Soil Fertility Assessment Through the Integration of Satellite Imagery and Spatial Analysis: Application to Arabica Coffee Cultivation in Lonya Grande, Peruvian Amazon
Abstract
1. Introduction
2. Methodology
2.1. Phase 1: Optimal Region Delimitation
2.2. Phase 2: Soil Sampling, Spatial Interpolation, and Deterministic Modeling
2.3. Phase 3: Soil Fertility Index for Arabica Coffee Crops
3. Results
3.1. Phase 1: Optimal Region Delimitation
3.2. Phase 2
3.2.1. Results from In-Field Surveys
3.2.2. Data Performance/Validation
- Macronutrients: Nitrogen (N) shows a weak positive correlation with the SWIR2 band (), while phosphorus (P) also exhibits a minor positive trend (). These limited correlations indicate that, although these elements may influence spectral reflectance, their contribution is overshadowed by other soil properties. Potassium (K), sulfur (S), and calcium (Ca) show stronger negative correlations (, and , respectively), suggesting that these nutrients affect soil reflectance through their influence on soil structure and surface interactions. Magnesium (Mg) displays the weakest correlation (), indicating a minimal impact on SWIR2 spectral variability.
- Micronutrients: The spectral response of micronutrients revealed notable variations. Sodium (Na) and zinc (Zn) exhibited weak correlations ( and ), while copper (Cu) and boron (B) showed negligible correlations ( and ). Conversely, manganese (Mn) demonstrated a stronger inverse relationship (), indicating its significant contribution to soil reflectance in the SWIR2 band range. Iron (Fe) with a , reflected a weak correlation, possibly due to its indirect influence on soil surface properties.
3.2.3. IDW
3.3. Phase 3
3.3.1. GWR
3.3.2. Soil Fertility Index Map
4. Discussion
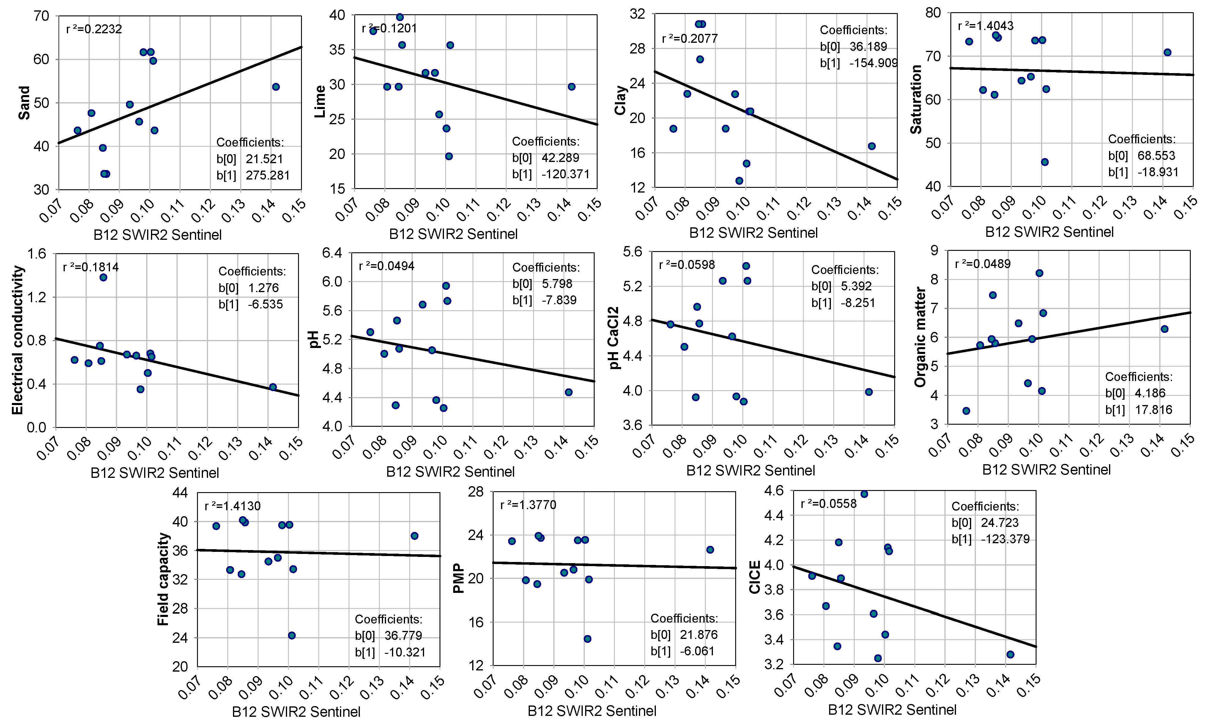
- For general soil parameters, saturation (Sw) exhibited the highest correlation (moderate; see Table 4). This indicates that the SWIR2 band effectively captures variations in soil moisture, consistent with previous studies that have highlighted its sensitivity to soil water content. However, other physical and chemical variables—such as texture (sand, silt, clay) and pH—showed weak or negligible relationships, suggesting that additional spectral bands or data sources are needed to improve predictive power.
- For macronutrients, potassium (K) presented the strongest relationship (weak correlation; Table 4), indicating some potential for SWIR2-based prediction of potassium spatial distribution. In contrast, nitrogen (N), phosphorus (P), sulfur (S), calcium (Ca), and magnesium (Mg) exhibited very weak or no correlation, suggesting that their spatial variability is not adequately captured by SWIR2 data alone.
- For micronutrients, manganese (Mn) demonstrated the highest correlation (weak; Table 4), indicating a modest relationship between the SWIR2 band and Mn concentrations. Other micronutrients—including sodium (Na), copper (Cu), zinc (Zn), iron (Fe), and boron (B)—showed minimal or no correlation, reinforcing the need for multi-band spectral analysis or advanced machine learning methods to enhance soil nutrient prediction.
5. Conclusions
Author Contributions
Funding
Data Availability Statement
Acknowledgments
Conflicts of Interest
Glossary
| AIC | Akaike criterion |
| AUC | Area under the curve |
| B | refers to blue band for Equation (1) or Boron |
| BSI | Bare soil index |
| Ca | Calcium |
| CaCl2 | calcium chloride |
| CEC | Cation exchange capacity |
| Cu | Copper |
| CV | Cross-validation |
| DB | Database |
| DEM | digital elevation model |
| EC | electrical conductivity |
| FAAS | Flame Atomic Absorption Spectroscopy |
| FC | Field capacity |
| Fe | Iron |
| GWR | Geographically Weighted Regression |
| H2O | Water |
| IDW | Inverse Distance Weighting |
| K | Potassium |
| MaxEnt | maximum entropy |
| Mg | Magnesium |
| Mn | Manganese |
| MN | Macronutrient |
| mn | Micronutrient |
| N | Nitrogen |
| Na | Sodium |
| NDVI | Normalized difference vegetation index |
| NIR | Near-infrared band |
| OM | Organic matter |
| P | Phosphorus |
| PG | General soil parameter |
| pH | potential of hydrogen |
| Pi | Binary state for Equation (2) |
| PWP | permanent wilting point |
| r | correlation factor |
| R | refers to red band for Equation (1) |
| R2 | R-squared |
| S | Sulfur |
| SFI | Soil fertility index |
| Sw | Saturation |
| SWIR2 | Sentinel-2 Short-wave infrared band |
| SWIR | Short-wave infrared band |
| wi | Weight value for Equation (2) |
| Zn | Zinc |
References
- Cherlinka, V. Fertilidad del Suelo: Estrategias de Preservación y Mejora. Available online: https://eos.com/es/blog/fertilidad-del-suelo/ (accessed on 20 October 2024).
- Webster, C.F.; Kim, W.-J.; Reguera, G.; Friesen, M.L.; Beyenal, H. Review: Can bioelectrochemical sensors be used to monitor soil microbiome activity and fertility? Curr. Opin. Biotechnol. 2024, 90, 103222. [Google Scholar] [CrossRef]
- Nasukawa, H.; Tajima, R.; Pereira, M.C.F.; Pedro, J.A.; Nakamura, S.; Fukuda, M.; Koide, J.; Oya, T.; Homma, K. Management strategies for regenerative agriculture based on the assessment of soil fertility in northern Mozambique. Geoderma Reg. 2025, 40, e00912. [Google Scholar] [CrossRef]
- Rao, R.; Reddy, U.S. Sparse attention regression network-based soil fertility prediction with UMMASO. Chemom. Intell. Lab. Syst. 2025, 257, 105289. [Google Scholar] [CrossRef]
- FAO. Financing to end hunger, food insecurity and malnutrition in all its forms. In The State of Food Security and Nutrition in the World; FAO: Rome, Italy, 2024; p. 286. [Google Scholar] [CrossRef]
- CEPAL; FAO; IICA. Perspectivas de la Agricultura y del Desarrollo Rural en las Américas. San José. 2021. Available online: https://repositorio.cepal.org/server/api/core/bitstreams/ec3e9a9f-593e-4c55-85a3-b5eefbeca839/content (accessed on 10 February 2025).
- Lipp, M.; Bessy, C.; Cannavan, A.; Dupouy, E.; Fattori, V.; Kopko, C.; Lejeune, J.; Mukherjee, K.; Ferreira, J.P.; Schulz, D.; et al. Food and Agriculture Organization of the United Nations (FAO). In Encyclopedia of Food Safety; Elsevier: Amsterdam, The Netherlands, 2024; pp. 752–760. [Google Scholar] [CrossRef]
- Yang, L.; Zhao, G.; Mu, X.; Lan, Z.; Jiao, J.; An, S.; Wu, Y.; Miping, P. Integrated assessments of land degradation on the Qinghai-Tibet plateau. Ecol. Indic. 2023, 147, 109945. [Google Scholar] [CrossRef]
- de Sousa, G.P.B.; Bellinaso, H.; Rosas, J.T.F.; de Mello, D.C.; Rosin, N.A.; Amorim, M.T.A.; Bartsch, B.d.A.; Cardoso, M.C.; Mallah, S.; Francelino, M.R.; et al. Assessing soil degradation in Brazilian agriculture by a remote sensing approach to monitor bare soil frequency: Impact on soil carbon. Soil Adv. 2024, 2100011. [Google Scholar] [CrossRef]
- Servimedia. Un Tercio del Suelo del Planeta está Degradado, Según la FAO. Available online: https://www.servimedia.es/noticias/tercio-suelo-planeta-esta-degradado-fao/3507456 (accessed on 20 October 2024).
- Foucher, A.; Tassano, M.; Chaboche, P.-A.; Chalar, G.; Cabrera, M.; Gonzalez, J.; Cabral, P.; Simon, A.-C.; Agelou, M.; Ramon, R.; et al. Inexorable land degradation due to agriculture expansion in South American Pampa. Nat. Sustain. 2023, 6, 662–670. [Google Scholar] [CrossRef]
- Valenzuela, Perdida y Degradacion de Suelos en America Latina y el Caribe. Rev. Eure 1993, 21, 61–72. Available online: https://www.eure.cl/index.php/eure/article/view/1119/221 (accessed on 12 February 2025).
- Polo, B.; Chávez, R.; Mori, P.; Ramirez, G. Potencialidades del sector agrario: Condición necesaria en la generación de empleo en la región Amazonas-Perú. Rev. Cienc. Soc. 2021, 27, 326–339. Available online: https://www.redalyc.org/journal/280/28068276026/html/ (accessed on 12 February 2025).
- Song, Y.; Zhang, R.; Hao, Y. Digital economy, labor force transfer, and high-quality agricultural development. Finance Res. Lett. 2025, 74, 106692. [Google Scholar] [CrossRef]
- Schwarz, J.; Mathijs, E.; Maertens, M. A dynamic view on agricultural trade patterns and virtual water flows in Peru. Sci. Total. Environ. 2019, 683, 719–728. [Google Scholar] [CrossRef]
- Munroe, J.; Soto, G.; Filho, E.d.M.V.; Fulthorpe, R.; Isaac, M. Soil microbial and nutrient properties in the rhizosphere of coffee under agroforestry management. Appl. Soil Ecol. 2015, 93, 40–46. [Google Scholar] [CrossRef]
- Matos, E.d.S.; Mendonça, E.d.S.; Cardoso, I.M.; de Lima, P.C.; Freese, D. Decomposition and nutrient release of leguminous plants in coffee agroforestry systems. Rev. Bras. De Cienc. Do Solo 2011, 35, 141–149. [Google Scholar] [CrossRef]
- IUSS Working Group WRB. World Reference Base for Soil Resources, 2022: International Soil Classification System for Naming Soils and Creating Legends for Soil Maps, 4th ed.; FAO: Rome, Italy, 2022. [Google Scholar]
- Oliver-Rodríguez, B.; Zafra-Gómez, A.; Reis, M.; Duarte, B.; Verge, C.; de Ferrer, J.; Pérez-Pascual, M.; Vílchez, J. Evaluation of Linear Alkylbenzene Sulfonate (LAS) behaviour in agricultural soil through laboratory continuous studies. Chemosphere 2015, 131, 1–8. [Google Scholar] [CrossRef] [PubMed]
- Fernández-Ramos, C.; Rodríguez-Gómez, R.; Reis, M.; Zafra-Gómez, A.; Verge, C.; de Ferrer, J.; Pérez-Pascual, M.; Vílchez, J. Sorption, degradation and transport phenomena of alcohol ethoxysulfates in agricultural soils. Laboratory studies. Chemosphere 2017, 171, 661–670. [Google Scholar] [CrossRef]
- Koponen, H.T.; Flöjt, L.; Martikainen, P.J. Nitrous oxide emissions from agricultural soils at low temperatures: A laboratory microcosm study. Soil Biol. Biochem. 2004, 36, 757–766. [Google Scholar] [CrossRef]
- Arslanova, L.; Hese, S.; Fölsch, M.; Scheibler, F.; Schmullius, C. Assessing data and sample complexity in unmanned aerial vehicle imagery for agricultural pattern classification. Smart Agric. Technol. 2025, 10, 100799. [Google Scholar] [CrossRef]
- Li, J.; Zhao, J.; Liao, X.; Yi, Q.; Zhang, W.; Lin, H.; Liu, K.; Peng, P.; Wang, K. Long-term returning agricultural residues increases soil microbe-nematode network complexity and ecosystem multifunctionality. Geoderma 2023, 430, 116340. [Google Scholar] [CrossRef]
- Wang, G.; Zhu, Z.; Cao, J.; Zhu, T.; Zhou, J.; Müller, C.; Li, J.; Freese, D.; Le Roux, X. Agricultural cultivation duration affects soil inorganic N turnover and supply capacity: Evidence in subtropical karst regions. Agric. Ecosyst. Environ. 2025, 381, 109462. [Google Scholar] [CrossRef]
- Silvero, N.E.; Demattê, J.A.; Vieira, J.d.S.; Mello, F.A.d.O.; Amorim, M.T.A.; Poppiel, R.R.; Mendes, W.d.S.; Bonfatti, B.R. Soil property maps with satellite images at multiple scales and its impact on management and classification. Geoderma 2021, 397, 115089. [Google Scholar] [CrossRef]
- Nascimento, C.; Demattê, J.; Mello, F.; Rosas, J.; Tayebi, M.; Bellinaso, H.; Greschuk, L.T.; Albarracín, H.; Ostovari, Y. Soil degradation detected by temporal satellite image in São Paulo state, Brazil. S. Am. Earth Sci. 2022, 120, 104036. [Google Scholar] [CrossRef]
- Wang, L.; Zhou, Y.; Sun, X.; Wu, S.; Xia, L.; Sun, J.; Zha, Y.; Yang, P. Retrieval of chromium and mercury concentrations in agricultural soils: Using spectral information, environmental covariates, or a fusion of both? Ecol. Indic. 2024, 167, 112594. [Google Scholar] [CrossRef]
- Xue, J.; Zhang, X.; Huang, Y.; Chen, S.; Dai, L.; Chen, X.; Yu, Q.; Ye, S.; Shi, Z. A two-dimensional bare soil separation framework using multi-temporal Sentinel-2 images across China. Int. J. Appl. Earth Obs. Geoinf. 2024, 134, 104181. [Google Scholar] [CrossRef]
- Wang, R.; Zhao, H.; Zhang, C.; Hao, Z.; Chen, A.; Xu, R.; He, J. Development of soil water content retrieving method for irrigation agriculture areas using the red-edge band of Gaofen-6 satellite. Agric. Water Manag. 2024, 303, 109045. [Google Scholar] [CrossRef]
- Ebrahimy, H.; Yu, T.; Zhang, Z. Developing a spatiotemporal fusion framework for generating daily UAV images in agricultural areas using publicly available satellite data. ISPRS J. Photogramm. Remote. Sens. 2025, 220, 413–427. [Google Scholar] [CrossRef]
- Zhou, Y.; Liu, C.; Wang, J.; Zhang, M.W.; Wang, X.; Zeng, L.T.; Cui, Y.P.; Wang, H.; Sun, X.L. Monitoring soil arsenic content in densely vegetated agricultural areas using UAV hyperspectral, satellite multispectral and SAR data. J. Hazard. Mater. 2025, 484, 136689. [Google Scholar] [CrossRef]
- Alsaleh, A.R.S.; Alcibahy, M.; Gafoor, F.A.; Al Hashemi, H.; Athamneh, B.; Al Hammadi, A.A.; Seneviratne, L.; Al Shehhi, M.R. Estimation of soil organic carbon in arid agricultural fields based on hyperspectral satellite images. Geoderma 2025, 453, 117151. [Google Scholar] [CrossRef]
- Tan, C.; Luan, H.; He, Q.; Zheng, Y.; Lin, Z.; Wang, L. Mapping soil cadmium content using multi-spectral satellite images and multiple-residual-stacking model: Incorporating information from homologous pollution and spectrally active materials. J. Hazard. Mater. 2025, 485, 136755. [Google Scholar] [CrossRef]
- ESA. European Space Agency—Centinela-2. Available online: https://sentiwiki.copernicus.eu/web/sentinel-2 (accessed on 31 October 2024).
- Phiri, D.; Simwanda, M.; Salekin, S.; Nyirenda, V.R.; Murayama, Y.; Ranagalage, M. Sentinel-2 Data for Land Cover/Use Mapping: A Review. Remote Sens. 2020, 12, 2291. [Google Scholar] [CrossRef]
- Blickensdörfer, L.; Schwieder, M.; Pflugmacher, D.; Nendel, C.; Erasmi, S.; Hostert, P. Mapping of crop types and crop sequences with combined time series of Sentinel-1, Sentinel-2 and Landsat 8 data for Germany. Remote. Sens. Environ. 2022, 269, 112831. [Google Scholar] [CrossRef]
- Metternicht, G.; Teece, B.L. Satellite Images: Selfies for Preserving Earth’s Environment. Front. Young Minds 2023, 10, 886767. [Google Scholar] [CrossRef]
- Ramos, T.B.; Castanheira, N.; Oliveira, A.R.; Paz, A.M.; Darouich, H.; Simionesei, L.; Farzamian, M.; Gonçalves, M.C. Soil salinity assessment using vegetation indices derived from Sentinel-2 multispectral data. application to Lezíria Grande, Portugal. Agric. Water Manag. 2020, 241, 106387. [Google Scholar] [CrossRef]
- Zeyada, A.M.; Al-Gaadi, K.A.; Tola, E.; Madugundu, R.; Alameen, A.A. Sentinel-2 Satellite Imagery Application to Monitor Soil Salinity and Calcium Carbonate Contents in Agricultural Fields. Phyton-Int. J. Exp. Bot. 2023, 92, 1603–1620. [Google Scholar] [CrossRef]
- Chen, Y.; Qiu, Y.; Zhang, Z.; Zhang, J.; Chen, C.; Han, J.; Liu, D. Estimating salt content of vegetated soil at different depths with Sentinel-2 data. PeerJ 2020, 8, e10585. [Google Scholar] [CrossRef] [PubMed]
- Vaudour, E.; Gomez, C.; Fouad, Y.; Lagacherie, P. Sentinel-2 image capacities to predict common topsoil properties of temperate and Mediterranean agroecosystems. Remote Sens. Environ. 2019, 223, 21–33. [Google Scholar] [CrossRef]
- Navarro, J.A.; Algeet, N.; Fernández-Landa, A.; Esteban, J.; Rodríguez-Noriega, P.; Guillén-Climent, M.L. Integration of UAV, Sentinel-1, and Sentinel-2 data for mangrove plantation aboveground biomass monitoring in Senegal. Remote Sens. 2019, 11, 77. [Google Scholar] [CrossRef]
- Zhang, N.; Wang, M.; Wang, N. Precision agriculture—A worldwide overview. Comput. Electron. Agric. 2002, 36, 113–132. [Google Scholar] [CrossRef]
- Panagos, P.; Borrelli, P.; Robinson, D. FAO calls for actions to reduce global soil erosion. Mitig. Adapt. Strateg. Glob. Change 2020, 25, 789–790. [Google Scholar] [CrossRef]
- Yuan, Y.; Cave, M.; Xu, H.; Zhang, C. Exploration of spatially varying relationships between Pb and Al in urban soils of London at the regional scale using geographically weighted regression (GWR). J. Hazard. Mater. 2020, 393, 122377. [Google Scholar] [CrossRef]
- Hu, Y.; Zhang, L. Added value of merging techniques in precipitation estimates relative to gauge-interpolation algorithms of varying complexity. J. Hydrol. 2024, 645, 132214. [Google Scholar] [CrossRef]
- Shen, Y.; de Hoogh, K.; Schmitz, O.; Clinton, N.; Tuxen-Bettman, K.; Brandt, J.; Christensen, J.H.; Frohn, L.M.; Geels, C.; Karssenberg, D.; et al. Monthly average air pollution models using geographically weighted regression in Europe from 2000 to 2019. Sci. Total. Environ. 2024, 918, 170550. [Google Scholar] [CrossRef]
- Rash, A.J.H.; Khodakarami, L.; Muhedin, D.A.; Hamakareem, M.I.; Ali, H.F.H. Spatial modeling of geotechnical soil parameters: Integrating ground-based data, RS technique, spatial statistics and GWR model. J. Eng. Res. 2024, 12, 75–85. [Google Scholar] [CrossRef]
- Fung, K.F.; Chew, K.S.; Huang, Y.F.; Ahmed, A.N.; Teo, F.Y.; Ng, J.L.; Elshafie, A. Evaluation of spatial interpolation methods and spatiotemporal modeling of rainfall distribution in Peninsular Malaysia. Ain Shams Eng. J. 2022, 13, 101571. [Google Scholar] [CrossRef]
- Baquero, D. Modelo para Identificación de Fertilidad de Suelos a Partir de Imágenes Satelitales e Interpolación Geoestadística. Master’s Thesis, Universidad de Manizales, Manizales, Colombia, 2023. Available online: https://ridum.umanizales.edu.co/xmlui/handle/20.500.12746/6372 (accessed on 12 February 2025).
- Collazos, J. Desarrollo de un Modelo Predictivo de Procesos Gaussianos para la Estimación de la Productividad de la Caña de Azúcar en Haciendas del Ingenio Incauca. Master’s Thesis, Universidad de Manizales Facultad, Manizales, Colombia, 2023. Available online: https://ridum.umanizales.edu.co/xmlui/handle/20.500.12746/6373 (accessed on 12 February 2025).
- Martínez-Vega, J.; Gallardo, M.; Echevarría, P. Imágenes de satélite y enseñanza de la Geografía. J. Res. Didact. Geogr. 2015, 1, 55–66. [Google Scholar] [CrossRef]
- Vega-Blancas, V.d.J.; Fernández-Reynoso, D.S.; Macedo-Cruz, A.; Rios-Berber, J.D.; Ruiz-Bello, A. Análisis de la fertilidad del suelo mediante la validación e interpolación Kriging de sus variables. Rev. Terra Latinoam. 2022, 40, 1–12. [Google Scholar] [CrossRef]
- Vega, E. Relación entre Temperaturas de Banda Térmica en Imágenes Satelitales y Estudios Geoquímicos. Master’s Thesis, Universidad de Manizales, Manizales, Colombia, 2019. Available online: https://ridum.umanizales.edu.co/bitstream/handle/20.500.12746/3707/Vega_Salazar_Elsa_j_2019.pdf?sequence=2&isAllowed=y (accessed on 12 February 2025).
- Parra-López, C.; Ben Abdallah, S.; Garcia-Garcia, G.; Hassoun, A.; Trollman, H.; Jagtap, S.; Gupta, S.; Aït-Kaddour, A.; Makmuang, S.; Carmona-Torres, C. Digital technologies for water use and management in agriculture: Recent applications and future outlook. Agric. Water Manag. 2025, 309, 109347. [Google Scholar] [CrossRef]
- Silva, E.B.; Giasson, É.; Dotto, A.C.; Caten, A.T.; Demattê, J.A.M.; Bacic, I.L.Z.; da Veiga, M. Un conjunto de datos de suelos heredado regional para la predicción del contenido de arena y arcilla con VIS-NIR-SWIR, en el sur de Brasil. Rev. Bras. De Cienc. Do Solo 2019, 43, 1–20. [Google Scholar] [CrossRef]
- Wang, X.; Zeng, H.; Yang, X.; Shu, J.; Wu, Q.; Que, Y.; Yang, X.; Yi, X.; Khalil, I.; Zomaya, A.Y. Remote sensing revolutionizing agriculture: Toward a new frontier. Futur. Gener. Comput. Syst. 2025, 166, 107691. [Google Scholar] [CrossRef]
- Wang, J.; Zhang, S.; Lizaga, I.; Zhang, Y.; Ge, X.; Zhang, Z.; Zhang, W.; Huang, Q.; Hu, Z. UAS-based remote sensing for agricultural Monitoring: Current status and perspectives. Comput. Electron. Agric. 2024, 227, 109501. [Google Scholar] [CrossRef]
- Masria, A. Bridging coastal challenges: The role of remote sensing and future research. Reg. Stud. Mar. Sci. 2024, 73, 103502. [Google Scholar] [CrossRef]
- Allu, A.R.; Mesapam, S. Impact of remote sensing data fusion on agriculture applications: A review. Eur. J. Agron. 2024, 164, 127478. [Google Scholar] [CrossRef]
- NOAA. National Oceanic and Atmospheric Administration neStop. Available online: https://data.noaa.gov/onestop/ (accessed on 9 February 2025).
- NASA. Dataset-Catalog. Available online: https://catalog.data.gov/dataset?publisher=NASA (accessed on 9 February 2025).
- NASA. Catalog|NASA Open Data Portal. Available online: https://data.nasa.gov/browse?sortBy=newest&page=1&pageSize=20 (accessed on 8 February 2025).
- Angulo, J.; Antolín, J.; Zarzo, A.; Cuchí, J. Maximum-entropy technique with logarithmic constraints: Estimation of atomic radial densities. Eur. Phys. J. D 1999, 7, 479–485. [Google Scholar] [CrossRef]
- Perazzo, F.; Marchant, F. Análisis comparativo entre funciones de forma maxent y de mínimos cuadrados ponderados en un método sin malla de colocación. Rev. Int. De Metodos Numer. Para Calc. Y Diseno En Ing. 2017, 33, 290–298. [Google Scholar] [CrossRef]
- Mendia, J.F.O.; García-Álvarez, A.; Alonso-Morán, E.; Nuño-Solinis, R. Desarrollo de un modelo de Predicción de Riesgo de Hospitalizaciones no Programadas en el País Vasco. Rev. Esp. Salud Publica 2014, 88, 251–260. [Google Scholar] [CrossRef] [PubMed]
- Ariyanto, A.C. Mapping of Possible Corridors for Javan Leopard (Panthera pardus ssp. melas) Between Gunung Merapi and Gunung Merbabu National Parks, Indonesia. Master’s Thesis, University of Twente, Enschede, The Netherlands, 2015. [Google Scholar]
- Muscarella, R.; Galante, P.J.; Soleyguardia, M.; A Boria, R.; Kass, J.M.; Uriarte, M.; Anderson, R.P. ENMeval: An R package for conducting spatially independent evaluations and estimating optimal model complexity for Maxent ecological niche models. Methods Ecol. Evol. 2014, 5, 1198–1205. [Google Scholar] [CrossRef]
- Zhao, Y.; Deng, X.; Xiang, W.; Chen, L.; Ouyang, S. Predicting potential suitable habitats of Chinese fir under current and future climatic scenarios based on Maxent model. Ecol. Informatics 2021, 64, 101393. [Google Scholar] [CrossRef]
- Jaime, R.; Alcántara, J.M.; Bastida, J.M.; Rey, P.J. Complex patterns of environmental niche evolution in Iberian columbines (genus Aquilegia, Ranunculaceae). J. Plant Ecol. 2014, 8, 457–467. [Google Scholar] [CrossRef]
- Kornejady, A.; Ownegh, M.; Bahremand, A. Landslide susceptibility assessment using maximum entropy model with two different data sampling methods. Catena 2017, 152, 144–162. [Google Scholar] [CrossRef]
- Nguyen, C.T.; Chidthaisong, A.; Diem, P.K.; Huo, L.Z. A Modified Bare Soil Index to Identify Bare Land Features during Agricultural Fallow-Period in Southeast Asia Using Landsat 8. Land 2021, 10, 231. [Google Scholar] [CrossRef]
- Song, Y.; Chen, B.; Kwan, M.P. How does urban expansion impact people’s exposure to green environments? A comparative study of 290 Chinese cities. J. Clean. Prod. 2020, 246, 119018. [Google Scholar] [CrossRef]
- Qiu, C.; Schmitt, M.; Geiß, C.; Chen, T.H.K.; Zhu, X.X. A framework for large-scale mapping of human settlement extent from Sentinel-2 images via fully convolutional neural networks. ISPRS J. Photogramm. Remote Sens. 2020, 163, 152–170. [Google Scholar] [CrossRef]
- Segarra, J.; Buchaillot, M.L.; Araus, J.L.; Kefauver, S.C. Remote sensing for precision agriculture: Sentinel-2 improved features and applications. Agronomy 2020, 10, 641. [Google Scholar] [CrossRef]
- López-Andreu, F.J.; Erena, M.; Dominguez-Gómez, J.A.; López-Morales, J.A. Sentinel-2 images and machine learning as tool for monitoring of the common agricultural policy: Calasparra rice as a case study. Agronomy 2021, 11, 621. [Google Scholar] [CrossRef]
- Orynbaikyzy, A.; Gessner, U.; Conrad, C. Crop type classification using a combination of optical and radar remote sensing data: A review. Int. J. Remote Sens. 2019, 40, 6553–6595. [Google Scholar] [CrossRef]
- Estrada, J.; Sánchez, H.; Hernanz, L.; Checa, M.J.; Roman, D. Enabling the Use of Sentinel-2 and LiDAR Data for Common Agriculture Policy Funds Assignment. ISPRS Int. J. Geo Inf. 2017, 6, 255. [Google Scholar] [CrossRef]
- Wu, J.; Lin, L.; Zhang, C.; Li, T.; Cheng, X.; Nan, F. Generating Sentinel-2 all-band 10-m data by sharpening 20/60-m bands: A hierarchical fusion network. ISPRS J. Photogramm. Remote Sens. 2023, 196, 16–31. [Google Scholar] [CrossRef]
- Nyamekye, C.; Ghansah, B.; Agyapong, E.; Obuobie, E.; Awuah, A.; Kwofie, S. Examining the performances of true color RGB bands from Landsat-8, Sentinel-2 and UAV as stand-alone data for mapping artisanal and Small-Scale Mining (ASM). Remote Sens. Appl. Soc. Environ. 2021, 24, 100655. [Google Scholar] [CrossRef]
- Darra, N.; Espejo-Garcia, B.; Psiroukis, V.; Psomiadis, E.; Fountas, S. Spectral bands vs. vegetation indices: An AutoML approach for processing tomato yield predictions based on Sentinel-2 imagery. Smart Agric. Technol. 2025, 10, 100805. [Google Scholar] [CrossRef]
- Li, P.; Li, W.; Shi, D.; Nath, A.J. Normalized Difference Red-NIR-SWIR: A new Sentinel-2 three-band spectral index for mapping freshly-opened swiddens in the tropics. Ecol. Inform. 2024, 82, 102775. [Google Scholar] [CrossRef]
- Gemusse, U.; Cardoso-Fernandes, J.; Lima, A.; Teodoro, A. Identification of pegmatites zones in Muiane and Naipa (Mozambique) from Sentinel-2 images, using band combinations, band ratios, PCA and supervised classification. Remote Sens. Appl. Soc. Environ. 2023, 32, 101022. [Google Scholar] [CrossRef]
- Almar, R.; Bergsma, E.W.; Thoumyre, G.; Solange, L.C.; Loyer, S.; Artigues, S.; Salles, G.; Garlan, T.; Lifermann, A. Satellite-derived bathymetry from correlation of Sentinel-2 spectral bands to derive wave kinematics: Qualification of Sentinel-2 S2Shores estimates with hydrographic standards. Coast. Eng. 2024, 189, 104458. [Google Scholar] [CrossRef]
- Wang, X.; Zhang, Y.; Yu, Y.; Li, Y.; Lyu, H.; Li, J.; Cai, X.; Dong, X.; Wang, G.; Li, J.; et al. Identification of dominant species of submerged vegetation based on Sentinel-2 red-edge band: A case study of Lake Erhai, China. Ecol. Indic. 2025, 171, 113168. [Google Scholar] [CrossRef]
- Du, Y.; Zhang, Y.; Ling, F.; Wang, Q.; Li, W.; Li, X. Water bodies’ mapping from Sentinel-2 imagery with Modified Normalized Difference Water Index at 10-m spatial resolution produced by sharpening the swir band. Remote Sens. 2016, 8, 354. [Google Scholar] [CrossRef]
- Ma, L.; Schmitt, M.; Zhu, X. Uncertainty analysis of object-based land-cover classification using sentinel-2 time-series data. Remote Sens. 2020, 12, 3798. [Google Scholar] [CrossRef]
- Gomez, C.; Dharumarajan, S.; Féret, J.-B.; Lagacherie, P.; Ruiz, L.; Sekhar, M. Use of sentinel-2 time-series images for classification and uncertainty analysis of inherent biophysical property: Case of soil texture mapping. Remote Sens. 2019, 11, 565. [Google Scholar] [CrossRef]
- Gorroño, J.; Hunt, S.; Scanlon, T.; Banks, A.; Fox, N.; Woolliams, E.; Underwood, C.; Gascon, F.; Peters, M.; Fomferra, N.; et al. Providing uncertainty estimates of the Sentinel-2 top-of-atmosphere measurements for radiometric validation activities. Eur. J. Remote Sens. 2018, 51, 650–666. [Google Scholar] [CrossRef]
- Dvorakova, K.; Heiden, U.; Pepers, K.; Staats, G.; van Os, G.; van Wesemael, B. Improving soil organic carbon predictions from a Sentinel–2 soil composite by assessing surface conditions and uncertainties. Geoderma 2023, 429, 116128. [Google Scholar] [CrossRef]
- MINAGRI. Ministerio de Desarrollo Agrario y Riego, Web Page. Available online: https://siea.midagri.gob.pe/portal/ (accessed on 28 February 2025).
- Food and Agriculture Organization of the United Nations. Agricultural Production’ Data Adapted from Food and Agriculture Organization of the United Nations—Coffee Production by Region, 1961 to 2022, Web Page. Available online: https://ourworldindata.org/grapher/coffee-production-by-region#sources-and-processing (accessed on 17 February 2025).
- WorldClim, WorldClim BIO Variables V1|Earth Engine Data Catalog|Google for Developers, Web Page. Available online: https://developers.google.com/earth-engine/datasets/catalog/WORLDCLIM_V1_BIO?hl=es-419 (accessed on 9 February 2025).
- SRTM Digital. SRTM Digital Elevation Data Version 4|Earth Engine Data Catalog|Google for Developers, Web Page. Available online: https://developers.google.com/earth-engine/datasets/catalog/CGIAR_SRTM90_V4?hl=es-419 (accessed on 9 February 2025).
- MOD13A1. MOD13A1.061 Terra Vegetation Indices 16-Day Global 500m|Earth Engine Data Catalog|Google for Developers, Web Page. Available online: https://developers.google.com/earth-engine/datasets/catalog/MODIS_061_MOD13A1?hl=es-419 (accessed on 9 February 2025).
- MCD12Q1. MCD12Q1.061 MODIS Land Cover Type Yearly Global 500m|Earth Engine Data Catalog|Google for Developers, Web Page. Available online: https://developers.google.com/earth-engine/datasets/catalog/MODIS_061_MCD12Q1?hl=es-419 (accessed on 9 February 2025).
- Google Earth. Google Earth Engine, Web Page. Available online: https://earthengine.google.com/ (accessed on 9 February 2025).
- Ballesteros, Y. Altitud de la Finca: ¿Cómo Influye en las Decisiones de Producción de Café?, Perfect Daiy Grind. Available online: https://perfectdailygrind.com/es/2021/05/06/altitud-de-la-finca-como-influye-en-las-decisiones-de-produccion-de-cafe/ (accessed on 1 November 2024).
- Parada-Molina, P.C.; Barradas-Miranda, V.L.; Ceballos, G.O.; Cervantes-Pérez, J.; Cabrera, C.R.C. Aptitud climática para Coffea arabica L. ante eventos climáticos extremos: Importancia de la cobertura arbórea. Sci. Agropecu. 2022, 13, 53–62. [Google Scholar] [CrossRef]
- AbdelRahman, M.A.E.; Zakarya, Y.M.; Metwaly, M.M.; Koubouris, G. Descifrando la variabilidad espacial del suelo mediante geoestadísticas y técnicas de interpolación. Sustainability 2021, 13, 194. [Google Scholar] [CrossRef]
- Birch, C.P.D.; Oom, S.P.; Beecham, J.A. Rectangular and hexagonal grids used for observation, experiment and simulation in ecology. Ecol. Model. 2007, 206, 347–359. [Google Scholar] [CrossRef]
- Carr, D.B.; Olsen, A.R.; White, D. Hexagon mosaic maps for display of univariate and bivariate geographical data. Cartogr. Geogr. Inf. Syst. 1992, 19, 228–236. [Google Scholar] [CrossRef]
- Team R Core. R: A Language and Environment for Statistical Computing, Version 4.4.2; R Foundation for Statistical Computing: Vienna, Austria, 2023. Available online: https://www.R-project.org/ (accessed on 12 February 2025).
- QGIS Development Team. QGIS Geographic Information System, 2018, QGIS Association: 3.6.2. Available online: https://www.qgis.org (accessed on 12 February 2025).
- Agromatica. Valores de Referencia de un Análisis de Suelo—Agromática. Available online: https://www.agromatica.es/referencia-de-un-analisis-de-suelo/ (accessed on 12 February 2025).























| Aspect | Units | Range Value | Scale | Description | ||
|---|---|---|---|---|---|---|
| Name | Type | Min. | Max. | |||
| bio01 | Environmental | °C | −29 | 32 | 0.1 | Annual Mean Temperature |
| bio02 | °C | 0.9 | 21.4 | 0.1 | Mean Diurnal Range (Maximum–Minimum Temperature) | |
| bio03 | % | 7 | 96 | 1 | Isothermality (bio02/bio07 × 100) | |
| bio04 | °C | 0.62 | 227.21 | 0.01 | Temperature Seasonality (Standard Deviation × 100) | |
| bio05 | °C | −9.6 | 49 | 0.1 | Maximum Temperature of the Warmest Month | |
| bio06 | °C | −57.3 | 25.8 | 0.1 | Minimum Temperature of the Coldest Month | |
| bio07 | °C | 5.3 | 72.5 | 0.1 | Annual Temperature Range (bio05–bio06) | |
| bio08 | °C | −28.5 | 37.8 | 0.1 | Mean Temperature of the Wettest Quarter | |
| bio09 | °C | −52.1 | 36.6 | 0.1 | Mean Temperature of the Driest Quarter | |
| bio10 | °C | −14.3 | 38.3 | 0.1 | Mean Temperature of the Warmest Quarter | |
| bio11 | °C | −52.1 | 28.9 | 0.1 | Mean Temperature of the Coldest Quarter | |
| bio12 | mm | 0 | 11,401 | 1 | Annual Precipitation | |
| bio13 | mm | 0 | 2949 | 1 | Precipitation of the Wettest Month | |
| bio14 | mm | 0 | 752 | 1 | Precipitation of the Driest Month | |
| bio15 | Coef. of Var. | 0 | 265 | 1 | Precipitation Seasonality | |
| bio16 | mm | 0 | 8019 | 1 | Precipitation of the Wettest Quarter | |
| bio17 | mm | 0 | 2495 | 1 | Precipitation of the Driest Quarter | |
| bio18 | mm | 0 | 6090 | 1 | Precipitation of the Warmest Quarter | |
| bio19 | mm | 0 | 5162 | 1 | Precipitation of the Coldest Quarter | |
| Elevation | Physical | m | −444 | 8806 | 1 | Terrain elevation |
| NDVI | - | −2000 | 10,000 | 0.0001 | Normalized difference vegetation index | |
| LC_Type4 | - | - | - | - | Land cover type 4: Annual BGC (Biogeochemical-Argo) classification | |
| Variable | Unit | Optimal Range |
|---|---|---|
| Total annual precipitation | mm | 1200–1800 |
| Maximum temperature | °C | 21–30.6 |
| Mean temperature | °C | 17–23 |
| Minimum temperature | °C | 10–19.9 |
| Max. extreme temperature | °C | >33 |
| Min. extreme temperature | °C | 7–10 |
| ID | Soil Parameter | Type | Symbol | Units | Testing Method |
|---|---|---|---|---|---|
| PG-1 | Sand | Physical | - | % | Bouyoucos |
| PG-2 | Silt | - | % | ||
| PG-3 | Clay | - | % | ||
| PG-4 | Saturation | Sw | % | Gravimetric | |
| PG-5 | Electrical Conductivity | Chemical | CE | dS/m | Electrochemical |
| PG-6 | pH in H2O | pH_H2O | - | ||
| PG-7 | pH in CaCl2 | pH_CaCl2 | - | ||
| PG-8 | Organic Matter | MO | % | Walkley & Black | |
| PG-9 | Field Capacity | Physical | CC | % | Richards |
| PG-10 | Permanent Wilting Point | PWP | % | ||
| PG-11 | Cation Exchange Capacity | Chemical | CEC | meq/100 g | Mathematical Calculation |
| MN-1 | Nitrogen | Macronutrient | N | ppm | Kjeldahl |
| MN-2 | Phosphorus | P | ppm | Bray I | |
| MN-3 | Potassium | K | ppm | Ammonium Acetate | |
| MN-4 | Sulfur | S | ppm | CH3COONH4 | |
| MN-5 | Calcium | Ca | meq/100 g | FAAS | |
| MN-6 | Magnesium | Mg | meq/100 g | ||
| mn-1 | Sodium | Micronutrient | Na | Ppm | |
| mn-2 | Copper | Cu | Ppm | ||
| mn-3 | Zinc | Zn | ppm | ||
| mn-4 | Manganese | Mn | ppm | ||
| mn-5 | Iron | Fe | ppm | ||
| mn-6 | Boron | B | ppm | Colorimetric |
| ID | Soil Parameter | Correlation | ID | Soil Parameter | Correlation | ||
|---|---|---|---|---|---|---|---|
| General Soil Parameters | Macronutrients | ||||||
| PG-1 | Sand | 0.2232 | Weak | MN-1 | Nitrogen (N) | 0.0451 | none |
| PG-2 | Silt | 0.1201 | none | MN-2 | Phosphorus (P) | 0.0664 | none |
| PG-3 | Clay | 0.2077 | Weak | MN-3 | Potassium (K) | 0.1513 | Weak |
| PG-4 | Saturation (Sw) | 0.4043 | Moderate | MN-4 | Sulfur (S) | 0.0164 | None |
| PG-5 | Electrical Conductivity (CE) | 0.1814 | Weak | MN-5 | Calcium (Ca) | 0.0746 | none |
| PG-6 | pH (H2O) | 0.0494 | none | MN-6 | Magnesium (Mg) | 0.0472 | none |
| PG-7 | pH (CaCl2) | 0.0598 | none | Micronutrients | |||
| PG-8 | Organic Matter (MO) | 0.0489 | none | mn-1 | Sodium (Na) | 0.0462 | none |
| PG-9 | Field Capacity (CC) | 0.0143 | None | mn-2 | Copper (Cu) | 0.0457 | none |
| PG-10 | Permanent Wilting Point (PWP) | 0.0137 | None | mn-3 | Zinc (Zn) | 0.0232 | None |
| PG-11 | Cation Exchange Capacity (CEC) | 0.0558 | none | mn-4 | Manganese (Mn) | 0.1899 | Weak |
| mn-5 | Iron (Fe) | 0.0375 | none | ||||
| mn-6 | Boron (B) | 0.0292 | none | ||||
| ID | Case | CV (Max) | AIC (Min) | R2 | SWIR2 Function f (Variables) |
|---|---|---|---|---|---|
| GWR-01 | Macronutrients—Case 0 | 572.12 | 602.80 | 0.9393 | f (MN-1, MN-2, MN-3, MN-4, MN-5, MN-6) |
| GWR-02 | Macronutrients—Case 1 | 435.42 | 466.33 | 0.9338 | f (MN-1, MN-2, MN-3) |
| GWR-03 | Macronutrients—Case 2 | 434.04 | 480.89 | 0.9342 | f (MN-4, MN-5, MN-6) |
| GWR-04 | Micronutrients | 804.72 | 958.62 | 0.8991 | f (mn-1, mn-2, mn-3, mn-4, mn-5, mn-6) |
| GWR-05 | Physical | 318.44 | 439.27 | 0.9616 | f (PG-4, PG-5) |
| GWR-06 | Organic Matter | 280.48 | 403.33 | 0.9720 | f (PG-8) |
| GWR-07 | Acidity | 324.39 | 438.01 | 0.9608 | f (PG-6, PG-7) |
| Code | Parameter | Units | Reference Values | Category |
|---|---|---|---|---|
| MN-1 | Total Nitrogen (N) | % | 0.1–0.2 | - |
| MN-3 | Assimilable Potassium (K) | mg/kg | 150–300 | - |
| MN-2 | Olsen Phosphorus (P) | mg/kg | 35–70 | - |
| - | Burriel Phosphorus | mg/kg | 43.6–109 | - |
| MN-3 | Exchangeable Potassium (K) | meq/100 g | 0.5–1.2 | Exchangeable cations |
| MN-5 | Calcium (Ca) | meq/L | 11.0–25.0 | Saturated extract |
| MN-6 | Magnesium (Mg) | meq/L | 6.0–14.0 | Saturated extract |
| - | Sodium | meq/L | 4.0–17.0 | Saturated extract |
| MN-3 | Potassium (K) | meq/L | 1.0–5.0 | Saturated extract |
| - | Exchangeable Ca/Mg Ratio | - | 4.0–6.0 | Exchangeable cations |
| - | Exchangeable K/Mg Ratio | - | 0.3–0.8 | Exchangeable cations |
| - | Ca/Mg Ratio | - | 1.5–3.0 | Saturated extract |
| - | K/Ca Ratio | - | 0.15–0.25 | Saturated extract |
| - | K/Mg Ratio | - | 0.3–0.8 | Saturated extract |
Disclaimer/Publisher’s Note: The statements, opinions and data contained in all publications are solely those of the individual author(s) and contributor(s) and not of MDPI and/or the editor(s). MDPI and/or the editor(s) disclaim responsibility for any injury to people or property resulting from any ideas, methods, instructions or products referred to in the content. |
© 2026 by the authors. Licensee MDPI, Basel, Switzerland. This article is an open access article distributed under the terms and conditions of the Creative Commons Attribution (CC BY) license.
Share and Cite
Aroquipa, H.; Hurtado, A.; Pariguana, Y.; Castro, E.; Cubas, S. Soil Fertility Assessment Through the Integration of Satellite Imagery and Spatial Analysis: Application to Arabica Coffee Cultivation in Lonya Grande, Peruvian Amazon. Agriculture 2026, 16, 130. https://doi.org/10.3390/agriculture16010130
Aroquipa H, Hurtado A, Pariguana Y, Castro E, Cubas S. Soil Fertility Assessment Through the Integration of Satellite Imagery and Spatial Analysis: Application to Arabica Coffee Cultivation in Lonya Grande, Peruvian Amazon. Agriculture. 2026; 16(1):130. https://doi.org/10.3390/agriculture16010130
Chicago/Turabian StyleAroquipa, Hector, Alvaro Hurtado, Yesenia Pariguana, Eduardo Castro, and Shelsen Cubas. 2026. "Soil Fertility Assessment Through the Integration of Satellite Imagery and Spatial Analysis: Application to Arabica Coffee Cultivation in Lonya Grande, Peruvian Amazon" Agriculture 16, no. 1: 130. https://doi.org/10.3390/agriculture16010130
APA StyleAroquipa, H., Hurtado, A., Pariguana, Y., Castro, E., & Cubas, S. (2026). Soil Fertility Assessment Through the Integration of Satellite Imagery and Spatial Analysis: Application to Arabica Coffee Cultivation in Lonya Grande, Peruvian Amazon. Agriculture, 16(1), 130. https://doi.org/10.3390/agriculture16010130

