preserve feeder feasibility.

3.7. Comparison with Recent Journal Methods

The previous subsections demonstrated the quantitative behavior of the proposed method within a common simulation framework. To position these results with respect to recent journal contributions, Table 5 now provides a qualitative comparison of methodological scope across selected studies, whereas Figure 12 offers a broader visual summary of the dimensions covered by recent contributions and the present work. This reformulation avoids potentially misleading numerical comparisons across heterogeneous feeders, charger populations, and study assumptions, and instead highlights which elements of harmonic-hosting analysis are jointly addressed by the proposed framework.
As shown in Table 5, recent journal studies have typically emphasized one part of the problem at a time, such as stochastic hosting under uncertainty, network-model sensitivity, converter-level mitigation, or measurement-based smart-charging assessment. In contrast, the proposed framework combines dependence-aware stochastic hosting-capacity estimation, feeder-level predictive scheduling, phase-aware scheduling decisions, and explicit sensitivity analysis with respect to background distortion and feeder impedance. From that perspective, its contribution lies not in direct numerical comparison with heterogeneous case studies, but in integrating within one operational model several dimensions that recent journal studies have mostly treated separately.

4. Discussion

4.1. Why Dependence-Aware Harmonic Modeling Matters

The results suggest that the central difficulty in harmonic hosting assessment is not limited to representing the spread of charger emissions, but rather to preserving how those emissions evolve with the operating point. In practical terms, this means that a feeder can appear acceptable under simplified stochastic assumptions while being materially closer to the harmonic boundary when charger behavior remains coupled to the charging level. The relevance of the proposed stochastic formulation therefore lies in its ability to represent harmonic hosting as a state-dependent phenomenon rather than as a static superposition of independent emissions. This distinction is important because feeder operation is ultimately shaped by the interaction between user demand, charger control state, and network response, all of which evolve jointly rather than in isolation.
This interpretation also helps clarify why marginally accurate harmonic libraries are not always sufficient for planning. A model may reproduce distributions well and still misrepresent the way feeder stress accumulates under simultaneous charging. From this perspective, the present work supports a broader methodological point: in low-voltage feeders with concentrated electric vehicle penetration, harmonic hosting should be treated as a probabilistic network phenomenon whose credibility depends on retaining physically meaningful dependence structures. The contribution of the stochastic benchmark is therefore not statistical sophistication for its own sake, but improved interpretability of feeder risk.

4.2. Harmonic Hosting as an Operational Rather than Purely Planning Problem

A broader implication of the study is that harmonic hosting capacity should not be understood as a fixed feeder attribute. Instead, it emerges from the interplay between feeder state, charger aggregation, background distortion, and the adopted operating strategy. This has two consequences. First, the admissible number of charging vehicles is conditional on how the system is operated, not only on the underlying network hardware. Second, the harmonic boundary cannot be inferred from charger signatures alone, because the network determines how current emissions are translated into voltage distortion and the available compliance margin.
Seen in this light, the present results support a shift from static hosting assessment toward operational hosting management. Such a shift is particularly relevant in low-voltage feeders, where the combination of asymmetric loading, limited voltage headroom, and clustered charging can make compliance sensitive to relatively small changes in operating conditions. The feeder-level viewpoint adopted here is therefore significant because it reframes hosting capacity from a single planning indicator into a dynamic operating region whose limits depend on both network conditions and control action.

4.3. Why Phase Balancing Alone Is Not Enough

One of the clearest conceptual messages of the study is that balancing phase demand does not necessarily amount to managing harmonic stress. Phase balancing remains useful because it reduces asymmetry and can alleviate part of the feeder burden; however, the results indicate that this alone does not guarantee preservation of the harmonic margin. The reason is that harmonic feasibility depends on more than the equalization of fundamental active power across phases. It also depends on how charger operating states shape the emitted spectrum, how those emissions aggregate across phases, and how the feeder responds at each harmonic order.
This helps explain why the proposed strategy performs differently from a conventional load-balancing rule. The added value of the phase-aware predictive formulation is not simply that it redistributes charging, but that it uses redistribution as one lever within a broader harmonic-management logic. Charging power, phase allocation, and selective compensation act together to maintain the feeder within an admissible operating region. The implication is that future charging-management schemes for stressed low-voltage feeders may need to move beyond purely load-oriented objectives and explicitly incorporate harmonic constraints into supervisory control.

4.4. The Role of Feeder Representation in Hosting Conclusions

The sensitivity analysis highlights another point with broader relevance: harmonic hosting conclusions are strongly conditioned by feeder representation. This is not surprising from a physical standpoint, since voltage distortion is shaped by the frequency-dependent impedance seen by aggregated charger currents. Even so, the practical consequence deserves emphasis. Hosting values are sometimes interpreted as if they were transferable characteristics of a charger fleet or of a feeder category, whereas the present results indicate that they remain highly contingent on the local network model and on the assumed background conditions.
This reinforces the need for caution when comparing hosting values across studies. Differences in feeder representation, background distortion, and equivalent impedance are not secondary modeling details; they are part of the reason why identical charger populations may lead to different admissible operating regions in different networks. The main methodological implication is that harmonic hosting should be reported together with a transparent description of the feeder conditions under which it was derived. Without that context, hosting values risk being interpreted more generally than the underlying assumptions justify.

4.5. Position of the Proposed Framework Within the Recent Literature

Recent work on electric-vehicle-related power-quality assessment has generally advanced along partially separate lines. Some studies have focused on stochastic characterization of harmonic emissions, others on converter-level mitigation, and others on broader hosting-capacity or smart-charging questions. The present work does not displace those contributions; rather, it links them within a common feeder-level framework. Its main contribution lies in bringing together dependence-aware stochastic modeling, risk-based harmonic hosting assessment, phase-sensitive operating decisions, and sensitivity to feeder conditions in a single formulation.
This integrated perspective is useful because low-voltage harmonic hosting is rarely limited to one isolated mechanism. In practice, uncertainty, phase allocation, background conditions, and mitigation resources interact simultaneously. The proposed framework responds to that interaction by treating harmonic hosting as a constrained operating problem instead of a purely descriptive or component-level one. For that reason, its contribution is best understood not as the optimization of one metric in isolation, but as the consolidation of several dimensions that are often examined separately in the literature.

4.6. Implications for Implementation

From an implementation standpoint, this study suggests that feeder-level harmonic supervision could become a realistic extension of advanced charging management if adequate feeder models and representative emission libraries are available. The operating-region viewpoint developed here is especially useful in that regard because it translates scenario sweeps into interpretable engineering boundaries. Rather than providing only isolated admissible points, it indicates how rapidly operating conditions deteriorate as feeder stress increases and where the controller begins to rely more heavily on intervention.
This has practical relevance for utilities and aggregators. Under moderate operating conditions, simple charging rules may be sufficient, whereas near the boundary of admissible operation, predictive and phase-aware coordination becomes more useful. The framework can therefore be read as a control scheme and as a decision-support tool for identifying when more advanced harmonic management is justified and when simpler policies remain adequate.

4.7. Limitations and Future Directions

The discussion should also recognize the limits of the present formulation. The harmonic library used in the study is structured and physically informed, but it does not replace large-scale field measurements covering a broader diversity of charger technologies, firmware behaviors, and grid conditions. Likewise, the analysis is based on feeder simulations and scenario sweeps rather than on closed-loop field deployment. This is appropriate for methodological development, but it means that implementation issues such as communication delays, measurement uncertainty, forecasting error, and phase-switching practicality remain outside the present scope. A further limitation is that the predictive scheduling experiments were conducted under exogenous baseline trajectories supplied from the available dataset over the simulated horizon, rather than under an explicitly modeled forecasting layer with a quantified prediction error. As a result, the present paper does not report a formal sensitivity analysis with respect to forecast uncertainty in baseline demand or voltage. This choice was made to isolate the feeder-level effects of phase-aware harmonic scheduling from the separate problem of short-term forecasting. Future work should extend the framework by incorporating forecast uncertainty, testing persistence- and model-based predictors, and quantifying how prediction errors propagate into harmonic-margin utilization, violation risk, and compensation effort.
A second limitation is that the compensation resource is represented as a feeder-level-equivalent harmonic-current source with bounded activation, rather than through a detailed model of a specific physical device. In practical terms, the abstraction is intended to represent a generic inverter-based mitigating resource, such as an active power filter or a converter-interfaced ancillary device operated in harmonic-compensation mode. This is appropriate for supervisory scheduling and hosting analysis, but it does not capture device-level aspects such as inner control dynamics, switching behavior, frequency-dependent efficiency, bandwidth limits, or explicit response delay. Additional work would therefore be required to map the proposed feeder-level formulation onto a particular hardware platform and to assess implementation cost and dynamic performance under real operating conditions. Future research could extend the framework toward field validation, richer charger datasets, real-time measurement integration, and multi-feeder coordination. Another promising direction is to incorporate user-service constraints more explicitly, so that harmonic feasibility and charging quality of service are addressed within the same optimization layer. A further limitation is that the strategy comparison was intentionally restricted to unmanaged charging and load-balanced charging as clear operational baselines. Therefore, the present study does not include a benchmark against more advanced harmonic-aware scheduling methods of the same type, and the comparative conclusions should be interpreted within that narrower baseline scope.
Finally, the findings are best interpreted as evidence that harmonic hosting in electric-vehicle-rich low-voltage feeders is inherently operational, state dependent, and strongly shaped by feeder representation. Under that interpretation, the main value of the proposed approach is that it offers a coherent way to connect stochastic harmonic behavior, network sensitivity, and feeder-level control within a single decision framework.

5. Conclusions

This paper presented a phase-aware predictive framework for harmonic hosting management in low-voltage feeders with high penetration of electric vehicle charging. This study examined the problem from a feeder-level perspective by combining dependence-aware stochastic harmonic modeling, risk-based hosting assessment, and coordinated charging operation under harmonic distortion, phase imbalance, and mitigation constraints.
The results indicate that harmonic hosting capacity cannot be interpreted reliably when charger emissions are represented only through independent marginal behavior, since preserving the dependence between charging level and harmonic emission is necessary to obtain credible estimates of feeder risk and admissible charging operation. They also indicate that harmonic hosting in EV-rich low-voltage feeders should be understood as an operating condition shaped by feeder representation, background conditions, and the adopted control strategy, rather than as a fixed planning attribute.
The feeder-level comparison further showed that balancing phase demand alone is not sufficient when harmonic constraints become dominant. The proposed strategy was effective within the simulated study setting because it coordinated charging power, phase allocation, and selective compensation within a unified predictive decision framework. Within that setting, the proposed formulation reduced violation risk and preserved harmonic feasibility more consistently than the reference strategies under stressed operating conditions. The analysis also showed that the most restrictive harmonic orders are determined by the interaction between charger behavior and the remaining voltage headroom of the feeder at each frequency. Finally, this paper contributes a coherent methodology for assessing and managing harmonic hosting in low-voltage electric vehicle feeders. By linking stochastic emission behavior, feeder sensitivity, and predictive operating decisions within a single framework, it provides a technically grounded basis for analyzing how coordinated feeder operation can expand admissible charging conditions while maintaining compliance with power-quality limits under the modeled scenarios considered in this study.

Author Contributions

Conceptualization, P.A.-C. and D.O.-C.; methodology, P.A.-C., D.O.-C. and D.B.; software, P.A.-C. and D.B.; validation, P.A.-C., D.O.-C., E.A.-V. and J.L.E.; formal analysis, P.A.-C., D.O.-C. and D.B.; investigation, P.A.-C., D.B., E.A.-V. and J.L.E.; resources, D.O.-C.; data curation, P.A.-C. and D.B.; writing—original draft preparation, P.A.-C.; writing—review and editing, D.O.-C., D.B., E.A.-V. and J.L.E.; visualization, P.A.-C. and D.B.; supervision, D.O.-C.; project administration, D.O.-C.; funding acquisition, D.O.-C. All authors have read and agreed to the published version of the manuscript.

Funding

This article reports the findings of the project titled “Desarrollo de Herramientas Computacionales para la Gestión y Optimización de Microrredes Inteligentes”, winner of the “Convocatoria para la Aprobación y Financiamiento de Proyectos de Investigación Exclusiva para Docentes Contratados DIDE 2025–2026” of the Universidad Técnica de Ambato, Ecuador, and partially supported by the Vicerrectorado de Investigación e Innovación of the Universidad de Cuenca, Ecuador.

Institutional Review Board Statement

Not applicable.

Informed Consent Statement

Not applicable.

Data Availability Statement

The raw data supporting the conclusions of this article will be made available by the authors on request.

Acknowledgments

The authors thank Universidad de Cuenca, Ecuador, for easing access to the facilities of the Micro-Grid Laboratory, Faculty of Engineering, for allowing the use of its equipment, and for providing technical support for the descriptive literature analysis included in this article.

Conflicts of Interest

The authors declare no conflicts of interest.

Abbreviations

The following abbreviations are used in this manuscript:
ACAlternating current
AFMActive filtering mode
DCDirect current
EVElectric vehicle
EVCSElectric vehicle charging stations
FLCFeeder-level control
G2VGrid-to-vehicle
HCHosting capacity
LVLow-voltage
LVILimit violation index
MVMedium-voltage
PVPhotovoltaic
RMSRoot-mean-square
THDTotal harmonic distortion

References

  1. Kütt, L.; Saarijärvi, E.; Lehtonen, M.; Mölder, H.; Niitsoo, J. A review of the effects of electric vehicle charging on distribution network operation and power quality. In Proceedings of the 8th International Conference on Electrical and Control Technologies (ECT 2013), Kaunas, Lithuania, 2–3 May 2013; pp. 162–167. [Google Scholar]
  2. Rahman, S.; Khan, I.A.; Khan, A.A.; Mallik, A.; Nadeem, M.F. Comprehensive review & impact analysis of integrating projected electric vehicle charging load to the existing low voltage distribution system. Renew. Sustain. Energy Rev. 2022, 153, 111756. [Google Scholar] [CrossRef]
  3. Umoh, V.; Davidson, I.; Adebiyi, A.; Ekpe, U. Methods and Tools for PV and EV Hosting Capacity Determination in Low Voltage Distribution Networks—A Review. Energies 2023, 16, 3609. [Google Scholar] [CrossRef]
  4. Banegas-Arias, D.; Morejón-Monteros, P.; Albornoz-Vintimilla, E.; Ochoa-Correa, D. Open-source simulation framework for assessing the combined impact of electric vehicle charging and distributed renewable generation on low-voltage distribution networks: A case study in Cuenca, Ecuador. Renew. Energies 2026, 1, 1–16. [Google Scholar] [CrossRef]
  5. Lacey, G.; Putrus, G.; Bentley, E.; Johnston, D.; Walker, S.; Jiang, T. A modelling tool to investigate the effect of electric vehicle charging on low voltage networks. In Proceedings of the 2013 World Electric Vehicle Symposium and Exhibition (EVS), Barcelona, Spain, 17–20 November 2013. [Google Scholar] [CrossRef]
  6. Phillips, S.; Haque, M.E.; Gargoom, A. Impacts of Residential EV Chargers on the Low Voltage Distribution Network. In Proceedings of the 2023 IEEE Industry Applications Society Annual Meeting (IAS), Nashville, TN, USA, 29 October–2 November 2023. [Google Scholar] [CrossRef]
  7. Hungbo, M.; Gu, M.; Meegahapola, L.; Littler, T.; Bu, S. Impact of electric vehicles on low-voltage residential distribution networks: A probabilistic analysis. IET Smart Grid 2023, 6, 536–548. [Google Scholar] [CrossRef]
  8. Umoh, V.; Adebiyi, A.; Moloi, K. Hosting Capacity Assessment of South African Residential Low-Voltage Networks for Electric Vehicle Charging. Eng 2023, 4, 1965–1980. [Google Scholar] [CrossRef]
  9. Kutt, L.; Saarijarvi, E.; Lehtonen, M.; Molder, H.; Niitsoo, J. Estimating the harmonic distortions in a distribution network supplying EV charging load using practical source data—Case example. In Proceedings of the IEEE Power and Energy Society General Meeting, National Harbor, MD, USA, 27–31 July 2014. [Google Scholar] [CrossRef]
  10. Iqbal, M.N.; Kütt, L.; Daniel, K.; Asad, B.; Shams Ghahfarokhi, P. Estimation of harmonic emission of electric vehicles and their impact on low voltage residential network. Sustainability 2021, 13, 8551. [Google Scholar] [CrossRef]
  11. Ahmed, A.; Iqbal, A.; Khan, I.; Al-Wahedi, A.; Mehrjerdi, H.; Rahman, S. Impact of EV Charging Station Penetration on Harmonic Distortion Level in Utility Distribution Network: A Case Study of Qatar. In Proceedings of the IEEE Texas Power and Energy Conference (TPEC), College Station, TX, USA, 2–5 February 2021. [Google Scholar] [CrossRef]
  12. Dávila-Sacoto, M.; González, L.G.; Hernández-Callejo, L.; Duque-Perez, Ó.; Zorita-Lamadrid, Á.L.; Alonso-Gómez, V.; Espinoza, J.L. Harmonic Distortion and Hosting Capacity in Electrical Distribution Systems with High Photovoltaic Penetration: The Impact of Electric Vehicles. Electronics 2023, 12, 2415. [Google Scholar] [CrossRef]
  13. Mehmood, A.; Yang, F. Improvement of Power Quality of Grid-Connected EV Charging Station Using Grid-Component Based Harmonic Mitigation Technique. Energies 2025, 18, 2876. [Google Scholar] [CrossRef]
  14. Mishra, D.; Singh, B.; Panigrahi, B. An Intelligent Multi-objective EV Charging Architecture with Enhanced Power Quality Operation. In Proceedings of the IEEE International Conference on Sustainable Energy and Future Electric Transportation (SeFeT), Hyderabad, India, 4–6 August 2022. [Google Scholar] [CrossRef]
  15. Nour, A.M.; Helal, A.A. EV charging station with ancillary service for power quality improvement in low voltage distribution network. Electr. Power Syst. Res. 2026, 253, 112503. [Google Scholar] [CrossRef]
  16. Çelik, D. Droop Control and Active Power Filter Coordination in Low-Voltage Microgrids with EV Charging Stations. In Proceedings of the International Conference on Electronics, Computers and Artificial Intelligence (ECAI), Targoviste, Romania, 26–27 June 2025. [Google Scholar] [CrossRef]
  17. Martinenas, S.; Knezovic, K.; Marinelli, M. Management of Power Quality Issues in Low Voltage Networks Using Electric Vehicles: Experimental Validation. IEEE Trans. Power Deliv. 2017, 32, 971–979. [Google Scholar] [CrossRef]
  18. Jirasuwankul, N.; Klongboonjit, S.; Manop, C. Effects of Demand Fluctuation and Mitigation Strategy in Low Voltage EV Charging Station by Battery Energy Storage System. Int. Rev. Electr. Eng. 2021, 16, 409–417. [Google Scholar] [CrossRef]
  19. Pilo, F.; Pisano, G.; Ruggeri, S. Optimal coordination of a pool of different EV charging stations. In Proceedings of the International Conference on Energy Transition in the Mediterranean Area (SyNERGY MED), Limassol, Cyprus, 21–23 October 2024. [Google Scholar] [CrossRef]
  20. Kothona, D.; Bouhouras, A.S. A Two-Stage EV Charging Planning and Network Reconfiguration Methodology towards Power Loss Minimization in Low and Medium Voltage Distribution Networks. Energies 2022, 15, 3808. [Google Scholar] [CrossRef]
  21. Nakhodchi, N.; Bakhtiari, H.; Bollen, M.H.J.; Ronnberg, S.K. Including Uncertainties in Harmonic Hosting Capacity Calculation of a Fast EV Charging Station Utilizing Bayesian Statistics and Harmonic Correlation. Electr. Power Syst. Res. 2023, 214, 108933. [Google Scholar] [CrossRef]
  22. Nakhodchi, N.; Bollen, M.H.J. Impact of Modelling of MV Network and Remote Loads on Estimated Harmonic Hosting Capacity for an EV Fast Charging Station. Int. J. Electr. Power Energy Syst. 2023, 147, 108847. [Google Scholar] [CrossRef]
  23. Karmaker, A.K.; Prakash, K.; Siddique, M.N.I.; Hossain, M.A.; Pota, H. Electric Vehicle Hosting Capacity Analysis: Challenges and Solutions. Renew. Sustain. Energy Rev. 2024, 189, 113916. [Google Scholar] [CrossRef]
Figure 1. Methodological flowchart of the proposed study framework. The diagram summarizes the six main modules of the workflow: extraction of baseline feeder conditions from the public dataset, construction of the literature-informed harmonic library, stochastic sample generation, harmonic feeder simulation, phase-aware predictive scheduling, and post-processing of benchmark, hosting-capacity, strategy-comparison, and sensitivity indicators. The arrows indicate the logical sequence from data preparation to feeder-level decision analysis.
Figure 1. Methodological flowchart of the proposed study framework. The diagram summarizes the six main modules of the workflow: extraction of baseline feeder conditions from the public dataset, construction of the literature-informed harmonic library, stochastic sample generation, harmonic feeder simulation, phase-aware predictive scheduling, and post-processing of benchmark, hosting-capacity, strategy-comparison, and sensitivity indicators. The arrows indicate the logical sequence from data preparation to feeder-level decision analysis.
Applsci 16 03718 g001
Figure 2. Proposed phase-aware predictive scheduling framework.
Figure 2. Proposed phase-aware predictive scheduling framework.
Applsci 16 03718 g002
Figure 3. Operational flow diagram of the proposed rolling-horizon scheduling strategy.
Figure 3. Operational flow diagram of the proposed rolling-horizon scheduling strategy.
Applsci 16 03718 g003
Figure 4. Baseline operating conditions derived from the public microgrid dataset of the University of Cuenca: (a) annual load-demand profile with the hourly series and its 7-day moving average; (b) daily profile for 21 March 2021; (c) daily profile for 21 June 2021; (d) daily profile for 21 October 2021; (e) daily profile for 21 December 2021.
Figure 4. Baseline operating conditions derived from the public microgrid dataset of the University of Cuenca: (a) annual load-demand profile with the hourly series and its 7-day moving average; (b) daily profile for 21 March 2021; (c) daily profile for 21 June 2021; (d) daily profile for 21 October 2021; (e) daily profile for 21 December 2021.
Applsci 16 03718 g004
Figure 5. Statistical characterization of the literature-calibrated harmonic library: (a) harmonic-magnitude decay; (b) harmonic magnitude versus fundamental current; (c) phase-angle distributions; (d) harmonic correlation with the fundamental current and target dependence.
Figure 5. Statistical characterization of the literature-calibrated harmonic library: (a) harmonic-magnitude decay; (b) harmonic magnitude versus fundamental current; (c) phase-angle distributions; (d) harmonic correlation with the fundamental current and target dependence.
Applsci 16 03718 g005
Figure 6. Benchmark comparison between actual and generated harmonic samples: (a) distribution of the 7th harmonic magnitude; (b) distribution of the 7th harmonic phase angle; (c) relationship between the 7th harmonic magnitude and the fundamental current; (d) correlation-preservation error of the compared samplers.
Figure 6. Benchmark comparison between actual and generated harmonic samples: (a) distribution of the 7th harmonic magnitude; (b) distribution of the 7th harmonic phase angle; (c) relationship between the 7th harmonic magnitude and the fundamental current; (d) correlation-preservation error of the compared samplers.
Applsci 16 03718 g006
Figure 7. Risk-based comparison of the stochastic samplers: (a) probability of violating individual harmonic-voltage limits; (b) probability of violating the total harmonic distortion limit. In both panels, the central curves denote the nominal benchmark trends for the competing samplers, while the shaded bands represent percentile envelopes summarizing the dispersion of the estimated risk across the stochastic evaluation.
Figure 7. Risk-based comparison of the stochastic samplers: (a) probability of violating individual harmonic-voltage limits; (b) probability of violating the total harmonic distortion limit. In both panels, the central curves denote the nominal benchmark trends for the competing samplers, while the shaded bands represent percentile envelopes summarizing the dispersion of the estimated risk across the stochastic evaluation.
Applsci 16 03718 g007
Figure 8. Limit violation index across the analyzed harmonic orders.
Figure 8. Limit violation index across the analyzed harmonic orders.
Applsci 16 03718 g008
Figure 9. Comparison of the feeder-level charging strategies: (a) probability of violating individual harmonic-voltage limits; (b) worst harmonic-margin utilization; (c) mean phase imbalance. The plotted curves compare the uncontrolled, load-balanced, and proposed phase-aware strategies under the same stressed loading conditions, so that the figure can be read as a direct visual comparison of violation risk, feeder stress, and phase-balancing performance across the three operating policies.
Figure 9. Comparison of the feeder-level charging strategies: (a) probability of violating individual harmonic-voltage limits; (b) worst harmonic-margin utilization; (c) mean phase imbalance. The plotted curves compare the uncontrolled, load-balanced, and proposed phase-aware strategies under the same stressed loading conditions, so that the figure can be read as a direct visual comparison of violation risk, feeder stress, and phase-balancing performance across the three operating policies.
Applsci 16 03718 g009
Figure 10. Sensitivity of harmonic hosting capacity to background distortion and feeder impedance.
Figure 10. Sensitivity of harmonic hosting capacity to background distortion and feeder impedance.
Applsci 16 03718 g010
Figure 11. Operating map of the proposed scheduling strategy. The color map represents the mean worst harmonic-margin utilization, the solid contour lines represent the probability of violating individual harmonic-voltage limits, and the dashed contour lines indicate the compensation-activation rate. The horizontal axis corresponds to the number of simultaneously charging EVs, whereas the vertical axis represents the feeder severity index, interpreted as an aggregated descriptor of increasing background distortion and feeder impedance relative to the nominal case.
Figure 11. Operating map of the proposed scheduling strategy. The color map represents the mean worst harmonic-margin utilization, the solid contour lines represent the probability of violating individual harmonic-voltage limits, and the dashed contour lines indicate the compensation-activation rate. The horizontal axis corresponds to the number of simultaneously charging EVs, whereas the vertical axis represents the feeder severity index, interpreted as an aggregated descriptor of increasing background distortion and feeder impedance relative to the nominal case.
Applsci 16 03718 g011
Figure 12. Qualitative comparison of the methodological scope covered by recent journal studies and the present work.
Figure 12. Qualitative comparison of the methodological scope covered by recent journal studies and the present work.
Applsci 16 03718 g012
Table 1. The literature positioning adopted in this study.
Table 1. The literature positioning adopted in this study.
Literature ClusterTypical FocusRelated ReferencesRelevance to the Present Study
Network impact and hosting assessmentVoltage profile, transformer loading, penetration studies, probabilistic feeder analysis[4,5,6,7,8]These studies mainly emphasize feeder behavior through fundamental-frequency criteria and planning-oriented metrics. The present study builds on that perspective by incorporating harmonic feasibility within a feeder-level operational decision framework.
Harmonic characterization of EV chargersMeasurement-based spectra, stochastic harmonic emission, distortion under varying charging conditions[9,10,11]These studies characterize harmonic behavior in detail and inform the stochastic representation adopted here. Their scope, however, usually remains centered on emission assessment, whereas the present study carries that information into feeder-level phase allocation and operational scheduling.
Converter- or station-level mitigationActive filtering, ancillary services, local control, power-quality improvement at charger or station level[13,14,15,16]These works show how converter-based mitigation can support local power-quality control. The present study draws on that line of work but shifts the focus from local actuation to supervisory coordination across multiple chargers under feeder-wide constraints.
Smart charging and coordinationDemand response, scheduling, storage-assisted mitigation, network-aware charging[17,18,19,20]These formulations provide useful scheduling logic for network-aware charging. In the present study, that logic is extended by embedding harmonic feasibility, phase imbalance, and neutral-current admissibility within the operating decision layer.
Review and synthesis papersBroad summaries of EV-grid impacts, hosting-capacity methods, and mitigation options[1,2,3]These reviews organize the field and frame its main questions. The present study uses that background as a point of departure and focuses on a more specific issue: predictive feeder-level management of harmonic hosting under simultaneous operating constraints.
Table 2. Benchmark metrics for the stochastic harmonic sample-generation methods.
Table 2. Benchmark metrics for the stochastic harmonic sample-generation methods.
MethodMagnitude Hist. Corr.Phase Hist. Corr.Abs. Corr. ErrorH7 Corr.
Proposed sampler0.97410.99690.03780.8953
Independent parametric sampler0.99800.99560.8981 0.0174
Independent empirical sampler0.99890.99750.89360.0074
Table 3. Risk-based harmonic hosting capacity obtained with the competing stochastic samplers.
Table 3. Risk-based harmonic hosting capacity obtained with the competing stochastic samplers.
MethodHC at 5% RiskHC at 10% RiskHC at 20% Risk
Proposed sampler91011
Independent parametric sampler111214
Independent empirical sampler131315
Table 4. Operational indicators of the feeder-level charging strategies under stressed operating conditions.
Table 4. Operational indicators of the feeder-level charging strategies under stressed operating conditions.
Case p ind (%) p THD (%) p N (%)Worst Util. MeanWorst Util. P95ImbalanceCurtailment (%)Comp. Act. (%)
20 EVs—Uncontrolled6.8570.00024.0920.7191.0500.3220.0000.000
20 EVs—Load-balanced0.5710.00011.2750.5830.8020.0120.0000.000
20 EVs—Phase-aware0.0000.0001.9420.4360.5660.03218.1419.429
25 EVs—Uncontrolled18.0000.85742.4500.8581.2030.3000.0000.000
25 EVs—Load-balanced2.5710.00027.5750.7080.9100.0090.0000.000
25 EVs—Phase-aware0.0000.0006.9750.5200.6500.03618.37832.857
30 EVs—Uncontrolled48.8574.57158.3751.0191.3630.2680.0000.000
30 EVs—Load-balanced12.0000.00043.9830.8521.0910.0040.0000.000
30 EVs—Phase-aware0.0000.0005.3170.6250.7730.04118.69382.000
Table 5. Qualitative comparison of the methodological scope covered by selected recent journal studies and the present work.
Table 5. Qualitative comparison of the methodological scope covered by selected recent journal studies and the present work.
Ref.Study TypeMain ScopeHCFLCPhase-Aware SchedulingSensitivity Analysis
[2]Uncertainty-aware stochastic hostingFocuses on stochastic harmonic-hosting assessment and uncertainty-aware sample generation for EV-related harmonic studies.YesNoNoLimited
[3]Network-model sensitivity of hosting estimatesExamines how feeder representation and modeling assumptions affect harmonic-hosting conclusions.YesNoNoYes
[4]Multifunctional chargerlevel mitigationAddresses converter- or charger-level mitigation capabilities, including harmonic filtering and multifunctional charging operation.NoNoNoNo
[8]Measurement-based smart-charging assessmentProvides experimental evidence on how coordinated charging affects harmonic behavior and compliance indicators.NoNoNoNo
This workDependence-aware hosting with phase-aware feeder schedulingIntegrates dependence-aware stochastic harmonic modeling, risk-based hosting assessment, feeder-level predictive scheduling, phase allocation, selective compensation, and sensitivity analysis within one operational framework.YesYesYesYes
Disclaimer/Publisher’s Note: The statements, opinions and data contained in all publications are solely those of the individual author(s) and contributor(s) and not of MDPI and/or the editor(s). MDPI and/or the editor(s) disclaim responsibility for any injury to people or property resulting from any ideas, methods, instructions or products referred to in the content.

Share and Cite

MDPI and ACS Style

Arévalo-Cordero, P.; Ochoa-Correa, D.; Benavides, D.; Albornoz-Vintimilla, E.; Espinoza, J.L. Phase-Aware Predictive Scheduling for Harmonic Hosting in Low-Voltage EV Feeders: An Integrated Decision Framework. Appl. Sci. 2026, 16, 3718. https://doi.org/10.3390/app16083718

AMA Style

Arévalo-Cordero P, Ochoa-Correa D, Benavides D, Albornoz-Vintimilla E, Espinoza JL. Phase-Aware Predictive Scheduling for Harmonic Hosting in Low-Voltage EV Feeders: An Integrated Decision Framework. Applied Sciences. 2026; 16(8):3718. https://doi.org/10.3390/app16083718

Chicago/Turabian Style

Arévalo-Cordero, Paul, Danny Ochoa-Correa, Dario Benavides, Esteban Albornoz-Vintimilla, and Juan L. Espinoza. 2026. "Phase-Aware Predictive Scheduling for Harmonic Hosting in Low-Voltage EV Feeders: An Integrated Decision Framework" Applied Sciences 16, no. 8: 3718. https://doi.org/10.3390/app16083718

APA Style

Arévalo-Cordero, P., Ochoa-Correa, D., Benavides, D., Albornoz-Vintimilla, E., & Espinoza, J. L. (2026). Phase-Aware Predictive Scheduling for Harmonic Hosting in Low-Voltage EV Feeders: An Integrated Decision Framework. Applied Sciences, 16(8), 3718. https://doi.org/10.3390/app16083718

Note that from the first issue of 2016, this journal uses article numbers instead of page numbers. See further details here.

Article Metrics

Back to TopTop