Sign in to use this feature.

Years

Between: -

Subjects

remove_circle_outline
remove_circle_outline
remove_circle_outline
remove_circle_outline
remove_circle_outline
remove_circle_outline
remove_circle_outline
remove_circle_outline
remove_circle_outline

Journals

remove_circle_outline
remove_circle_outline
remove_circle_outline
remove_circle_outline
remove_circle_outline
remove_circle_outline

Article Types

Countries / Regions

remove_circle_outline
remove_circle_outline
remove_circle_outline
remove_circle_outline
remove_circle_outline

Search Results (1,161)

Search Parameters:
Keywords = soil moisture limitation

Order results
Result details
Results per page
Select all
Export citation of selected articles as:
29 pages, 2977 KB  
Article
Metagenomic Profiling Reveals the Role of Soil Chemistry–Climate Interactions in Shaping the Bacterial Communities and Functional Repertories of Algerian Drylands
by Meriem Guellout, Zineb Guellout, Hani Belhadj, Aya Guellout, Antonio Gil Bravo and Atef Jaouani
Eng 2026, 7(1), 40; https://doi.org/10.3390/eng7010040 - 12 Jan 2026
Abstract
Arid and semi-arid soils represent extreme habitats where microbial life is constrained by high temperature, low water availability, salinity, and nutrient limitation, yet these ecosystems harbor unique bacterial communities that sustain key ecological processes. To explore the diversity and functional potential of prokaryotic [...] Read more.
Arid and semi-arid soils represent extreme habitats where microbial life is constrained by high temperature, low water availability, salinity, and nutrient limitation, yet these ecosystems harbor unique bacterial communities that sustain key ecological processes. To explore the diversity and functional potential of prokaryotic assemblages in Algerian drylands, we compared soils from three contrasting sites: The Oasis of Djanet (RM1), the hyper-arid Tassili of Djanet desert (RM2), and the semi-arid El Ouricia forest in Sétif (RM3). Physicochemical analyses revealed strong environmental gradients: RM2 exhibited the highest pH (8.66), electrical conductivity (11.7 dS/m), and sand fraction (56%), whereas RM3 displayed the greatest moisture (10.9%), organic matter (7.6%), and calcium carbonate (20.7%) content, with RM1 generally showing intermediate levels. High-throughput 16S rRNA gene sequencing generated >60,000 effective reads per sample with sufficient coverage (>0.99). Alpha diversity indices indicated the highest bacterial richness and diversity in RM2 (Chao1 = 3144, Shannon = 10.0), while RM3 showed lower evenness and the dominance of a few taxa. Across sites, 66 phyla and 551 genera were detected, dominated by Actinobacteriota (38–45%) and Chloroflexi (13–44%), with Proteobacteria declining from RM1 (17.5%) to RM3 (3.3%). Venn analysis revealed limited overlap, with only 58 operational taxonomic units shared among all sites, suggesting highly habitat-specific communities. Predictive functional profiling (PICRUSt2, Tax4Fun, FAPROTAX) indicated metabolism as the dominant functional category (≈50% of KEGG Level-1), with carbohydrate and amino acid metabolism forming the metabolic backbone. Notably, transport functions (ABC transporters), lipid metabolism, and amino acid degradation pathways were enriched in RM2–RM3, consistent with adaptation to osmotic stress, nutrient limitation, and energy conservation under aridity. Collectively, these findings demonstrate that Algerian arid and semi-arid soils host diverse, site-specific bacterial communities whose functional repertoires are strongly shaped by soil chemistry and climate, highlighting their ecological and biotechnological potential. Full article
(This article belongs to the Special Issue Interdisciplinary Insights in Engineering Research)
Show Figures

Figure 1

28 pages, 3956 KB  
Article
A Novel Granular Formulation of Filamentous Fungi (Aspergillus tubingensis and Trichoderma virens): Development, Characterization, and Evaluation for Enhanced Phosphorus Availability in Agricultural Soils
by José Tomás Tavarez-Arriaga, Beatriz Flores-Samaniego, María del Rayo Sánchez-Carbente and Jorge Luis Folch-Mallol
Agronomy 2026, 16(2), 169; https://doi.org/10.3390/agronomy16020169 - 9 Jan 2026
Viewed by 147
Abstract
Phosphorus (P) is an essential nutrient in plant development, but its availability in the soil is often limited due to chemical fixation and poor solubility. This study presents the development, characterization and evaluation of a novel granular bioinoculant formulated with Aspergillus tubingensis (P-solubilizing) [...] Read more.
Phosphorus (P) is an essential nutrient in plant development, but its availability in the soil is often limited due to chemical fixation and poor solubility. This study presents the development, characterization and evaluation of a novel granular bioinoculant formulated with Aspergillus tubingensis (P-solubilizing) and Trichoderma virens (P-mineralizing) using clinoptilolite (CZ) as a carrier to improve P bioavailability. The formulation process included the evaluation of the proposed components, the standardization of conidia production in different media cultures and conditions, the elaboration and characterization of the bioinoculant and its evaluation in plants. In this study, in vitro analysis demonstrated the synergistic effect of the components, showing that in all treatments with dual inoculation and CZ, the amount of soluble phosphorus (SP) was higher than in their counterparts (from 27.8 to 36.8 mg·L−1). A concentration greater than 1 × 109 CFU·mL−1 was obtained by standardizing the production of conidia in different media (PDA, V8-Agar and Molasses Agar), which were then used to produce granular batches containing at least 2 × 107 CFU·g−1. Furthermore, the size (88% of the granules measured <4.5 mm), purity (<2 CFU·g−1 in 10−4 dilution), and moisture content of the prototype granules (3.3–3.8%) were confirmed to be within established international quality parameters. Plant evaluations in chili and tomato demonstrated the formulation efficacy, showing an increase in both soluble and foliar P content (with at least 30% more than controls), alongside improvements in all parameters evaluated that are related to plant growth promotion (with at least 15% more growth than controls). The development of this formulation prototype represents a focused effort toward process standardization and optimization required to validate developed formulations, thus promoting the advancement of applied biotechnology. Full article
(This article belongs to the Special Issue Plant–Fungus Interactions in Agronomic Systems)
Show Figures

Figure 1

19 pages, 4316 KB  
Article
Responses of Vegetation to Atmospheric and Soil Water Constraints Under Increasing Water Stress in China’s Three-North Shelter Forest Program Region
by Limin Yuan, Rui Wang, Ercha Hu and Haidong Zhang
Land 2026, 15(1), 122; https://doi.org/10.3390/land15010122 - 8 Jan 2026
Viewed by 82
Abstract
The Three-North Shelterbelt Forest Program (TNSFP) region in northern China, a critical ecological zone, has experienced significant changes in vegetation coverage and water availability under climate change. However, a comprehensive understanding of how vegetation growth responds to both water deficit and surplus remains [...] Read more.
The Three-North Shelterbelt Forest Program (TNSFP) region in northern China, a critical ecological zone, has experienced significant changes in vegetation coverage and water availability under climate change. However, a comprehensive understanding of how vegetation growth responds to both water deficit and surplus remains limited. This study systematically assessed the spatiotemporal dynamics of vegetation responses to atmospheric water constraints (represented by the Standardized Precipitation Evapotranspiration Index (SPEI)) and soil moisture constraints (represented by the Standardized Soil Moisture Index (SSMI)) across the TNSFP region from 2001 to 2022. Our results revealed a compound water constraint pattern: soil moisture deficit dominated vegetation limitation across 46.41–67.88% of the region, particularly in the middle (28–100 cm) and deep (100–289 cm) layers, while atmospheric water surplus also substantially affected 37.35% of the area. From 2001 to 2022, vegetation has shown weakening correlations with atmospheric and shallow-soil moisture, but strengthening coupling with middle- and deep-soil moisture, indicating a growing dependence on deep water resources. Furthermore, the response times of vegetation to water deficit and water surplus have been reduced, indicating that vegetation growth was increasingly restricted by water deficit while being less constrained by water surplus during the period. Attribution analysis identified that air temperature exerted a stronger influence than precipitation on vegetation–water relationships over the study period. This study improved the understanding of vegetation–water interactions under combined climate and land use change, providing critical scientific support for land use-targeted adaptive management in arid and semi-arid regions. Full article
Show Figures

Figure 1

27 pages, 3479 KB  
Article
The Water Lifting Performance of a Photovoltaic Sprinkler Irrigation System Regulated by Solar-Coupled Compressed-Air Energy Storage
by Xiaoqing Zhong, Maosheng Ge, Zhengwen Tang, Pute Wu, Xin Hui, Qianwen Zhang, Qingyan Zhang and Khusen Sh. Gafforov
Agriculture 2026, 16(2), 154; https://doi.org/10.3390/agriculture16020154 - 8 Jan 2026
Viewed by 145
Abstract
Solar-driven irrigation, a promising clean technology for agricultural water conservation, is constrained by mismatched photovoltaic (PV) pump outflow and irrigation demand, alongside unstable PV output. While compressed-air energy storage (CAES) shows mitigation potential, existing studies lack systematic explorations of pump water-lifting characteristics and [...] Read more.
Solar-driven irrigation, a promising clean technology for agricultural water conservation, is constrained by mismatched photovoltaic (PV) pump outflow and irrigation demand, alongside unstable PV output. While compressed-air energy storage (CAES) shows mitigation potential, existing studies lack systematic explorations of pump water-lifting characteristics and supply capacity under coupled meteorological and air pressure effects, limiting its practical promotion. This study focuses on a solar-coupled compressed-air energy storage regulated sprinkler irrigation system (CAES-SPSI). Integrating experimental and theoretical methods, it establishes dynamic flow models for three DC diaphragm pumps considering combined PV output and outlet back pressure, introduces pressure loss and drop coefficients to construct a nozzle pressure dynamic model via calibration and iteration, and conducts a 1-hectare corn field case study. The results indicate the following: pump flow increases with PV power and decreases with outlet pressure (model deviation < 9.24%); nozzle pressure in pulse spraying shows logarithmic decline; CAES-SPSI operates 10 h/d, with hourly water-lifting capacity of 0.317–1.01 m3/h and daily cumulation of 6.71 m3; and the low-intensity and long-duration mode extends irrigation time, maintaining total volume and optimal soil moisture. This study innovatively incorporates dynamic air pressure potential energy into meteorological-PV coupling analysis, providing a universal method for quantifying pump flow changes, clarifying CAES-SPSI’s water–energy coupling mechanism, and offering a design basis for its agricultural application feasibility. Full article
(This article belongs to the Section Agricultural Water Management)
Show Figures

Figure 1

32 pages, 8817 KB  
Article
Geospatial Assessment and Modeling of Water–Energy–Food Nexus Optimization for Sustainable Paddy Cultivation in the Dry Zone of Sri Lanka: A Case Study in the North Central Province
by Awanthi Udeshika Iddawela, Jeong-Woo Son, Yeon-Kyu Sonn and Seung-Oh Hur
Water 2026, 18(2), 152; https://doi.org/10.3390/w18020152 - 6 Jan 2026
Viewed by 310
Abstract
This study presents a geospatial assessment and modeling of the water–energy–food (WEF) nexus to enrich the sustainable paddy cultivation of the North Central Province (NCP) of Sri Lanka in the Dry Zone. Increasing climatic variability and limited resources have raised concerns about the [...] Read more.
This study presents a geospatial assessment and modeling of the water–energy–food (WEF) nexus to enrich the sustainable paddy cultivation of the North Central Province (NCP) of Sri Lanka in the Dry Zone. Increasing climatic variability and limited resources have raised concerns about the need for efficient resource management to restore food security globally. The study analyzed the three components of the WEF nexus for their synergies and trade-offs using GIS and remote sensing applications. The food productivity potential was derived using the Normalized Difference Vegetation Index (NDVI), Soil Organic Carbon (SOC), soil type, and land use, whereas water availability was assessed using the Normalized Difference Water Index (NDWI), Soil Moisture Index (SMI), and rainfall data. Energy potential was mapped using WorldClim 2.1 datasets on solar radiation and wind speed and the proximity to the national grid. Scenario modeling was conducted through raster overlay analysis to identify zones of WEF constraints and synergies such as low food–low water areas and high energy–low productivity areas. To ensure the accuracy of the created model, Pearson correlation analysis was used to internally validate between hotspot layers (representing extracted data) and scenario layers (representing modeled outputs). The results revealed a strong positive correlation (r = 0.737), a moderate positive correlation for energy (r = 0.582), and a positive correlation for food (r = 0.273). Those values were statistically significant at p > 0.001. These results confirm the internal validity and accuracy of the model. This study further calculated the total greenhouse gas (GHG) emissions from paddy cultivation in NCP as 1,070,800 tCO2eq yr−1, which results in an emission intensity of 5.35 tCO2eq ha−1 yr−1, with CH4 contributing around 89% and N2O 11%. This highlights the importance of sustainable cultivation in mitigating agricultural emissions that contribute to climate change. Overall, this study demonstrates a robust framework for identifying areas of resource stress or potential synergy under the WEF nexus for policy implementation, to promote climate resilience and sustainable paddy cultivation, to enhance the food security of the country. This model can be adapted to implement similar research work in the future as well. Full article
(This article belongs to the Section Water Resources Management, Policy and Governance)
Show Figures

Figure 1

35 pages, 9106 KB  
Article
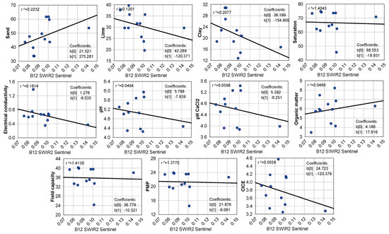
Soil Fertility Assessment Through the Integration of Satellite Imagery and Spatial Analysis: Application to Arabica Coffee Cultivation in Lonya Grande, Peruvian Amazon
by Hector Aroquipa, Alvaro Hurtado, Yesenia Pariguana, Eduardo Castro and Shelsen Cubas
Agriculture 2026, 16(1), 130; https://doi.org/10.3390/agriculture16010130 - 4 Jan 2026
Viewed by 320
Abstract
Soil fertility assessment is fundamental for improving agricultural productivity and promoting sustainable land management. This study proposes an integrated methodological framework that combines Sentinel-2 satellite imagery, spatial analysis techniques, and field-based soil data to evaluate soil fertility in Arabica coffee plantations in the [...] Read more.
Soil fertility assessment is fundamental for improving agricultural productivity and promoting sustainable land management. This study proposes an integrated methodological framework that combines Sentinel-2 satellite imagery, spatial analysis techniques, and field-based soil data to evaluate soil fertility in Arabica coffee plantations in the Lonya Grande district, Peruvian Amazon. The framework involves three analytical phases: (i) spatial interpolation of soil macronutrients using Inverse Distance Weighting (IDW), (ii) local modeling through Geographically Weighted Regression (GWR), and (iii) spectral correlation analysis between field-measured soil properties and Sentinel-2 reflectance bands. The SWIR2 (Band 12) data were identified as the most sensitive predictor of soil moisture-related properties, with the strongest relationship observed for soil saturation (R2 = 0.40). Field validation revealed pronounced spatial heterogeneity, particularly for macronutrients such as nitrogen, phosphorus, and potassium. The study also found that soils exhibited moderately acidic pH values (5.1–6.8), favorable for coffee cultivation. Despite adequate water retention, nutrient deficiencies highlight the need for site-specific soil management strategies. Overall, spatial analysis confirmed consistent relationships between remote sensing data and soil parameters, demonstrating the feasibility and cost-effectiveness of this approach under data-limited tropical conditions. The proposed framework offers a scalable basis for regional soil fertility monitoring, and future research should incorporate machine learning and expanded sampling networks to further enhance predictive performance. Full article
(This article belongs to the Section Agricultural Soils)
Show Figures

Figure 1

20 pages, 1883 KB  
Article
Agrivoltaics in the Tropics: Soybean Yield Stability and Microclimate Buffering Across Wet and Dry Seasons
by Sung Yoon, MinKyoung Kim, SeungYeun Han and Jai-Young Lee
Agronomy 2026, 16(1), 116; https://doi.org/10.3390/agronomy16010116 - 1 Jan 2026
Viewed by 408
Abstract
Agrivoltaics (APV) offers a promising dual land-use solution for food and energy production, yet empirical data regarding its impact on leguminous crops in tropical monsoon climates remain limited. This study evaluated the microclimate, growth, and yield of soybean (Glycine max) under an APV [...] Read more.
Agrivoltaics (APV) offers a promising dual land-use solution for food and energy production, yet empirical data regarding its impact on leguminous crops in tropical monsoon climates remain limited. This study evaluated the microclimate, growth, and yield of soybean (Glycine max) under an APV system compared to an open-field control during the wet and dry seasons in Bogor, Indonesia. The APV structure reduced incident solar radiation by approximately 35%, significantly lowering soil temperatures and maintaining higher soil moisture across both seasons. In the wet season, the APV treatment significantly increased grain yield (3528.8 vs. 1708.3 kg ha−1, +106%) relative to the open field by mitigating excessive heat and radiative loads, which enhanced pod retention. In the dry season, APV maintained a yield advantage (2025.6 vs. 1724.4 kg ha−1, +17%), driven by improved water conservation and a higher harvest index. Notably, shading did not delay phenological development or hinder vegetative growth in either season. These findings demonstrate that APV systems can contribute to sustainably higher yields and stability in tropical environments by buffering against season-specific environmental stresses, suggesting a viable pathway for sustainable agricultural intensification in equatorial regions. Full article
(This article belongs to the Section Farming Sustainability)
Show Figures

Figure 1

8 pages, 724 KB  
Hypothesis
The Wrong Assumptions of the Effects of Climate Change on Marine Turtle Nests with Temperature-Dependent Sex Determination
by Marc Girondot
Animals 2026, 16(1), 97; https://doi.org/10.3390/ani16010097 - 29 Dec 2025
Viewed by 282
Abstract
Contemporary climate change, driven by anthropogenic greenhouse gas (GHG) emissions, has raised global temperatures by over 1 °C above pre-industrial levels, profoundly altering Earth’s energy balance. In marine turtles, which exhibit temperature-dependent sex determination (TSD), embryonic sex ratios are highly sensitive to nest [...] Read more.
Contemporary climate change, driven by anthropogenic greenhouse gas (GHG) emissions, has raised global temperatures by over 1 °C above pre-industrial levels, profoundly altering Earth’s energy balance. In marine turtles, which exhibit temperature-dependent sex determination (TSD), embryonic sex ratios are highly sensitive to nest temperature. Most studies predicting the effects of climate change on turtle sex ratios have used air temperature or sea surface temperature (SST) as proxies for nest temperature, despite limited empirical validation of this assumption. I question the validity of this approach by examining the physical mechanisms of heat transfer within beach soils, including conduction, convection, and radiation, and how they are modulated by factors such as soil texture, moisture, and solar radiation. The analysis highlights that while GHGs increase air temperature through the greenhouse effect, they do not directly alter incoming solar radiation, the principal driver of subsurface temperature. Furthermore, increased air temperature enhances evaporation and soil drying, reducing thermal conductivity and potentially lowering heat penetration into nesting depths. Consequently, air or SST proxies can misrepresent the actual thermal environment of marine turtle nests, leading to inaccurate or even reverse projections of sex ratios under climate change. A mechanistic approach integrating soil heat dynamics and solar radiation is therefore essential for realistic assessments of TSD responses and conservation planning in a warming world. Full article
(This article belongs to the Section Herpetology)
Show Figures

Figure 1

21 pages, 5125 KB  
Article
Estimating Soil Moisture Using Multimodal Remote Sensing and Transfer Optimization Techniques
by Jingke Liu, Lin Liu, Weidong Yu and Xingbin Wang
Remote Sens. 2026, 18(1), 84; https://doi.org/10.3390/rs18010084 - 26 Dec 2025
Viewed by 293
Abstract
Surface soil moisture (SSM) is essential for crop growth, irrigation management, and drought monitoring. However, conventional field-based measurements offer limited spatial and temporal coverage, making it difficult to capture environmental variability at scale. This study introduces a multimodal soil moisture estimation framework that [...] Read more.
Surface soil moisture (SSM) is essential for crop growth, irrigation management, and drought monitoring. However, conventional field-based measurements offer limited spatial and temporal coverage, making it difficult to capture environmental variability at scale. This study introduces a multimodal soil moisture estimation framework that combines synthetic aperture radar (SAR), optical imagery, vegetation indices, digital elevation models (DEM), meteorological data, and spatio-temporal metadata. To strengthen model performance and adaptability, an intermediate fine-tuning strategy is applied to two datasets comprising 10,571 images and 3772 samples. This approach improves generalization and transferability across regions. The framework is evaluated across diverse agro-ecological zones, including farmlands, alpine grasslands, and environmentally fragile areas, and benchmarked against single-modality methods. Results with RMSE 4.5834% and R2 0.8956 show consistently high accuracy and stability, enabling the production of reliable field-scale soil moisture maps. By addressing the spatial and temporal challenges of soil monitoring, this framework provides essential information for precision irrigation. It supports site-specific water management, promotes efficient water use, and enhances drought resilience at both farm and regional scales. Full article
Show Figures

Graphical abstract

24 pages, 1329 KB  
Review
Geotechnical Controls on Land Degradation in Drylands: Indicators and Mitigation for Infrastructure and Renewable Energy
by Hani S. Alharbi
Sustainability 2026, 18(1), 242; https://doi.org/10.3390/su18010242 - 25 Dec 2025
Viewed by 359
Abstract
Land degradation in drylands increasingly threatens infrastructure and the performance of renewable energy (RE) systems through coupled hydro-chemo-mechanical changes in soil fabric, density, matric suction, and pore–water chemistry. A key gap is the limited integration of unsaturated soil mechanics with practical indicator sets [...] Read more.
Land degradation in drylands increasingly threatens infrastructure and the performance of renewable energy (RE) systems through coupled hydro-chemo-mechanical changes in soil fabric, density, matric suction, and pore–water chemistry. A key gap is the limited integration of unsaturated soil mechanics with practical indicator sets used in engineering screening and operations. This narrative review synthesizes evidence from targeted searches of Scopus, Web of Science, and Google Scholar. Searches are complemented by key organizational reports and standards, as well as citation tracking. Priority is given to sources that report mechanisms linked to measurable indicators, thresholds, tests, or models relevant to dryland infrastructure. The synthesis uses the soil-water characteristic curve (SWCC) and hydraulic conductivity k(θ) to connect hydraulic state to strength and deformation and couples these with chemical indices, including electrical conductivity (EC), exchangeable sodium percentage (ESP), and sodium adsorption ratio (SAR). Practical diagnostics include the dynamic cone penetrometer (DCP) and California Bearing Ratio (CBR) tests, infiltration and crust-strength tests, monitoring with unmanned aerial vehicles (UAVs), geophysics, and in situ moisture and suction sensing. The contribution is an indicator-driven, practice-oriented framework linking mechanisms, monitoring, and mitigation for photovoltaic (PV), concentrating solar power (CSP), wind, transmission, and well-pad corridors. This framework is implemented by consistently linking unsaturated soil state (SWCC, k(θ), and matric suction) to degradation processes, measurable indicator/test sets, and trigger-based interventions across the review. Full article
(This article belongs to the Section Soil Conservation and Sustainability)
Show Figures

Figure 1

25 pages, 3798 KB  
Article
Soil MoistureRetrieval from TM-1 GNSS-R Reflections with Auxiliary Geophysical Variables: A Multi-Cluster and Seasonal Evaluation
by Yu Jin, Min Ji, Naiquan Zheng, Zhihua Zhang, Penghui Ding and Qian Zhao
Land 2026, 15(1), 36; https://doi.org/10.3390/land15010036 - 24 Dec 2025
Viewed by 293
Abstract
Current passive microwave satellites like SMAP still face limitations in observational frequency and responsiveness in regions with frequent cloud cover, dense vegetation, or complex terrain, making it difficult to achieve continuous global monitoring with high spatio-temporal resolution. To enhance global high-frequency monitoring capabilities, [...] Read more.
Current passive microwave satellites like SMAP still face limitations in observational frequency and responsiveness in regions with frequent cloud cover, dense vegetation, or complex terrain, making it difficult to achieve continuous global monitoring with high spatio-temporal resolution. To enhance global high-frequency monitoring capabilities, this study utilizes global reflectivity data provided by the Tianmu-1 (TM-1) constellation since 2023, combined with multiple auxiliary variables, including NDVI, VWC, precipitation, and elevation, to develop a 9 km resolution soil moisture retrieval model. Several spatial clustering and temporal partitioning strategies are incorporated for systematic evaluation. Additionally, since the publicly available TM-1 L1 reflectivity data does not provide separable polarization channels, this study uses DDM/specular point reflectivity as the primary observable quantity for modeling and mitigates non-soil factor interference by introducing multi-source priors such as NDVI, VWC, precipitation, terrain, and roughness. Unlike SMAP’s “single orbit daily fixed local time” observation mode, TM-1, leveraging multi-constellation and multi-orbit reflection geometry, offers more balanced temporal sampling and availability in cloudy, rainy, and mid-to-high latitude regions. This enables temporal gap filling and rapid event response (such as moisture transitions within hours after precipitation events) during periods of SMAP’s quality masking or intermittent data loss. Results indicate that the model combining LC-cluster with seasonal partitioning delivers the best performance at the cluster level, achieving a correlation coefficient (R) of 0.8155 and an unbiased RMSE (ubRMSE) of 0.0689 cm3/cm3, with a particularly strong performance in barren and shrub ecosystems. Comparisons with SMAP and ISMN datasets show that TM-1 is consistent with mainstream products in trend tracking and systematic error control, providing valuable support for global and high-latitude studies of dynamic hydrothermal processes due to its more balanced mid- and high-latitude orbital coverage. Full article
Show Figures

Figure 1

21 pages, 4646 KB  
Article
A Non-Linear Suction-Dependent Model for Predicting Unsaturated Shear Strength
by Kalani Rajamanthri and Claudia E. Zapata
Geosciences 2026, 16(1), 12; https://doi.org/10.3390/geosciences16010012 - 23 Dec 2025
Viewed by 237
Abstract
Accurate evaluation of unsaturated shear strength remains a significant challenge in geotechnical engineering because of the nonlinear interaction between matric suction and shear strength. Existing models often assume a linear contribution of suction and are generally restricted to low suction ranges, limiting their [...] Read more.
Accurate evaluation of unsaturated shear strength remains a significant challenge in geotechnical engineering because of the nonlinear interaction between matric suction and shear strength. Existing models often assume a linear contribution of suction and are generally restricted to low suction ranges, limiting their predictive capability under highly unsaturated conditions. This study investigated the nonlinear response of unsaturated shear strength through single-stage direct shear tests conducted under constant water content. Two soil types: a high-plasticity clay and a low-plasticity silty clay were examined across a wide suction range extending beyond the air-entry value (AEV). The results revealed a nonlinear behavior expressed as a distinct bi-linear trend, with shear strength increasing with suction up to the optimal moisture condition and then exhibiting a clearly altered rate of increase at higher suction levels. To capture this nonlinear behavior of unsaturated shear strength with suction, an exponential shear strength equation was proposed and validated using eight additional published datasets encompassing different soil classifications and suction magnitudes. The proposed formulation demonstrates that accounting for non-linearity is essential for accurately estimating the unsaturated shear strength of the soil. Moreover, the proposed exponential model outperforms both the well-established linear model of Fredlund and the nonlinear power law model of Abramento and Carvalho, thereby providing a unified framework for capturing the nonlinear interaction of matric suction on unsaturated shear strength. Full article
Show Figures

Figure 1

16 pages, 3167 KB  
Article
Deciphering the Structure and Genetic Basis of Adaptive Mechanism of Soil Microbial Communities in a Manganese Electrolysis Plant
by Yong Wang, Song Liu, Ziyi Zheng, Jun Ma, Yuan Xiang, Lanyan Wu, Chunlian Ding and Yan Shi
Microorganisms 2026, 14(1), 15; https://doi.org/10.3390/microorganisms14010015 - 20 Dec 2025
Viewed by 292
Abstract
The development of China’s manganese (Mn) industries has caused severe water and soil pollution, threatening ecological and human health. Microbes are usually regarded as an important indicator of environmental pollution assessment. However, the current understanding of microbial community characteristics and their formation mechanisms [...] Read more.
The development of China’s manganese (Mn) industries has caused severe water and soil pollution, threatening ecological and human health. Microbes are usually regarded as an important indicator of environmental pollution assessment. However, the current understanding of microbial community characteristics and their formation mechanisms in Mn production areas remains limited. In order to address this, soil properties and microbial structural characteristics across different functional zones in a typical Mn electrolysis plant in China’s “Manganese Triangle” were investigated via metagenomic sequencing. Results showed soil Mn levels significantly exceeded background values, indicating high environmental risk. Acidobacteria and Proteobacteria were dominant phyla. Microbial abundance was lowest in the adjacent natural reservoir, whereas diversity was highest in the sewage treatment plant. Correlation analyses identified Mn, nitrate nitrogen, ammonium nitrogen, pH, and moisture as key environmental drivers, with Mn being the primary one. Metagenomic analysis revealed abundant Mn resistance genes, enabling microbial survival under high Mn stress. This study demonstrated that excessive Mn exposure enriched Mn-resistant genes, thereby shaping unique microbial communities dominated by Mn-resistant bacteria. These findings clarified the structural characteristics and adaptive mechanisms of soil microbial communities in Mn-contaminated areas, providing a theoretical basis for ecological risk management and bioremediation. Full article
(This article belongs to the Special Issue Advances in Genomics and Ecology of Environmental Microorganisms)
Show Figures

Figure 1

31 pages, 5865 KB  
Review
AI–Remote Sensing for Soil Variability Mapping and Precision Agrochemical Management: A Comprehensive Review of Methods, Limitations, and Climate-Smart Applications
by Fares Howari
Agrochemicals 2026, 5(1), 1; https://doi.org/10.3390/agrochemicals5010001 - 20 Dec 2025
Viewed by 719
Abstract
Uniform application of fertilizers and pesticides continues to dominate global agriculture despite significant spatial variability in soil and crop conditions. This mismatch results in avoidable yield gaps, excessive chemical waste, and environmental pressures, including nutrient leaching and greenhouse gas emissions. The integration of [...] Read more.
Uniform application of fertilizers and pesticides continues to dominate global agriculture despite significant spatial variability in soil and crop conditions. This mismatch results in avoidable yield gaps, excessive chemical waste, and environmental pressures, including nutrient leaching and greenhouse gas emissions. The integration of Artificial Intelligence (AI) and Remote Sensing (RS) has emerged as a transformative framework for diagnosing this variability and enabling site-specific, climate-responsive management. This systematic synthesis reviews evidence from 2000–2025 to assess how AI–RS technologies optimize agrochemical efficiency. A comprehensive search across Scopus, Web of Science, IEEE Xplore, ScienceDirect, and Google Scholar were used. Following rigorous screening and quality assessment, 142 studies were selected for detailed analysis. Data extraction focused on sensor platforms (Landsat-8/9, Sentinel-1/2, UAVs), AI approaches (Random Forests, CNNs, Physics-Informed Neural Networks), and operational outcomes. The synthesized data demonstrate that AI–RS systems can predict critical soil attributes, specifically salinity, moisture, and nutrient levels, with 80–97% accuracy in some cases, depending on spectral resolution and algorithm choice. Operational implementations of Variable-Rate Application (VRA) guided by these predictive maps resulted in fertilizer reductions of 15–30%, pesticide use reductions of 20–40%, and improvements in water-use efficiency of 25–40%. In fields with high soil heterogeneity, these precision strategies delivered yield gains of 8–15%. AI–RS technologies have matured from experimental methods into robust tools capable of shifting agrochemical science from reactive, uniform practices to predictive, precise strategies. However, widespread adoption is currently limited by challenges in data standardization, model transferability, and regulatory alignment. Future progress requires the development of interoperable data infrastructures, digital soil twins, and multi-sensor fusion pipelines to position these technologies as central pillars of sustainable agricultural intensification. Full article
(This article belongs to the Section Fertilizers and Soil Improvement Agents)
Show Figures

Figure 1

15 pages, 3658 KB  
Article
Development of Maize Planting Method Based on Site-Specific Soil Moisture for Improving Seedling Traits in the Northern China Dryland
by Haoming Li, Jialu Sun, Li Yang, Dongxing Zhang, Tao Cui, Kailiang Zhang, Xiantao He, Xinpeng Wang and Yingxuan Wu
Plants 2025, 14(24), 3859; https://doi.org/10.3390/plants14243859 - 18 Dec 2025
Viewed by 279
Abstract
Dryland, which mainly retains rain-fed agriculture, is the main type of farmland in China and widely distributed in the northern regions. Rainfall scarcity limits the development of maize at the seedling stage, which adversely affects the increase in maize yields in this region. [...] Read more.
Dryland, which mainly retains rain-fed agriculture, is the main type of farmland in China and widely distributed in the northern regions. Rainfall scarcity limits the development of maize at the seedling stage, which adversely affects the increase in maize yields in this region. A planting method that allows variable sowing depths based on the uneven distribution of soil moisture was proposed in this study. This site-specific planting method which fully utilizes available soil water is able to overcome the above problem. The framework of variable depth seeding suitable for this region was constructed: Within the depth range of 5.5 to 8.5 cm in the soil, maize seeds should be sown to a position with a relative soil moisture of 70%. For some drylands without such moisture conditions, seeds can be placed at the position with the highest relative soil moisture in this depth range. Taking the conventional planting method as the control group, the performance of the variable depth planting method in improving maize seedling growth was evaluated. The results showed that the proposed planting method not only increased the emergence rate and the seedling uniformity by 9.31% and 25.29%, respectively, but also raised the mean leaf number and the mean plant height in the same growth period, having a remarkable effect in improving the maize seedling traits. This planting method is easy to be embedded into precision control systems of the maize planter, and will promote the application of soil moisture-based planting technology and thus increase the yield per hectare of maize. Full article
Show Figures

Figure 1

Back to TopTop